Serviços Personalizados
Journal
Artigo
Indicadores
-
Citado por SciELO -
Acessos
Links relacionados
-
Citado por Google -
Similares em
SciELO -
Similares em Google
Compartilhar
Colombia Médica
versão On-line ISSN 1657-9534
Colomb. Med. vol.52 no.3 Cali jul./set. 2021 Epub 12-Jun-2021
https://doi.org/10.25100/cm.v52i3.4524
Articulo original
Análisis de la experiencia del programa de fracturas geriátricas en dos instituciones en Colombia: ¿un modelo reproducible?
1 Fundación Santa Fe de Bogotá, Bogotá, Colombia
2 Hospital Infantil Universitario de San José, Bogotá, Colombia
3 Centro Médico Imbanaco, Cali, Colombia
4 NeuroEconomix, Bogotá, Colombia,
5 Johnson & Johnson, Bogotá, Colombia.
Antecedentes:
las fracturas de cadera son una causa importante de morbilidad y mortalidad. Los programas de fracturas geriátricas prometen mejorar la calidad de la atención, los desenlaces clínicos y reducir costos,
Objetivos:
Describir los resultados relacionados con la implementación de un programa de fracturas geriátricas en dos instituciones en Colombia para evaluar la reproducibilidad
Métodos:
Realizamos un estudio retrospectivo descriptivo de los pacientes atendidos en el programa de fracturas geriátricas en dos instituciones en Colombia. Se obtuvo información desde el año de implementación hasta 2018. Se describió información demográfica, de estancia hospitalaria, de complicaciones, de rehospitalizaciones y de mortalidad. Se determinó un caso base de consumo de recursos con expertos y se costeó usando métodos estandarizados.
Resultados:
Se incluyeron 475 pacientes. Se observó un aumento en la cantidad de pacientes. La duración de estancia disminuyó entre 8.5% y 26.1%, así como la frecuencia de complicaciones. Se encontraron reducciones en mortalidad en el primer año (entre 10.9% y 4.7%), muertes hospitalarias y rehospitalizaciones. Los costos estimados mostraron reducciones entre 22% y 68.3%.
Conclusiones:
El presente estudio muestra la experiencia de implementación de programa de fracturas geriátricas en dos instituciones en Colombia, mostrando aumento en cantidades de pacientes y reducciones en estancia hospitalaria, frecuencia de complicaciones, rehospitalizaciones, mortalidad y costos estimados. Los resultados fueron similares en las dos instituciones y comparables con otros descritos en literatura. Esto sugiero que los programas de fracturas geriátricas se pueden implementar con resultados reproducibles.
Palabras clave: Programa fracturas geriatricas; servicios de salud para ancianos; fracturas; hueso; implementación de un plan en salud
Background:
hip fracture is the major cause of morbidity and mortality. Geriatric fracture programs promise to improve the quality of care, health outcomes and reduce costs.
Objective:
To describe the results related to the Geriatric fracture programs implementation in two Colombian institutions to assess reproducibility.
Methods:
We performed A retrospective descriptive study of the patients treated under the Geriatric fracture programs in two institutions in Colombia. The information was collected from the initial year of implementation until 2018. Demographic characteristics, length of stay, hospitalization complications, readmissions and mortality were described. Consumption of healthcare resources was defined using base cases determined with local experts and costs were estimated using standard methods.
Results:
475 patients were included in the Geriatric fracture programs. We observed an increase in the number of patients. The length of stay decreased between 8.5% and 26.1% as did the proportion of total complications, with delirium having the greatest reduction. A similar situation was seen for first year mortality (from 10.9% to 4.7%), in-hospital deaths and readmissions. Estimates of costs of stay and complications showed reductions in all scenarios, varying between 22% and 68.3%.
Conclusions:
The present study presents the experience of two institutions that implemented the Geriatric fracture programs with increase in the number of patients treated and reductions in the time of hospital stay, the proportion of complications, readmissions, mortality and estimated costs. These are similar between both institutions and with other published implementations. This could hint that geriatric fracture program may be implemented with reproducible results.
Keywords: Geriatric fracture program; health services for the aged; Fractures; bone; health plan implementation
Contribución del estudio
| 1) ¿Por qué se realizó este estudio? |
| Describir los resultados relacionados con la implementación de un programa de adulto mayor fracturado en dos instituciones colombianas para evaluar reproducibilidad. |
| 2) ¿Cuáles fueron los resultados más relevantes del estudio? |
| El estudio presenta la experiencia de dos instituciones que implementaron programas de adulto mayor fracturado con aumentos en las cantidades de pacientes atendidos y reducciones en tiempos de estancia hospitalaria, proporción de complicaciones, readmisiones, mortalidad y costos estimados. |
| 3¿Qué aportan estos resultados? |
| Ambas instituciones mostraron resultados positivos con la implementación del programa. Estos resultados fueron consistentes entre las dos instituciones evaluadas y con otras implementaciones publicadas. Esto sugiere que el programa de adulto mayor fracturado se puede implementar con resultados positivos reproducibles. |
Introducción
Las fracturas de cadera son consideradas un problema de salud global 1, por su asociación con alta mortalidad y morbilidad 2,3. Los cambios demográficos en la población han aumentado la incidencia de este tipo de fracturas, que aumenta exponencialmente con la edad 4,5. Asimismo, la mortalidad más elevada por esta causa ocurre en los adultos mayores, con mortalidad anual entre 8%-26% y con valores aún más altos en mayores de 80 años con fractura de cadera 6.
En años recientes, la incidencia de fracturas de cadera ha aumentado en paises de Latinoamérica. Aziziyeh R et al. (7 estimaron que para el 2020 el aumento en fracturas de cadera en adultos entre 50 y 89 años fue de 7.3%, 17%, 19.1%, 15.3% en Argentina, Brazil, Colombia y México, respectivamente, dado por el envejecimiento poblacional.
En Colombia, la osteoporosis y las fracturas de cadera producen alta morbilidad y mortalidad. Su prevalencia aumenta dramáticamente después de los 50 años y su manejo requiere, en muchos casos, de manejo quirúrgico. Estas fracturas se relacionan con empeoramientos de la calidad de vida, de la discapacidad, aumentos en modalidad y costos 8. El costo anual estimado por fracturas asociadas con osteoporosis fue de USD 411, USD 360, USD 310 y USD 94 millones, respectivamente 7. Múltiples estudios han mostrado que entre 44% y 57% de todos los costos de hospitalización se asocian con cuidado de fracturas de cadera 9-11.
Por lo anterior, se han desarrollado programas de manejo integral a nivel global, conocidos como programas de adulto mayor fracturado. Estos programas se caracterizan por un manejo conjunto multidisciplinario, intervenciones quirúrgicas tempranas, cuidado centrado en pacientes basado en protocolos estandarizados y planeación de una alta temprana para reducir la estancia hospitalaria 12,13. Sus objetivos son mejorar la calidad del cuidado de la salud y los desenlaces clínicos y reducir los costos. Estos programas han mostrado tener varios efectos positivos para los pacientes, los profesionales de salud y para el sistema de salud 14,15. En 2008, un programa de adulto mayor fracturado se implementó en el Hospital San José de Bogotá. Se evidenciaron reducciones en mortalidad y estancia hospitalaria en 298 pacientes atendidos en los primeros cuatro años del programa 16.
El objetivo de este estudio fue describir los resultados de la implementación de un programa de adulto mayor fracturado en dos instituciones de salud colombianas. El propósito final es comprar estas implementaciones con otras previamente publicadas en Colombia para evaluar reproducibilidad. Si se logran resultados positivos similares al implementar el programa en otras instituciones, se podría pensar que el modelo es reproducible.
Materiales y Métodos
Se realizó un estudio descriptivo retrospectivo usando información de pacientes mayores de 65 años quieren se fracturaron por fragilidad y fueron atendidos en dos instituciones que implementaron el programa de adulto mayor fracturado. Estas son instituciones de alta complejidad con programas de largo plazo para pacientes fracturados. La institución A se encuentra en Bogotá y tiene 230 camas de hospitalización general, 5 de cuidados intermedios y 21 de cuidados intensivos para adultos. La institución B se encuentra en Cali y tiene 168 camas de hospitalización general, 17 de cuidado intermedio y 31 de cuidado intensivo.
Descripción del programa de adulto mayor fracturado
El modelo implementado se basó en el modelo de manejo ortopédico de Rochester 12, que había sido previamente implementado en otra institución en Colombia 16. En resumen, el modelo es un sistema de manejo conjunto multidisciplinario que produce un plan de cuidado integral. Los pacientes objetivos tenían al menos 65 años y sufrieron una fractura de cadera que requirió manejo quirúrgico. El programa consideró dos componentes (Figura S1). El primero se relacionó con el cuidado intrahospitalario. Esta fase inició apenas se ingresó un paciente eligible en urgencia y es referido a los servicios de ortopedia y geriatría. Estos definieron el diagnóstico inicial, el plan terapéutico según el estado del paciente y el tipo de fractura y se diseñaron las estrategias iniciales de rehabilitación. El segundo componente consideró el cuidado ambulatorio durante el primer año posterior a la cirugía. Se realizaron controles con ortopedia a los 15 días, 1 mes, 3 meses, 6 meses y 12 meses posterior a la cirugía cuyo foco fue la rehabilitación y el manejo de la osteoporosis. Se podían considerar controles adicionales según la necesidad. Se realizaron también consultas ambulatorias con geriatría, enfocadas en el estado de salud general, manejo de comorbilidad, evaluación de funcionalidad, prevención de caídas y manejo de la osteoporosis. La cantidad y frecuencia de los controles se definió para cada caso, según la circunstancia y evolución individual.
Uno de los objetivos del modelo fue minimizar los tiempos hospitalarios antes y después del procedimiento quirúrgico, para reducir la estancia total. De esta manera, se esperaba reducir las complicaciones y mortalidad y mejorar la rehabilitación de los pacientes.
Recolección de información
Las instituciones adheridas al programa realizaron una recolección sistemática de información de indicadores clínicos y de proceso, para monitorear el desempeño del programa. Cada institución recogió la siguiente información:
Información general y demográfica: cantidad de pacientes admitidos, edad, sexo.
Tipo de procedimiento quirúrgico.
Variables de la estancia hospitalaria: tiempo entre ingreso y cirugía, estancia prequirúrgica, estancia posquirúrgica estancia total.
Variables del seguimiento clínico: mortalidad intrahospitalaria, mortalidad en el primer mes posquirúrgico, mortalidad en el primer año posquirúrgico, readmisión hospitalaria en los primeros 30 días después de la estancia
Complicaciones intrahospitalarias: delirium neumonía, infección del tracto urinario, infección del sitio quirúrgico, úlcera por presión, trombosis venosa profunda, tromboembolismo pulmonar, eventos cardiovasculares, eventos neurológicos
Las instituciones recogieron originalmente esta información a nivel individual. Posteriormente, construyeron informes de resumen de las variables continuas con promedias y desviación estándar (DE) y las variables categóricas con conteos de eventos. La información acumulada fue reportada por cada institución desde el inicio de implementación del programa hasta junio de 2018 para todos los pacientes incluidos en el programa. Dado que las dos instituciones iniciaron la implementación en momentos distintos, se definió como año base el año calendario en la que la institución inició la implementación del programa y como años de seguimiento los subsiguientes.
Análisis de información
Se realizó la descripción de las variables de interés estratificando por institución. Es importante considerar que el objetivo de esta descripción era ver la tendencia de cambio de los indicadores a lo largo de la implementación del programa y no realizar comparaciones directas entre las dos instituciones. Asimismo, considerando la naturaleza descriptiva del ejercicio y la ausencia de mecanismo para control de variables de confusión, estas tendencias se interpretaron únicamente de manera descriptiva y no en términos de causalidad. Todos los procedimientos y gráficos se realizaron usando el programa estadístico R, versión 3.5.0.
De manera inicial, se caracterizó la cantidad de pacientes atendidos en cada institución y sus características generales y demográficas, describiendo las tendencias de los diferentes tipos y tiempo de estancia hospitalaria. Estas se calcularon en horas y se resumieron con promedios y desviación estándar. Subsecuentemente, se describieron las complicaciones descritas en cada institución, discriminando por tipo de complicación y las tendencias en mortalidad y readmisión hospitalaria en el mediano y largo plazo. Considerando la variabilidad de la cantidad de pacientes de cada institución, estos resultados se expresaron en términos de porcentajes. No fue posible estimar la mortalidad anual para 2018, dado que los datos fueron recogidos a inicios de 2019
Estimación económica
Se realizó una estimación teórica del posible impacto económico del programa, enfocado en las posibles diferencias en consumo de recursos derivadas de la estancia hospitalaria y las complicaciones. No se tuvieron en cuentas los costos del procedimiento quirúrgico, dado que este no fue directamente impactado por la dinámica del programa. Todos los costos fueron calculados en pesos colombianos y convertidos a dólares estadounidenses usando la tasa de cambio promedio para 2019 (1USD = 3,301 pesos colombianos). Se consultaron los expertos clínicos de las instituciones para construir escenarios base de consumo de recursos para cada complicación. El costeo de estos se realizó usando los métodos estandarizados del Instituto de Evaluación Tecnológica en Salud (IETS). Los costos fueron estimados desde la perspectiva del tercero pagador, considerando costos médicos directos. Los precios de medicamentos se obtuvieron de la base de información de precios de medicamentos (SISMED) del último trimestre disponible y, cuando fuera necesario, usando los últimos precios máximos de regulación fijados por el Ministerio de Salud. Los precios finales de los medicamentos se estimaron realizado un promedio ponderado por la participación de mercada para cada presentación. Los costos de los procedimientos fueron obtenidos desde el manual tarifarios del Instituto del Seguro Social de 2001, con un incremento del 30% de acuerdo con la metodología propuesta por el IETS. Los valores monetarios para los insumos fueron obtenidos de los reportes de las subastas publicas o de Colombia Compra Eficiente. Para la estancia hospitalaria, se realizó un análisis de sensibilidad considerando como límite inferior el costo de cama hospitalaria de alta complejidad y como límite superior el costo de hospitalización en unidad de cuidados intensivos. Los costos de estancias hospitalaria se calcularon considerando esos costos unitarios y las estancias de cada institución. Para las complicaciones, se calculó el promedio del costo por paciente en el programa para todas las complicaciones considerando los costos de cada complicación y la frecuencia de cada una en cada institución. Al combinar estos dos costos y la tendencia sobre el tiendo, se estimó el costo de estancia, más las complicaciones para cada paciente en el programa.
Se estimó entonces el costo en cada año de implementación y se comparó el valor del año base con el del último año disponible.
Análisis exploratorios
De manera exploratoria, se realizó una comparación estadística entre los valores de duración total de estancia y cantidad de complicación del año base y el último año disponible. Estos análisis fueron generadores de hipótesis. Para el tiempo de estancia, se realizó una prueba t de student para comparar el promedio en dos muestras no pareadas, suponiendo varianzas diferentes. Para las complicaciones, se realizó una prueba Z para dos proporciones.
Aprobación por comité de ética y consideraciones éticas
Este estudio fue aprobado por el Comité de Ética de la Fudación Santa Fe de Bogotá (Acuerdo No. 20, con numero de aprobación CCEI-9941-2018). El estudio se condujo con los estándares éticos aplicables para este tipo de estudio. El estudio se realizó en ambas instituciones de acuerdo con el protocolo aprobado.
Resultados
Descripción general
Se identificaron un total de 475 pacientes en las dos instituciones. La institución A presentó información de 3 años y 190 pacientes (63.3 pacientes/año) y la B un total de 5 años y 285 pacientes (57 pacientes/año). Las características base de los pacientes se encuentran en la Tabla 1. Se observó un incremento en el número total de pacientes a lo largo de la implementación del programa (A: desde 55 a 71, + 29%; B: desde 44 a 77, + 75%) en ambas instituciones. Cerca del 78% de los pacientes eran mujeres, de manera similar en ambas instituciones y alrededor del 80% tenían más de 76 años. El procedimiento quirúrgico más frecuentemente realizado fue la osteosíntesis con clavo o con dispositivo de compresión.
Tabla 1 Características demográficas de los pacientes identificados en las dos instituciones. Los porcentajes son relativos a los totales de cada institución.
| Variable | Institución | |
|---|---|---|
| A | B | |
| Pacientes totales | 190 | 285 |
| Pacientes de acuerdo con el año de implementación | ||
| Año base | 55 (28.9%) | 44 (15.4%) |
| 1 | 64 (33.7%) | 49 (17.2%) |
| 2 | 71 (37.4%) | 56 (19.6%) |
| 3 | NA (NA%) | 59 (20.7%) |
| 4 | NA (NA%) | 77 (27%) |
| Pacientes por sexo | ||
| Masculino | 41 (21.6%) | 64 (22.5%) |
| Femenino | 149 (78.4%) | 221 (77.5%) |
| Pacientes por grupos de edad (años) | ||
| 65-75 | 45 (23.7%) | 51 (17.9%) |
| 76-85 | 82 (43.2%) | 117 (41.1% |
| >85 | 63 (33.2%) | 117 (41.1%) |
| Pacientes por tipo de procedimiento | ||
| Osteosíntesis con clavo o con dispositivo de compresión | 115 (60.5%) | 164 (57.5%) |
| Reducción abierta con osteosíntesis con tornillo canulado | 10 (5.3%) | 27 (9.5%) |
| Reemplazo articular | 65 (34.2%) | 94 (33%) |
Duración de estancia hospitalaria
El promedio de estancia hospitalaria total tuvo una reducción con respecto al año base (Figura 1). Al comparar el año base con el último año disponible, ambas instituciones tuvieron reducciones, aunque fueron de magnitud diferente (A: desde 152.2 a 139.4, -8.5%; B: desde 137.3 a 101.5, -26.1%). La institución B presentó un cambio entre el año base y el segundo año de implementación de -3.4%, que fue similar al de la institución A en el mismo periodo.

Figura 1 Promedio total de la estancia hospitalaria en horas, según año de implementación e institución (A y B). Las barras de error representan ± 1 DE
Al separar el tiempo de estancia por tipo (ingreso a cirugía, prequirúrgico, posquirúrgico, total), se observó una tendencia a la reducción en los tiempos totales y posquirúrugicos. Los tiempos prequirúrgicos se mantuvieron estables. Esta tendencia fue similar en ambas instituciones (Figura 2). En ambas, el tiempo prequirúrgico promedio fue menor a 48 horas.
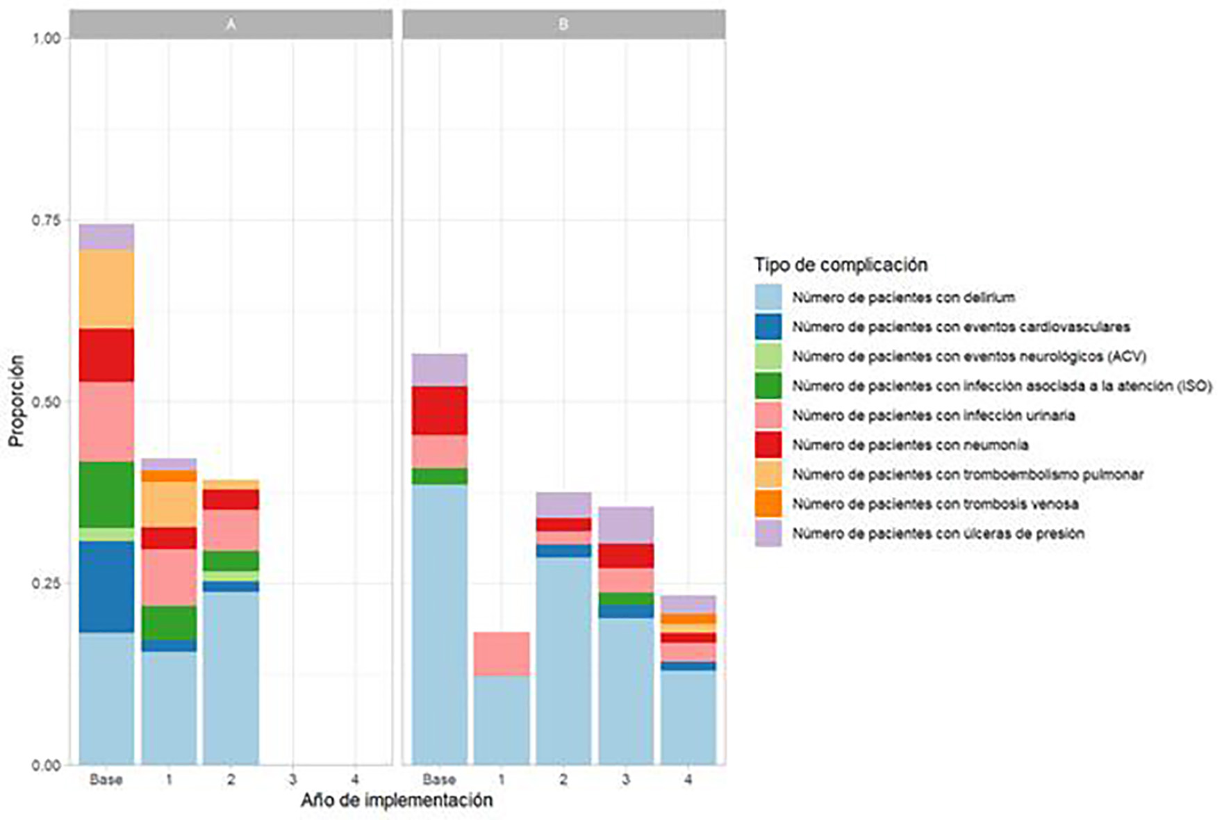
Complicaciones
La proporción de complicaciones totales se redujo en ambas instituciones posterior a la implementación del programa de adulto mayor fracturado (Figura 3). Para la institución A, el análisis exploratorio encontró una diferencia de -35.1% entre el año base y el último año disponible que fue estadísticamente significativo (74.5% vs. 39.4%, p= <0.001, 95% IC -52.9% a -17.3%). Para la institución B, el análisis exploratorio encontró una diferencia de -33.4% entre el año base y el último daño isponible, que fue estadísticamente significativo (56.8% vs. 23.4%, p= <0.001, 95% IC -52.7% a -14.2%). El material suplementario 1S muestra los detalles de la proporción de cada tipo de complicación en el tiempo. Al evaluar cada institución de manera individual se pueden observar algunas diferencias. Para la institución A, la reducción total en complicaciones coincidió con la reducción en úlceras por presión (de 3.6% a 1.6%), eventos cardiovasculares (de 12.7% a 1.4%), infección del sitio operatorio (de 9.1% a 2.8%), infección del tracto urinario (de 10.9 a 5.6%), neumonía (de 7.3% a 2.8%) y tromboembolismo pulmonar (de 10.9% a 1.4%). En la institución B, la reducción se relacionó principalmente con la reducción en delirium (de 38.6% a 13%), infección del sitio operatorio (de 2.3% a 1.7%), infección del tracto urinario (de 4.5% a 2.6%), neumonía (de 6.8% a 1.3%) y úlceras por presión (de 4.5% a 2.6%).
Resultados de seguimiento
En la institución A, se evidenció una menor proporción de pacientes con cada desenlace al comparar el año base con el último disponible (readmisión desde 14.5% a 7%, mortalidad intrahospitalaria desde 3.6% a 2.8%, mortalidad en el primer mes desde 1.8 % a 1.4% y muerte en el primer año desde 10.9% a 4.7%) (Figura 4). En la institución B, se encontró una tendencia a la reducción en la readmisión (18.2% vs. 15.6%), la mortalidad intrahospitalaria (4.5% vs. 2.6%) y la mortalidad en el primer año (11.4% vs. 5.1%). Sin embargo, se encontró un aumento en la mortalidad en el primer mes (0% vs. 2.6%), aunque es importante resaltar que no hubo eventos en el año base (Figura 4). La información detallada se encuentra en la Tabla Suplementaria 2S.
Estimación de consumo de recursos en salud y costos
En la Tabla Suplementaria 3S, reportamos las estimaciones de recursos en salud construido con los expertos clínicos para cada evento de interés. Los costos detallados de día de estancia hospitalaria y de costo por evento se encuentran en la Tabla Suplementaria 4S. Las complicaciones individuales con costos por evento más altos fueron el tromboembolismo pulmonar (USD 3,891.6), los eventos cardiovasculares (USD 3,186.4) y las úlceras por presión (USD 1,560.2). Los que tuvieron costos más bajos fueron la infección del sitio operatorio (USD 205.6), el delirium (USD 276.5) y las infecciones del tracto urinario (USD 485.9). Hubo también una diferencia importante entre el costo de día de estancia hospitalaria en los escenarios de sensibilidad bajo y alto (USD 22.1 vs USD 164.5).
Los resultados de las variaciones de costos de estancia y complicaciones se encuentran en la Tabla 2. Considerando la duración de estancia y frecuencia de las complicaciones observadas en las instituciones, se estimó una reducción general en los costos de estancia y complicaciones a lo largo de la implementación del programa. La reducción absoluta en costos totales varió entre USD 94 y USD 966. La reducción relativa varió entre -22.0% and -68.3%. Se observaron resultados similares al considerar solo costos de estancia o solo costos de complicaciones, aunque estos últimos fueron generalmente de magnitud mayor
Tabla 2 Costos estimados relacionados con la estancia hospitalaria (en los escenarios de sensibilidad mínimo y máximo), con complicaciones y con estancia más complicaciones (en los escenarios de sensibilidad mínimo y máximo) para cada institución en cada año de implementación. A partir de esta información se presentan las diferencias absolutas y relativas calculadas. NR = no reportado.
| Año de implementación | Institución | |
|---|---|---|
| A | B | |
| Costo de estancia - escenario de sensibilidad mínimo | ||
| Base | $182 | $164 |
| 1 | $173 | $139 |
| 2 | $167 | $159 |
| 3 | NR | $149 |
| 4 | NR | $122 |
| Variación absoluta | -$15 | -$43 |
| Variación relativa | -8.4% | -26.0% |
| Costo de estancia - escenario de sensibilidad máximo | ||
| Base | $1,356 | $1,223 |
| 1 | $1,289 | $1,037 |
| 2 | $1,242 | $1,182 |
| 3 | NR | $1,112 |
| 4 | NR | $904 |
| Variación absoluta | -$113 | -$319 |
| Variación relativa | -8.4% | -26.0% |
| Costos de complicaciones | ||
| Base | $1,089 | $263 |
| 1 | $460 | $63 |
| 2 | $237 | $217 |
| 3 | NR | $240 |
| 4 | NR | $212 |
| Variación absoluta | -$853 | -$51 |
| Variación relativa | -78.3% | -19.4% |
| Costo estancia más complicaciones - escenario de sensibilidad mínimo | ||
| Base | $1,271 | $428 |
| 1 | $633 | $203 |
| 2 | $404 | $376 |
| 3 | NR | $389 |
| 4 | NR | $334 |
| Variación absoluta | -$868 | -$94 |
| Variación relativa | -68.3% | -22.0% |
| Costo estancia más complicaciones - escenario de sensibilidad máximo | ||
| Base | $2,445 | $1,487 |
| 1 | $1,749 | $1,100 |
| 2 | $1,479 | $1,400 |
| 3 | NR | $1,352 |
| 4 | NR | $1,117 |
| Variación absoluta | -$966 | -$370 |
| Variación relativa | -39.5% | -24.9% |
Discusión
Este estudio describe la experiencia de dos instituciones de salud colombianas que implementaron programas de adulto mayor fracturado. Este tipo de modelos busca construir programas de atención a pacientes multidisciplinarios e integrales 16. Una de las prioridades es lograr realizar los procedimientos quirúrgicos en las primeras 48 horas posterior a la fractura. Tiempos más largos se han asociado a mayor estancia hospitalaria, mortalidad y morbilidad 17. Estas experiencias, junto con otra previamente realizada en Colombia 16, representan entre los primeros reportes de experiencia con este tipo de modelos en Latinoamérica.
Durante la implementación del modelo, se identificaron varias tendencias al comparar variables en el año base de implementación comparado con el último año disponible. En primer lugar, hubo un incremento en la cantidad de pacientes atendidos, lo cual puede ser relevante en la medida en que significa una ampliación de la capacidad institucional para ofrecer este tipo de servicios. Esto es valioso en pacientes que tienen limitaciones en capacidad en servicios especializados.
Se observó también una reducción en el tiempo de estancia hospitalaria, particularmente posterior a la cirugía, y en la proporción de complicaciones intrahospitalarias. Estas complicaciones son deseables para los pacientes, las instituciones de salud y el sistema de salud en general. En la experiencia previa de implementación 16, se reportó una reducción en el tiempo de estancia al comparar los primeros dos años de implementación (5.3 días en promedio) y los dos años subsiguientes (3.42 días en promedio). En general, se observa que el tiempo de estancia hospitalaria se reduce a lo largo del programa de adulto mayor fracturado, replicando la dirección de resultados previamente obtenidos en Colombia.
Adicionalmente, se observaron reducciones en desenlaces como reingresos y mortalidad. Las estimaciones de costos construidas a partir de estas reducciones en tiempos de estancia y complicaciones mostraron también reducción de costos a lo largo del programa. En la publicación del programa previamente implementado, se reportó una reducción en mortalidad durante la implementación del programa (año 1: 22.99%, año 2: 16.22%, año 3: 9.09%, año 4: 12.68%) que fue estadísticamente significativa al comparar los primeros dos años con los últimos dos 16. El programa de adulto mayor fracturado ha mostrado tendencias en la reducción de la mortalidad y los reingresos, que replican resultados de implementaciones previas.
Hay algunos aspectos interesantes para resaltar. En general, ambas instituciones mostraron tendencias similares. Las dos registraron también una reducción en la variabilidad de los tiempos de estancia, indicando posible homogeneización de estos tiempos. Esto puede ser interesante en la medida en que refleje una homogeneización de las necesidades de salud de los pacientes.
Aunque tuvieran tendencias similares, las dos instituciones presentaron algunas diferencias, tanto en las variables observadas en el año base, así como en la magnitud de los cambios vistos durante la implementación. Esto es particularmente evidente en las diferencias en la frecuencia de las complicaciones en las dos instituciones. Este efecto puede deberse a diferencias sistemáticas en las instituciones o el tipo de pacientes atendidos. Una posible explicación para lo observado es que el impacto del programa del adulto mayor no es específico para algún tipo de complicación, sino que afecta las complicaciones en general, mostrando resultados diferentes según el perfil base de la institución. Esta hipótesis podría ser verificada en otro estudio.
En general estos resultados replican los observados en la mortalidad y la estancia en el otro ejemplo de implementación en Colombia, realizado hace más de 10 año en 298 pacientes 16. Esto sugiere que los programas del adulto mayor fracturado pueden tener resultados similares en diferentes instituciones en Colombia. Replicar la implementación y los resultados del programa podría ser factible en nuestro contexto.
Las tendencias registradas en este estudio son similares a las de otros estudios. Dos estudios muestran implementación de programas similares en Estados Unidos. Ellos encontraron que los tiempos de estancia hospitalaria (entre 4.2 y 4.6 días) y el costo total del evento (USD 15,188) fueron sustancialmente mejores en las cohortes de la implementación respecto a otras cohortes presentadas en la literatura 11,14. Otro programa de manejo integral implementado en tres instituciones en Estados Unidos mostró reducciones de tiempos de estancia desde 5.6 días en 826 pacientes antes de la implementación a 4.7 días en 2,069 pacientes después de la implementación 18. Estos resultados son consistentes con las tendencias encontradas en las tres implementaciones reportadas para Colombia.
Nuestro estudio presenta algunas limitaciones derivadas del diseño y la fuente de información. Dada la naturaleza observacional del estudio, no se puede asegurar un control completo de las variables de confusión. Por lo tanto, las variaciones encontradas en los indicadores no se pueden atribuir de manera causal al programa del adulto mayor fracturado. La naturaleza descriptiva implica que las tendencias vistas no tienen necesariamente significancia estadística y los análisis exploratorios son generadores de hipótesis. El uso retrospectivo de información obtenida de forma rutinaria para el cuidado clínico introduce potenciales sesgos de información, particularmente para los desenlaces que ocurren fuera de la institución como la mortalidad al año. Sin embargo, dado que las instituciones usan esta información para proceso de auditoría interna, existen procesos de verificación de la información que mejoran esta situación. Estos aspectos limitan la extrapolación de la información, pero no invalidan los resultados observados.
Conclusiones
El presente estudio describe la experiencia en dos instituciones que implementaron un programa de adulto mayor fracturado en 475 pacientes tratados. Durante los años de implementación, las instituciones mostraron un aumento en el número de pacientes atendidos y en las reducciones en la estancia hospitalaria, las complicaciones, los reingresos y las muertes. El impacto teórico de costos de la estancia y la complicación mostró también una reducción. Estos resultados fueron en general similares en las dos instituciones. Adicionalmente, son similares a los de otra experiencia de implementación previa en Colombia y otros internacionales. Ambos aspectos sugieren que otras instituciones podría replicar la implementación y los resultados del programa a nivel nacional.
REFERENCIAS
1. Marks R. Hip fracture epidemiological trends, outcomes, and risk factors, 1970-2009. Int J Gen Med. 2010; 3: 1-17. DOI: 10.2147/ijgm.s5906 [ Links ]
2. Mundi S, Pindiprolu B, Simunovic N, Bhandari M. Similar mortality rates in hip fracture patients over the past 31 years. Acta Orthop. 2014; 85(1): 54-9. . DOI: 10.3109/17453674.2013.878831 [ Links ]
3. Lin KB, Yang NP, Lee YH, Chan CL, Wu CH, Chen HC, et al. The incidence and factors of hip fractures and subsequent morbidity in Taiwan: An 11-year population-based cohort study. PLoS One. 2018; 13(2):1-11. . DOI: 10.1371/journal.pone.0192388 [ Links ]
4. Kanis JA, Odén A, McCloskey EV, Johansson H, Wahl DA, Cooper C. A systematic review of hip fracture incidence and probability of fracture worldwide. Osteoporos Int. 2012; 23(9): 2239-56. . DOI: 10.1007/s00198-012-1964-3 [ Links ]
5. Rapp K, Büchele G, Dreinhöfer K, Bücking B, Becker C, Benzinger P. Epidemiology of hip fractures: Systematic literature review of German data and an overview of the international literature. Z Gerontol Geriatr. 2019; 52(1): 10-6. DOI: 10.1007/s00391-018-1382-z [ Links ]
6. Haentjens P, Magaziner J, Colón-Emeric CS, Vanderschueren D, Milisen K, Velkeniers B, et al. Meta-analysis: Excess mortality after hip fracture among older women and men. Ann Intern Med. 2010; 152(6): 380-90. . DOI: 10.7326/0003-4819-152-6-201003160-00008 [ Links ]
7. Aziziyeh R, Amin M, Habib M, Garcia Perlaza J, Szafranski K, McTavish RK, et al. The burden of osteoporosis in four Latin American countries: Brazil, Mexico, Colombia, and Argentina. J Med Econ. 2019; 22(7): 638-644. DOI: 10.1080/13696998.2019.1590843. [ Links ]
8. González LA, Vásquez GM, Molina JF. Epidemiología de la osteoporosis. Rev Colomb Reumatol. 2009; 16(1): 61-75. DOI: 10.1016/S0121-8123(09)70119-7 [ Links ]
9. Titler M, Dochterman J, Kim T, Kanak M, Shever L, Picone DM, et al. Cost of care for seniors hospitalized for hip fracture and related procedures. Nurs Outlook. 2007;55(1):5-14. . DOI: 10.1016/j.outlook.2006.06.006 [ Links ]
10. Burge R, Dawson-Hughes B, Solomon DH, Wong JB, King A, Tosteson A. Incidence and economic burden of osteoporosis-related fractures in the United States, 2005-2025. J Bone Miner Res. 2007; 22(3): 465-75. DOI: 10.1359/jbmr.061113 [ Links ]
11. Kates SL, Blake D, Bingham KW, Kates OS, Mendelson DA, Friedman SM. Comparison of an organized geriatric fracture program to united states government data. Geriatr Orthop Surg Rehabil. 2010; 1(1): 15-21. DOI: 10.1177/2151458510382231 [ Links ]
12. Kates SL, Mendelson DA, Friedman SM. Co-managed care for fragility hip fractures (Rochester model). Osteoporos Int. 2010; 21(Suppl 4): S621-5. . DOI: 10.1007/s00198-010-1417-9 [ Links ]
13. Friedman SM, Mendelson DA, Kates SL, McCann RM. Geriatric co-management of proximal femur fractures: total quality management and protocol-driven care result in better outcomes for a frail patient population. J Am Geriatr Soc. 2008; 56(7): 1349-56. . DOI: 10.1111/j.1532-5415.2008.01770.x [ Links ]
14. Kates SL, Malley NO, Friedman SM, Mendelson DA. Barriers to Implementation of an Organized Geriatric Fracture Program. Geriatr Orthop Surg Rehabil. 2012;3(1):8-16. . DOI: 10.1177/2151458512436423 [ Links ]
15. Giusti A, Barone A, Razzano M, Pizzonia M, Pioli G. Optimal setting and care organization in the management of older adults with hip fracture. Eur J Phys Rehabil Med. 2011; 47(2):281-96. [ Links ]
16. Suarez S, Pesantez RF, Diaz ME, Sanchez D, Tristancho LJ, Vanegas MV, et al. Impact on hip fracture mortality after the establishment of an orthogeriatric care program in a colombian hospital. J Aging Health. 2017; 29(3): 474-88. DOI: 10.1177/0898264316636839 [ Links ]
17. Bennett A, Li H, Patel A, Kang K, Gupta P, Choueka J, et al. Retrospective analysis of geriatric patients undergoing hip fracture surgery: delaying surgery is associated with increased morbidity, mortality, and length of stay. Geriatr Orthop Surg Rehabil. 2018; 9: 215145931879526. DOI: 10.1177/2151459318795260 [ Links ]
18. Jackson K, Bachhuber M, Bowden D, Etter K, Tong C. Comprehensive hip fracture care program: successive implementation in 3 hospitals. Geriatr Orthop Surg Rehabil. 2019; 10. DOI: 10.1177/2151459319846057 [ Links ]
Notas:
Material Suplementario
Tabla 1S Proporción del tipo de complicación, por institución y año de implementación.
| Variable | Año de implementación | Total | A | B |
|---|---|---|---|---|
| Número de pacientes con delirium | Base | 0.273 | 0.182 | 0.386 |
| 1 | 0.142 | 0.156 | 0.122 | |
| 2 | 0.26 | 0.239 | 0.286 | |
| 3 | 0.203 | NR | 0.203 | |
| 4 | 0.13 | NR | 0.13 | |
| Número de pacientes con eventos cardiovasculares | Base | 0.071 | 0.127 | 0 |
| 1 | 0.009 | 0.016 | 0 | |
| 2 | 0.016 | 0.014 | 0.018 | |
| 3 | 0.017 | NR | 0.017 | |
| 4 | 0.013 | NR | 0.013 | |
| Número de pacientes con eventos neurologicos | Base | 0.01 | 0.018 | 0 |
| 1 | 0 | 0 | 0 | |
| 2 | 0.008 | 0.014 | 0 | |
| 3 | 0 | NR | 0 | |
| 4 | 0 | NR | 0 | |
| Número de pacientes con infección en el sitio de intervención quirúrgica | Base | 0.061 | 0.091 | 0.023 |
| 1 | 0.027 | 0.047 | 0 | |
| 2 | 0.016 | 0.028 | 0 | |
| 3 | 0.017 | NR | 0.017 | |
| 4 | 0 | NR | 0 | |
| Número de pacientes con infección en el tracto urinario | Base | 0.081 | 0.109 | 0.045 |
| 1 | 0.071 | 0.078 | 0.061 | |
| 2 | 0.039 | 0.056 | 0.018 | |
| 3 | 0.034 | NR | 0.034 | |
| 4 | 0.026 | NR | 0.026 | |
| Número de pacientes con neumonía | Base | 0.071 | 0.073 | 0.068 |
| 1 | 0.018 | 0.031 | 0 | |
| 2 | 0.024 | 0.028 | 0.018 | |
| 3 | 0.034 | NR | 0.034 | |
| 4 | 0.013 | NR | 0.013 | |
| Número de pacientes con tromboembolismo pulmonar | Base | 0.061 | 0.109 | 0 |
| 1 | 0.035 | 0.062 | 0 | |
| 2 | 0.008 | 0.014 | 0 | |
| 3 | 0 | NR | 0 | |
| 4 | 0.013 | NR | 0.013 | |
| Número de pacientes con trombosis venosa profunda | Base | 0 | 0 | 0 |
| 1 | 0.009 | 0.016 | 0 | |
| 2 | 0 | 0 | 0 | |
| 3 | 0 | NR | 0 | |
| 4 | 0.013 | NR | 0.013 | |
| Número de pacientes con ulceras de presión | Base | 0.04 | 0.036 | 0.045 |
| 1 | 0.009 | 0.016 | 0 | |
| 2 | 0.016 | 0 | 0.036 | |
| 3 | 0.051 | NR | 0.051 | |
| 4 | 0.026 | NR | 0.026 |
Tabla 2S Proporción de pacientes que logran cada tipo de resultado, según la institución y el año de implementación.
| Institución | ||||
|---|---|---|---|---|
| Variable | Año implementación | Total | A | B |
| Re-admisiones 30 dias | Base | 0.162 | 0.145 | 0.182 |
| 1 | 0.124 | 0.125 | 0.122 | |
| 2 | 0.118 | 0.07 | 0.179 | |
| 3 | 0.085 | NR | 0.085 | |
| 4 | 0.156 | NR | 0.156 | |
| Mortalidad intra-hospitalaria | Base | 0.04 | 0.036 | 0.045 |
| 1 | 0.009 | 0.016 | 0 | |
| 2 | 0.024 | 0.028 | 0.018 | |
| 3 | 0.034 | NR | 0.034 | |
| 4 | 0.026 | NR | 0.026 | |
| Mortalidad primer mes | Base | 0.01 | 0.018 | 0 |
| 1 | 0.035 | 0.047 | 0.02 | |
| 2 | 0.024 | 0.014 | 0.036 | |
| 3 | 0 | NR | 0 | |
| 4 | 0.026 | NR | 0.026 | |
| Mortalidad primer año | Base | 0.111 | 0.109 | 0.114 |
| 1 | 0.053 | 0.047 | 0.061 | |
| 2 | 0.055 | NR | 0.071 | |
| 3 | 0.051 | NR | 0.051 | |
| 4 | NR | NR | NR | |
Tabla 3S Recursos estimados para hospitalización y complicación para cada evento, con precios en USD.
| Unitary Price (USD) | |||||
|---|---|---|---|---|---|
| S11303 | Ward hospitalization - 3 beds - high complexity | 22.1 | |||
| S12103 | Adult intensive care unit | 164.5 | |||
| CUPS | Laboratories, consultations, procedures | 5.5 | Number | % Patients | |
| 890702 | Emergency consultation, specialized medicine | 3.3 | 8 | 100 | |
| 902210 | Type IV hemogram | 3.8 | 3 | 100 | |
| 903839 | Arterial blood gases | 0.9 | 2 | 100 | |
| 903825 | Creatinine in the blood | 80.4 | 4 | 100 | |
| 901314 | Mycobacterium, identification by PCR | 6.3 | 2 | 50 | |
| 871121 | Chest X-ray | 2.5 | 2 | 100 | |
| 939400 | Respiratory therapy | 33.6 | 40 | 100 | |
| 879301 | Chest CT scan | 5.5 | 1 | 100 | |
| CUPS | Medications | Daily dose | # days | % Patients | |
| Sultamicillin, taken orally 375 mg (# tab/day) | 750 | 7 | 40 | ||
| Clarithromycin, taken orally (mg/day) | 1000 | 7 | 70 | ||
| Oxygen (L/day) | 4320 | 7 | 60 | ||
| Ampicillin + Sulbactam, intravenous (g/day) | 12 | 10 | 60 | ||
| Clarithromycin, intravenous (mg/day) | 1000 | 7 | 70 | ||
| Paracetamol, taken orally (mg/day) | 3000 | 7 | 80 | ||
| Omeprazole, taken orally (mg/day) | 40 | 7 | 100 | ||
| Enoxaparin subcutaneous (mg/day) | 40 | 7 | 100 | ||
| Ipratropium bromide inhaler (puff/day) | 8 | 7 | 80 | ||
| Cefepime, intravenous (mg/day) | 3000 | 10 | 30 | ||
| Piperacillin - Tazobactam, intravenous (mg/day) | 18000 | 10 | 40 | ||
| Methylprednisolone, intravenous (mg/day) | 375 | 5 | 50 | ||
| Ward (%) | ICU (%) | ||||
| In what percentage of patients is hospitalization required for care regarding the event? | 80 | 20 | |||
| CUPS | ISS 2001 | Ward | ICU | ||
| Of those hospitalized, what is the average duration of their stay (days)? | 7 | 5 | |||
| CUPS | Laboratories, consultations, procedures | ISS 2001 | Number | % Patients | |
| 890702 | Emergency consultation, specialized medicine | 5.5 | 9 | 100 | |
| 902210 | Type IV hemogram | 3.3 | 2 | 100 | |
| 903825 | Creatinine in the blood | 0.9 | 2 | 100 | |
| 903856 | BUN in the blood | 1.1 | 2 | 100 | |
| 903703 | Vitamin B12 [Cyanocobalamin] | 9.9 | 1 | 100 | |
| 903706 | Vitamin D25 Hydroxy Total [D2-D3] [Calciferol] | 13.8 | 1 | 100 | |
| 904902 | TSH | 7.3 | 1 | 100 | |
| 903864 | Sodium in the blood | 1.8 | 1 | 100 | |
| 903859 | Potassium in the blood | 2.5 | 1 | 100 | |
| 871121 | Chest X-ray (PA or AP and lateral, lateral decubitus, oblique or lateral with barium) | 6.3 | 1 | 100 | |
| 907107 | Urine test | 1.1 | 1 | 100 | |
| 879111 | Brain CT | 29.4 | 1 | 70 | |
| CUPS | Medications | Daily dose | # days | % Patients | |
| Haloperidol, taken orally (mg/day) | 3 | 5 | 70 | ||
| Quetiapine, taken orally (mg/day) | 100 | 5 | 50 | ||
| Olanzapine, taken orally (mg/day) | 10 | 5 | 30 | ||
| Ward | ICU | ||||
| In what percentage of patients is hospitalization required for care regarding the event? | 80% | 0% | |||
| CUPS | ISS 2001 | Ward | ICU | ||
| Of those hospitalized, what is the average duration of their stay (days)? | 5 | 0 | |||
| CUPS | Laboratories, consultations, procedures | ISS 2001 | Number | % Patients | |
| 890702 | Emergency consultation, specialized medicine | 5.5 | 6 | 100 | |
| 902210 | Type IV hemogram | 3.3 | 2 | 100 | |
| 903825 | Creatinine in the blood | 0.9 | 2 | 60 | |
| 901221 | Blood culture | 9.2 | 2 | 100 | |
| 881332 | Ultrasound of urinary tract | 9.1 | 1 | 100 | |
| 907107 | Urine test | 1.1 | 1 | 100 | |
| 901236 | Urine culture | 8.8 | 1 | 100 | |
| 550401 | Percutaneous nephrostomy | 75.6 | 1 | 10 | |
| 879420 | CT urography | 40.3 | 1 | 30 | |
| CUPS | Medications | Daily dose | # days | % Patients | |
| Ampicillin + Sulbactam, intravenous (g/day) | 12 | 7 | 10 | ||
| Ceftriaxone, intravenous (mg/day) | 2000 | 7 | 80 | ||
| Piperacillin - Tazobactam, intravenous (mg/day) | 18000 | 10 | 4 | ||
| Ciprofloxacin, intravenous (mg/day) | 800 | 7 | 1 | ||
| Ertapenem, intravenous (g/day) | 1 | 10 | 2 | ||
| Meropenem, intravenous (mg/day) | 3000 | 10 | 3 | ||
| Ward | ICU | ||||
| In what percentage of patients is hospitalization required for care regarding the event? | 90% | 10% | |||
| CUPS | ISS 2001 | Ward | ICU | ||
| Of those hospitalized, what is the average duration of their stay (days)? | 5 | 10 | |||
| CUPS | Laboratories, consultations, procedures | ISS 2001 | Number | % Patients | |
| 890702 | Emergency consultation, specialized medicine | 5.5 | 1 | 70 | |
| 902210 | Type IV hemogram | 3.3 | 1 | 100 | |
| 906913 | Automated high precision C-reactive protein test | 4.7 | 1 | 100 | |
| 902205 | Automated erythrocyte sedimentation rate (ESR) | 0.4 | 1 | 100 | |
| 862803 | Non-excisional debridement of devitalized tissue, between 10% and 20% of body surface | 0.0 | 1 | 30 | |
| S23202 | Treatment - S23202 | 16.8 | |||
| S41101 | Surgical or gyneco-obstetric clinical specialists | 0.4 | |||
| S41201 | Anesthesiology specialists | 0.3 | |||
| S41301 | Surgical assistant | 0.1 | |||
| S55104 | Suture material | 13.7 | |||
| 901217 | Microorganism culture in any sample other than bone marrow, urine and feces (#2) | 4.3 | 1 | 100 | |
| 901209 | Sample of intrasurgical cultures | 3.8 | 1 | 100 | |
| 901107 | Gram staining and reading for any sample | 0.9 | 1 | 100 | |
| CUPS | Medications | Daily dose | # days | % Patients | |
| Cefalexin, taken orally (mg/day) | 4000 | 7 | 70 | ||
| Amikacin, intravenous (mg/day) | 500 | 7 | 30 | ||
| Paracetamol, taken orally (mg/day) | 1500 | 3 | 70 | ||
| Ward | ICU | ||||
| In what percentage of patients is hospitalization required for care regarding the event? | 100% | 0% | |||
| CUPS | ISS 2001 | Ward | ICU | ||
| Of those hospitalized, what is the average duration of their stay (days)? | 2 | 0 | |||
| CUPS | Laboratories, consultations, procedures | ISS 2001 | Number | % Patients | |
| 890702 | Emergency consultation, specialized medicine | 5.5 | 8 | 70 | |
| 902210 | Type IV hemogram | 3.3 | 3 | 100 | |
| 906913 | Automated high precision C-reactive protein test | 4.7 | 2 | 100 | |
| 902205 | Automated erythrocyte sedimentation rate (ESR) | 0.4 | 2 | 100 | |
| 862803 | Non-excisional debridement of devitalized tissue, between 10% and 20% of body surface | 0.0 | 2 | 100 | |
| 901217 | Microorganism culture in any sample other than bone marrow, urine and feces (#2) | 4.3 | 2 | 100 | |
| 901209 | Sample of intrasurgical cultures | 3.8 | 2 | 100 | |
| 901107 | Gram staining and reading for any sample | 0.9 | 2 | 100 | |
| 862601 | Debridement with placement of subatmospheric pressure device | 552.1 | 1 | 100 | |
| 862602 | Subatmospheric pressure device replacement | 318.5 | 7 | 100 | |
| 965902C | Enterostomal therapy (wound care) | 2.0 | 8 | 100 | |
| CUPS | Medications | Daily dose | # days | % Patients | |
| Ampicillin + Sulbactam, intravenous (g/day) | 12 | 7 | 1 | ||
| Zinc oxide (30 g of active agent) | 1 | 1 | 60 | ||
| Collagenase 120 UI (40 g) | 1 | 1 | 10 | ||
| Hydrocolloid dressing | 8.7 | 1 | 1 | 10 | |
| Saline solution | 250 | 1 | 90 | ||
| Ward | ICU | ||||
| In what percentage of patients is hospitalization required for care regarding the event? | 90% | 10% | |||
| CUPS | ISS 2001 | Ward | ICU | ||
| Of those hospitalized, what is the average duration of their stay (days)? | 15 | 0 | |||
| CUPS | Laboratories, consultations, procedures | ISS 2001 | Number | % Patients | |
| 890701 | Emergency consultation, general medicine | 3.8 | 1 | 100 | |
| S20201 | Emergency observation unit (service for highly complex cases) | 11.1 | 1 | 100 | |
| 902104 | D-dimer | 9.0 | 1 | 100 | |
| 890302 | Specialized medicine consultation | 3.8 | 3 | 100 | |
| 871121 | Chest X-ray | 6.3 | 1 | 100 | |
| 879301 | Chest CT | 33.6 | 1 | 90 | |
| 920304 | Gammagraphy of pulmonary ventilation and perfusion | 41.1 | 1 | 10 | |
| 882333 | Duplex scanning of the lower extremity arteries | 24.8 | 1 | 100 | |
| 895101 | Electrocardiogram of the rhythm or the surface | 4.1 | 1 | 100 | |
| 881234 | M-mode and two-dimensional echocardiogram | 50.1 | 1 | 100 | |
| 895001 | Dynamic electrocardiography (Holter) | 37.6 | 1 | 40 | |
| 902045 | PT | 2.3 | 2 | 100 | |
| 902049 | PTT | 2.8 | 1 | 100 | |
| 902210 | Type IV hemogram | 3.3 | 1 | 100 | |
| 903839 | Arterial gases | 3.8 | 1 | 100 | |
| 903066 | Brain natriuretic peptide (BNP) | 43.9 | 1 | 100 | |
| 903439 | Troponin T, quantitative | 11.9 | 1 | 100 | |
| CUPS | Medications | Daily dose | # days | % Patients | |
| Enoxaparin, subcutaneous (mg/day) | 120 | 180 | 85 | ||
| Warfarin, taken orally (mg/day) | 5 | 180 | 80 | ||
| Apixaban, taken orally (mg/day) | 10 | 180 | 10 | ||
| Rivaroxaban, taken orally (mg/day) | 20 | 180 | 10 | ||
| Dabigatran, taken orally (mg/day) | 300 | 180 | 10 | ||
| Ward | ICU | ||||
| In what percentage of patients is hospitalization required for care regarding the event? | 95% | 5% | |||
| CUPS | ISS 2001 | Ward | ICU | ||
| Of those hospitalized, what is the average duration of their stay (days)? | 3 | 8 | |||
| CUPS | Laboratories, consultations, procedures | ISS 2001 | Number | % Use | |
| 890701 | Emergency consultation, general medicine | 3.8 | 1 | 100 | |
| S20201 | Emergency observation unit (service for highly complex cases) | 11.1 | 1 | 100 | |
| 902104 | D-dimer | 9.0 | 1 | 100 | |
| 890302 | Specialized medicine consultation | 3.8 | 10 | 100 | |
| 894402 | 6-minute walk | 16.7 | 1 | 30 | |
| 871121 | Chest X-ray | 6.3 | 1 | 100 | |
| 879301 | Chest CT | 33.6 | 1 | 90 | |
| 920304 | Gammagraphy of pulmonary ventilation and perfusion | 41.1 | 1 | 10 | |
| 882333 | Duplex scanning of the lower extremity arteries | 24.8 | 1 | 100 | |
| 895101 | Electrocardiogram of the rhythm or the surface | 4.1 | 5 | 100 | |
| 881234 | M-mode and two-dimensional echocardiogram | 50.1 | 1 | 100 | |
| 895001 | Dynamic electrocardiography (Holter) | 37.6 | 1 | 60 | |
| 902045 | PT | 2.3 | 1 | 100 | |
| 902049 | PTT | 2.8 | 5 | 100 | |
| 902210 | Type IV hemogram | 3.3 | 1 | 100 | |
| 903839 | Arterial gases | 3.8 | 1 | 100 | |
| 903066 | Brain natriuretic peptide (BNP) | 43.9 | 1 | 100 | |
| 903439 | Troponin T, quantitative | 11.9 | 1 | 100 | |
| CUPS | Medications | Daily dose | # days | % Patients | |
| Enoxaparin, subcutaneous (mg/day) | 120 | 180 | 95 | ||
| Warfarin, taken orally (mg/day) | 5 | 180 | 80 | ||
| Apixaban, taken orally (mg/day) | 10 | 180 | 10 | ||
| Rivaroxaban, taken orally (mg/day) | 20 | 180 | 10 | ||
| Dabigatran, taken orally (mg/day) | 300 | 180 | 10 | ||
| Ward | ICU | ||||
| In what percentage of patients is hospitalization required for care regarding the event? | 30% | 70% | |||
| CUPS | ISS 2001 | Ward | ICU | ||
| Of those hospitalized, what is the average duration of their stay (days)? | 10 | 15 | |||
| CUPS | Laboratories, consultations, procedures | ISS 2001 | Number | % Use | |
| 890701 | Emergency consultation, general medicine | 3.8 | 1 | 100 | |
| 890701 | Interconsultation by specialized medicine (internal medicine, family medicine or cardiology) | 5.1 | 10 | 100 | |
| 903426 | Glycated hemoglobin | 5.9 | 1 | 100 | |
| 903818 | Total cholesterol | 1.3 | 1 | 100 | |
| 903815 | HDL cholesterol | 1.7 | 1 | 100 | |
| 903816 | LDL cholesterol | 1.7 | 1 | 100 | |
| 903868 | Triglycerides | 1.6 | 1 | 100 | |
| 895101 | Electrocardiogram | 4.1 | 10 | 100 | |
| 881232 | Transthoracic echocardiogram (M-mode and two-dimensional) | 24.9 | 1 | 100 | |
| 372301 | Cardiac catheterization of the right and left sides of the heart with electrophysiological study | 227.0 | 1 | 100 | |
| C40558 | Coronary angioplasty with balloon | 1,378.2 | 1 | 60 | |
| Medicated stent | 1 | 100 | |||
| 871121 | Chest X-ray | 6.3 | 1 | 100 | |
| 903841 | Glycemia | 0.9 | 10 | 100 | |
| 902045 | PT | 2.3 | 5 | 100 | |
| 902049 | PTT | 2.8 | 5 | 100 | |
| 903439 | Troponin T | 11.9 | 5 | 100 | |
| 904902 | Thyroid stimulating hormone (TSH) | 7.3 | 1 | 100 | |
| 903825 | Creatinine in the blood | 0.9 | 4 | 100 | |
| 903856 | Blood urea nitrogen (BUN) | 1.1 | 4 | 100 | |
| 907107 | Urinary sediment and density analysis | 1.1 | 2 | 100 | |
| 902210 | Type IV hemogram | 3.3 | 3 | 100 | |
| 933600 | Cardiac rehabilitation therapy | 5.9 | 10 | 100 | |
| CUPS | Medications | Daily dose | # days | % Patients | |
| Losartan, taken orally (mg/day) | 100 | 10 | 90 | ||
| Metoprolol tartrate, taken orally (mg/day) | 300 | 10 | 50 | ||
| Atorvastatin, taken orally (mg/day) | 80 | 10 | 100 | ||
| Aspirin, taken orally (mg/day) | 100 | 10 | 100 | ||
| Clopidogrel, taken orally (mg/day) | 75 | 10 | 100 | ||
| Oxygen (L/day) | 4320 | 5 | 100 | ||
| Morphine, intravenous (mg/day) | 10 | 5 | 70 | ||
| Metoclopramide, taken orally (mg/day) | 30 | 5 | 50 | ||
| Bisacodyl, taken orally (mg/day) | 10 | 10 | 100 | ||
| Nitroglycerine, intravenous (mg/day) | 50 | 3 | 100 | ||
| Carvedilol, taken orally (mg/day) | 25 | 10 | 20 | ||
| Bisoprolol, taken orally (mg/day) | 10 | 10 | 30 | ||
| Ward | ICU | ||||
| In what percentage of patients is hospitalization required for care regarding the event? | 10% | 90% | |||
| CUPS | ISS 2001 | Ward | ICU | ||
| Of those hospitalized, what is the average duration of their stay (days)? | 5 | 7 | |||
| CUPS | Laboratories, consultations, procedures | ISS 2001 | Number | % Use | |
| 890701 | Emergency consultation, general medicine | 3.8 | 1 | 100 | |
| 890701 | Interconsultation by specialized medicine (internal medicine, family medicine or neurology) | 5.1 | 10 | 100 | |
| 903426 | Glycated hemoglobin | 5.9 | 1 | 100 | |
| 903818 | Total cholesterol | 1.3 | 1 | 100 | |
| 903815 | HDL cholesterol | 1.7 | 1 | 100 | |
| 903816 | LDL cholesterol | 1.7 | 1 | 100 | |
| 903868 | Triglycerides | 1.6 | 1 | 100 | |
| 903841 | Glycemia | 0.9 | 7 | 100 | |
| 902045 | PT | 2.3 | 3 | 100 | |
| 902049 | PTT | 2.8 | 3 | 100 | |
| 903439 | Troponin T | 11.9 | 1 | 100 | |
| 904902 | Thyroid stimulating hormone (TSH) | 7.3 | 1 | 100 | |
| 903825 | Creatinine in the blood | 0.9 | 2 | 100 | |
| 903856 | Blood urea nitrogen (BUN) | 1.1 | 2 | 100 | |
| 907107 | Urinary sediment and density analysis | 1.1 | 2 | 90 | |
| 903605 | Ionogram (chlorine, sodium, potassium and bicarbonate or calcium) | 6.6 | 3 | 100 | |
| 902210 | Type IV hemogram | 3.3 | 2 | 100 | |
| 902109 | Glucose-6-phosphate dehydrogenase, quantitative | 8.1 | 1 | 20 | |
| 895101 | Electrocardiogram | 4.1 | 1 | 100 | |
| 881232 | Transthoracic echocardiogram (M-mode and two-dimensional) | 24.9 | 1 | 100 | |
| 881233 | Echocardiogram, M-mode and two-dimensional with Doppler | 39.2 | 1 | 100 | |
| 881235 | Transoesophageal echocardiogram | 63.7 | 1 | 50 | |
| 871121 | Chest X-ray | 6.3 | 1 | 100 | |
| 879111 | Brain CAT | 29.4 | 1 | 100 | |
| 882110 | Carotid Doppler test (vertebral arteries and jugular vein) | 21.1 | 1 | 100 | |
| 883101 | Nuclear magnetic resonance of the brain | 80.6 | 1 | 100 | |
| 931000 | Complete physical therapy | 3.9 | 7 | 100 | |
| 938300 | Complete occupational therapy | 1.8 | 5 | 100 | |
| 937000 | Complete phonoaudiological therapy | 1.8 | 5 | 100 | |
| S41501 | Daily enteral or parenteral nutritional management of the hospitalized patient | 1.2 | 3 | 100 | |
| CUPS | Medications | Daily dose | # days | % Patients | |
| Losartan, taken orally (mg/day) | 100 | 8 | 90 | ||
| Metoprolol tartrate, taken orally (mg/day) | 300 | 8 | 50 | ||
| Atorvastatin, taken orally (mg/day) | 80 | 8 | 90 | ||
| Aspirin, taken orally (mg/day) | 100 | 8 | 100 | ||
| Clopidogrel, taken orally (mg/day) | 75 | 8 | 100 | ||
| Oxygen (L/day) | 4320 | 5 | 100 | ||
| Bisoprolol, taken orally (mg/day) | 10 | 8 | 30 | ||
| Carvedilol, taken orally (mg/day) | 25 | 8 | 20 | ||
| Enalapril, taken orally (mg/day) | 40 | 8 | 10 | ||
| Enoxaparin, subcutaneous (mg/day) | 120 | 8 | 50 | ||
| Ward | ICU | ||||
| In what percentage of patients is hospitalization required for care regarding the event? | 50% | 50% | |||
| CUPS | ISS 2001 | Ward | ICU | ||
| Of those hospitalized, what is the average duration of their stay (days)? | 5 | 3 |
Tabla 4S Costos estimados por evento y por día para hospitalización y complicaciones en USD.
| Evento | promedio |
|---|---|
| Pneumonia/evento | $ 882.0 |
| Delirium/evento | $ 276.5 |
| Infección del tracto urinario /evento | $ 485.9 |
| Infección del sitio quirúrgico /evento | $ 205.6 |
| Úlceras por presión /evento | $ 1,560.2 |
| trombosis venosa profunda /evento | $ 1,519.9 |
| Embolia pulmonar /evenot | $ 3,891.6 |
| Evento cardiovascular /evento | $ 3,186.4 |
| Evento neurológico /evento | $ 986.9 |
| Piso de hospitalización - alta complejidad / dia | $ 22.1 |
| Unidad de cuidados intensivos para adultos / dia | $ 164.5 |
Recibido: 31 de Agosto de 2020; Revisado: 03 de Marzo de 2021; Aprobado: 05 de Mayo de 2021










texto em 







