Services on Demand
Journal
Article
Indicators
-
Cited by SciELO -
Access statistics
Related links
-
Cited by Google -
Similars in
SciELO -
Similars in Google
Share
DYNA
Print version ISSN 0012-7353On-line version ISSN 2346-2183
Dyna rev.fac.nac.minas vol.77 no.164 Medellín Oct./Dec. 2010
CONEXIONES PERNADAS DE MADERA REFORZADAS CON PLACAS DENTADAS DE ACERO
DOWEL-TYPE TIMBER JOINTS REINFORCED WITH STEEL NAIL PLATES
CÉSAR AUGUSTO ECHAVARRÍA LÓPEZ
Escuela de Construcción, Universidad Nacional de Colombia, Medellín, caechavarrial@unal.edu.co
CARLOS ALEJANDRO CORREA CARDEÑO
Escuela de Ingeniería Civil, Universidad Nacional de Colombia, Medellín, c1correa@unal.edu.co
CAMILO ECHEVERRI GUISAO
Escuela de Ingeniería Civil, Universidad Nacional de Colombia, Medellín, cecheve@unal.edu.co
Recibido para revisar Febrero 11 de 2009, aceptado Septiembre 8 de 2009, versión final Septiembre 15 de 2009
RESUMEN: En este artículo se estudia el uso de placas dentadas de acero como refuerzo para evitar rupturas de tipo frágil en conexiones pernadas de madera. Se presenta un modelo teórico basado en el método de las funciones complejas que permite calcular las tensiones en una unión de madera. Diversos ensayos de laboratorio con conexiones pernadas de madera, no reforzadas y reforzadas con placas dentadas de acero, muestran que con el modelo teórico adoptado se puede predecir la capacidad resistente de dichas conexiones. Las placas dentadas de acero aumentan la capacidad resistente de la conexión y permiten reducir la distancia al borde de los pernos. Experimentalmente, se evidencia que el comportamiento de las conexiones reforzadas es dúctil.
PALABRAS CLAVE: conexiones pernadas de madera, placas dentadas de acero, capacidad resistente.
ABSTRACT: In this paper the use of steel nail plates as reinforcement to prevent brittle failures in dowel-type timber joints is studied. A theoretical model based on the method of the complex functions to calculate the stresses in a timber joint is presented. Laboratory tests with non-reinforced and reinforced timber joints show that with the theoretical model it is possible to predict adequately the load-carrying capacity of the joints. The steel nail plates increase the joint load-carrying capacity and consent to reduce the bolt edge distance. It is established experimentally that all reinforced joints behave explicitly more ductile.
KEYWORDS: dowel-type timber joints, steel nail plates, load-carrying capacity.
1. INTRODUCCIÓN
Una ruptura de tipo frágil, con inicio de la fisuración en las cercanías de las perforaciones, ocurre con frecuencia en las conexiones de madera con conectadores metálicos.
Actualmente, no hay soluciones analíticas disponibles que permitan determinar las concentraciones de tensiones en las conexiones de madera. La mayoría de los procedimientos de diseño existentes en los códigos están basados en el European yield model (Eurocode 5 [1]). Los códigos de diseño de estructuras de madera (CSA O86 [2], Eurocode 5 [1], NDS [3]) consideran rupturas de tipo dúctil y usan correcciones empíricas aproximadas para posibles fallas frágiles de las conexiones.
Desafortunadamente, la estimación analítica de las tensiones en una conexión pernada de madera es un problema difícil de resolver; la madera es un material altamente anisotrópico con un comportamiento notoriamente frágil en tracción. Debido a la importancia del problema, las conexiones de materiales anisotrópicos con conectadores metálicos han sido estudiadas usando métodos analíticos (De Jong [4], Zhang y Ueng [5]), numéricos (Wong y Matthews [6], Dano et al. [7]) y experimentales (Quinn y Matthews [8], Collings y Beauchamp [9]).
Kharouf et al. [10] desarrollaron un modelo numérico no lineal para estudiar el comportamiento de conexiones pernadas de madera con relaciones de diámetro de conectador a espesor de miembro conectado relativamente bajas.
Jorissen [11] intentó explicar la falla de tipo frágil en conexiones pernadas de madera, mediante el uso del European yield model al calcular las tensiones a lo largo de trayectorias de ruptura potencialmente críticas dentro del miembro de madera conectado. Las tensiones promedio de tracción perpendicular a las fibras de la madera y de cortante fueron comparadas con las de un modelo de mecánica de la fractura para predecir la capacidad resistente de la conexión. En general, estos modelos y otros encontrados en la literatura no entregan una solución analítica que pueda ser usada en la práctica.
La evaluación analítica de las tensiones en una conexión de un material anisotrópico puede ser muy útil para la preparación de ensayos y para la optimización de las conexiones pernadas.
En la primera parte de este artículo, se muestra por lo tanto un modelo analítico desarrollado por uno de los autores (Echavarría [12,13]). Este modelo teórico puede usarse en conexiones pernadas de materiales ortotrópicos. La madera se considera como un material ortotrópico con un eje principal paralelo a las fibras y otro perpendicular a las mismas.
Además de determinar analíticamente las tensiones, se hace necesario optimizar el comportamiento mecánico de la conexión de madera eliminando las rupturas de tipo frágil. Diversos autores han estudiado la mejor manera de reforzar las conexiones pernadas de madera para eliminar el comportamiento mecánico frágil. Se han propuesto métodos que involucran tornillos autoperforantes (Blass y Betja [14], Blass y Schmid [15], Echavarría [13]); refuerzos con fibra de carbono y/o vidrio (Haller et al. [16], Rowlands et al. [17]); placas metálicas (Blass et al. [18]) y tubos metálicos (Jorissen [11]).
Blass et al. [18] presentaron un modelo teórico para calcular la capacidad resistente de conexiones pernadas de madera reforzadas en la zona de unión con placas metálicas. El modelo representa una extensión de la teoría de análisis límite de Johansen, también conocida como European yield model, para conectadores metálicos. Dichos análisis no contemplan las rupturas frágiles.
En la segunda parte de este artículo, se presenta un estudio experimental de conexiones pernadas de madera reforzadas con placas dentadas de acero. Se compara la capacidad resistente obtenida de los ensayos con la estimada por la formulación analítica. En este estudio, se verifica nuevamente el modelo teórico propuesto con los resultados de múltiples ensayos de laboratorio.
Con el uso de las placas dentadas de acero se busca incrementar la capacidad resistente de la conexión pernada de madera. El uso del refuerzo eliminará las rupturas de tipo frágil.
Además, el refuerzo permite que la capacidad resistente de la conexión exceda la resistencia de los miembros conectados. De esta forma, se puede aumentar la fiabilidad de la estructura de madera.
2. TENSIONES EN UNA SECCIÓN PERFORADA ORTOTRÓPICA Y ELÁSTICA
En Echavarría [12,13], un modelo analítico que usa funciones complejas de tensión se desarrolla para ser utilizado en conexiones de materiales ortotrópicos con conectadores.
A continuación, se muestran las ecuaciones y las consideraciones generales del modelo analítico que permiten predecir la capacidad resistente de las conexiones pernadas de madera. Los valores estimados analíticamente se comparan en las siguientes secciones de este artículo con los valores experimentales.
Se considera una sección ortotrópica y homogénea de anchura b con una perforación circular de diámetro D como se muestra en la Fig 1. Sean x y y los ejes principales de la sección. La carga actuante en la conexión F actúa en la dirección longitudinal (eje y). El eje longitudinal y puede ser, en las conexiones de madera, perpendicular o paralelo a las fibras. La perforación está localizada a una distancia e del borde cargado de la sección. La holgura entre el conectador y la perforación se denomina λ.
Figura 1. Geometría de la conexión y condiciones de frontera
Figure 1. Joint geometry and boundary conditions
El análisis de la conexión es esencialmente un problema de contacto de dos cuerpos. Cuando el conectador se desplaza hace contacto con una parte de la perforación. Normalmente, la zona de contacto es desconocida. Con el objetivo de simplificar el análisis de las tensiones, se emplea un método inverso. Se supone un valor del ángulo de contacto entre el conectador y la madera y luego se calcula la fuerza correspondiente. El proceso se repite para varios ángulos de contacto. Se asume además que la perforación es cargada sin fricción sobre una parte de su borde por un conectador infinitamente rígido de diámetro d. La fuerza resultante en la conexión F es igual a 2pRt, donde p es la compresión localizada o aplastamiento promedio, R es el radio de la perforación y t es el espesor de la sección.
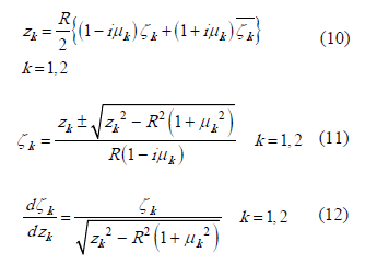
Para obtener las tensiones se emplea el método de funciones complejas (Lekhnitskii [19], Muskhelishvili [20]) para materiales anisotrópicos. El desarrollo completo de cada ecuación se puede encontrar en Echavarría [12,13]. Para un estado plano de tensiones en placas ortotrópicas las tensiones pueden expresarse mediante dos funciones complejas
y
:

Donde
y
son funciones de tensión de las variables complejas
y
:

Los parámetros complejos de primer orden m1 y m2 son definidos por las constantes elásticas Sij del material conectado usando las siguientes relaciones:

Las coordenadas de un punto cualquiera de la conexión en un plano complejo están dadas por:

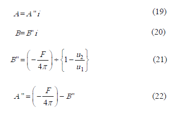
En general, las funciones de variable compleja pueden ser estimadas usando las condiciones de frontera del problema. Las soluciones se resumen a continuación:


Los valores de las constantes complejas A y B se calculan a partir de:

Donde
y
son constantes dadas por:


En el plano complejo

Las funciones de tensión quedan entonces completamente determinadas.
Con este método analítico es posible estimar las tensiones en cualquier punto de la conexión. Las tensiones pueden ser calculadas para diferentes materiales ortotrópicos siempre y cuando las constantes elásticas básicas sean conocidas. Aunque fue desarrollado para materiales compuestos ortotrópicos, este modelo analítico es igualmente eficaz para evaluar las conexiones pernadas de madera no reforzadas y reforzadas.
3. FALLA FRÁGIL EN UNA CONEXIÓN PERNADA DE MADERA Y AUMENTO DE LA CAPACIDAD RESISTENTE
Uno de los principios fundamentales del diseño estructural consiste en evitar la falla de tipo frágil de las uniones. En las conexiones pernadas de madera, esta falla ocurre como consecuencia del exceso de tensiones de tracción perpendicular a las fibras de la madera. En los códigos de diseño de estructuras de madera, se considera indirectamente el riesgo de falla por tracción perpendicular a las fibras y por desgarramiento en cizalladura. Se recomienda entonces el uso de distancias mínimas del conectador al borde cargado y al no cargado. Igualmente, se aconseja un espaciamiento mínimo entre conectadores.
La falla frágil puede ocurrir, sin embargo, en conexiones con conectadores de gran diámetro y baja esbeltez, en conexiones con distancias al borde insuficientes y en secciones con un alto grado de anisotropía (maderas duras con una alta resistencia paralela a las fibras y relativamente baja resistencia perpendicular a las fibras).
El modelo propuesto puede ser usado para determinar analíticamente las concentraciones de tensiones en el rango elástico en la conexión pernada y para predecir los modos de ruptura de tipo frágil.
En las Tablas 1 y 2 se presentan las propiedades elásticas de la especie red spruce (madera nativa del este de Norteamérica) usada en la parte experimental.
Tabla 1. Constantes elásticas de la especie red spruce no reforzada [21]
Table 1. Elastic constants of non-reinforced red spruce [21]

Tabla 2. Constantes elásticas de la especie red spruce reforzada
Table 2. Elastic constants of reinforced red spruce

La Tabla 3 resume las tensiones máximas calculadas a lo largo del borde de la perforación para una sección de red spruce reforzada con placas dentadas de acero. Las tensiones calculadas han sido normalizadas usando el valor de la compresión localizada promedio p = F/d y se muestran a lo largo del borde de la perforación como función del ángulo
definido en la Fig. 2. Las tensiones de tracción se consideran positivas. Se utiliza un espesor t (unitario para el análisis) y una anchura de sección b = 4d asumiendo las propiedades mecánicas de la red spruce reforzada de la Tabla 2.
Tabla 3. Tensiones máximas pronosticadas en la conexión de madera reforzada (normalizadas)
Table 3. Predicted peak stresses at the reinforced timber joint (normalized)

Figura 2. Ángulo
Figure 2. Angle
Eliminar completamente el exceso de tracción perpendicular y de cortante en una conexión pernada de madera no siempre es posible. Un método para evitar la fisuración en elementos de madera es reforzar el área de la conexión. De esta forma, se garantiza un comportamiento dúctil. Si la resistencia en compresión localizada del refuerzo es superior a la de los miembros de madera conectados, el refuerzo incrementará la capacidad resistente de la conexión impidiendo la fisuración y las rupturas de tipo frágil.
Los tipos de refuerzo más comunes son los que emplean fibra de carbono, fibra de vidrio, madera densificada, materiales compuestos, tornillos autoperforantes y placas metálicas adheridas al elemento de madera.
En este artículo, se presenta el uso de placas dentadas de acero (Fig. 3.) para reforzar la conexión pernada, como mecanismo para atender el exceso de tracción perpendicular y mejorar el comportamiento de la conexión. Una de las ventajas de esta técnica de refuerzo es que no se requiere el uso de pegantes y el elemento estará listo para usarse inmediatamente después de que hayan sido instaladas las placas sobre la superficie de madera (Fig. 4. y Fig. 5.).
Figura 3. Placas dentadas de acero utilizadas como refuerzo para la conexión pernada.
Figure 3. Steel nail plates used as reinforcement.
Figura 4. Preparación del elemento de madera reforzada
Figure 4. Timber reinforced member
Figura 5. Conexión pernada reforzada
Figure 5. Reinforced bolted timber joint
Ahora bien, es preciso anotar que la resistencia en compresión localizada del acero es mucho mayor que la de la madera y la de otros compuestos de madera. Por lo tanto, las conexiones reforzadas con placas metálicas tienen una capacidad resistente mayor que la de los elementos conectados.
La resistencia en tracción perpendicular de la madera conectada aumenta significativamente con el uso del refuerzo en la vecindad del perno. Se eliminan de esta forma las rupturas de tipo frágil y puede alcanzarse, por consiguiente, la resistencia en aplastamiento o compresión localizada de la madera. El refuerzo aumenta la ductilidad de la unión y la capacidad de disipación de energía.
Las placas dentadas de acero representan una solución efectiva porque son elementos de bajo costo y de fácil instalación.
4. VERIFICACIÓN EXPERIMENTAL
En la etapa experimental de este estudio, se presentan diversos ensayos con conexiones de madera cargadas por un solo perno en la dirección paralela a las fibras (la geometría se muestra en la Fig. 6.). Se utiliza un perno de acero ASTM A307 de diámetro d=9,5 mm (3/8") con varias combinaciones de distancia al borde e y un espesor de sección conectada t= 20,8 mm , tal como se especifica en las Tablas 3 y 4.
Figura 6. Conexión pernada sometida a cortante doble
Figure 6. Double shear connection
Tabla 4. Geometría de la conexión reforzada
Table 4. Reinforced joint geometry

En el laboratorio de ciencias de la madera de la Universidad Laval de Québec Canadá se realizaron un total de 59 ensayos con conexiones reforzadas y no reforzadas y 21 ensayos adicionales para determinar las propiedades mecánicas de la madera.
La longitud del conectador fue seleccionada de tal manera que la rosca del mismo quedara exenta de contacto con la madera. La relación entre el espesor del elemento de madera y el diámetro del perno t/d es lo suficientemente pequeña para inducir falla en la madera con una deformación mínima por flexión del perno.
Previo a los ensayos, las secciones de madera fueron acondicionadas para alcanzar un contenido de humedad de equilibrio de 12%. La gravedad específica de las muestras varía entre 0,37 y 0,41 determinada según la norma ASTM D2395-02 [22].
La resistencia en tracción perpendicular y la resistencia en cortante paralela a las fibras de la madera se obtienen empleando los métodos de ensayo ASTM D143-94 [23].
Las propiedades mecánicas del material se muestran en la Tabla 5.
Tabla 5. Propiedades mecánicas de la madera reforzada
Table 5. Mechanical properties of reinforced timber

Las conexiones fueron ensayadas con una carga estática de tracción aplicada en la dirección paralela a las fibras de la madera empleando una máquina universal de pruebas en concordancia con EN 26891:1991 [24].
El resumen de los resultados de los ensayos y la comparación con las predicciones analíticas para cada configuración se muestran en la Tabla 6. La capacidad resistente se calcula empleando las tensiones obtenidas con el modelo analítico presentado previamente y con el criterio de falla de máxima tensión.
Tabla 6. Resultados experimentales y predicciones analíticas para conexiones reforzadas con un solo perno
Table 6. Experimental results and analytical predictions for reinforced single-bolted joints

Para conexiones reforzadas con tres distancias al borde diferentes, se muestra el diagrama carga-desplazamiento en las figuras 7, 8 y 9. Se puede apreciar un comportamiento netamente dúctil para conexiones con distancias al borde e=3d y e=5d.
Figura 7. Diagrama carga-desplazamiento e= 2d
Figure 7. Load-displacement diagram e= 2d
Figura 8. Diagrama carga-desplazamiento e= 3d
Figure 8. Load-displacement diagram e= 3d
Figura 9. Diagrama carga-desplazamiento e= 5d
Figure 9. Load-displacement diagram e= 5d
En la Tabla 7 se muestra la carga de falla promedio, para conexiones reforzadas y no reforzadas, obtenida experimentalmente. Es notable el aumento de capacidad resistente que se alcanza al reforzar las uniones.
Tabla 7. Capacidad resistente promedio experimental en conexiones reforzadas y no reforzadas
Table 7. Experimental average failure load in reinforced and non-reinforced joints

Es también evidente que las conexiones de madera reforzadas presentan un coeficiente de variación relativamente pequeño. Por consiguiente, el comportamiento mecánico de una conexión reforzada es más homogéneo.
5. CONCLUSIONES
Las placas dentadas de acero como refuerzo local representan un método muy efectivo para aumentar la capacidad resistente de conexiones pernadas de madera. Previenen la fisuración de los miembros de madera y proporcionan una alta resistencia en compresión localizada.
Las conexiones reforzadas presentan un comportamiento evidentemente homogéneo y son más resistentes que las conexiones no reforzadas.
A partir de los ensayos de laboratorio y del análisis teórico, se ha podido comprobar que las distancias al borde cargado pueden ser reducidas hasta e=3d manteniendo una condición de falla por aplastamiento o compresión localizada. Distancias al borde menores no son recomendables porque dichas conexiones presentarían rupturas de tipo frágil por desgarramiento en cizalladura. Las rupturas de tipo frágil son de carácter repentino y por consiguiente deben ser evitadas en cualquier tipo de estructura.
La capacidad resistente de las conexiones reforzadas excede fácilmente la resistencia de los elementos conectados. Por este motivo, no se hace necesario utilizar conexiones de madera con múltiples conectadores.
El comportamiento mecánico de las conexiones reforzadas con placas dentadas de acero es bastante dúctil, contrario a lo que sucede con las conexiones no reforzadas.
El costo de una conexión reforzada con placas dentadas de acero es mínimo. El beneficio al utilizar esta técnica de reforzamiento en una estructura de madera sería inmediato en términos de seguridad y de economía.
NOTACIÓN

AGRADECIMIENTOS
Los autores agradecen a CIBISA y a la Universidad Laval de Québec Canadá por el soporte financiero a la parte experimental de este proyecto. Los comentarios constructivos de Daniela Blessent (Universidad Laval) y de los evaluadores anónimos permitieron mejorar considerablemente este artículo.
REFERENCIAS
[1] EUROCODE 5 - Conception et calcul des structures en bois. Novembre, 2005. [ Links ]
[2] CSA O86-01, Engineering Design in Wood, Canadian Standards Association, 2001. [ Links ]
[3] NATIONAL DESIGN Specification (NDS) for Wood Construction, 2005. [ Links ]
[4] DE JONG, T. Stresses around pin-loaded holes in elastically orthotropic or isotropic plates. Journal of Composite Materials. 11:313-331, 1977. [ Links ]
[5] ZHANG, K., UENG, C. Stresses around a pin-loaded hole in orthotropic plates with arbitrary loading direction. Composite Structures; 3:119-143, 1985. [ Links ]
[6] WONG, C.M., MATTHEWS, F.L. A finite element analysis of single and two-hole bolted joints in fibre reinforced plastic. Journal of Composite Materials; 15:481-491, 1981. [ Links ]
[7] DANO, M.L., GENDRON, G. AND PICARD, A. Stress and failure analysis of mechanically fastened joints in composite laminates. Composite Structures. 50:287-296, 2000. [ Links ]
[8] QUINN, W.J., MATTHEWS, F.L. The effect of stacking sequence on the pin-bearing strength in glass fibre reinforced plastic. Journal of Composite Materials; 11:139-145, 1977. [ Links ]
[9] COLLINGS, T.A., BEAUCHAMP, M.J. Bearing deflection behaviour of a loaded hole in CFRP. Composites; 15:33-38, 1984. [ Links ]
[10] KHAROUF, N., MCCLURE, G., SMITH, I. Postelastic behavior of single- and double-bolt timber connections. ASCE Journal of Structural Engineering; 131(1):188-196, 2005. [ Links ]
[11] JORISSEN, A. Double shear timber connections with dowel type fasteners. Delft University Press, Delft , 1998. [ Links ]
[12] ECHAVARRÍA, C.A, HALLER, P, SALENIKOVICH, A. Analytical study of a pin-loaded hole in elastic orthotropic plates. Composite Structures; 79:107-112, 2007. [ Links ]
[13] ECHAVARRÍA , C.A. Bolted timber joints with self-tapping screws. Revista EIA; 8:37-47, 2007. [ Links ]
[14] BLASS, H.J., BETJA, I. Joints with inclined screws. International council for research and innovation in building and construction. Working commission W18-Timber structures. Meeting thirty five. Japan , 2002. [ Links ]
[15] BLASS, H.J., SCHMID M. Self-tapping screws as reinforcement perpendicular to the grain in timber connections. Proceedings PRO 22, International RILEM Symposium on Joints in Timber Structures, pp. 163-172, 2001. [ Links ]
[16] HALLER P., WEHSENER J. AND BIRK T. Embedding characteristics of fibre reinforcement and densified timber joints. Paper CIB/W18/34-7-7, Proceedings of Meeting 34, Venice , Italy . 2001. [ Links ]
[17] ROWLANDS, R.E., VAN DEWEHGE, R.P., Laufenberg, T.L., Krueger, G.P. Fiber-reinforced wood composites. Wood and fiber science; 18:39-57, 1986. [ Links ]
[18] BLASS, H.J., SCHMID, M., LITZE, H., WAGNER, B. Nail plate reinforced joints with dowel-type fasteners. Proceedings of World Conference on Timber Engineering, Whistler, British Columbia , Canada , 2000. [ Links ]
[19] LEKHNITSKII, S.G. Anisotropic plates. New York : Gordon and Breach Science Publishers, 1968. [ Links ]
[20] MUSKHELISHVILI, N.I. Some basic problems of the mathematical theory of elasticity. Noordhoff, Groningen , 1953. [ Links ]
[21] WOOD HANDBOOK: Wood as an engineering material (1999) Forest Products Laboratory, U.S. Department of Agriculture. Madison , WI . [ Links ]
[22] AMERICAN SOCIETY for testing and materials (ASTM). Standard test methods for specific gravity of wood and wood-based materials. D2395-02. ASTM Annual Book of Standards. West Conshohocken , Pa. ,2006. [ Links ]
[23] AMERICAN SOCIETY for testing and materials (ASTM). Standard methods of testing on small clear specimens of timber. D143-94. ASTM Annual Book of Standards. West Conshohocken , Pa. , 2006. [ Links ]
[24] EN 26891. Timber structures - Joints made with mechanical fasteners -General principles for the determination of strength and deformation characteristics. (ISO 6891; 1983), 1991. [ Links ]













