Services on Demand
Journal
Article
Indicators
-
Cited by SciELO -
Access statistics
Related links
-
Cited by Google -
Similars in
SciELO -
Similars in Google
Share
DYNA
Print version ISSN 0012-7353
Dyna rev.fac.nac.minas vol.78 no.169 Medellín Oct. 2011
ESTUDIO DE TENDENCIAS DE LA PRECIPITACIÓN MENSUAL EN LA CUENCA ALTA-MEDIA DEL RÍO CAUCA, COLOMBIA.
STUDY OF MONTHLY RAINFALL TRENDS IN THE UPPER AND MIDDLE CAUCA RIVER BASIN, COLOMBIA
OLGA L. PUERTAS OROZCO
PhD, Universidad Católica de Chile, Estudiante, olpuerta@uc.cl.
YESID CARVAJAL ESCOBAR
PhD, Profesor, Universidad del Valle, yecarvaj@univalle.edu.co
MAURICIO QUINTERO ANGEL
Ing. Universidad del Valle, Ingeniero Agrícola, manelq@gmail.com
Recibido para revisar Junio 6 de 2011, aceptado Junio 29 de 2011, versión final Julio 26 de 2011
RESUMEN: Estudiar las alteraciones en la oferta hídrica asociadas a la variabilidad o al cambio climático, es importante para ajustar adaptaciones frente a los cambios actuales y futuros, para esto se requiere comprender cambios históricos espacio-temporales en el patrón regional de lluvias. Para esto, se analizaron las tendencias de la precipitación mensual (1975-2006) en escalas de la lluvia total-anual, mensual-multianual y semianual-trimestral; mediante la aplicación de la prueba no-paramétrica de Mann-Kendall en 108 estaciones pluviom étricas, ubicadas en la cuenca alta-media del río Cauca. En los resultados, la precipitación anual tuvo tendencias significativas con rango de variación desde -9.3% (-147,3 mm) hasta +6.5% (+128,8 mm) por decenio con promedio de -0.7% (-7,7 mm), para 24 estaciones. A escala trimestral, en Junio-Julio-Agosto como periodo de menor pluviosidad al año, se encontró una disminución significativa de la precipitación, con promedio de -15% (-29 mm) por decenio, en el 19% (21) de las estaciones analizadas. Se concluye, que existe cambios en el régimen intranual de la precipitación y, tras comparar las tendencias en la precipitación anual con variables geográficas (altitud, latitud y longitud), por encima de los 1500 msnm y en latitud menor a 3o52’N en la cordillera de los Andes, existe reducción generalizada en la lluvia. Dichos cambios, afectarán negativamente la generación y la disponibilidad de la escorrentía, que representa la oferta hí drica en la cuenca. En futuras investigaciones, deben estudiarse los cambios en la precipitación a escala diaria y vincularse actores locales, para el ajuste de adaptaciones frente a los cambios.
PALABRA CLAVE: Estudio variabilidad climática, Cuenca alta-media río Cauca; estacionalidad climática; tendencias de precipitación; Prueba Estacional de Mann-Kendall.
ABSTRACT: Analyzing alterations in water availability due to natural climatic variability and climate change is important in developing adaptive responses to current and future changes in regional precipitation patterns. In order to understand these changes, spatial and temporal historic fluctuations in regional rainfall patterns must be analyzed. In this context, precipitation trends were analyzed using a non-parametric statistic Mann-Kendall test for annual, seasonal and monthly rainfall between 1975 and 2006 for 108 precipitation ground stations located in the upper and middle Cauca river basin. The results demonstrate that the significant trend of annual rainfall variation was between -9.3% (-147,3mm) and +6.5% (+128mm) per decade and the average change was -0.7% per decade for 24 stations.In the seasonal intra-annual analysis of June-July-August, a period of lower intra-annual rainfall, we found the largest statistically significant decrease in seasonal rainfall, with an average of -15% per decade, in 19% (21) of the total stations. The conclusions are that the pattern of seasonal precipitation changed between 1975 and 2006 and before to compare the annual rainfall trends with geographic variables (latitude, longitude and altitude), we found that rainfall had decreased in all cases above 1500 m in altitude and in latitudes lower than 3o52’N within the Andean Mountains. These changes in precipitation will decrease the volume and availability of runoff, which will alter the water availability in the river basin. In order to design adaptation practices in future investigations, is necessary to study daily rainfall changes and its impacts on the inhabitants of the Cauca river basin.
KEYWORDS: Climate variability analysis, upper and middle Cauca river basin, climate seasonality, precipitation trends, Seasonal Mann-Kendall test.
1. INTRODUCCIÓN
La variabilidad y el Cambio Climático (VCC) está teniendo fuertes repercusiones sobre diferentes variables meteorológicas; induciendo cambios en el patrón de precipitación que afecta directamente la disponibilidad hídrica , su gestión, las prácticas agrícolas y los ecosistemas. As í mismo, la planificación de acciones que minimicen esos impactos requieren del análisis y detección de las modificaciones históricas [1] sobre las características espaciales y temporales en el régimen pluviométrico.
Varios reportes han sido publicados sobre VCC en hidrología y las ciencias atmosféricas, los métodos más usados consisten en el estudio de tendencias y efectos en la estacionariedad como mecanismos para encontrar patrones globales en la media y la varianza de las series de tiempo [2, 3]. A escala regional, la precipitación se caracteriza por presentar una alta variabilidad espaciotemporal y se desconoce la existencia de cambios por tendencias y estacionariedad, dada la creciente preocupación por la incidencia de VCC. Además, en la cuenca del río Cauca la necesidad de este tipo de estudios tiene cada vez mayor importancia, dado que en la actualidad vive el 25% de la població n del país [4] y en manejo de recurso hídrico, la cuenca presenta un potencial hidroenergético que podría ser alterado por los posibles cambios de incremento o descenso en la precipitación.
E l test estadístico no paramétrico Mann-Kendall ha sido utilizado frecuentemente para calcular la significancia de tendencias en las series de tiempo hidrometeorológicas [5-8]. La principal razón de aplicación de este test, en relación con otras técnicas paramétricas, radica en ser el indicado para distribuciones que no presentan normalidad estadística, como frecuentemente sucede con las series hidroclimatol ógicas [9]. Este estudio presenta la aplicación del test Mann-Kendall para estimar tendencias en la precipitación entre 1975 y 2006, a escalas anual, mensual- multianual y trimestral (acumulada) según el régimen bimodal típico de la zona de estudio.
Descripción de la zona de estudio
El río Cauca nace en el Macizo Colombiano entre las Cordilleras Occidental y Central de los Andes con un área de drenaje de 59.074 km2 que representa el 5% del territorio nacional. En el recorrido de sus primeros 578 km (48% del total) se conforma la cuenca en su parte alta-media al suroccidente colombiano (ver figura 1). Esta zona, tiene elevaciones que van desde 900 a 4000 msnm, comprende las zonas de Alto Cauca y Valle alto, con vegetación de páramo y bosque subandino.
Figura 1. Localización de la Zona de Estudio: Cuenca alta-media río Cauca
En la zona se localiza el embalse Salvajina (en el Alto Cauca) importante para la generación hidroeléctrica de la región, la industria azucarera colombiana (en el Valle Geográfico) y parte de la zona cafetera (en la zona de media ladera) [10].
El clima local, está determinado por factores generales de la circulación global y del cambio en la posición del sol durante el año, así como la topografía, la precipitación convectiva a gran escala e intensidad, la cercanía a las costas y la vegetación [11, 12]. La región presenta una precipitación media anual de 1597 mm (±224 mm) y 21,3oC (±0,5oC) de temperatura media del aire.
Debido a influencia de los vientos alisios y la migración de la Zona de Convergencia Intertropical (ZCIT) [13], se presenta un régimen bimodal con periodos lluviosos: en Marzo-Abril-Mayo (MAM) y Septiembre-Octubre-Noviembre (SON), así como de menor precipitación durante Diciembre-Enero-Febrero (DEF) y Junio-Julio-Agosto (JJA). Además, las fases extremas del fenómeno El Niño Oscilación Sur (ENOS) y su mayor recurrencia y acentuación de sus fases extremas por efectos del CC [14] influencian la variabilidad interanual del clima [15, 16]
2. METODOLOGÍA
En el marco de este estudio, se analizaron las tendencias de precipitación mensual de 108 estaciones pluviométricas, de la cuenca alta media del rio Cauca, en el periodo de estudio comprendido entre 1975-2006. A continuación se presenta el desarrollo metodológico.
Análisis exploratorio de los datos
Inicialmente, se identificaron los datos faltantes, para cada estación pluviométrica, con el criterio de tener un porcentaje de datos faltantes menor al 10% del total de datos. Luego, se realizó el cálculo de datos faltantes, utilizando el método racional deductivo descrito por Guevara [17] que permite llenar hasta un máximo de once datos faltantes por año, apoyándose en la información que brindan los años con información completa. Este método, considera que la precipitación del mes faltante, es igual al porcentaje de precipitación promedio mensual, respecto al total anual acumulado promedio en esa estación, por lo cual, la precipitación del mes faltante se estima como:
![]()
donde, i es cada uno de los meses desconocidos, Pi es la precipitación por estimar, SSi es la suma de los porcentajes promedio de los meses cuya precipitación se desconoce y SiSi el porcentaje promedio asignado.
En segundo lugar, se realizó la identificación de casos extremos, que pretendió estabilizar la varianza en las series de tiempo. Para esto, a cada serie temporal de precipitación, se le identificó un modelo autorregresivo integrado de media móvil (ARIMA) siguiendo el procedimiento descrito por Guerrero [18], mediante el cual se obtiene la expresión de los residuales, de la forma:
![]()
donde, ∈ es el residual en el tiempo t, fn parámetros de regresión del modelo, yt-n valores de precipitación en el tiempo t-n. A partir de esto, se analizaron los residuales según el diagnóstico de estacionariedad en varianza, lo cual implica que los residuales tengan media cero y sean independientes. Este análisis, se hizo con el estadístico de Ljung y Box [19] calculado mediante la comprobación del chi-cuadrado con k-n grados de libertad (k = número del retardo de la función de autocorrrelación y n= número de parámetros estimados). Cuando el estadístico era significativo, implicaba que el modelo era estadísticamente adecuado. De manera contraria, se iban eliminando de la serie temporal los valores de yt que tenían los mayores residuales (∈t), hasta obtener un ajuste significativo del modelo, a la vez, estos valores fueron seleccionados como los casos extremos que inducían tendencias en la varianza.
Posteriormente, como análisis confirmatorio para identificar y descartar sólo los valores atípicos de precipitación, los casos extremos identificados con el procedimiento anterior, se compararon con los valores en las estaciones pluviométricas vecinas y en caso que hubiera similitud eran eventos extremos. De manera opuesta, cuando únicamente ocurría precipitación extrema en esa estación pluviomé trica, se determinaron estos como casos atípicos. Al final, estos últimos valores fueron eliminados de la base de datos y se calcularon nuevamente mediante el método racional deductivo. En total se calcularon 228 datos atípicos equivalentes al 0,55% del total de datos.
Determinación de tendencias
Después del análisis exploratorio a cada serie de precipitación, se determinaron tendencias a escalas anual, mensual-multianual y trimestral (acumulada) siguiendo la estacionalidad intranual. Para ello, se utilizó el test no paramétrico Estacional de Mann-Kendall (EMK) propuesto y descrito por Hirsch et al. [20], el cual es una modificación en la prueba de Mann [21] y Kendall [22], que detecta cambios en la media de los datos y no asume independencia entre ellos, lo cual resulta útil para su utilización con datos que presenten una componente estacional, como son generalmente los datos climatológicos. Para el cálculo del EMK, se consideró la hipó tesis nula: no hay tendencia en la serie (estable en media) y como hipótesis alternativa: existe tendencia en la serie con un nivel de confianza del 90%. Posteriormente, para conocer el incremento o la disminución por unidad de tiempo de la serie, se utilizó el test no paramétrico propuesto y descrito por Theil [23] y Sen [24]el cual es la pendiente media de una regresión lineal. Una descripción de los estadísticos del test EMK y la pendiente de Theil-Sen puede verse en el estudio de Cannarozzo et al. [1].
Los cálculos de tendencias se realizaron con herramientas de libre distribución; el Software R versión 2 se empleó para calcular las tendencias mensuales-multianuales y trimestrales utilizando las librerías Kendall, Stats y Mblm, y para las tendencias de la precipitación anual se utilizó la plantilla de MSexcel Makesens v1, desarrollada por el Instituto Meteorológico de Finlandia [25].
En un caso particular, en el análisis de las tendencias en la precipitación total anual, estas se compararon con variables geográficas de altitud, latitud y longitud, mediante la determinación de funciones de regresión y la evaluación del grado de ajuste, con el coeficiente de correlación de Pearson (R2).
3. ANÁLISIS DE RESULTADOS
Tendencias en la precipitación total anual
Se detectaron cambios significativos obre la precipitación media anual en 24 (22% del total) estaciones de medición. Al considerar estos registros, se determinó una reducción promedio -0.7% por decenio (equivalente a -7,7 mm/década) en el monto total de la precipitación media anual entre 1975-2006. Adicionalmente, se estimó un rango de variación promedio con valores de -9.3% por decenio (-147,3 mm/dé cada) hasta 6.5% por decenio (128,8 mm/década). Este resultado coincide con lo observado por Pabón [26] entre los años 1961 y 1990, el cual estimó descensos de precipitación anual al sur de la región Andina de Colombia.
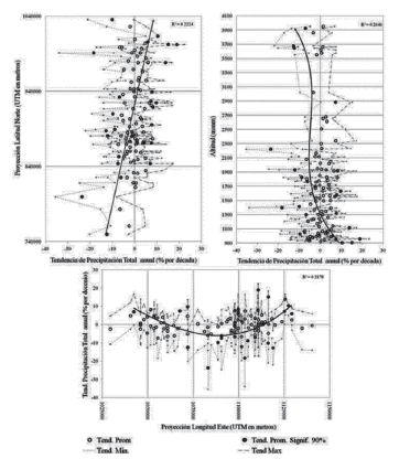
Respecto al gradiente espacial en los cambios detectados sobre la precipitación anual, según lo muestra la figura 2 (ver curvas de regresión), se observó una tendencia al aumento del monto de lluvia anual hacia el noreste de la cuenca y a menor altitud (por debajo de los 1300 msnm.). Por el contrario, la tendencia al descenso en la precipitación anual ocurre en las latitudes menores (sur de la cuenca en latitud < 920000UTM ó 3o52’N) y a mayor altitud (superior a los 1300 msnm) en la cuenca. Las diferencias en las tendencias de la precipitación anual, coinciden con estudios realizados en el País por Pabón [26] y Bedoya et al. [27]. Estos últimos autores, argumentaron que dichas variaciones (en el periodo que estudiaron entre 1971-2000) están ligadas en gran parte a la variabilidad topográfica del país y a la exposición que tienen las diferentes regiones a las corrientes de aire cargadas de humedad.
Figura 2. Tendencias en la precipitación anual en función de variables espaciales: latitud, longitud y altitud.
En particular sobre la tendencia al aumento de precipitación anual, esta se estimó con promedio +10,0 %/decenio (161 mm/decenio) y consideró el 11% (12 estaciones pluviométricas) de los casos de estudio en los cuales dio significativa esta tendencia con nivel de confianza del 90%. Al respecto, estudios regionales de tendencias asociadas al cambio climático en Sur América documentados por Hoffmann et al. [28] , indican que esta tendencia es consistente con los valores de la tensión de vapor y precipitación que, al norte de los 40°S, han aumentado a partir de 1940. Por otra parte, al analizar las 12 estaciones pluviométricas (11% del total) con descenso significativo en la precipitación anual, el promedio de la tendencia a la reducción fue de -5.1 %/decenio (-176.4 mm/d écada). Estas tendencias se localizan principalmente al sur de la cuenca y sobre los 1300 msnm, lo cual coincide con el estudio en el País realizado por Benavidez et al. [29], los cuales encontraron entre 1971 al 2000 una reducción en amplios sectores de la zona Andina.
Tendencias en la precipitación mensual-multianual
Según la aplicación del test EMK en los registros de precipitación mensual entre 1975-2006, se encontraron cambios significativos en 41,7% (45 estaciones pluviométricas) de las series analizadas y de estas, se obtuvo un promedio de descenso en -0,2 % (-0,1 mm/mes) por decenio. En particular sobre los casos con cambios significativos en la precipitación mensual, según se muestra en la Tabla 1, en 23 (21%) estaciones pluviométricas existe aumento significativo con tendencia media de 0,6% (+0,9 mm/mes) por decenio y con valor de aumento máximo en 1,2% (+1,6 mm/mes) por decenio. En contraste, en 22 (20%) estaciones, disminuyó de manera significativa la precipitación a razón de -0,7% (-0,1 mm) por decenio en promedio, con un valor de cambio máximo de -1,9% (-2,1 mm) por decenio.
Tabla 1 Estadísticos Descriptivos de tendencias en la precipitación mensual entre los años 1975 y 2006 (*Casos significativos con NC del 90%)

Según los resultados de la Tabla 1 y la Figura 3, estos coinciden con el estudio de Perez et al. [9], donde encontraron que existe una mezcla entre tendencias positivas y negativas en la fase y el ciclo anual de la precipitación en Colombia. En este trabajo (ver Tabla 1), se observa que dentro de los casos con cambios significativos (45% del total), existe una relación similar entre el n úmero de casos con tendencias al aumento (21%) y al descenso (20%), además, la magnitud de estos cambios fue baja según el rango de -1,9% a +1.2%. Este comportamiento, puede suponer estabilidad en los valores promedio de la precipitación mensual durante el periodo de estudio.
Figura 3. Distribución espacial de tendencias en la precipitación mensual entre 1975 y 2006 en la cuenca alta-media del río Cauca (casos significativos con NC del 90%)
Al analizar espacialmente las tendencias estimadas en la precipitación mensual como se muestra en la figura 3. Se observa que no existe un patrón de regionalización espacial; sin embargo, existe un descenso significativo en 10 de las estaciones pluviométricas que se encuentran por encima de los 1500 msnm y principalmente sobre la zona centro-sur (<3,7oN) del flanco central de la cordillera de los Andes en la cuenca. Esta señal de cambio, coincide con los resultados encontrados en las tendencias de la precipitación anual mostradas anteriormente y el estudio preliminar de Benavides et al. [29] donde encontraron que en las estaciones de páramo (entre los 3000 y 4200 msnm) y cercanas a este piso térmico, hay una tendencia hacia la disminución de las precipitaciones anuales.
Tendencias en la precipitación intranual
La estimación de las tendencias en la precipitación intranual se realizó siguiendo la estacionalidad bimodal característica de la lluvia en la cuenca alta-media del río Cauca. En los resultados, se obtuvo que en promedio 24 estaciones pluviométricas presentaron cambios significativos de -1% en la precipitación media trimestral por década.
Dentro de los casos con cambios significativos (ver tabla 2), en DEF (de baja pluviosidad) y SON (de alta pluviosidad) el mayor porcentaje de las estaciones, que fueron 15/17 y 16/22 respectivamente, presentaron tendencia al incremento de la precipitación. Por el contrario, durante MAM y JJA, en 20/36 y 19/22 estaciones de cada uno, se encontraron tendencias significativas a la disminución de la precipitación. Particularmente, la mayor variación en los cambios significativos se determinaron en MAM, según se muestra en la Tabla 2 que 16/36 (44%) y 20/36 (56%) fueron respectivamente, las relaciones similares de estaciones con incremento y descenso significativos en la precipitación.
Tabla 2 Estadí sticos descriptivos de tendencias en la precipitación intranual entre 1975 y 2006 en la cuenca (NC: 90%)

Las tendencias en la precipitación intranual, reflejan alteraciones en el ciclo semianual. En este aspecto durante DEF, el cual se caracteriza por tener baja pluviosidad, se observó mayor tendencia de incremento con promedio (en casos significativos) de +15% (53 mm/década) por década y se obtuvo un valor máximo de +24% (60 mm) en la estación Caseteja. De manera opuesta, en JJA (también de baja pluviosidad) se observó una tendencia generalizada al descenso de la precipitación al considerar que 19/22 casos significativos, presentaron reducción promedio de -15% (-29 mm) por década. En particular, la máxima pérdida de precipitación se determinó durante el periodo MAM con valor de -27% por década en la estación Jambaló.
Estos resultados de cambios en la estacionalidad de la precipitación intranual, coinciden con estudios preliminares de Barrios y Cortes [30, 31] en el valle del río Cauca. Los autores mostraron evidencia de alteraciones en la concentración de la precipitación diaria a escala trimestral, indicando que las reales temporadas secas (DEF y JJA) y lluviosas (MAM y SON) las constituyen, prácticamente, los dos meses centrales de las respectivas temporadas tradicionales y existe una tendencia al adelanto en alrededor de 15 días en la fecha de inicio entre temporadas.
En este estudio, las mayores alteraciones que se estimaron durante DEF y JJA en la precipitación, pueden estar explicadas en parte, por una mayor actividad del fenómeno ENOS evidenciada en años recientes [32, 33]. Dado que, según estudios de Carvajal [34], Velasco y Diaz [35] y Puertas y Carvajal [16], indicaron que este fenómeno tiene un mayor efecto durante DEF y JJA en la precipitación al suroccidente del País. Estas anomalías climáticas inducidas por ENOS en la región, se atribuyen a que la costa Pacífica de Colombia presenta vientos superficiales del oeste con un marcado ciclo anual, los cuales durante los extremos de ENOS muestran una mayor intensificación de la corriente de chorro de bajo nivel del oeste durante la fase fría (La Niña) de ENOS (ocasionando entre otros, el aumento de la precipitación) y por otro lado se manifiestan como un debilitamiento durante El Niño (Fase Cálida) [12].
Vulnerabilidad por las tendencias en la precipitación y el Cambio Climático(CC)
En Colombia modelaciones de escenarios de CC estiman que ante una duplicación de la emisión de dióxido de carbono al periodo 2011-2040 (respecto a 1970-2000), la precipitación podrá presentar cambios entre ±30% y particularmente, para las regiones del alto Cauca y alto Magdalena, ante este escenario se estima que se pueden presentar cambios en precipitación entre -30% y +10% [26, 27]. Al comparar las tendencias de cambio de precipitación de este estudio con los resultados de las modelaciones de CC, se encuentran menores cambios, dado que entre 1975-2006 se estimó un descenso en la precipitación anual, con promedio de -0,7% por decenio. Por tanto, la proyección lineal (sin considerar escenarios) al 2040 de esta tendencia, indicaría un descenso del -2,8% en la cuenca.
Ante el impacto estimado de reducción promedio en 5,6 mm de la oferta hídrica anual, se debe vislumbrar que falta el entendimiento de las posibles repercusiones por cambios en la concentraci ón de la precipitación a escala diaria y horaria, lo cual supera los alcances de esta investigación y a la vez contribuirán a determinar de manera más precisa las adaptaciones futuras en la sociedad y los sistemas productivos para hacer frente a los riesgos por cambios en la frecuencia e intensidad de eventos de lluvia.
Respecto a las alteraciones en la precipitación a escala semianual, con énfasis en JJA como periodo de menor precipitación en el año (con promedio de 226 mm) y a la vez donde se estimó el mayor descenso de -15% por década. Este patrón, coinciden con las amenazas asociadas al CC, dado que estudios globales, han estimado entre otras, alteraciones en el sistema climático y cambios en la estacionalidad de la precipitación con un incremento en la intensidad de los periodos secos con fuertes repercusiones sobre el ciclo hidrológico.
Ante la alta incertidumbre del comportamiento del clima futuro, asociado a la precisión de los modelos globales de clima, que no solo dependen de cambios políticos en las decisiones para reducir las emisiones de gases de efecto invernadero, sino también del crecimiento poblacional y cambios a nivel local; se requiere enfrentar las tendencias de cambio y no escenarios futuros [36]. En este sentido, para la planificación de la cuenca es importante considerar, las tendencias promedio de reducción en la precipitación anual y mensual; así como los cambios en la estacionalidad del régimen bimodal.
En este aspecto, también la evidencia sobre un posible aumento en la precipitación mensual a menor altitud, sobre el Valle Geográfico del río Cauca, deberá implicar adaptaciones tecnológicas de los sectores productivos, principalmente para la agricultura que se desarrolla activamente en esta región de la cuenca, referidas por ejemplo a modificaciones sobre las fechas de siembra y la programación del riego. Sin embargo, los mayores impactos estimados de reducción en la precipitación anual hacia la cordillera central de los Andes, pueden significar fuertes repercusiones sobre un descenso en la oferta hídrica y las consecuencias en el balance hídrico. Debido a que en esta zona, es donde se desarrollan los ecosistemas de bosque del Orobioma Alto Andino (entre los 2800 a 4500 msnm), valorados por su importancia en la regulación del recurso hídrico [37].
En este sentido, los impactos de las tendencias climáticas determinan la importancia de emprender acciones coordinadas sobre el territorio, dado que los cambios en las partes altas de las subcuencas que la conforman, afectarán también las actividades en zonas media y baja, así mismo en la población y los diferentes sectores productivos. Asociado a esto, la importancia de estudiar las tendencias en la precipitación y los posibles cambios futuros en el clima, para próximas investigaciones requiere de la estimación de los cambios en la concentración de la precipitación a menor escala (diaria y horaria). También, deberá involucrar a los actores locales, quienes pueden aportar su conocimiento local y sus percepciones sobre el clima, para evaluar la vulnerabilidad y diseñar prácticas de adaptación a VCC que incidan en la toma de decisiones y las políticas públicas, especialmente en los sistemas de media y alta montaña, en la cordillera de los Andes colombianos, donde se observaron los mayores impactos de reducción en la precipitación durante las últimas tres décadas.
AGRADECIMIENTOS
Los autores agradecen a la Corporación Autónoma Regional del Valle del Cauca y a la Universidad del Valle , por el apoyo al proyecto “Estudios de los efectos de la variabilidad climática y el cambio climático en variables climáticas y su relación con factores ambientales y socioeconómicos en una cuenca modelo del Valle del Cauca", Convenio de cooperación técnica No.110-07, en cuyo marco se desarrollaron la metodología y los resultados presentados en este artículo; y al Grupo de Investigación en Ingeniería de Recursos Hídricos y Suelos- IREHISA de la Universidad del Valle, especialmente, a Wilmar Loaiza Cerón por su apoyo para la realización de este trabajo de investigación.
REFERENCIAS
[1] Cannarozzo. M., Noto, L.V. and Viola, F., Spatial distribution of rainfall trends in Sicily (1921-2000). Journal of Physics and Chemistry of the Earth, 31, pp. 1201-1211, 2006. [ Links ]
[2] Kite, G., Use of time series analysis to detect climatic change. J. Hydrol., 111, pp. 259-279, 1989. [ Links ]
[3] Burns, D., Klaus, J. and Mchale. M., Recent climate trends and implications for water resources in the Catskill Mountain region, New York, USA. Journal of Hydrology., 336, pp. 155- 170, 2007. [ Links ]
[4] Zuñiga, A., Falla, M. y Bastidas, M.L., Situación actual de la cuenca del alto Cauca. Paquete de trabajo 1 (WP01) - CVC, Proyecto 018436 Twilatin, Proyecto CVC No 135 de 2005, Santiago de Cali, Corporación Autónoma Regional del Valle del Cauca, 2008. [ Links ]
[5] Hirsch, R.M. and Slack, J., Non- parametric trend test for seasonal data with serial dependence, J. Water Resour. Res., 20, 6, pp. 727-732, 1984. [ Links ]
[6] Zhang, X., Vicent, L.A., Hogg, W.D. and Niitsoo, A., Temperature and precipitacion trends in Canada during the 20th century. Atmos. Ocean. Vol. 38, pp. 395-429. 2000. [ Links ]
[7] Dasilva, V.P.R. On climate variability in Northeast of Brazil. Journal of Arid Environments, 58, pp. 575-596, 2004. [ Links ]
[8] Zhang, S. and Lu, X.X., Hydrological responses to precipitation variation and diverse human activities in a mountainous tributary of the lower Xijiang, China., J. Catena., 77, pp. 130-142, 2009. [ Links ]
[9] Pérez, C., Poveda, G., Mesa, O., Carvajal, L., y Ochoa, A., Evidencias de cambio climático en Colombia: Tendencias y cambios de fase y amplitud de los ciclos anual y semianual. Bull. Inst. fr. études. Andines., 3, pp. 537-546, 1998. [ Links ]
[10] Sandoval, M.C. y Ramirez, C.A., El río Cauca en su valle alto: Un aporte al conocimiento de uno de los ríos más importantes de Colombia. Corporación autónoma regional del Valle del Cauca- CVC, Imprenta Universidad del Valle, Santiago de Cali, 2007. [ Links ]
[11] Poveda, G., El chorro del Chocó y su influencia sobre la hidroclimatología de la costa Pacífica y el occidente de Colombia. En: Geología y oceanografía del delta del río San Juan (Eds. Correa, I.D. y Restrepo, J.D.), Fondo Editorial Universidad Eafit, Medellín, Colombia, pp. 169-187, 2002. [ Links ]
[12] Poveda, G., La hidroclimatología de Colombia: una síntesis desde la escala interdecadal hasta la escala diurna, Rev. Acad. Colomb. Cienc., XXVIII, pp. 201-221, 2004. [ Links ]
[13] Mesa, O., Poveda, G. y Carvajal, L., Introducción al clima de Colombia. Imprenta Universidad Nacional de Colombia, Bogotá, Colombia, 1997. [ Links ]
[14] Simms, H. y Rendez, V., ¿Con el Agua Hasta el Cuello? América Latina y el Caribe la Amenaza del Cambio Climático sobre el Medio Ambiente y el Desarrollo Humano, Tercer informe del Grupo de Trabajo sobre el Cambio Climático y el Desarrollo, Imprenta Centro Regional de Información sobre Desastres para América Latina y el Caribe, San José, Costa Rica, 2006. [ Links ]
[15] Poveda, G. y Mesa, O.J., Las fases extremas del ENSO- El Niño y La Niña- y su influencia sobre la hidrología de Colombia, Ingeniería Hidráulica en México, XI, pp. 21-37, 1996. [ Links ]
[16] Puertas, O.L., y Carvajal. Y., Incidencia de El Niño Oscilación del Sur en la precipitación y la temperatura del aire en Colombia, utilizando el Climate Explorer. Rev. Ingeniería y Desarrollo, 23, pp. 104-118, 2008. [ Links ]
[17] Guevara, J., Métodos de estimación y ajuste de datos climáticos. Imprenta Universidad Central de Venezuela, Ministerio del Ambiente y de los Recursos Naturales, Dirección de Hidrología y Meteorología, Mérida, 2003. [ Links ]
[18] Guerrero, V.M., Análisis estadístico de series de tiempo económicas, 2ed. Ed. Thomson, México, 408, 2003. [ Links ]
[19] Ljung, G. M. and Box, G.E.P., On A Measure Of Lack Of Fit In Time Series Models. Biometrika, 65, 2, pp. 297-303, 1976. [ Links ]
[20] Hirsch, R.M., Slack, J.R. and Smith, R.A., Techniques for trend assessment for monthly water quality data, Water Resources Research., 18, pp. 107-121, 1982. [ Links ]
[21] Mann. H.B., Non-parametric tests against trend, Econométrica, 13, pp. 245-259, 1945. [ Links ]
[22] Kendall, M.G., Rank correlation methods. 3 ed. Ed. Hafner Publishing Company. New York, 1962. [ Links ]
[23] Theil, H., A rank-invariant method of linear and polynomial regression analysis. I. Nederl. Akad. Wetensch., 53, pp. 386-392, 1950. [ Links ]
[24] Sen, P. K., Estimates of the regression coefficient based on Kendall’s tau. Journal of the American Statistical Association, 63, pp. 1379-1389, 1968.
[25] Salmi, T., Määttä, A., Anttila, P., Ruoho-Airola, T. and Amnell, T., Detecting trends of annual values of atmospheric pollutants by the mann-kendall test and sen’s slope estimates -the excel template application makesens, Publications on Air Quality No. 31., Finnish Meteorological Institute, Helsinki, Finland, 2002.
[26] Pabon J.D., El Cambio Climático Global y su Manifestación en Colombia, Cuadernos de Geografía, XII, pp. 111-119, 2003. [ Links ]
[27] Bedoya, M., Benavides H.O., Cabrera, M., Carrillo, H., Ceballos, J.L., Contreras, C., Cuervo, C., Duarte, M., Dorado, J., Gomez, C., Jaramillo, R., Lamprea, P.S., León, G.E., Lozano, R.J., Mayorga, R., Moreno, G., Osorio, S., Pava, J., Piñeros, A., Ruiz, F. y Tobón, E.A., Vulnerabilidad. Capitulo 4 en segunda comunicación nacional ante la convención marco de las naciones unidas sobre cambio climático, Instituto de Hidrología, Meteorología y Estudios Ambientales de Colombia. Sistema de Información Ambiental, Bogotá D.C., Colombia, pp. -320, 2010. [ Links ]
[28] Hoffman, J.J.A., Vargas, W.M. and Nuñez, S., Temperature, humidity and precipitation variations in Argentina and adjacent sub-Antarctic region during the present century. Meteorologisches Zeitschrift, 1996. [ Links ]
[29] Benavides, H., Mayorga, R., Hurtado, G. e Instituto de Hidrología, Meteorología y estudios ambientales- IDEAM., Análisis de índices de extremos climáticos para Colombia usando el Rclimdex, Nota técnica del Ideam-meteo/007-2007. Bogotá: Ideam., 2007. [ Links ]
[30] Barrios, C. y Cortés, E., Ajuste del Calendario de Temporadas Secas y Lluviosas Para el Valle del Río Cauca, Informe anual: Centro de Investigación de la Caña de Azúcar de Colombia- CENICAÑA, Santiago de Cali, 2010. [ Links ]
[31] Barrios, C. y Cortés, E., Búsqueda de Señales de Cambio Climático en el Valle del Río Cauca. Memorias IX Congreso Colombiano de Meteorología: 200 años de la meteorología y de la climatología en América Latina, Santafé de Bogotá, 2011. [ Links ]
[32] Poveda, G., Waylen, P. and Pulwarty, R., Annual and Inter-annual Variability of Present Climate in Northern South America and Southern Mesoamerica, J. Palaeogeography, Palaeoclimatolgy, Palaeoecology., 234, pp. 3-27, 2006. [ Links ]
[33] Guenni, L., Degryze, E. y Alvarado, K., Análisis de la tendencia y la estacionalidad de la precipitación mensual en Venezuela. Revista Colombiana de Estadística, 1, pp. 41-65, 2008. [ Links ]
[34] Carvajal, Y., El uso de funciones ortogonales empíricas y análisis de correlación canónica en el estudio de la variabilidad hidrometeorológica, aplicación al Valle del Cauca-Colombia [Tesis Doctoral], España, Universidad Politécnica de Valencia, 2004. [ Links ]
[35] Velasco, A. y Diaz, M., Tendencias e incidencia de los fenómenos macroclimáticos en la hidrología del alto y medio magdalena. Revista Ciencia e ingeniería neogranadina, 16, pp. 29-44, 2006. [ Links ]
[36] Costa-Posada, C., La adaptación al cambio climático en Colombia. Revista de Ingeniería, 26, pp. 74-80, 2007. [ Links ]
[37] Ideam, Instituto Geográfico Agustín Codazzi- Igac, Instituto de Investigación de Recursos Biológicos Alexander Von Humboldt- Iavh, Instituto de Investigaciones Marinas y Costeras José Benito Vives de Andréis- Invemar, Instituto Amazónico de Investigaciones Científicas- Sinchi & Instituto de Investigaciones Ambientales del Pacífico John Von Neumann- Iiap. Ecosistemas continentales, costeros y marinos de Colombia, Ed. IDEAM, Bogotá, 2007. [ Links ]












