Services on Demand
Journal
Article
Indicators
-
Cited by SciELO -
Access statistics
Related links
-
Cited by Google -
Similars in
SciELO -
Similars in Google
Share
DYNA
Print version ISSN 0012-7353
Dyna rev.fac.nac.minas vol.80 no.177 Medellín Jan./Feb. 2013
ESTRATEGIA ITERATIVA DE AJUSTE DE CARGA APLICADA A LOCALIZACIÓN DE FALLAS EN SISTEMAS DE DISTRIBUCIÓN DE ENERGÍA
ITERATIVE STRATEGY TO ADJUST THE SYSTEM LOAD APPLIED FOR LOCATING FAULTS IN POWER DISTRIBUTION SYSTEMS
CESAR OROZCO-HENAO
M.Sc, Universidad Tecnológica de Pereira. Colombia, investigador, caorozco@utp.edu.co
JUAN JOSÉ MORA-FLÓREZ
PhD, Universidad Tecnológica de Pereira. Colombia, profesor asociado, jjmora@utp.edu.co
SANDRA PÉREZ-LONDOÑO
PhD, Universidad Tecnológica de Pereira. Colombia, profesora titular, saperez@utp.edu.co
Recibido para revisar Abril 17 de 2012, aceptado Diciembre 7 de 2012, versión final Diciembre 18 de 2012
RESUMEN: La metodología de localización propuesta está basada en una estrategia iterativa de ajuste de carga para sistemas de distribución. La estrategia utiliza las mediciones de tensión y corriente obtenidas en la cabecera del circuito, por lo tanto, considera cualquier variación presente en los instantes de falla y pre-falla. Además, utiliza un proceso de refinamiento en la estimación de la carga que tiene en cuenta el cálculo de la distancia a la falla de las iteraciones anteriores, para resolver de manera determinística el problema de localización de fallas. La localización de la falla se determina por la estimación de la distancia desde la cabecera del circuito al punto falla, la cual se obtiene a partir de un análisis de cortocircuito en función de los parámetros de fase del sistema. La metodología se valida en el sistema de prueba IEEE 34 nodos conformado por ramales monofásicos, bifásicos y trifásicos, para todos los tipos de fallas y considerando resistencias de falla entre 0Ω y 40Ω, en las cuales se presentan errores de estimación inferiores al 1%.
PALABRAS CLAVE: Análisis de cortocircuito, localización de fallas, métodos basados en la estimación de la impedancia, refinamiento de carga, sistemas de distribución.
ABSTRACT: This paper presents an iterative strategy to adjust the system load which is applied for locating faults in power distribution systems. The strategy estimates the system load using the measurements of voltages and currents at the substation; therefore this proposal considers all of the variations at pre-fault and fault time instants. Also, the strategy uses a refinement process to estimate the system load using an iterative algorithm which considers the distance to the fault calculated in the previous iterations. Then, the fault location is determined by the estimation of the distance from the substation to the fault point which is calculated using short circuit analysis in function of the phase parameters of distribution system. Finally, this strategy is validated in the IEEE 34 test feeder, which is composed for single-phase, two-phase and three-phase feeders and considering several fault resistances from 0Ω to 40Ω. According to the obtained results, the error presented is less than 1%.
KEYWORDS: Faults location, impedance based methodology, power distribution systems, load's refinement, short-circuit analysis.
1. INTRODUCCIÓN
La desregularización del sector eléctrico cambió la manera de evaluar el servicio de energía eléctrica, al considerarlo un producto que debe tener una calidad asociada. La necesidad de determinar esta calidad, por la exigencia cada vez mayor de los usuarios, ha conducido a la definición de los diversos índices que permiten cuantificarla [1].
Normalmente, la calidad se ha estudiado desde dos enfoques diferentes, la continuidad del servicio y la calidad del producto ofrecido [2]. La localización de fallas paralelas en sistemas de distribución está asociada con la continuidad del servicio y los índices más utilizados actualmente en Colombia son, el índice de referencia agrupado de la discontinuidad (IRAD) y el índice trimestral agrupado de la discontinuidad (ITAD) [3].
Las metodologías más exitosas para la localización de fallas en sistemas de distribución, según las referencias bibliográficas más difundidas, son las basadas en la impedancia aparente del sistema. Algunos métodos desarrollados recientemente para la localización de fallas como el propuesto en [4], proponen algoritmos de localización de fallas basados en los parámetros del sistema en estudio. Este método puede ser impreciso debido a que realiza aproximaciones como la concentración de la carga al final del circuito o la utilización del lema de la matriz inversa para determinar el valor de la distancia a la falla. Choi et al. intenta mejorar su metodología en [5], concentrando todos sus esfuerzos en estimar de manera precisa la carga. No obstante, sigue utilizando el lema de la matriz inversa para determinar la distancia la falla, y ésta es una aproximación que desmejora el desempeño de la metodología. En [6], se presenta una propuesta basada en el principio de la mínima reactancia, la cual utiliza los parámetros de fase para determinar una expresión que define la reactancia de falla en función de la distancia al punto falla. Esta metodología presenta varias características que por su parte pueden afectar su desempeño; entre ellas se encuentra la concentración de la carga al final del circuito y que su precisión depende del paso de variación de la distancia a la falla. Esta última característica enfrenta la precisión de la metodología contra su esfuerzo computacional. España et al. intenta mitigar las desventajas presentadas anteriormente en [7], para lo cual reduce considerablemente el tiempo computacional de la metodología concentrando la carga al final del sistema y obteniendo un equivalente conformado por una única línea y una única carga y determinando la distancia a la falla en función de la longitud del sistema y las reactancias de falla de secuencia positiva y negativa. De esta manera logra obtener un método un poco más preciso pero que sigue utilizando ciertas aproximaciones que puede deterioran su desempeño. Otras metodologías utilizan las mismas aproximaciones como es la presentada en [8] y han obtenido resultados aceptables. No obstante, siguen siendo aproximaciones que pueden ser eliminadas si se realizaran procesos de adaptación iterativa que permitan estimar de una manera precisa la carga del sistema.
En la propuesta que se presenta en este artículo se aplica el concepto de adaptación de carga, donde se demuestra que utilizando un lazo de realimentación en la estimación de los parámetros con incertidumbre, se puede realizar un refinamiento de la estimación de la corriente de carga y mejorar considerablemente estimación de la distancia a la falla. Como contenido, en la sección 2 de este artículo, se presenta el desarrollo matemático de la metodología propuesta. En la sección 3, se describe el algoritmo propuesto para el método de localización de fallas; en la sección 4, se presentan las pruebas y los buenos resultados obtenidos en un sistema de distribución prototipo. Finalmente, en la sección 5 se presentan las conclusiones más importantes asociadas a la investigación realizada.
2. MÉTODO PROPUESTO PARA LA LOCALIZACIÓN DE FALLAS
Para la definición del método se asume un alimentador de distribución como el mostrado en la figura 1, conformado por n ramificaciones o radiales, en el cual solo se tienen medidas de tensión y corriente en la subestación. Este alimentador tiene una falla entre el nodo k y el k+1.
Donde, las variables para circunstancias de falla indicadas con el superíndice f son:
: Tensión en la cabecera del circuito.
Corriente en la cabecera del circuito.
Tensión en el nodo k.
: Corriente de fase hacia el tramo en falla.
: Corriente de carga para la fase i (i= a,b,c).
: Corriente que se deriva por el ramal h.
: Corriente por la resistencia de falla (
).
A partir de los registros de tensión y corriente en la subestación, se calcula la tensión y la corriente para todos los tramos que conforman el alimentador. Obtenidas las corrientes y las tensiones en todos los nodos, se puede reducir el análisis de cortocircuito exclusivamente al tramo donde ocurrió la falla, tal como se muestra en esta sección [9].
2.1. Falla monofásica
Se asume la falla monofásica entre los nodos k y k+1, modelada como se muestra en la figura 2.
A partir del análisis circuital del modelo mostrado en la figura 2, se obtiene el sistema de ecuaciones (1), para las fases i (i= a, b, c).

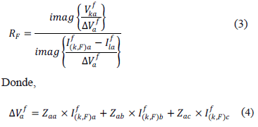
De la primera fila del sistema de ecuaciones (1), se obtiene la ecuación (2) en función de las dos variables de interés, la resistencia de falla (RF) y la distancia a la falla (m).

Si se divide la ecuación (2) por
, con la parte imaginaria se encuentra una expresión para el cálculo de la resistencia de falla, como se muestra en la ecuación (3).

Con la resistencia de falla, en la ecuación (2) se puede obtener la distancia a la falla (m), tal como se presenta en la ecuación (5).

2.2. Falla bifásica
Se asume la falla bifásica entre los nodos k y k+1, modelada como se muestra en la figura 3.
Al igual que para la falla monofásica, se realiza un análisis circuital del modelo mostrado en función de la tensión en la resistencia del suelo (
). Esto se efectúa con el fin de formular un análisis general para las fallas bifásicas y bifásicas a tierra. El sistema de ecuaciones del modelo general se presenta en la ecuación (6).

De las filas uno y dos del sistema de ecuaciones (6), se obtienen dos ecuaciones en función de m, RF y
. Estas dos ecuaciones se restan para eliminar la incógnita
, con el fin de encontrar una ecuación general que no dependa si la falla es o no a tierra, como se muestra en (7).

De manera similar como se realizó para la falla monofásica, a partir de la ecuación (7), se encuentran dos expresiones para el cálculo de la resistencia de falla (RF) y la distancia a la falla (m), tal como se presenta en (9) y (10), respectivamente.

2.3. Falla trifásica
Se considera una falla trifásica entre los nodos k y k+1, modelada como se muestra en la figura 4.
Al igual que para los casos de fallas anteriores, se busca encontrar un sistema de ecuaciones para representar de manera exacta y general los dos tipos de fallas trifásicas (trifásicas y trifásicas a tierra). Por esta razón, el análisis se realiza en función de la tensión de la resistencia del suelo (
), como se muestra en el sistema de ecuaciones (12).

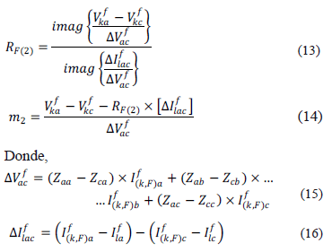
Del sistema de ecuaciones mostrado en (12), se puede obtener tres conjuntos de ecuaciones tanto para la resistencia de falla (RF) y la distancia de falla (m). Estas ecuaciones se presentan de (13) a (15).
Restando las filas uno y dos de (12), se obtiene las mismas expresiones (9) y (10), donde m1 se obtiene de (10).
Restando las filas uno y tres de (12), se obtiene (13) y (14).

Y por último, restando las filas dos y tres de (12), se obtiene (17) y (18).

Después de obtenidas cada una de las distancias a la falla por medio de las ecuaciones (10), (14) y (18), se define la distancia a la falla, como el promedio aritmético de las tres, menos la desviación estándar (23).
Con lo anterior, se corrigen los problemas de sobrestimación de la distancia a la falla.

3. ALGORITMO DE AJUSTE ADAPTATIVO DE CARGA.
Las principales fuentes de imprecisión en los métodos de localización de fallas basados en la impedancia aparente están directamente relacionadas con los parámetros del sistema. Generalmente los parámetros de las líneas de distribución son fácilmente conocidos y los errores en su cálculo están relacionados con información errónea en las bases de datos ofrecidas por las distribuidoras (longitudes de las líneas incorrectas, tipos de estructuras, entre otras). Sin embargo, para las cargas se considera un modelo de impedancia constante, donde sus parámetros son determinados a través de la potencia promedio de cada carga. Esta es la principal fuente de error para este tipo de metodologías de localización. Por esta razón, el algoritmo propuesto para la localización de fallas está orientado a la estimación de la corriente de carga en el instante que ocurre la falla por medio de un proceso de refinamiento iterativo. Esta corriente es dependiente del valor de carga presente en el instante de falla.
En este artículo se propone el cálculo de la matriz de impedancia de carga en el instante de falla a partir de los registros de tensión y corriente en el estado de pre-falla. El algoritmo de adaptación que se propone es recursivo, en el cual la distancia a la falla (m) se calcula repetidamente recalculando a su vez la corriente de carga. Este proceso corresponde a un algoritmo de realimentación que permite refinar la estimación de la corriente de falla y a su vez, la distancia a la misma. Este paso se realiza hasta que la diferencia entre la corriente de carga calculada en la iteración anterior y la iteración actual no sea significativa. Una vez se calcula la distancia a la falla, los vectores de tensión y corriente durante la falla se actualizan, si ésta no ocurrió en la sección bajo análisis.
El diagrama de bloques de la figura 5 ilustra el proceso desarrollado para calcular un posible punto de falla, y en los numerales del (3.1) al (3.6) se explica detalladamente cada uno de los bloques que conforman el algoritmo propuesto.
3.1. Extracción de información del sistema y acumulación de carga para cada tramo.
La información del sistema se obtiene a partir de las bases de datos del operador de red. En este artículo se utiliza un sistema de potencia simulado con EMPT/ATP [10]. Adicionalmente, se utiliza una herramienta conocida como ATPeXchange que permite extraer, organizar y procesar la información del sistema y almacenarla en un formato estándar. Esta herramienta a su vez, obtiene los radiales equivalentes del sistema de distribución, lo que permite una aplicación sencilla de los métodos de localización de fallas en cualquier sistema. Se entiende como sistema radial equivalente de un circuito, al conjunto de tramos de línea que van desde el nodo inicial a un nodo final, acumulando en los nodos de bifurcación, las ramificaciones que se desprendan de éste. Este proceso lleva implícito la acumulación de carga para cada tramo del sistema, [11].
3.2. Determinación de descriptores de falla
Los descriptores de falla corresponden a los fasores de corriente y tensión en el estado de pre-falla y falla. Estos descriptores se determinan por medio de los registros de fallas medidos en la subestación [12].
3.3. Cálculo de la impedancia de carga
Debido a que la carga en los sistemas de distribución es variante en el tiempo y en la mayoría de casos no se conocen las curvas de demanda para cada carga, es necesario implementar estrategias que permitan determinar de manera aproximada el valor de carga en el instante de ocurrencia de la falla. Una estrategia adecuada es estimar la carga vista en estado de pre-falla desde la sección en estudio. Para este caso, considerase el sistema de potencia de la figura 6. A partir de las tensiones nodales y las corrientes por las ramas, se puede estimar la impedancia de carga vista en cada nodo.
Donde, las variables en circunstancias de pre-falla indicadas con el superíndice p son:

Como la impedancia de carga se estima con las mediciones de tensión y corriente de pre-falla, y la variación de la carga en el sistema es muy lenta comparada con el cambio de estado de pre-falla a falla, se puede asumir que la impedancia de carga en el instante de falla es la misma que en el estado de pre-falla. Por lo tanto, la impedancia de carga vista desde cada nodo del sistema de potencia se define por el sistema de ecuaciones (24).

De esta manera, la matriz de impedancia de carga vista desde cada nodo k se define por (25)

En el caso que se posean las curvas de carga para cada cliente conectado al sistema en estudio, se valida la metodología utilizando la mayor y la menor demanda presentada en las curvas de carga. Esto se realiza con el fin de analizar cómo se afecta el desempeño de la metodología ante las variaciones extremas presentadas en la demanda. Para el caso en el que se desee localizar una falla a partir de un registro de falla real, se determina la marca de tiempo en que ocurrió la falla y se obtiene la demanda que presenta cada usuario en ese mismo instante en las curvas de carga y luego se aplica la metodología para determinar la ubicación de la falla.
3.4. Proceso de refinamiento: Estimación de la distancia a la falla, la resistencia de falla y actualización de la corriente de carga
El ciclo propuesto para el cálculo de la distancia y la resistencia de falla se fundamenta en un proceso recursivo para la estimación de la corriente de falla o la adaptación de la carga, ya que ésta última es una de las variables que más afecta la estimación de los parámetros para la localización de la falla.
El proceso iterativo comienza con la asignación de los valores iniciales de las variables no conocidas, en este caso la corriente hacia la carga. Esta corriente se inicializa con la ecuación (26).

Después de inicializada la corriente de carga se calcula la resistencia de falla y la distancia a la falla de la manera expuesta en la sección 2. Conocida la resistencia y la distancia a la falla, se recalcula la corriente de carga por medio de la ecuación (27), y se estima la diferencia entre la corriente hallada en la iteración anterior y la actual, a partir de la ecuación (28).

El error calculado corresponde al primer criterio de parada en el proceso iterativo. Este criterio define la calidad del refinamiento realizado a la distancia de falla a partir de la actualización de la corriente de carga. Cuando se cumple este criterio, se observa si la distancia a la falla calculada es menor a uno (distancia normalizada); de ser así, se determina la distancia real estimada por el método de la manera expuesta en la sección 3.6. En caso contrario se actualizan corrientes y tensiones nodales como se muestra en la sección 3.5 y se continúa en el siguiente tramo de línea.
3.5. Actualización de corrientes y tensiones cuando el punto de falla se encuentra en un tramo diferente al analizado
La actualización de corrientes y tensiones consiste en el cálculo de la tensión de recibo en el tramo actual, la cual corresponde a la tensión de envío en el tramo siguiente. Este cálculo se realiza en pre-falla y falla por medio de las expresiones (29) y (30) respectivamente.

Para la actualización de la corriente, se presenta un problema asociado al desconocimiento de las corrientes por los ramales del circuito. Estas corrientes son desconocidas ya que dependen del valor de la carga conectada en cada lateral en el instante que ocurre la falla. Una manera de calcular estas corrientes es determinar la admitancia de cada lateral a partir de la impedancia vista desde la subestación en el instante de falla. Un factor (
) que relacione la admitancia del lateral con la admitancia total del sistema permitirá determinar qué porcentaje de la admitancia de todo el sistema hace parte el lateral. Este factor es definido en (31).

A partir
y la impedancia vista desde la subestación, se estima la admitancia de cada lateral como se muestra en la ecuación (32).

Con la admitancia por cada ramal, se calcula la corriente para el siguiente tramo utilizando los valores de tensión y corriente del tramo actual, como se muestra en las ecuaciones (33) y (34).

La actualización de las corrientes presenta especial atención ya que la precisión en su estimación afecta directamente el desempeño de la metodología.
3.6. Obtención de verdadera distancia estimada
Después de localizada la falla, se determina la distancia real desde la subestación, realizando la sumatoria de las distancias de las secciones recorridas por el algoritmo y adicionándole la porción del tramo donde se localiza la falla por medio del ultimo valor obtenido de "m", como se puede observar en la ecuación (35).

4. PRUEBAS Y RESULTADOS
El sistema seleccionado para la validación de la metodología propuesta es el sistema IEEE de 34 nodos, el cual es tomado de los "test feeders" del "Distibution System Analysis Subcommittee" del "Institute Electrical and Electronics Enginieers" [13]. Este alimentador está ubicado en el estado de Arizona (Estados Unidos) y opera a una tensión de 24.9 kV. Este sistema se modela en el software de simulación ATPDraw, con el cual se simularon fallas monofásicas, bifásicas y trifásicas, sobre un rango de resistencias de falla de 0 Ω a 40Ω, [14]. La figura 7 muestra el sistema IEEE 34 en el entorno del ATPDraw.
Los resultados se muestran a partir de las gráficas de desempeño del método propuesto, para el cual se presenta el error de la distancia calculada contra la distancia real de la falla. El error se calcula a partir de la ecuación (36).

Los resultados para las fallas monofásicas se presentan en la figura 8, donde se muestra las gráfica de desempeño de error contra distancia real.
El error es menor en el inicio y presenta una tendencia creciente. También, se puede concluir a partir la gráfica de desempeño de la metodología, que el valor de la resistencia de falla impacta directamente en la precisión de la localización, donde el mayor error presente para la falla monofásica de 40W está alrededor de 1%.
Otra característica que afecta directamente el desempeño del método es el desbalance de carga que presenta el sistema en estudio. Por esta razón, se realizan pruebas en un sistema que presente todo tipos de líneas, monofásicas, bifásicas y trifásicas, de tal manera que el circuito se aproxime a un sistema real.
En la figura 9, se presentan los resultados para las fallas bifásicas, donde se muestra las gráficas de error de estimación contra distancia real.
La metodología presenta un comportamiento de sobrestimación de la distancia a la falla. Este comportamiento se presenta debido a la incertidumbre que se tiene sobre el verdadero valor de la carga. No obstante su desempeño es sobresaliente, presentándose un error máximo alrededor del 0.8%.
Por último, la figura 10 presenta los resultados para las fallas trifásicas, donde se muestra la gráfica de desempeño de error contra distancia real. El mejor desempeño de la metodología se presenta para las fallas bifásicas y trifásicas. El mayor error presente en la validación para la falla trifásica es de -0.8% al final del alimentador, el cual, es generado por la incertidumbre que se presenta en la carga del sistema. No obstante, este error no es significativo sobre la longitud total del sistema, por lo tanto, la estimación de la localización de la falla presenta un grado de confianza sobresaliente.
5. CONCLUSIONES
La metodología propuesta para la localización de fallas paralelas en sistemas de distribución, permite determinar de manera precisa el punto donde ocurrió la falla a partir de las mediciones de tensión y corriente en pre-falla y post-falla en la cabecera del circuito. Considerando que solo se requiere las mediciones de tensión y corriente, se puede afirmar que el método propuesto es de fácil implementación en un sistema real.
De otra parte, el modelado adaptativo de la carga propuesto, permite estimar de manera más precisa la localización, debido a que considera las variaciones de la demanda en el momento de ocurrencia de la falla. Utilizar un proceso adaptativo en el cálculo de la corriente de carga, representa una buena estrategia para su determinación, ya que se puede realizar un refinamiento de la distancia de falla calculada a medida que se itera esta corriente.
Finalmente, la estimación de la impedancia de los ramales laterales, permite realizar una buena actualización de las corrientes por cada tramo, lo cual mejora considerablemente la precisión de la metodología propuesta para la localización de la distancia a la falla.
AGRADECIMIENTOS
Este trabajo fue desarrollado en el grupo de investigación ICE3 y apoyado por la Universidad Tecnológica de Pereira por medio de la Vicerrectoría de Investigaciones, Innovación y Extensión y por el programa de Jóvenes investigadores e innovadores "Virginia Gutiérrez de Pineda" de Colciencias.
REFERENCIAS
[1] Philipson, L. and Lee, H., "Understanding electric utilities and deregulations". CRC Press. 2 Edition. 2005. [ Links ]
[2] Dugan, R. and Mcgranaghan, M., Electrical Power Systems Quality. Mcgraw-hillcompanies. 2da Edition. ISBN 007138622X, 2004. [ Links ]
[3] CREG. Comisión de Regulación de Energía y Gas. Resolución 097 de 2008. Ministerio de minas y energía, 2008. [ Links ]
[4] Myeon, Ch. y Seung, L., A new fault location algorithm using direct circuit analysis for distribution systems. IEEE transactions on power delivery, vol. 19, (1), 2004. [ Links ]
[5] Myeon, Ch. y Seung, L., An intelligent and efficient fault location and diagnosis scheme for radial distribution systems. IEEE transactions on power delivery, vol. 19 (2), April 2004. [ Links ]
[6] Morales, G., Mora, J. and Pérez, S., Método de localización de fallas en sistemas de distribución basado en gráficas de reactancia. Scientia et Technica, vol. 34, 2007. [ Links ]
[7] Morales, G., Mora, J. and Vargas. H., Fault location method based on the determination of the minimum fault reactance for uncertainty loaded and unbalanced power distribution systems. Transmission and Distribution Conference and Exposition: Latin America (T&D-LA), 2010. [ Links ]
[8] Correa, E., Mora, J. and Pérez, S., Generalized strategy for implementing the minimum fault reactance based fault location algorithm in real power distribution systems. Revista Ingeniería e Investigación. Vol. 31(2), 71-75, 2011. [ Links ]
[9] Morales, G. Mora, J. and Vargas, H., Elimination of Multiple Estimation for Fault Location in Radial Power Systems by Using Fundamental Single-End Measurements. IEEE Transactions on power delivery, Vol. 24, No. 3, 2009. [ Links ]
[10] ATP. Alternative transient program rulebook. Comité Argentino de Usuarios del EMTP/ATP_CAUE. 2002. [ Links ]
[11] Bedoya, A., Mora, J. and Pérez, S., Estrategia de reducción para la aplicación generalizada de localizadores de fallas en sistemas de distribución de energía eléctrica. Revista EIA, 2012. [ Links ]
[12] Perez, L., Pérez, S. and Mora, J., Diseño de una herramienta eficiente de simulación automática de fallas en sistemas eléctricos de potencia. Revista DYNA. Ed. 164, 2010. [ Links ]
[13] IEEE. Distribution System Analysis Subcommittee. Radial Test Feeders. Available: http://www.ewh.ieee.org/soc/pes/sacom/testfeeders.html [Citado en el 2000] [ Links ].
[14] Mora, J., Pérez, S. and Osorio, G., Influencia de la resistencia de falla y la resistividad del suelo en los métodos de localización de fallas basados en la estimación de la impedancia. un análisis comparativo. Revista DYNA. Ed. 163, 2010. [ Links ]






















