Services on Demand
Journal
Article
Indicators
-
Cited by SciELO -
Access statistics
Related links
-
Cited by Google -
Similars in
SciELO -
Similars in Google
Share
DYNA
Print version ISSN 0012-7353
Dyna rev.fac.nac.minas vol.81 no.184 Medellín Mar./Apr. 2014
https://doi.org/10.15446/dyna.v81n184.38519
http://dx.doi.org/10.15446/dyna.v81n184.38519
Analytical model to determine optimal production lots considering several productive and logistics factors
Modelo analítico para determinar lotes óptimos de producción considerando diversos factores productivos y logísticos
Javier Valencia a, Mª Pilar Lambán b & Jesús Royo c
a M. Sc., M. L., Doctorando en Dpto. en Ing. de Diseño y Fabricación. Universidad de Zaragoza, España, 644662@unizar.es
b Dra. Profesor Colaborador, Dpto. de Ing. de Diseño y Fabricación. Universidad de Zaragoza, España, plamban@unizar.es
c Dr. Profesor Titular, Dpto. de Ing. de Diseño y Fabricación. Universidad de Zaragoza, España, jaroyo@unizar.es
Received: June 20th, 2013. Received in revised form: October 28th, de 2013. Accepted: November 20th, 2013
Abstract
The current economic crisis has led companies worldwide to pursue costs reductions in order to remain productive. To support this effort we propose an analytical model to establish the optimal lot size based on the celebrated EOQ (Economic Order Quantity) model. The value of this model is that -in order to provide solutions closer to the actual optimal- it includes several costs factors, many of them never before considered. Of particular interest are the incorporation of two characteristics of the model, the "Logistical index" first published in Revista Dyna Colombia, 179 [1], and the possibility of working with variable production times, features never included in a model of this type before. Also, to facilitate the implementation of this model several in companies, including SMEs, two simplifications and a solved problem are showed.
Keywords: Supply chain, logistics, optimal lot size, EOQ, logistics index
Resumen
La crisis económica actual ha impulsado a las empresas en todo el mundo a disminuir sus costos para mantenerse rentables, para apoyar este esfuerzo se propone un modelo analítico para la determinación del lote óptimo de producción basado en el reconocido modelo EOQ (Economic Order Quantity). La valía de este modelo radica en que incluye diversas partidas de costo, muchas de las cuales no se habían considerado previamente, lo que permite dar soluciones más próximas a los óptimos reales. De particular interés son dos características que incorpora el modelo, la incorporación del "Índice Logístico" publicado por primera vez en la Revista Dyna Colombia, 179 [1] y la posibilidad de trabajar con tiempos variables de producción, ambos aspectos nunca considerados en modelos similares. Además, para facilitar la aplicación del modelo en diversas empresas, incluyendo Pymes, se muestran dos simplificaciones del mismo y un problema resuelto.
Palabras Clave: Cadena de suministro, logística, lote óptimo, EOQ, índice logístico.
1. Introducción
La crisis económica actual ha incrementado en las empresas alrededor del mundo la necesidad de reducir sus costos operativos con el fin de mantenerse productivas y rentables, ya que esto es un factor clave para cualquier organización [2].
Existen diversas iniciativas que se pueden poner en marcha para buscar la reducción de los costos en una organización: Reducir la plantilla, externalizar operaciones, optimizar procesos, entre otras. En este trabajo nos enfocamos en la optimización de un proceso clave para cualquier empresa productiva, la determinación del lote óptimo de fabricación.
La importancia de determinar la cantidad óptima a producir, o comprar, en una organización es tal que el conocido modelo EOQ, presentado por Harris en 1915 [3], no solo se utiliza en múltiples empresas [4,5] sino que aún se enzeña en muchos programas educativos en todo el mundo. Más aún, el artículo de Wagner y Whitin donde se presentó la versión dinámica de dicho modelo [6] fue seleccionado como uno de los diez trabajos más influyentes de la publicación "Management Science" de los últimos cincuenta años (1954-2004) [7].
El modelo EOQ tanto en su versión original como en la introducida por E. Taft en [8] denominada EPQ (Economic Production Quantity) intenta optimizar el tamaño del lote de compra o de producción al minimizar el resultado de combinar dos costos importantes en la gestión del empresarial, el fijo de compra o de producción (e. g. actividades como las llamadas telefónicas para levantar el pedido o hacer los cambios necesarios en la línea de fabricación) y el de mantenimiento del inventario, en el cual se engloban costos como la renta, consumo eléctrico, mano de obra y otros tantos que se detallan en [1].
En el modelo EOQ/EPQ se busca determinar el lote óptimo de producción (normalmente representado como Q*) a partir de únicamente los siguientes datos:
H = Costo unitario anual de mantener el inventario.
D = Demanda.
S = Costo fijo de comprar (o producir).
Conociendo dichos datos el lote óptimo se determina al derivar e igualar a cero el costo de gestión ilustrado en la figura 1, obteniéndose así la ecuación (1).

Aunque este modelo aún es muy utilizado en múltiples empresas, diversos autores consideran que, por el reducido número de costos que toma en cuenta, es demasiado simplista y por lo tanto impreciso [6]. Como resultado de esto diferentes investigadores han propuesto recientemente modificaciones al modelo para obtener óptimos más próximos a los reales [10].
Entre los modelos desarrollados en los últimos años más destacados se encuentran el de Hall [11] y el de Mendoza [12] quienes incorporan el costo de la distribución en el cálculo de lotes óptimos. Otros trabajos destacados incluyen [13], donde se considera por primera vez costos de materia prima, y [14] donde se se empieza a tomar en cuenta la necesidad de incorporar costos de reproceso; la importancia de este último trabajo fue tal que una nueva versión de éste se presentó recientemente en [4].
Además de desarrollarse nuevos modelos que incorporan costos que no habían sido contemplados previamente, en la literatura reciente también ha cobrado gran importancia el dejar de considerar ciertos costos que tradicionalmente se han supuesto constantes para tratarlos como variables, siendo muestra de ello [15] y [16]. En [15] se propone un modelo para determinar lotes óptimos de producción considerando costos de "set up" variables y en [16] es el costo de almacenaje el que de deja de considerarse constante.
Si bien los trabajos aquí expuestos resultan particularmente trascendentales por las aportaciones hechas no son los únicos en donde se proponen nuevos modelos de lotes óptimos, por lo que se recomienda al lector interesado en conocer la totalidad de modelos desarrollados la lectura de las revisiones de la literatura presentadas en [17-20].
Tanto del análisis de los modelos comentados como de las revisiones mencionadas se determinó que los trabajos realizados hasta la fecha tienden a enfocarse en desarrollar modelos que única aportan alguna novedad relativa a esfuerzos previos, hechándose en falta un modelo con características integradoras [21] siendo esto la principal motivación para la realización de este trabajo.
Debido a lo anterior, es que el modelo propuesto toma en consideración tanto costos tratados previamente por diversos autores como costos que no habían sido tomados en cuenta, elegidos éstos porque resultan fundamentales para los sistemas productivos [21]. Así mismo, el modelo incorpora por vez primera ciertos elementos que permiten que éste se ajuste mejor a la realidad tales como los tiempos variables de producción o el uso del índice logístico (inductor de costo propuesto en [1] y en [21] que aproxima el costo de los procesos logísticos a una referencia en concreto, a partir de sus dimensiones). En las siguientes secciones de este artículo se detalla el modelo propuesto, secciones que se resumen en seguida. La 2 describe el proceso productivo a optimizar, la 3 detalla las características del modelo, la sección 4 presenta algunas simplificaciones del mismo, la sección 5 muestra un problema resuelto y la 6 presenta algunas conclusiones y posibles futuras líneas de investigación.
2. El proceso productivo
El objetivo de este trabajo consiste en desarrollar un modelo analítico para determinar el lote óptimo de producción de un sistema productivo concreto, al considerar diversos costos que afectan dicho proceso.
El proceso elegido para optimizar representa con buena precisión la forma de trabajar de diversas empresas [6] ya que, como sucede en los entornos industriales, éste integra diversas operaciones productivas incluyendo algunas propuestas en trabajos detallados en la sección 1 y, como sucede en dichos trabajos, para que el modelo propuesto pueda ser aplicado se requiere se satisfagan los siguientes supuestos del proceso:
- Se analiza un único producto.
- Se tiene, o se supone, una demanda constante a lo largo del año.
- Se tiene capacidad productiva para satisfacer la demanda.
El proceso productivo a optimizar se ilustra en la figura 2 y consiste en: Procesar la materia prima suficiente para realizar Q productos, posteriormente inspeccionarlos (por lote) para determinarse cuáles resultan satisfactorios y cuáles deberán reprocesarse, lo que se hace de manera inmediata. Una vez el propio proceso retrabaja los productos, se realiza otra inspección para determinar qué productos son satisfactorios y satisfactorios y cuáles resultan inservibles, mismos que deberán recibir una disposición final adecuada. Por último, los productos satisfactorios son almacenados y entregados al cliente (interno o externo) en cantidades fijas y en un tiempo establecido.
Del proceso productivo comentado se desprende el comportamiento del inventario que se muestra en la figura 3, en la cual se muestra como durante el tiempo de transformación (T1) el total de productos va en aumento -aunque no necesariamente a un ritmo constante- hasta alcanzar un primer nivel de stock máximo (H1), inmediatamente después durante el tiempo T2 los productos defectuosos son retrabajados a una tasa también variable, para alcanzarse el valor definitivo del stock (H), finalmente, dicho stock máximo decrece a un ritmo constante y periódico durante el plazo de entregas (T3).
3. El modelo propuesto
3.1. Características del modelo
Para determinar el tamaño de los lotes óptimos de producción del proceso estudiado se requiere en primera instancia de determinar los costos a considerar para a partir de ellos encontrar una función costo objetivo (CQ) la cuál, al minimizarla, permitirá calcular el lote óptimo (Q*).
Para mantener el modelo de fácil aplicación para las empresas, incluyendo pymes, no se consideraron todos los costos que afectan al proceso productivo descrito sino únicamente aquellos que, en la opinión de otros autores como [21] resultan claves en la producción, dichos costos se muestran de forma gráfica en la figura 4.
A pesar de que en el presente trabajo no se han considerado todos los costos relacionados con el proceso analizado, el modelo aquí presentado es él que al día de hoy introduce más variables de costos en el cálculo de lotes óptimos, esto de acuerdo con una extensa revisión de la literatura realizada.
Para la obtención de lotes óptimos más precisos, además de considerarse nuevos costos, en este trabajo se introducen por primera vez ciertas aportaciones que permiten ajustar el modelo más a la "realidad". Entre dichas aportaciones se cuentan la posibilidad de que los tiempos de producción no sean constantes sino que sigan una distribución Normal (claramente, de estarse en presencia de tiempos constantes de producción se tiene un caso particular del modelo propuesto) así como el integrar el índice logístico, inductor de costo que permite ajustar los costos logísticos a una referencia en concreto.
3.2. La formulación matemática
Para incorporar tanto las partidas de costo como las aportaciones expuestos en la sección 3.1 de este trabajo a la función (CQ) que represente el proceso productivo descrito se requiere una importante cantidad de variables, mismas que se presentan con detalle en la tabla 1.
Si bien la nomenclatura empleada en la tabla 1 guarda cierta similitud con la utilizada en [4] y [15] la incorporación de diversos elementos que no se habían considerado previamente tales como el índice logístico necesitó de definir nuevas variables.
Más aún, para incorporar el índice logístico al modelo expuesto se requirió de modificarlo de tal manera que el costo de los procesos logísticos se ajustaran a una referencia en concreto no a partir del total, como se propuso en [1] y [22], sino de la media de las referencias, tal cual se puede ver en el en el apéndice 1 donde se detalla el cálculo del índice logístico tal como se ha empleado aquí mientras que la importancia de su uso se muestra con detalle en la sección 5.
Como se pude apreciar en la ecuación (1) no todos los costos detallados en la figura 4 se ven influenciados por la presencia del índice logístico sino que, como su nombre lo indica, este solo se debe considerar en procesos como el transporte o el almacenaje.
CQ = Costo variable de materia prima + Costo fijo de set up + Costo variable de producción + Costo variable de retrabajo + Costo variable de la disposición de la chatarra + Indice logístico del transporte (Costo fijo del transporte al cliente + Costo variable del transporte al cliente + Costo variable del transporte interno) + Indice logístico del almacenaje (Costo variable de almacenaje durante la producción + Costo variable de almacenaje durante el retrabajo + Costo variable de almacenaje durante las entregas) + Costo variable de la inspección tras la producción + Costo variable de la inspección tras el retrabajo + Costo variable de mantenimieto por producción + Costo variable de mantenimieto por retrabajo (1)
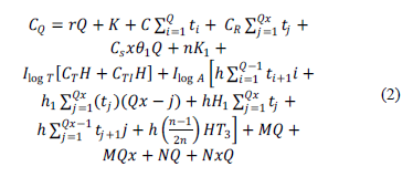
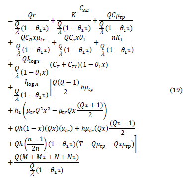
La ecuación (1), la cual se obtuvo de sumar los costos detallados en la figura 4, permite la formulación de la funcion CQ mediante un significativo análisis de la sección 2, el cual permite sustituir las partidas de costos por sus equivalencias utilizando las variables operativas expresadas en la tabla 1. Como se puede ver en la ecuación (2), en la formulación de CQ se mantuvo tanto la totalidad y el órden de los sumandos como el uso del índice logístico de la ecuación (1).

Para el correcto entendimiento de la ecuación (2) en el apéndice 2 se detallan ciertos conceptos necesarios para la obtención de dicha ecuación los cuales pueden resultar poco intuitivos.
Para determinar el tamaño del lote óptimo (Q*) a partir de la función CQ se requeriría derivar la ecuación (2), igualarla a cero y hallar el valor de Q que satisfaciera la igualdad. Esto, sin embargo, no se puede realizar ya que una de las aportaciones de este modelo es que por primera vez se permite que los tiempos de trabajo (y por ende sus costos) no sean constantes sino que sigan una distribución Normal, generando esto que la ecuación (2) no sea derivable.
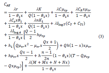
Es por lo anterior que, a partir de la ecuación 2 y usando la esperanza matemática, se propone encontrar la función costo anual esperado (CAE) ya que, por las propiedades de la esperanza matemática de la distribución Normal, dicha función sí es derivable. El cálculo de cómo se obtuvo la función CAE se muestra en el apéndice 3 y dicha función se detalla en la ecuación (3).

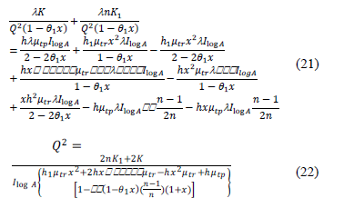
Como se puede apreciar, la función CAE sí es derivable ya que los tiempos de producción, originalmente variables, han sido sustituidos por tiempos medios (mtp y mtr) por lo que -como se haría si la función CQ fuera derivable- se puede determinar Q* derivando e igualando a cero CAE. De acuerdo con lo anterior, se presentan la primera y la segunda derivada de CAE en las ecuaciones (4) y (5).

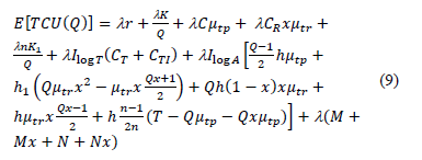
Dado que d2(CAE) es positiva, ya que l, K, K1, Q y (1-Q1x) son siempre positivas, entonces la segunda derivada es convexa para toda Q por lo que efectivamente se puede calcular Q* igualando d2(CAE) a cero. Dicha igualación, mediante la cual se halló la ecuación (6), se muestra en el apéndice 4.

Como se puede ver, para obtener el lote óptimo no se requiere de contar con todas las variables contempladas originalmente, aunque el contar con ellas permite conocer facilmente otros valores importantes tal como el costo anual esperado mínimo, el cual se obtiene de sustituir Q* en la ecuación (3).
4. Simplificaciónes del modelo
En ciertas empresas, sobre todo en pymes, puede resultar complicado conocer con precisión todos los factores requeridos para determinar el lote óptimo mediante la formulación presentada en la sección 3 por lo que, para facilitar la implementación del modelo, se dan dos simplificaciones de éste:
- Considerando Ilog = 1. Se considera que se conoce con precisión los costos logísticos del producto que se analiza.
- Considerando Q = 0. Se considera que el proceso estudiado no genera chatarra por lo que tras el reproceso todos los productos son satisfactorios.
4.1. Simplificación 1, considerando Ilog = 1
El costo anual esperado sería:

y el lote óptimo tendría un valor de:

4.2. Simplificación 2, considerando Q1 = 0
El costo anual esperado sería:

y el lote óptimo tendría un valor de:

n la siguiente sección se ilustra, con un ejemplo, el grado de variación que puede existir al cálcular Q* con el modelo original y con las versiones simplificadas.
5. Problema resuelto
El problema que se presenta es una adaptación del propuesto en [4] en el cual se desea determinar el lote óptimo de producción con los valores de la tabla 2.
Para resolver el problema basta con sustituir los valores dados en las ecuaciones (6) y (3) para el modelo completo y en las (7)-(10) para las versiones simplificadas; los resultados obtenidos de dichos cálculos se muestran en la tabla 3, a la cual además se le han agregado las columnas "Costo diario esperado" y "variación de Q".
Como se puede apreciar, el tamaño del lote puede variar significativamente cuando no se considera el índice logístico, en cambio, la generación de chatarra practicamente no afecta el valor de Q*. El hecho de que la generación, o no, de chatarra prácticamente no afecte los resultados obtenidos es una muestra de la robustez propia de este tipo de modelos, característica que motiva su aplicación.
Aunque, como se vio anteriormente, los resultados de este tipo de modelos tienden a verse poco influenciados por cambios operativos sí pueden ser sensibles a diferencias significativas en los costos ingresados. Estas diferencias pueden deberse a que en el ambiente empresarial es común trabajar con costos medios, más aún de procesos logísticos [22].
Es por lo anterior que resulta valioso el contar con una herramienta como el índice logístico, cuyo uso en un modelo de lote óptimo se propone por primera vez en este trabajo, para ajustar los costos logísticos a una referencia concreta disminyuendo así el error en el tamaño de lote a producir. Como muestra de lo anterior se ilustra en las figuras 5 y 6 la variación de Q* con respecto a IlogA y de CAE con respecto a IlogA y a IlogT para el problema resuelto.
Del análisis de la figura 5 se puede determinar que el índice logístico de almacenaje guarda una relación inversa con el tamaño del lote óptimo es decir, de forma general productos de mayores dimensiones corresponderán con lotes óptimos de producción más reducidos. Así mismo, de la figura 6 se concluye que tanto el indíce logístico de transporte como el de almacenaje guardan una relación directa con el costo anual esperado, siendo para el problema estudiado más importante en la variación del costo el que corresponde al almacenaje.
6. Conclusiones
La crisis económica mundial ha acrecentado la necesidad de las empresas de mínimizar sus costos operativos para mantenerse competitivas y rentables, para ello existen diversas estrategias que se pueden poner en marcha, siendo la optimización de los procesos las más recomendados por diversas fuentes especilizadas. De acuerdo con esto es que en este trabajo se presenta un modelo para contribuir con la reducción de costos a través de la optimización del proceso productivo, concretamente del tamaño del lote a fabricar.
Si bien el modelo de lote óptimo aquí propuesto tiene sus raices en el reconocido modelo EOQ/EPQ éste permite determinar tamaños de lotes óptimos significativamente más precisos que los que se obtendrían no solo con dicho modelo sino con los propuestos en la literatura reciente. Lo anterior debido a que el modelo presentado incorpora en su cálculo las que en la opinión de otros autores son las principales partidas de costo que afectan a la producción.
Además de considerar más costos que en ningún modelo de lote óptimo propuesto previamente, en este trabajo se incoporan por primera vez dos aportaciones que permiten ajustar con mayor precisión el modelo planteado a un proceso productivo, el uso del índice logístico -el cual permite ajustar los costos logísticos a una referencia en concreto- y el dejar de considerar los tiempos de producción constantes para considerar que siguen una distribución Normal.
Otra aportación de este trabajo es que para facilitar la implementación del modelo propuesto en las empresas, incluyendo pymes, se mostró que tan solo se requiere conocer nueve valores de entrada, muchos de los cuales no son difíciles de obtener a partir de datos históricos. Más aún, y siempre con el objetivo de facilitar la aplicación del modelo, dos versiones simplificadas del mismo y un problema resuelto fueron presentados.
Para finalizar el presente artículo, se proponen algunas líneas de investigación que enriquecerían lo aquí expuesto. Particularmente interesantes serían aquellas que desarrollen modelos similares considerando tiempos de producción que siguieran otras funciones de probabilidad o comportamientos estocásticos. Así mismo, una comparativa entre el modelo analítico expuesto y uno que permitiera la existencia de restricciones sería muy valiosa.
7. Agradecimientos
Los autores agradecen a los revisores anónimos por su valiosos comentarios para mejorar la calidad de este trabajo. Así mismo, agradecen al Centro Español de Logística, (CEL) el reconocimiento otorgado en 2010 a la mejor Tesis Doctoral española en logística referenciada en [22], de donde surge parte de este trabajo. Javier Valencia agradece al CONACYT y al CONCIYTEY por la beca otorgada.
8. Apéndices
8.1. Apéndice 1
El índice logístico (Ilog) se calculó con:

Donde a y b son coeficientes de ponderación establecidos para cada proceso a analizar y lo cuales cumplen a+b=1.
8.2. Apéndice 2
El cálculo del costo de almacenaje durante los n períodos de entrega se obtuvo de sumar los n-1 "rectángulos de costo" de base Tn que se muestran en la figura 3, dicha suma se detalla a continuación,

así mismo, el valor de T3 es,

por lo que substituyendo los valores H, H1 y T3 por los datos de entrada y ordenando en función de Q, se obtiene:

8.3. Apéndice 3
Calculando CAE con,

y considerando que,

se detalla la función costo anual esperado, considerando los tiempos medios de producción y de reproceso como mtp y mtr,

Simplificando se obtiene la ecuación (3) comentada previamente en la sección 3.
8.4. Apéndice 4
Para obtener el lote óptimo se iguala la primera deriva a cero y se despeja Q,

reordenando y simplificando se obtiene,

Referencias
[1] Lambán, M.P., Royo, J., Valencia, J., Berges, L. y Galar, D., Modelo para el cálculo del costo de almacenamiento de un producto: Caso de estudio en un entorno logístico, Dyna Colombia, 179, pp. 23-32, 2013. [ Links ]
[2] Baykasoglu, A. y Kapanoglu, V., Developing a service costing system and an application for logistics companies, Int. Journal of Agile Manuf., 9, pp. 13-18, 2006. [ Links ]
[3] Harris, F. W., What quantity to make at once, in The Library of Factory Mgt. Vol. 5, Operation and Costs, The Factory Mgt. Series, Shaw Co. pp. 47-52, 1915. [ Links ]
[4] Yuan, P., Shang, L., Chun, C. y Huei, C., Mathematical modeling for determining the replenishment policy for EMQ model with rework and multiple shipments, Mathematical and computer modeling, 54, pp. 2165- 2174, 2011. [ Links ]
[5] Salameh, M.K. and Jaber, M.Y., Economic production model for items with imperfect quality, IJPE, 64, pp. 59-64, 2000. [ Links ]
[6] Wagner, H. M. y Whitin, T. M., Dynamic version of the economic lot size model, Management Science, 5, pp. 89-96, 1958. [ Links ]
[7] Hopp, W., Ten most influential papers of Management Science's first fifty Years, Management Science, 50, 1763, 2004. [ Links ]
[8] Taft, E. W., The most economical production lot, The Iron Age, 101, pp. 1410-1412, 1918. [ Links ]
[9] Correa, A. y Gómez, R., Tecnologías de la información en la CdS, Revista Dyna Colombia, 157, pp. 37-48, 2009. [ Links ]
[10] Jaber, M., Bonney, M. y Moualek, I., An economic order quantity model for an imperfect production process with entropy cost, IJPE,118, pp. 26-33, 2009. [ Links ]
[11] Hall, R., On the integration of production and distribution: Economic Order and production quantity implications, Transportation Research Part B: Methodological, 30, 5, pp. 387-403, 1996. [ Links ]
[12] Mendoza, A. y Ventura, J., Incorporating quantity discounts to the EOQ model with transportation costs, IJPE, 113, pp. 754-765, 2008. [ Links ]
[13] Sarker, R. y Khan, L., An optimal batch size for a production system operating under periodic delivery policy. Computers & Industrial Engineering, 37, pp. 711-730, 1999. [ Links ]
[14] Jamal, A., Sarker, R. y Mondal, S., Optimal manufacturing batch size with rework process at a single-stage production system, Comp. & Ind. Eng., 47, pp. 77-89, 2004. [ Links ]
[15] Darwis, M. A., EPQ models with varying set up costs, IJPE, 113, pp. 297-306, 2008. [ Links ]
[16] Pando, V. García, J., San José, L. y Sicilia, J., Maximizing profits in an inventory model with both demand rate and holding cost per unit time dependent on the stock level, Computers & Industrial Engineering, 62, pp. 599-608, 2012. [ Links ]
[17] Khan, M., Jaber, M., Guiffrida, A. y Zolfaghari, S., A review of the extensions of a modified EOQ model for imperfect quality item, IJPE, 132, pp. 1-12, 2011. [ Links ]
[18] Glock, C. H., The joint economic lot size problem, IJPE, 135, pp. 671-686, 2012. [ Links ]
[19] Ramasesh, R., Lot-sizing decisions under limited-time price incentives: A review, Omega-International Journal of Management Science, 38, pp. 118-135, 2010. [ Links ]
[20] Sufen, C., Purchase-Inventory Model with Varying Purchase Price: A Review, Memorias de la Int. Conf. on Mgt Science and Engineering, Wuhan, China, Tomo 4, pp. 1211-126, Octubre 2010. [ Links ]
[21] Colledani, M. y Tolio, T., Integrated quality, production logistics and maintenance analysis of multi-stage asynchronous manufacturing systems with degrading machines, CIRP Annals-Manufacturing Technology, 61, pp. 455-458, 2012. [ Links ]
[22] Lambán, M., Determinación de costos de procesos de la Cadena de Suministro e influencia de factores productivos y logísticos. Tésis (Ph. D.) Universidad de Zaragoza, 2010. [ Links ]





















