Services on Demand
Journal
Article
Indicators
-
Cited by SciELO -
Access statistics
Related links
-
Cited by Google -
Similars in
SciELO -
Similars in Google
Share
DYNA
Print version ISSN 0012-7353
Dyna rev.fac.nac.minas vol.81 no.184 Medellín Mar./Apr. 2014
https://doi.org/10.15446/dyna.v81n184.38748
http://dx.doi.org/10.15446/dyna.v81n184.38748
Design of a three-finger end effector for optimal grip
Diseño de un efector final de tres dedos para agarre óptimo
Vladimir Prada a, Oscar Avilés b & Mauricio Mauledoux c
a M.Sc. Docente cátedra. Universidad Militar Nueva Granada. Bogotá-Colombia. vladmont@gmail.com
b Ph.D. Docente de planta. Universidad Militar Nueva Granada. Bogotá-Colombia. oscar.aviles@unimilitar.edu.co
c Ph.D. Docente de planta. Universidad Militar Nueva Granada. Bogotá-Colombia. mauricio.mauledoux@unimilitar.edu.co
Received: July 15th, 2013. Received in revised form: September 18th, 2013. Accepted: September 23th, 2013
Abstract
This paper presents the design of a three-fingered gripper with two degrees of freedom (DOF) per finger for a total of six (DOF). We show a brief mathematical description of the kinematics involved in the gripper with which to determine the workspace. With the workspace, all possible attachment points are obtained, that will be the points at which the end-effector contacts with the object geometry. To select which of these points is best for hold the object, we proceed to evaluate the force that is exerted on it by mathematical theory called Screw. This force should be the minimum to ensure that do not present sliding as well as avoid damages of the object by excess strength. Due to the fact that the contact points are numerous and evaluate them takes quite time by an algorithm combining, for this reason the optimization algorithm Non-dominated Sorting Genetic Algorithm (NSGA) is implemented. The results of the optimization with attachment points that exert minimal force were presented.
Keywords: Grasp, Gripper, NSGA, Optimization, Robotic, Screws.
Resumen
Este trabajo presenta el diseño de un gripper de tres dedos con dos grados de libertad (DOF) por dedo para un total de seis (DOF). Se hace una breve descripción matemática de la cinemática que interviene en el gripper con la cual se determina el área de trabajo. Con el área de trabajo se obtienen todos los posibles puntos de agarre que serán los puntos en el que el efector final entra en contacto con la geometría del objeto. Para seleccionar cuál de estos puntos es el mejor para sujetar el objeto, se procede a evaluar la fuerza que se ejerce sobre él por medio de la matemática denominada Screw. Esta fuerza debe ser la mínima tal que no halla deslizamiento y a su vez el daño del objeto por exceso de fuerza. Como los puntos de contacto son numerosos y evaluarlos toma bastante tiempo por un algoritmo combinatorio se implementa el algoritmo de optimización Non-dominated Sorting Genetic Algorithm (NSGA). Se presentan los resultados de la optimización con los puntos de agarre que ejercen la mínima fuerza.
Palabras Clave: Agarrar, Efector final, NSGA, Optimización, Pinza, Robótica, Tornillos
1. Introducción
En la actualidad tanto ingenieros como médicos han visto que los robots son una solución tangible en cuanto a tiempos de ejecución, eficiencia, calidad, precisión y manipulación de objetos [1, 2], pero en algunos casos estas ventajas no son suficientes para la manipulación de objetos de diferente tamaño y peso, con movimientos precisos y con diferentes niveles de fuerza, por esto se diseñó un efector final o gripper [3, 4] que pueda ser una solución a la manipulación de objetos con formas irregulares [5]. Por lo anterior se realiza un diseño muy similar a la morfología de la mano humana, la cual posee una gran destreza y control sobre objetos de diferentes características [6].
A continuación se mencionan algunos de los grippers desarrollados de importancia a nivel científico destacando sus bondades. El gripper C6M utiliza para su accionamiento un sistema eléctrico de motores y un sistema neumático de músculos. Esta mano consta de 20 motores montados debajo de la muñeca que proporcionan movimientos conformes. Siguiendo el principio de diseño de inspiración biológica, un par de tendones cada par motor inteligente de la articulación correspondiente de la mano y sensores de prensión en cada una de las falanges para controlar fuerza en el agarre [7].
Las manos EH1 Milano y Elu-2 son de escala antropomórfica capaz de agarrar una gran variedad de objetos y detectarlos a través de sensores de fuerza y posición. Estas manos son capaces de reproducir los movimientos de la mano humana inclusive a la misma velocidad [8-10]. La mano Robonaut de la NASA consta de 14 grados de libertad, 2 en la muñeca y 12 grados en la mano. Esta mano alberga los motores y la unidad electrónica en el antebrazo, siendo 14 motores y 12 placas de circuitos [11]. Todos estos dispositivos son desarrollados para la implementación de diferentes técnicas de control y su finalidad es el agarre óptimo de la mayoría de los objetos.
A partir de un diseño de gripper se procede a analizar de qué forma se puede agarrar un objeto, partiendo de los grados de libertad que este posea y de la forma que tenga el objeto. A continuación se escoge la técnica de agarre a utilizar de las que se destacan cierre de fuerza y cierre de forma [12, 13]. El cierre de fuerza busca que la sumatoria de las fuerzas que ejercen cada uno de los dedos del gripper sean cero sobre el objeto que a su vez garantiza que no haya traslación. El cierre de forma busca que el gripper cobije al objeto o que tenga la mayor cantidad de puntos de contacto sobre el objeto.
Sin importar la técnica de agarre seleccionada se debe garantizar que el agarre del objeto sea un agarre efectivo, es decir que la fuerza del gripper no permita deslizamiento ni tampoco la deformación del objeto. Para ello es necesario realizar un equilibrio dinámico de fuerzas [14, 15] y controlar los movimientos del efector garantizando un mínimo de fuerza [16].
El trabajo está organizado de la siguiente forma: Se muestra la formulación matemática de un efector final de 6 GDL, en la sección 2.2 se muestra el área de cobertura de cada dedo y las posibilidades de aprensión sobre un objeto, en la sección 3 se aborda la optimización del agarre para realizar un mínimo de fuerza por dedo mediante el algoritmo NSGA, y finalmente se presentan algunas conclusiones y trabajos futuros. La validación de este trabajo se realiza por medio de sistemas de diseño asistido por computadora (CAD) y Matlab®.
2. Analogía biomecánica del gripper de 3 dedos
La mano humana abarca desde la muñeca hasta la yema de los dedos en los seres humanos. Son el principal órgano para la manipulación de objetos. La punta de los dedos contiene algunas de las zonas con más terminaciones nerviosas del cuerpo humano y son la principal fuente de información táctil y de fuerza sobre el entorno. Es por lo anterior que se diseña un efector final muy similar al de la mano humana en cuanto a dimensiones, comportamiento y destreza. Se partió realizando el análisis de la morfología del dedo índice Fig. 1. Las dimensiones para el diseño se determinaron a partir de la longitud y el diámetro de un dedo humano.
Este dedo cuenta con 4 grados de libertad, el primer grado de libertad está dado por la abducción y aducción presentes la falange proximal y los otros tres por la flexión y extensión de las falanges proximal, media y distal. Por facilidad de construcción e implementación se restringe el primero y último grado de libertad, obteniendo dos grados de libertad por cada dedo. Este diseño contempla tres dedos, dos de ellos opuestos al tercero Fig. 4, dando como resultado un gripper de 6 grados de libertad.
2.1. Cinemática del gripper
Con la Cinemática Directa se determina la dependencia que existe entre las coordenadas articulares o generalizadas
sus parámetros geométricos (e.g. longitud de los eslabones) y las coordenadas cartesianas
y de orientación
del último sistema de coordenadas o extremo final del efector. Para determinar la posición del último sistema coordenado con respecto a la base del dedo, se debe usar la matriz de transformación homogénea, que en forma general se presenta en (1) [18]:

Donde
es la matriz de transformación de la junta
con respecto a la junta
y donde los vectores
, son vectores ortogonales unitarios y
es un vector que describe la posición x, y, z del origen del sistema actual respecto del sistema de referencia.
En la Fig. 2 se muestra uno de los dedos con los sistemas de coordenadas para cada una de las articulaciones y en la Tabla 1 los parámetros estructurales, como lo describe el método de Denavit-Hartenberg [18-20].
Para el dedo con grados de libertad Rotacional-Rotacional es necesario conocer la posición del último sistema coordenado y se realiza mediante la matriz de transformación
, o en otras palabras mediante el producto de las matrices
,
,
. La matriz de transformación homogénea que relaciona los sistemas coordenadas O0 con O3 es
, y esta matriz se muestra en (2):

Con la matriz de transformación se tiene la matriz de orientación
y el vector de traslación
del punto final del dedo con respecto a la base o palma. Con el vector de traslación se determina el espacio de trabajo ya que provee de las posiciones en
,
y
.
2.2. Espacio de trabajo.
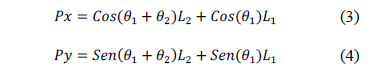
El espacio de trabajo es la disposición física de trabajo que cubre el punto final de cada dedo de acuerdo al grado de movilidad de cada articulación. Este se calcula a partir de la cinemática de cada dedo. Por lo tanto se implementa un algoritmo recursivo con (3) y (4).

Con el fin de conocer el espacio de trabajo del gripper se hace un barrido con los rangos de rotación posibles de alcanzar por cada articulación y con las longitudes de los eslabones especificadas en la Tabla 1. Se grafica el barrido de las posibles posiciones que puede alcanzar cada uno de los dedos, el objeto a agarrar y las posiciones de agarre Fig. 3. Las posiciones de agarre se generan cuando el espacio de trabajo toca la superficie del objeto.
2.3. Estabilidad dinámica de agarre.
La estabilidad dinámica es la matemática que permite a partir de una posición y orientación de cada dedo calcular las fuerzas necesarias para una sujeción sin deslizamiento y sin movimiento rotacional o traslacional. Para ello es necesario declarar sistemas de coordenadas adicionales
[15], como se muestra en la Fig. 4 y desarrollar la matemática que se describe a continuación:
- Sistema de coordenadas
hace referencia al origen de todos los sistemas coordenados y está localizado en la palma del gripper.
son los sistemas de coordenadas del origen de cada dedo.
son los sistemas de coordenadas del punto final de cada dedo.
es el sistema de coordenadas del objeto.
La teoría Screw and Wrench se refiere al álgebra y cálculo de los pares de vectores, tales como las fuerzas y los momentos y la velocidad angular y lineal, que se presentan en la cinemática y la dinámica de los cuerpos rígidos. El marco matemático fue desarrollado por Sir Robert Stawell Bola en 1876 para ser aplicados en la cinemática y la estática de los mecanismos [15]. Un desplazamiento espacial de un cuerpo rígido puede ser definido por una rotación alrededor de una línea y una traslación a lo largo de la misma línea, llamado un desplazamiento tipo Screw, esto se conoce como teorema de Chasles. Un Screw es un vector de seis dimensiones construido a partir de un par de vectores de tres dimensiones, tales como las fuerzas y pares de torsión y la velocidad lineal y angular, que se presentan en el estudio del movimiento del cuerpo rígido espacial. Los componentes del Screw definen las coordenadas Plücker de una línea en el espacio y las magnitudes de los vectores a lo largo de la línea y el momento sobre esta línea.
Los vectores de fuerza y par de torsión que surgen en la aplicación de las leyes de Newton a un cuerpo rígido se pueden montar en un Screw de una llamada Wrench. Una fuerza tiene un punto de aplicación y una línea de acción, por lo tanto, define la Plücker coordenadas de una línea en el espacio y tiene pitch cero. Un par de torsión, por el contrario, es un momento puro que no está unido a una línea en el espacio y es un tornillo de paso infinito. La relación de estas dos magnitudes define el paso del tornillo. [26]
Para desarrollar esta teoría en el caso del gripper se comienza determinando la matriz de orientación
y ubicación del punto final
de cada dedo
con respecto al sistema coordenado
. Las matrices de rotación y posición para cada uno de los dedos se muestran numéricamente en (5), (6) y (7), de acuerdo a la posición mostrada en la Fig. 4 (Las dimensiones del cubo son de
).

A partir de la ubicación del punto final de cada dedo con respecto a
se calcula la posición de contacto del dedo con respecto al sistema coordenado
que se muestra en (8), (9) y (10).

La matriz
es la matriz de transformación wrench que mapea las wrench de contacto con las wrench del objeto, como se muestra en (11).

Para poder realizar el producto
basta con convertir el vector columna
en vector fila y se denota
, ya que el problema de sujeción es planar o en dos dimensiones. Debido a que no se ejerce fuerza lo largo del eje z, se elimina el valor en z del vector
y la última fila y columna de la matriz
.
La operación de
para los tres dedos se muestra en (12), (13) y (14)

La matriz
para el dedo 1 se desarrolla como se muestra en (15), (16) y (17).

Las matrices
y
se muestran en (18) y (19).

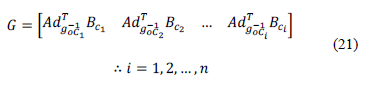
Se procede a definir el mapa de agarre
mediante (20), el cual indica la posición y orientación que tiene cada dedo al entrar en contacto con el objeto.

A partir del mapa de agarre
, se obtiene un mapa de agarre general
y para que este sea lineal con las fuerzas de contacto,
se multiplica con la matriz de contacto
, siendo
cada dedo y
el punto de contacto. El mapa de agarre general se define mediante (21), y la matriz de contacto en la Tabla 2 dependiendo de la forma de contacto y fuerza que existe entre la superficie y el dedo [15].

Por la morfología del dedo o sus grados de libertad, no es posible ejercer un torque sobre la superficie de contacto ni una fuerza a lo largo del eje
(Eje de rotación, Cinemática), así que se modifica la matriz de contacto con fricción que se muestra en la Tabla 2 y queda como se presenta en (22). Los vectores de fuerza que actúan sobre el objeto se muestran en la Fig. 5. La matriz
da la restricción en forma matemática que existe físicamente en el gripper, estas restricciones están dadas por la morfología propia del efector final [15].

El mapa de agarre general (21) se muestra numéricamente en (23).

Con la matriz
se puede saber la fuerza y torque a los que va a estar sometido el objeto a partir de los valores de fuerza generada por el contacto de los dedos o viceversa. Para determinar el efecto de las fuerzas de contacto en el objeto, se transforma las fuerzas al marco de coordenadas del objeto. Sea (
,
) la configuración de la estructura de contacto
en relación con el marco de objeto. Entonces, la fuerza ejercida por un único contacto se puede escribir en las coordenadas del objeto como se muestra en (24).

Para el caso se desea que la fuerza en
,
y el torque
en
del sistema sea cero, por lo tanto se hallan los valores de fuerza requerido para cada dedo mediante (24) que para el caso del gripper implementado quedaría como se muestra en (25).

Numéricamente (25) se muestra en (26):

Para resolver el sistema de ecuaciones (26) es necesario definir 3 ecuaciones más, para lo cual hay necesidad de considerar el peso del objeto
y el producto del coeficiente de fricción
con la fuerza perpendicular que ejerce cada dedo sobre la superficie del objeto y de esta forma se garantiza que no se deslice el objeto y a su vez se contrarresta la fuerza que ejerce la gravedad sobre el objeto, esto se presenta en (27).

Para garantizar que las fuerzas que ejerce el dedo 1 y 3 sean iguales se debe satisfacer a (28) y (29) de esta manera se evitan rotaciones en el eje
, es decir:

Para el caso de (27) se toma un
de 0.58 ya que el contacto es de metal-metal [15,21].
Al solucionar el sistema de ecuaciones el vector de fuerzas
se muestra en (30), las unidades de estos valores están en
:

El diagrama de fuerzas se muestra en la Fig. 6.
3. Optimización multi-objetivo para el agarre
Con la matemática anteriormente presentada se realiza el cálculo de fuerzas para dos casos en los que las posiciones de los dedos son aleatorias. A partir de estas posiciones se calculan las fuerzas necesarias, la solución gráfica y numérica se presentan en las Fig. 7, 8 y en (31), (32) respectivamente. En las figuras se tiene en la parte izquierda la vista superior del objeto y en la parte derecha la vista frontal con los vectores de fuerza que ejercen los dedos sobre el objeto. Se observa que la magnitud de los vectores del dedo 2 es mayor, ya que este tiene que contrarrestar la fuerza de los dedos 1 y 3. Así mismo se observa que la magnitud de los vectores aumenta a medida que la posición de los dedos se aleja de la palma.

En los puntos de contacto, los vectores de fuerza mostrados en las Fig. 7, 8 garantizan que el objeto no presente deslizamiento ni desplazamientos lineales o rotacionales, más no se realizan con el mínimo de fuerza por parte de cada uno de los dedos. Para hallar una posición con el mínimo de fuerza de todas las posibilidades de aprensión se utiliza el algoritmo de optimización NSGA [27-29]. El algoritmo NSGA II se utilizó como solución al problema propuesto, dada su eficiencia (bajo costo computacional) y eficacia (Precisión de las soluciones) a la hora de calcular un frente de Pareto gracias a su comportamiento Elitista (ranking por capas) y el cálculo del crowding distance [28, 29], como operador utilizado para mantener la diversidad de la población, lo cual mejora considerablemente la distribución de las soluciones dentro del frente de Pareto calculado. El algoritmo NSGA II ya se ha usado para problemas similares obteniendo excelentes resultados como se muestran en [30] comparado con otros algoritmos.
Se generaron aleatoriamente puntos de agarre y a estos se les denominaran individuos de una población para el algoritmo NSGA, este se encargará de buscar cual a los mejores de acuerdo a las funciones a minimizar.
La optimización multi-objetivo puede ser definida como el problema de encontrar un vector de variables de decisión que satisfacen restricciones y optimiza un vector de funciones cuyos elementos representan las funciones objetivo. Estas definiciones aparecen en los trabajos de Coello y Deb [22-24]. Para el problema de fuerza que se pretende resolver se desea encontrar un vector de decisión que se muestra en (33):

con
, el cual deberá satisfacer las
restricciones de desigualdad (34)

y optimizar el vector de funciones (35)

que generalmente cumple con
. El conjunto de todas las soluciones que satisfacen a (34) es conocido como codominio de soluciones factibles, y se representa como
, y en forma general
.
El correspondiente conjunto imagen
se define en (36).

Definición 1: Dominancia de Pareto, sean dos soluciones
. Se dice que
domina a
(denotado como
si es mejor o igual que
en cada uno de los objetivos y estrictamente mejor en al menos un objetivo. Como ejemplo, en un contexto de minimización
si y solo si se cumple (37):

Definición 2: Soluciones no comparables, dados
, si
ni
, se dice que son soluciones no comparables, lo que se denota como
.
Definición 3: Conjunto de Pareto, el conjunto de todas las soluciones
no dominadas en
se denomina Conjunto Pareto, lo que se denota como
. Las soluciones
que pertenecen a
se denotarán como 
Definición 4: Frente de Pareto, la imagen del Conjunto Pareto a través de la función
se denomina Frente Pareto, denotado por
[24].
Para el funcionamiento del algoritmo se ingresaron los siguientes parámetros:
- Vector de variables de decisión:
Posiciones del dedo 1 en
y
![]()
Posiciones del dedo 2 en
y
![]()
Posiciones del dedo 3 en
y
- Vector de funciones a optimizar, minimización:
Suma de las magnitudes de las fuerzas
y
![]()
Magnitud de la fuerza
- Tamaño de la población: 32
- Número de generaciones: 30
- Porción de la población a reemplazar: 0.9
Los resultados obtenidos por el algoritmo NSGA, se presentan en la Fig. 9 y 10. La Fig. 9 muestra los 32 individuos de la primera generación y la Fig. 10 muestra el mejor individuo en la última generación. En este caso el frente de Pareto está dado por una sola solución o un solo individuo, y este individuo indica la mejor posición de contacto de los dedos con el objeto y a su vez un agarre con el mínimo de fuerza.
Las magnitudes de fuerza de las funciones minimizadas se muestran en (38) y (39):

Y de acuerdo a los valores de fuerza, el vector de variables de decisión es:
Posiciones del dedo 1 en 
y 
Posiciones del dedo 2 en 
y 
Posiciones del dedo 3 en 
y 
A partir de estas posiciones se grafican los vectores de fuerza, garantizando el mínimo de fuerza y cierre de fuerza. De estos resultados se observa en la Fig. 11, que la posición es la más cercana a la palma con los dedos enfrentados para evitar la rotación del objeto.

4. Conclusiones
El uso de la teoría Screw hizo más fácil el desarrollo matemático y tiempos de ejecución computacional ya que se utiliza el álgebra lineal para la solución.
El algoritmo NSGA mostró grandes ventajas en cuanto a tiempo computacional para la detección del mejor punto de agarre garantizando el mínimo de fuerza, el tiempo de ejecución es alrededor de 2 minutos comparado con un algoritmo combinatorio puede durar hasta 5 horas. El tiempo de ejecución del NSGA depende de los parámetros ingresados, que para el caso se utilizaron tres variables de análisis (fuerza de cada dedo), dos funciones a minimizar (f1+f3 y f2), 32 individuos como población, 30 generaciones y un 90 % de proporción de la población a reemplazar.
Como desarrollo a futuro se utilizaran objetos de forma irregular garantizando la posición de agarre con el mínimo de fuerza. Se profundizará en el cálculo de fuerza de un ensamble y determinando los centros de masa de acuerdo al material y a la geometría. En próximas etapas del proyecto se variara la posición del gripper ya que como posible aplicación, se ensamblará a un brazo robótico.
Referencias
[1] BBC MUNDO Tecnología, Manos robóticas que sienten lo que tocan. Disponible: http://www.bbc.co.uk/mundo/noticias/2012/06/120620_tecnologia_manos_roboticas_tacto_aa.shtml. [citado 10 de Junio de 2012] [ Links ].
[2] ROBOTNIK, Manos robóticas. Disponible: http://www.robotnik.es/es/productos/manos-roboticas. [citado 18 de septiembre de 2013] [ Links ].
[3] Baturone, A.O., Robótica. Manipuladores y robots móviles, Marcombo. 2001. [ Links ]
[4] Salazar, M., Cim-manufactura integrada por computadora, Disponible: http://msalazar-ingeniero.blogspot.com/ [citado 3 de Julio de 2009] [ Links ].
[5] Curtis, N. and Xiao, J., Eficient and effective grasping of novel objects through learning and adapting a knowledge base, IEEE - RSJ International Conference on Intelligent Robots and Systems, pp. 2252-2257, 2008. [ Links ]
[6] Cutkosky, M.R. and Howe, R.D., Human Grasp Choice and Robotic Grasp Analysis, En: ST Venkataraman, T. Iberall, , Dextrous Robot Hands, Springer-Verlag, Chapter 1, pp. 5-31, 1990. [ Links ]
[7] SHADOW ROBOT COMPANY. Shadow Dexterous Hand Technical Specification, Disponible: http://www.shadowrobot.com/wp-content/uploads/shadow_dexterous_hand_technical_specification_E1_20130101.pdf [citado 1 Enero de 2013] [ Links ].
[8] PRENSILIA. EH1Milano series- Anthropomorphic Human sized hand. Disponible: http://www.prensilia.com/files/support/doc/DS-EH1-v01.pdf [citado 19 de Julio de 2010] [ Links ].
[9] ELUMOTION. ELU-2 Hand. Disponible: http://www.elumotion.com/Elu2-hand.htm. [citado 28 de mayo de 2013] [ Links ].
[10] Keymeulen Assad, D. C., "Investigation of the Harada Robot Hand For Space", Jet Propulsion Laboratory, California Institute of Technology, 4800 Oak Grove Dr., Pasadena, CA 91109. [ Links ]
[11] Bibby, J. and Ryan. National aeronautics and space administration. Hands. Disponible: http://robonaut.jsc.nasa.gov/R1/sub/hands.asp. [citado 28 de mayo de 2013] [ Links ].
[12] Baca, S. D., Manipulación cooperativa robot-robot y humano-robot. Aplicación a sistemas flexibles de desensamblado automático. [PhD thesis], Universidad de Alicante, 2007. [ Links ]
[13] Shimizu, S., Shimojo, M., Sato, S., Seki, Y., Takahashi, A. Inukai, Y. and Yoshioka, M., The relation between human grip types and force distribution pattern in grasping, IEEE, pp. 286-291, 1996. [ Links ]
[14] Wu, S.-C. and Hor, M.-K., On the properties of 3d equilibrium gmrasping forces, IEEE, pp. 3101-3106, 1996. [ Links ]
[15] Murray, R. M., Li, Z. and Sastry, S. S., A Mathematical Introduction to Robotic Manipulation. 1994. [ Links ]
[16] Li, S. K. T. Y. F. and Meng, Q., Grasping force measurement for dynamic grasp stability assess-ment, IEEE, pp. 1294-1299, 1998. [ Links ]
[17] MADRID. B. Artedinamico, 2009, http://www.artedinamicocomic.com/php/tutorialesver.php?tutoriales=9. Medellín - Colombia. [citado jueves, 16 de mayo de 2013] [ Links ].
[18] Jiménez, V. P., Niño, P. A. and Sánchez, O. F. A., Control Híbrido Fuerza-Posición para un manipulador de 2 GDL. Editorial académica española, España, 2013. [ Links ]
[19] Reyes, F., Robótica, Control de Robots Manipuladores. Alfaomega, Cap. 4, 2011. [ Links ]
[20] Craig, J. J., Robótica. Prentice Hall, pp. 69-92, 2006. [ Links ]
[21] David, R., LIDE, CRC Handbook of Chemistry and Physics. National Institute of Standards and Technology. 2003 [ Links ]
[22] Coello, An updated survey of evolutionary multiobjective optimization techniques, state of the art and future trends, IEEE, 3-13, 1999. [ Links ]
[23] Coello, A. C., Lamont, G. B. and Veldhuizen, D. A. V., Evolutionary Algorithms for Solving Multi-Objective Problems. 2 ed., 2007. [ Links ]
[24] Deb, K., Evolutionary algorithms for multi-criterion optimization in engineering design, EURO-GEN 99, 1999. [ Links ]
[25] Coronel, J. M. P., Santacruz, H. D. M., Ríos, C. G. L. and Cegla, B. B., Algoritmos de optimización multi-objetivos basados en colonias de hormigas, Latin-American Conference on Informatics (CLEI), 10, 2006. [ Links ]
[26] Stramigioli, S. and Bruyninckx, H., Geometry and Screw Theory for Robotics Stefano. IEEE ICRA 200!. Marzo 15, 2001 [ Links ]
[27] Rodriguez, J., Quiroga, J. E. y Ortiz, N. R., Comparación del desempeño entre un algoritmo clásico de optimización por enjambre de partículas y un algoritmo genético en el diseño de celdas de manufactura, DYNA, 2013. [ Links ]
[28] MAULEDOUX, M. AND SHKODYREV, V. Multiobjective Evolutionary Algorithm MOEA to Solve Task Allocation Problems in Multi Agents Systems, IEEE Xplore and indexed by both EI (Compendex) and ISI Proceeding (ISTP), Vol. 5, 2010. Mauledoux, M. and Shkodyrev, V., Multiobjective Evolutionary Algorithm MOEA an Approach for Solving MAS Multiatribute Allocation Task, IEEE Xplore and indexed by both EI (Compendex) and ISI Proceeding (ISTP), Vol 1, 2010. [ Links ]
[29] Correa, C., Bolaños, R. and Molina, A., Algoritmo multiobjetivo NSGA-II aplicado al problema de la mochila. Scientia et Technica Año XIV, Universidad Tecnológica de Pereira, 2008. [ Links ]






















y
Suma de las magnitudes de las fuerzas
y
Magnitud de la fuerza 



