Services on Demand
Journal
Article
Indicators
-
Cited by SciELO -
Access statistics
Related links
-
Cited by Google -
Similars in
SciELO -
Similars in Google
Share
DYNA
Print version ISSN 0012-7353
Dyna rev.fac.nac.minas vol.81 no.185 Medellín May/June 2014
https://doi.org/10.15446/dyna.v81n185.38572
http://dx.doi.org/10.15446/dyna.v81n185.38572
Making Use of Coastal Wave Energy: A proposal to improve oscillating water column converters
Aprovechamiento Energético de las Olas Costeras: Una propuesta de mejora de los convertidores de columna de agua oscilante
Ramón Borrás-Formoso a, Ramón Ferreiro-García b, Fernanda Miguélez-Pose c & Cándido Fernández-Ameal d
a Escuela Técnica Superior de Náutica y Máquinas, Universidad de La Coruña, España. ramon.borras@udc.es
b Escuela Técnica Superior de Náutica y Máquinas, Universidad de La Coruña, España. ferreiro@udc.es
c Escuela Técnica Superior de Náutica y Máquinas, Universidad de La Coruña, España. fermigue@udc.es
d Escuela Técnica Superior de Náutica y Máquinas, Universidad de La Coruña, España. caameal@udc.es
Received: June 27th, de 2013. Received in revised form: November 5th, 2013. Accepted: November 8th, 2013
Abstract
This paper aims to describe an alternative design (protected by patent), for an onshore wave based energy converter, specifically an oscillating water column, capable of providing increased efficiency. In order to compare the various alternative designs, a theoretical model that describes the physical behavior with certain restrictions is proposed. The converters incorporate a rectifying barrier leading to a large pool of water between the sea and the converter.In order to estimate the theoretical increase in achievable power, a theoretic cycle model is assumed for the simulation of its operational dynamics using a simplified ideal behavior: regular waves, the air assumed to be an ideal gas, with adiabatic compression and expansion. The results obtained show that a correct adjustment of the turbine differential pressure contributes to an increase in the available power output. We conclude that the proposed innovations can lead to an improved technology applicable to this type of converters.
Keywords: Ocean energy; Renewable energy; Alternative energy; Wave energy converters (WEC); Oscillating water column (OWC); OWC-DPST.
Resumen
El objetivo de este artículo es describir un diseño alternativo (protegido por patente) de un convertidor undimotriz, para ubicar en la línea de costa, del tipo de columna de agua oscilante, capaz de alcanzar un mayor rendimiento. Para hacer una comparación de los distintos convertidores se propone un modelo teórico que describe el comportamiento físico, con ciertas restricciones. El convertidor incorpora una barrera rectificadora formando una gran balsa de agua entre el mar y el convertidor y para estimar teóricamente la potencia obtenible se supone un comportamiento ideal simplificado: olas regulares, comportamiento del aire como gas ideal, compresión y expansión adiabática. Los resultados obtenidos muestran que un ajuste de la presión diferencial en la turbina contribuye al aumento de la potencia de salida aprovechable. Se concluye que la innovación propuesta puede ayudar al avance de la tecnología aplicable a este tipo de convertidor.
Palabras clave: Energía del mar; Energías renovables; Convertidor undimotriz (WEC); Columna de agua oscilante (OWC); OWC-DPST.

1. Introduction
There is a pressing need for gradual substitution of energy sources based on fossil fuels, because of continuous depletion of these resources, and in order to protect the environment. Thus, an increased reliance upon alternative sources of energy is a logical imperative. The automobile industry is one in which there are many technical and design limitations which complicate the use of alternative fuels. It is therefore in the generation of electricity from renewable sources where R & D can lead to practical results in the near term. Some renewable sources of energy can generate a significant amount of CO2, whereas others, not based on fossil-fuel as set forth in this article, are free of these emissions.
At present, over 1000 Wave Energy Converters (WEC) are patented worldwide [1]. All Wave Energy Converters (WEC) of the oscillating water column type (OWC), currently in operation or under construction, whether off -shore or on-shore, have a structure that can be represented schematically as shown in Fig. 1. The turbine shaft may be arranged vertically, as in the plant installed in Mutriku (Guipúzcoa, Spain), or horizontally, as in the case of the wave power plant of Pico (in the Azores) or that of the island of Islay in Scotland [2].
The operational mode is as follows: when the wave reaches the converter, the water level within the chamber is lower than outside. When the water level within the chamber starts to rise, this compresses the air during the upstroke of the water column, and this compressed air drives an air turbine which in its turn drives an electric generator. This process will continue until the water column reaches its highest level.
When the wave outside the chamber begins to recede, there will be a fall in the level of the water in the chamber, a downstroke, leading to increased air volume within the chamber reducing it to below-atmospheric pressure. This drop in pressure causes a reverse in the direction of air-flow, and this once again drives the turbine.
It is customary to use self-rectifying turbines such as Wells, Dennis-Auld, McCormick, or reactionself-rectifying turbines which maintain a constant direction of rotation regardless of the direction of airflow. The use of self-rectifying turbines is a satisfactory solution to the problem of rotation, converting the bi-directional flow within the water column into energy. These wind turbines have proven to be a tried-and-tested technology based upon years of experience in the field [3]. However, there are several weak points in the way that these converters work, given that the flows are characterized by:
- Variable amplitude
- Variable rotation direction
- Intermittency
- and lack of control.
Let us analyze briefly the implications of each of these characteristics.
a) The compression and suction cycle phases are carried out at variable pressure. This leads to highly variable flows in amplitude because the pressure in the chamber is changing significantly. The effect is that the rotating torque developed by the turbine is also variable, being zero during most of the cycle. Furthermore, in addition to other drawbacks, it will lead to sub-optimum operating conditions (maximum efficiency condition) causing low performance conversion rates.
According to [3] the operating range is too much restricted, which has a significant effect on efficiency. The abrupt increase in pressure within the chamber may damage the turbine blades [4], while the "stalling" phenomenon reduces efficiency as flow rates surpass certain limits [5].
On the other hand, a considerable safety margin must be taken into account by assuming significant design parameterization values for turbine and generator.
b) The variable condition of the air flow requires the adoption of one of two constructive options:
1) Using a structure based on rectified flow which requires a conventional turbine, (unidirectional flow turbine type) exhibiting greater performance but requiring several valves and piping accessories, leading to a fall in pressure and energy losses.
2: Using a self-rectifying turbine, leading to a significantly lower level of efficiency [6].
c) The fact there is a change in the direction of air flow in the duct of the chamber means, mathematically speaking, that the flow must pass through zero twice per cycle, and that during those two moments it is not transferring energy to the turbine. Furthermore, after the level of the water column reaches its lower level and the air pressure in the chamber is equal to atmospheric pressure, it will take time to begin its upward movement, and yet more time until it reaches the compressed air in the chamber, at a pressure sufficient to produce an air flow rate through the turbine and create torque. Until that point, no energy is transferred to the turbine. Something similar occurs when the water column is at its top. Hence it is clear that, during much of the cycle, power is not being transferred to the turbine. The energy converted is therefore intermittent [7].
d) The conclusion to be drawn from the three previous points is that the amount of air flowing through the turbine is insufficient, under normal conditions, to drive a 3-phase alternator, which requires a synchronized speed. One option is to use a doubly fed induction generator. Another is to use dual conversion rectification-inversion with static elements.
One possibility is to use a turbine regulatory system acting on a variable blade distributor turbine, partly to mitigate the effects of highly variable flows. In any case, the control in this type of converter raises important theoretical and practical problems.
Furthermore, saltwater particles will inevitably have an impact on turbine blades, resulting in adverse effects such as corrosion and fouling. Another drawback, from the environmental point of view, is the very loud noise emanating from the air outlet of the turbine at higher speed peaks, which prevents these converters from being located near residential areas.
The proposed WEC-OWC with differential pressure storage tanks (DPST) is designed to avoid many of the disadvantages of conventional OWC converters.
The double oscillating water column "twin-OWC Wave energy converter" [8,9], can be considered from a technological perspective as an intermediate design between the OWC and the OWC-DPST.
2. Description of the proposed converter
Fig. 1 shows a simplified diagram of a conventional OWC converter. The extraordinary simplicity of its operating principle can be observed. The water level inside the chamber rises and falls in consonance with the external level, after a certain delay. Fig. 2 shows the OWC-DPST converter in simplified form. Number 5 represents the high pressure storage tank (HPT), in which the compressed air from the chamber during the upstroke of the oscillating water column is transferred through a remote operated valve 3 (HPV). The tank pressure gauge 5 indicates a positive relative pressure. The low pressure storage tank, LPT is represented by the number 12. From this tank air is removed by suction through a remote operated valve 14 (PVL), during the downstroke of the water column. In this tank, gauge pressure is negative. The vent valve, (VV), denoted as (4), allows the process of filling and emptying of storage tanks. It is a remote operated valve which opens before the water column reaches its top level, once the charging period is completed, allowing the pressurized air which is still in the chamber to be evacuated into the atmosphere, thus permitting the water level to continue to rise. This valve should open at the end of the period of air suction from the LPT tank, allowing air to enter the chamber until the pressure is equal to the outside atmospheric pressure. Between one storage tank and the other, there will be a drop in pressure (differential pressure) which, if the volume is sufficient, allows a nearly constant and continuous airflow over the conventional high performance turbine. This turbine drives the electric generator, for example a 3-phase alternator, which may be coupled directly to the mains. Another possibility would be to use a Doubly-fed induction machine (DFIG) as it can work as synchronous machine, which are commonly used also with wind turbines [10] The volumes of the storage tanks are much greater than the volume of the chamber. (Fig. 2 is not shown to scale).
2.1. Theoretical model for study
In order to compare the various alternative designs of converters, we propose a theoretical model that describes the physical behavior with certain restrictions. The converters incorporate a rectifying barrier leading to a large pool of water between the sea and the converter. This rectifying barrier offers little resistance to movement in the direction of the sea water-converter, but blocks the passage of water in the opposite direction, which causes the water level in the pool to remain at its highest level, for sufficient time so that the work cycle is approaching that of the theoretical cycle. Placing the rectifying barrier, labeled with the number 17 in Fig. 2, has little influence on the behavior of the converter, and therefore is not necessary, but facilitates the study and analysis of the converter behavior, since it helps the level outside the chamber remains constant during the upstroke. This is the model to be analyzed in this article.
2.2. Operating principle
Like existing OWC, the proposed plant, located either off-shore or on-shore, is a converter which harnesses the energy of ocean waves and converts it into electricity. Let us assume that this plant is located on the coast because of the amplitude of the waves, easy accessibility, lower maintenance costs and high structural strength at lower cost . Once a partially submerged structure has been constructed, partially underwater and with a closed upper part, and open to the sea in the part located below the water level, in the presence of waves the water level inside the structure will approximate a level equal to the varying height of the waves, by the principle of communicating vessels. During the upward movement of the waves, the air that is trapped within the chamber undergoes a decrease in volume and hence increased pressure, since the water column acts as a "rigid piston" [11]. When this pressure slightly exceeds the pressure within the accumulator tank of high pressure air, air will flow naturally through an open valve, HPV (preferably, but not necessarily, a remotely operated valve) which communicates the chamber with the high pressure accumulator tank.
Similarly, when the level of the wave starts to fall, the water level within the lower chamber also descends, and there is a progressive increase in chamber volume and consequently a reduction in pressure. When the pressure in the chamber is slightly below that within the low pressure accumulator tank, air flows naturally from the low pressure tank through another open remotely operated valve LPV towards the chamber, thus decreasing slightly the pressure in the low pressure accumulator tank. As shown, there are two tanks, one with air at high pressure, positive relative pressure, and another with a negative relative pressure with respect to the atmospheric pressure, Patm. There will be a difference of pressure between these two tanks and thus a duct or conduit can be used to connect the two tanks. Within this duct, a turbine is placed, driving an electric generator.
In conventional OWCs, during the upstroke the turbine works between the pressure within the compression chamber and the atmospheric pressure, whereas during the downward stroke it works between atmospheric pressure and suction pressure. The same is however not true for the proposed OWC-DPST. The gauge pressure in the high pressure accumulator tank could be for example 10 kPa positive, i.e. 10 kPa gauge.
The gauge pressure in the low pressure accumulator tank could be for example 10 kPa negative, i.e. -10 kPa gauge. In this case the differential pressure in the OWC-DPST converter turbine approaches 20 kPa, providing a steady flow to the turbine
2.2.1. Pressure inside the tank
This section analyzes the process of energy storage in the tanks, starting with the upward movement, with the help of Fig. 3 a), an expansion of the area of the camera with a design similar to that of Fig. 2, where now the vent valve is positioned along the wall of separation of both tanks.
The relative pressure is indicated by (*) as superscript. Without superscript indicates the absolute pressure. First let's analyze the upstroke movement of the water column. The work converted and hence the absorbed energy is given by:

In this type of converter, for a given wave height and tide, we can choose the value of P and the integration limits for each of the upward and downward movements to operate within the range of defined values such that maximize the value of the function (1)
When the water level reaches its lowest position (the wave is at its trough), "O" level, the vent valve is closed, the relative air pressure chamber is zero, and the LPV and HPV valves are closed.
The oncoming wave introduces an amount of water in the chamber without difficulty driving up the level. Since all valves are closed air pressure into the chamber will rise. The absolute air pressure in the chamber based on the water gap between the inner and outer chamber levels, Dh, is given by

As the gauge pressure in the high pressure accumulator tank, HPT, is PH* (PH, absolute pressure), let us determine how much the water level inside the chamber had to rise, so that the air pressure would reach this value. Assuming an adiabatic compression it follows that

which yielding Hi as

The gap between the inside and outside of the chamber to maintain pressure PCh = PH in the chamber, D, shall be in accordance with Eq. (2):

After reaching the high pressure PH within the chamber, the valve HPV opens, so that with increasing water column, air is introduced into the accumulator tank HPT. The upward movement of the water column, during which air is introduced, is called the "upward stroke", SUU, and is defined as:

The amount of stored energy in the accumulator tank HPT during this column movement per m2 of horizontal surface into the chamber, will be:

After substituting Eqs. (4) and (3) in Eq. (6), this yields:

which expressed in absolute pressure yields

Once the water column rise ends, the HPV valve closes and then the VV valve opens, and the compressed air into the chamber is evacuated into the atmosphere, restoring the atmospheric pressure Patm, and the water column rises without back up pressure to the outer level. When it reaches this point, the valve VV is closed. Now with all chamber valves closed, the downstroke will begin, following the descent of the water outside the chamber, with some steps analogous to those described above, but with negative relative pressures
The maximum energy that can be accumulated by each upstroke of the water column is obtained by taking the partial derivative of eq. (8) with respect to high pressure and equating to zero. This is expressed as,

Since g;, g, Patm, and r, can be considered to be constant, a function PH of the wave height HW and the minimum wave height H0, such that maximizes the accumulated energy per cycle can be achieved. For a constant wave height, the value of H0 will vary continuously according to the tide height. The chosen pressure for the high pressure tank, PH, will have a direct effect upon the useful energy.
Using fig. 3 b), we can now study the oscillating water column downstroke, starting from the water level "E", the maximum level of water, with minimum air over the water column, H0, with all valves closed, and chamber pressure equal to the atmospheric pressure. As the water level outside the chamber decreases, the water level within the chamber will also decrease causing the air volume to increase and the pressure to drop until the pressure in the chamber equals the pressure in the low pressure accumulator, PL, according to the scheme of fig. 3 b). At this point of the cycle a command signal to open the valve HPV is given. As a consequence, assuming an adiabatic expansion, it follows that

and solving for HS yields:

In this situation there will be a gap between the outside water level and the water level within the chamber, G, given as

Where G is given by:

As shown in fig. 3b), the useful stroke during the downstroke, SUD, will be

The converted energy from the LPT, WL = DUL during the useful stroke "downstroke", part F to J of the cycle, will be:

After the useful stroke, with the chamber water level at "J", the LPV valve is ordered to close, and an opening command is given to the VV, until the level reaches "O", causing the water column to decrease until the outside and inside levels are equal.
Thus, substituting equations (10) and (11) in (13), we can obtain the specific energy (energy per square meter) converted during the downstroke:

Following the same strategy performed for the upstroke, the pressure in the low pressure tank PL, which maximizes the accumulated power for the portion of the cycle corresponding to negative pressures, can be achieved by taking the partial derivative of the function (14) with respect to PL and equating to zero.

Solving eq. (15) for PL, the pressure that maximizes the converted energy achieved:
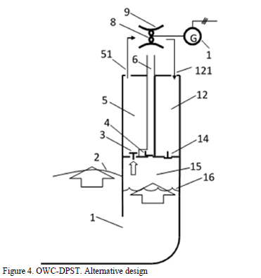
3. Alternative designs
Fig. 2 shows the basic idea of the OWC converter with differential pressure storage tanks (OWC-DPST). Other designs can be made with the same operating principles, but which enhance practical aspects. Such is the case of Fig. 4, where the turbine is located on the outside of the tanks and prevents the shaft passage through a wall of the tank with the consequent problem of shaft sealing. Also, instead of a single turbine, another smaller turbine-alternator could be mounted in parallel, and used when the wave height is small and therefore would avoid having the larger turbine working at a power well below its rated power.
Another improvement could be to mount the turbine between two large storage tanks fed by several tanks 5 and 12 according to the represented structure. It might be possible to incorporate previously a rectifier barrier labeled 17 in Fig. 2, in this case the actual behavior would approach the theoretical behavior.
4. Case studies and results
To make an assessment of the energy efficiency we could expect from a converter such as the proposed one, we will consider the ideal conditions which would allow quantification of the various parameters. First, the following assumptions are considered: regular waves, with a series of wave fronts approaching the converter with a constant amplitude and periodicity, which is the theoretical case. With regard to the behavior of seawater within the chamber, it is assumed that if the chamber were permanently connected with the atmosphere, the vertical oscillation amplitude would be equal to the height of the wave [12] as shown in Fig. 5. As for the air, as it is working at low pressures, it is assumed to have nearly ideal diatomic gas behavior with a value of g; (specific heat ratio) of 1.39. It is assumed that the phases of compression and expansion of air in the chamber, being in a reduced time interval, are adiabatic [13]. Pressure drops in valves LPV and HPV are neglected because they are remotely controlled, and will be closed when the pressure in the tank and the chamber are equal. It is also assumed that the horizontal dimension of the chamber is small relative to the wave length.
Assuming the above considerations, three cases depicted in Table 1 will be analyzed, under moderate wave amplitudes.
Case 1 corresponds to a small wave height, only 1m from crest to trough, with a minimum amount of air over the water column, H0 = 1 m. Case 2 consists of medium wave height approaching, HW =2m, to see the effect of doubling the wave height while maintaining the same air over the water column, and in case 3 doubling the height of the air over the water column, H0 =2m. It is a transition condition of the tide from high tide to low tide, equal 1m, maintaining a constant wave period of 10 seconds.
The results presented in Tables 2 and 3 are obtained from the input data shown in Table 1, using the equations derived above, using a spreadsheet. Table 2 shows the upward stroke of the water column in the chamber, and in Table 3 the downstroke.
Row 1 of Tables 2 and 3 indicate the values chosen for the pressure in the accumulator tanks, expressed in relative values, close to the maximum performance values and taking into account the equal mass flow rates.
Note that for each case analyzed, the particular value of H0 and HW, the values for the pressure in the storage tanks, deduced from eq. (9) and eq. (15), are not symmetrical with respect to the atmospheric pressure Patm.
The values of Hs and Hi are obtained from equations (3) and (10), indicated in the cells of the 2nd row. The values of D and G are obtained from equations (4) and (11). The results are presented in the 3rd. row. The "useful stroke" during the upstroke is obtained from expression (5) and during the downward stroke from equation (12) given in row 4. The converted energy in the upstroke, WU, is obtained from the above results, according to equation (6) and during the downward stroke, WD, according to equation (13). The results of both expressed in J/m2 are given in the 5th row. Assuming a known period introduced as input data in seconds, the accumulated energy can be obtained per unit time, as the ratio of the former to the period. The result, expressed in watts, is given in the first row of Table 4.
To estimate the available electrical power, efficiencies of 85% for the turbine and 95% for the alternator [14] are considered. It is also assumed that the system uses a constant flow unidirectional pneumatic turbine due to its higher efficiency, which represents a efficiency of the genset approaching 81%.
Multiplying first row of table 4 by the efficiency of the group yields the second row of the table, which is the electrical power expressed in W/m2.
As shown, the achievable pneumatic power values for the three previous assumptions, has a range from a minimum of about 449 W/m2 up to 1.76 kW/m2, leading to an electrical power output between 362 W/m2 and 1.42 kW/m2.
5. Conclusions
This paper presents a novel design alternative with regard to the state of the art of technology in OWCs. The proposed structure for the OWC-DPST and the operation modes, including its duty cycle and mathematical modeling tasks are described.
The performance of energy transformation is a function of accumulated pressure. The pressure in the accumulation tanks may be adjusted in order to achieve the maximum efficiency of the converter. Analyzing the results, it is clear that the desired objective, to maximize the available energy has been achieved.
Summarizing, several improvements can be highlighted:
- The proposed OWC-DPST can use unidirectional flow based Francis turbines with their increased performance and efficiency, instead of Wells turbines with their bidirectional flow.
- The turbine can operate continuously within the range of maximum efficiency.
- As the converter works at a steady, stable and smooth speed, there is no requirement for special devices designed to work in peaks and troughs of power. Thus for any given energy production, much smaller and less powerful machinery can be used.
- Synchronous generators directly connected to the grid may be used.
- A small wave height, insufficient to be useful for a conventional OWC, would be capable of generating electricity in an OWC-DPST.
- It would prevent erosion and fouling of the turbine blades by impact of particles of entrained water, leading to lower maintenance costs.
- Turbine noise emanating from the air outlet will be inherently attenuated, with reduced environmental impact.
Also, some disadvantages can be highlighted, such as:
- larger size of the converter,
- greater cost,
- more complex operating principle, requiring operating adjustments updated according to the state of the sea, implying the unavoidable need for an adaptive control system.
- increased maintenance costs
References
[1] Vininanza, D. et al. The SSG Wave Energy Converter: Performance, Status and Recent Developments, Energies, 5, pp. 193-226, 2012 doi:10.3390/en5020193 [ Links ]
[2] Ibañez, P. and Miguélez, F., La energía que viene del mar. Instituto Universitario de Estudios Marítimos. Netbiblo. Coruña, 2009. [ Links ]
[3] Takao, M. and Setoguchi, T., Air Turbines for Wave Energy Conversion, International Journal of Rotating Machinery. Volume, 2012. Article ID 717398 doi: 10.1155/2012/717398 [ Links ]
[4] Brito-Melo, A. et al. Analysis of Wells turbine design parameters by numerical simulation of the OWC performance, Ocean Engineering, 29, pp. 1463-1477, 2002 [ Links ]
[5] Alberdi, M. et al. Complementary control of oscillating water column-based wave energy conversion plants to improve the instantaneous power output, IEEE Transactions on Energy Conversion, 26-4, pp. 1021-1032, 2001. [ Links ]
[6] Maeda, H., Performance of an impulse turbine with fixed guide vanes for wave power conversion, Renewable Energy, 17, pp. 533-547, 1999. [ Links ]
[7] Muthukumar, S. et al. On minimizing the fluctuations in the power generated from a wave energy plant, Proceedings IEEE Internal Electrical Machines Drives Conference, San Antonio, Texas, EE.UU, pp. 178-185, 2005 [ Links ]
[8] FalnesA, J. et al. Simulation studies of a double oscillating water column, Fourth International Workshop on Water Waves and floating Bodies, University of Oslo, Norway, pp. 65-68, 1989. [ Links ]
[9] Falnes, J., Optimum Control of Oscillation of wave-energy converters. International Journal of Offshore and Polar Engineering, 12-2, pp. 147-155, 2002. [ Links ]
[10] Giménez, J. and Gómez, J., Wind Generation using different generators considering their impact on power system. Dyna-Colombia, 169, pp. 95-104, 2011. [ Links ]
[11] Evans, D., Wave-power absorption by oscillating surface pressure distributions, Journal of Fluid Mechanics, 114, pp. 481-499, 1982 [ Links ]
[12] Bakar, B. et al. Mathematical Model of Sea Wave Energy in Electricity Generation, 5th International Power Engineering and Optimization Conference (PEOCO2011) Malaysia, 2011. [ Links ]
[13] Gervelas, R., Trarieux, F. and Patel, M., A time domain simulator for an oscillating water column in irregular waves at model scale, Ocean Engineering, 38, pp. 1007-1013, 2011 [ Links ]
[14] Thorpe, T., A brief review of wave energy, UK Department of Trade and Industry, May 1999. [ Links ]
R. Borrás-Formoso, received the Bs. Eng in Electrical Engineering in 1988 at the University of Vigo, Spain, and the Bc degree of Marine Engineering in 1984 at the University of A Coruna, and the PhD degree in Maritime Engineering in 1997. Currently he is a full professor in the ETSNM. of La Coruna University in the Electrical Engineering area. His research interest is centered on the fields of simulation, modeling and forecasting in Ocean Energies, and electrical ship propulsion simulation.
R. Ferreiro-García, received the Bs. degree in Marine Engineering in 1975, and PhD degree in Maritime Sciences in 1986, he worked as teacher in the University of A Coruna, and as a researcher in the fields related with Systems Engineering and Automation applied on renewable energies, with emphasis on ocean energies. He is currently coordinator of the Research group G0087 at the university of A Coruna.
F. Miguélez-Pose, she obtained Licenciateships in Physics in Santiago de Compostela and gained her Doctor of Science degree in 1990. She took his place as Professor of General Physics in the Faculty of Sciences and now in Marine Engineering School. She worked in programs and projects of the Condensed Matter Physics, with emphasis on superconductivity and energy and have several publications of scientific journals. She is currently Maritim Studies Institute Director, Universidade da Coruña.
C. Fernández-Ameal, received the Bs. Sc. in Nautical Science in 1984 and the MSc in Nautical Science in 1989. Postgraduate studies for PhD degree in Fracture Mechanics and Plasticity of structures, in 1989-2000. Actually Associate Professor on Naval Construction and Ship Theory on the ETSNM. of La Coruña University, working on vessels and floating bodies dynamics and stability in waves.





















