1. Introducción
El estero Aguas Claras, que pertenece a la parte alta de la subcuenca del río Macul, atraviesa zonas marginales de las parroquias urbanas 24 de Mayo y El Guayacán, del cantón Quevedo, el área administrativa de mayor población de la provincia de Los Ríos y de la Zona de Planificación 5 del Ecuador, con 173 575 habitantes de acuerdo con el Censo de Población y Vivienda del año 2010 [1]. Quevedo evidencia un proceso de consolidación como nodo intermedio de desarrollo nacional y regional.
Aunque el principal curso de agua superficial de Quevedo es el río del mismo nombre, su red hidrográfica es muy amplia, y muchos esteros escurren a través de zonas densamente pobladas. Además, la cobertura del sistema de alcantarillado alcanza sólo el 23% y no existe una planta operativa de tratamiento de las aguas residuales municipales [2].
La situación actual sobre la disposición final de las aguas residuales generadas en la urbe de Quevedo ha alcanzado niveles preocupantes, debido a que todo el sistema de recolección de aguas servidas desemboca en caudales naturales sin previo tratamiento; un ejemplo de aquello es el deterioro de la calidad de agua del río Quevedo y los esteros Guayil, Macache y El Atascoso, cuyas características hidromorfológicas y propiedades fisicoquímicas se han deteriorado.
En la última década la cantidad y la calidad de recursos hídricos han disminuido significativamente, y se prevé el empeoramiento de las condiciones de las aguas superficiales a mediano y largo plazo. Este escenario ha configurado un importante problema ambiental relacionado con la calidad del agua superficial en el cantón, debido a que las descargas domésticas, industriales y agrícolas sin tratamiento previo constituyen las principales fuentes de contaminación hídrica en el cantón y el país [3]. En este contexto, el Aguas Claras se ha convertido en un receptor de residuos y efluentes domésticos; esta carga orgánica ha comprometido su calidad como ecosistema, disminuyendo su capacidad de autodepuración y conspirando, asimismo, contra la salud pública de los sectores por los que atraviesa.
El panorama descrito justifica la importancia de la aplicación de modelos matemáticos, los cuales permiten simular el comportamiento de la calidad del agua en una corriente natural, describir el estado ecológico de un sistema fluvial y predecir escenarios futuros cuando ciertas condiciones límite o iniciales se alteran. Estos cambios pueden deberse a modificaciones morfológicas en el cuerpo de agua, cambios en el tipo, cantidad y ubicación de la carga contaminante en el sistema, y los cambios en las condiciones meteorológicas debido a las tendencias cambiantes del clima.
La presente investigación estableció, además de las características hidromorfológicas, la variabilidad de las concentraciones del oxígeno disuelto y de la demanda bioquímica de oxígeno en el estero, y simuló el impacto de las descargas de aguas residuales en el comportamiento de tales parámetros, a través del uso del modelo matemático de Streeter-Phelps y el programa QUAL2K. La obtención de modelos calibrados que simulen adecuadamente las características de la corriente permitirá disponer de mejores elementos para la toma de decisiones relacionada con la regulación de la calidad del agua superficial y el control de la descarga de aguas residuales en el cantón.
2. Metodología
2.1. Identificación puntos de muestreo
Se consideró un segmento de 2,53 km, dividido de acuerdo a sus características hidromorfológicas y la presencia de aportes a la corriente principal, en tres tramos. Se identificaron dos afluentes: en el inicio del primer tramo, una descarga continua de aguas servidas provenientes de los sectores Los Chirijos, Juan de Dios Zarate y Divino Niño, en la parroquia 24 de Mayo; y en el segundo tramo, un riachuelo que se origina en el sector San José Sur.
El estero Aguas Claras llega hasta el sector La Virginia, donde desemboca en el estero Macache. En la Tabla 1 se muestra la información general de los tramos de modelización en el estero Aguas Claras.
Tabla 1 Información general de los tramos de modelización en el estero Aguas Claras

Fuente: Autores, 2017
Se establecieron seis puntos de muestreo, los cuales se detallan en la Tabla 2. Además, la Fig. 1 muestra la ubicación de los puntos de muestreo en el mapa urbano de Quevedo.
2.2. Determinación de las características hidromorfológicas
Se realizaron aforos quincenales durante los meses de octubre del año 2016 hasta el mes de febrero del año 2017, considerando la estación lluviosa y seca. Además, se hicieron mediciones de la profundidad de la corriente y del ancho de del cauce.
Para estimar el caudal se utilizó el método del flotador, el cual consistió en determinar el área de la sección transversal de la corriente empleando estacas, flexómetro, cinta y cuerda; posteriormente, se determinó la velocidad de la corriente empleando una pelota de peso ligero, cuyo tiempo de traslado se midió con un cronómetro en una longitud de corriente uniforme que osciló entre ocho y diez metros. El valor de la velocidad de la corriente se obtuvo dividiendo la distancia seleccionada entre el tiempo del viaje del flotador. El caudal en los tramos de modelización, tributarios de aguas superficiales y descargas de aguas servidas se obtuvo, con base en la ecuación de continuidad, multiplicando el área de la sección transversal por la velocidad de la corriente.
El área de la sección se obtuvo utilizando la siguiente integral definida:
Donde los límites inferior y superior de la integral, X 0 y 𝑋 𝑓 , son el inicio y el final del ancho del cauce; y 𝑓 𝑧 es la curva de ajuste resultante de la medición de la profundidad en las secciones transversales de los tramos modelizados.
2.3. Estimación de los parámetros fisicoquímicos requeridos para el modelo de calidad de agua
Simultáneamente a los aforos, se recolectaron muestras de agua en los seis puntos de muestreo identificados en la Tabla 2, considerando los criterios establecidos por las normas INEN 2176:1998, e INEN 2226:2000, sobre manejo y conservación de muestras, y técnicas de muestreo de aguas, respectivamente [4] [5].
Se realizaron análisis de los parámetros fisicoquímicos básicos: oxígeno disuelto (OD), demanda bioquímica del oxígeno (DBO), y temperatura del agua, en ocho campañas de muestreo. Se realizaron análisis de los parámetros fisicoquímicos básicos: oxígeno disuelto (OD), demanda bioquímica del oxígeno (DBO), y temperatura del agua, en ocho campañas de muestreo. El análisis de las muestras de las cinco primeras campañas se efectuó en el Laboratorio de Suelos y Agua de la Universidad Técnica Estatal de Quevedo, y los tres restantes en un laboratorio acreditado por el Servicio de Acreditación Ecuatoriano (SAE), con la intención de garantizar la confiabilidad de los resultados obtenidos en el laboratorio de la institución.
2.4. Modelización la calidad del agua del estero Aguas Claras aplicando las ecuaciones de Streeter-Phelps
2.4.1. Modelo de Streeter-Phelps
El oxígeno disuelto y la DBO en el estero Aguas Claras, se modelizaron a través de las ecuaciones establecidas en el modelo matemático de Streeter-Phelps, asumiendo fuentes puntuales y continuas de carga orgánica. Así, el déficit de oxígeno disuelto y la variación de la DBO última, 𝐿x, se calcularon con las ecuaciones [6].
Donde, 𝐷 𝑥 es el déficit de oxígeno disuelto a cualquier distancia aguas debajo de la corriente, 𝐷 𝑜 es el déficit inicial de oxígeno disuelto, 𝐿 𝑜 es la DBO última de la corriente, 𝐿 𝑥 es la variación espacial de la DBO última, 𝑘 𝑎 es la constante de reaireación, 𝑘 𝑑 es la constante de desoxigenación, 𝑘 𝑟 es la constante de remoción total de la DBO, y t es el tiempo de viaje de la corriente de agua.
El oxígeno disuelto a una distancia 𝑥 aguas abajo se expresa como:
Donde, 𝑂 𝐷 𝑠𝑎𝑡 es el oxígeno disuelto de saturación.
De conformidad con el protocolo de aplicación del modelo, en primer lugar, se determinaron las condiciones iniciales de cada tramo en el estero, mediante balances de masa, utilizando las medias de los caudales de cada descarga o tributario, y también de las concentraciones.
2.4.2. Determinación de las contantes cinéticas de desoxigenación, reaireación, y remoción total de la DBO
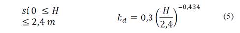
2.4.2.1 Contante de desoxigenación, k d
Para la estimación de la constante de desoxigenación en cada tramo se utilizó la ecuación de Hydroscience (1971), propuesta para corrientes pocos profundas donde la degradación producida por las bacterias en el fondo es más pronunciada [6]:
Donde, 𝐻 es la profundidad del agua en el cauce
2.4.2.2 Constante de reaireación, k a
En primera instancia, la constante de reaireación se determinó utilizando las fórmulas empíricas más utilizadas, en función de los rangos de profundidad (H) y velocidad de la corriente (U) [7], Tabla 3.
Tabla 3 Fórmulas para el cálculo de la constante de reaireación

Fuente: Bilibio C, Hensel O, Selbach J. Sustainable water management in the tropics and subtropics; 2011.
Otra de las fórmulas empíricas empleadas para calcular la constante de reaireación es la propuesta por Langbein y Durum (1967), empleados del US Geological Survey, quienes combinaron los datos del rio utilizados en las ecuaciones de O’Connor y Dobbins (1958), Churchill, Elmore, Buckingham (1962) con datos del laboratorios de Krenkel y Orlob (1963), de Streeter, Wright y Kerr (1936) [8]. Su expresión, recogida por Chapra (2008) es la siguiente:
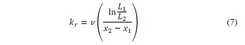
2.4.2.3 Contante de remoción total de la DBO, k r
La estimación de la contante de remoción total de la DBO ( 𝑘 𝑟 ) se basó en la propuesta de Sierra (2013), que consistió en tomar las concentraciones de la DBO entre dos sitios de similares características hidromorfológicas, con la condición de que la DBO aguas arriba sea mayor que aguas abajo. La expresión matemática para calcula 𝑘 𝑟 se expresa como [9]:
donde, 𝐿 1 y 𝐿 2 son los valores de DBO medidos aguas arriba y aguas abajo, respectivamente, en una sección de la corriente; 𝑥 2 y 𝑥 1 son las distancias a los puntos de muestreo considerados; y 𝑣 es la velocidad promedio de la corriente en el tramo considerado.
2.4.2.4 Calibración del modelo de Streeter-Phelps
La calibración paramétrica se efectuó ajustando las constantes de reaireación ( k a ), desoxigenación ( k d ) y de remoción total de la DBO ( k r ), empleando la metodología GLUE (Generalized Likelihood Uncertainty Estimation), la cual es utilizada en la calibración de modelos de calidad del agua, y su aplicación básicamente consiste en seleccionar rangos de variación de los parámetros, y luego, mediante simulaciones de Monte Carlo, generar combinaciones de valores de los parámetros, de modo que en términos de probabilidad, se identifiquen las combinaciones óptimas mediante una función objetivo, incluyendo la sensibilidad paramétrica [10]. Para tal efecto, a través de simulaciones de Monte Carlo se obtuvieron 10000 posibles combinaciones de los parámetros calibrados, con el fin de obtener valores de las constantes cinéticas que arrojen predicciones en el modelo con el mínimo error estadístico con respecto a los valores determinados en el campo y laboratorio. De esta manera se verificó la capacidad del modelo de Streeter-Phelps calibrado para predecir el oxígeno disuelto y la DBO.
2.5 Simulación la calidad del agua del estero Aguas Claras con software
Mediante el programa de calidad de agua superficial QUAL2K, versión 2.12, desarrollado por las USEPA (Agencia de Protección Ambiental de los Estados Unidos), se obtuvieron curvas que simulan la variación del oxígeno disuelto y la demanda bioquímica de oxígeno a lo largo de la corriente del estero Aguas Claras.
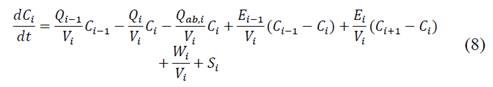
QUAL2K se basa en ecuaciones diferenciales para sistemas unidimensionales y un flujo de estado estacionario. Es un modelo eficaz para simular la calidad del agua y las condiciones hidrológicas en ríos, así como en sistemas con cargas difusivas de contaminación. La base del cálculo del transporte de la masa contaminante se logra aplicando la integración numérica en tiempo y espacio para cada parámetro de calidad del agua. Esta ecuación incluye los efectos de advección, dispersión, dilución, reacciones de los componentes e interacciones, fuentes y vertimientos. Para todo contaminante 𝐶, esta ecuación puede escribirse como:
Donde, C i es la concentración del contaminante; Q i es el flujo en el iésimo segmento; Q ab es la salida en el elemento i debido a extracción puntual o difusa; Vi: Volumen incremental del iésimo segmento; t es el tiempo; S i son las fuentes y sumideros del constituyente debido a reacciones y mecanismos de transferencia de masa; E i es el coeficiente de dispersión longitudinal entre segmentos i y i+1; y, W i es la carga externa del constituyente en el elemento i.
2.6 Tratamiento de datos
2.6.1. Análisis de rendimiento
Asimismo, se efectuó el análisis de rendimiento del modelo en la predicción del oxígeno disuelto y la DBO para determinar el error estadístico entre los valores medidos en el campo y los valores pronosticados, mediante el coeficiente de determinación 𝑅 2 , el coeficiente de Nash-Sutcliffe (NSE), la suma de cuadrados del error (RSS, por sus siglas en inglés), y el error relativo [11], Tabla 4.
3. Resultados
3.1. Estimación de las constantes cinéticas
Se utilizó la fórmula de Owens y Gibbs (1964) para calcular la contante de reaireación, que considera corrientes con una profundidad mayor a 0,12 m y menor de 0,73 m, con velocidades que oscilen entre 0,03 y 0,55 m/s. Los valores obtenidos con este método variaron entre 8,1 d-1 hasta 38,0 d-1, que de acuerdo al ajuste inicial del modelo de Streeter-Phelps, sobreestimaron la concentración de oxígeno disuelto y, por ende, la eficiencia de reaireación atmosférica en cada uno de los tramos; resultados similares reportó Rivera (2015) para la zona baja de la microcuenca del río Frío, cuya tasa de reaireación por este método fue de 45,04 d-1 [12]. Por lo anterior, la constante de reaireación fue recalculada con la fórmula de Langbein y Durum, siguiendo el criterio de Pazmiño (2015), quien obtuvo buenos resultados para una corriente de similares características. Así, los valores de la tasa de reaireación calculados con esta fórmula oscilaron entre 0,12 d-1 y 18,07 d-1 [13].
En los tres tramos de la corriente, la constante de reaireación fue mayor que la constante de desoxigenación, la cual oscilan entre 0,34 d-1 y 1.85 d-1, una condición que indica un potencial de autodepuración alto, en especial en la temporada de lluvia. Los valores de la constante de reaireación y desoxigenaciónson similares al estudio realizado por Rivera (2015), quién establece que, en ríos con profundidades inferiores a un metro, la reaireación es significativa debido a la turbulencia generada por la alta rugosidad de tales corrientes someras, a pesar de no tener una gran interface de disolución [14]. La constante de remoción total de la DBO, kr, obtuvo valores que oscilaron entre 1,38 d-1 y 28,04 d-1, considerándose altos en comparación con el estudio realizado por Valcárcel y colaboradores (2010), quienes reportaron valores inferiores a 0,90 d-1 en el río Luyanó de La Habana, Cuba [15]. Sin embargo, Rivera (2011), argumenta que en sistemas de baja profundidad existe una mayor tasa de remoción de la DBO, lo que demuestra que se trata de efluentes relativamente sencillos de biodegradar [12].
3.2. Calibración de constantes ka, kd y kr
Con las simulaciones de Monte Carlo, aplicando el método GLUE, la calibración paramétrica de las tres constantes cinéticas del modelo de Streeter-Phelps obtuvo los resultados mensuales mostrados en la Tabla 5.
3.3. Comportamiento del oxígeno disuelto y la demanda bioquímica de oxígeno
La Tabla 6 muestra los datos de caudal, temperatura, oxígeno disuelto y DBO característicos de los aportantes a la corriente del estero Aguas Claras.
Tabla 6 Características de la cabecera, tributario y fuentes de los puntos de muestreo

Fuente: Autores, 2017
Así, el modelo de Streeter-Phelps, aplicado a partir de las condiciones iniciales resultante del balance de masas realizado con los datos de la Tabla 6, estimó concentraciones mensuales de oxígeno disuelto y DBO, los que se muestran comparativamente en la Tabla 7, con los valores medidos en el laboratorio, incluyendo el error relativo entre ambos.
Tabla 7 Comparación de los valores observados de oxígeno disuelto y DBO y los predichos por el modelo de Streeter- Phelps

Fuente: Los autores, 2017
A parir de los datos de la Tabla 7, se obtuvieron los perfiles de oxígeno disuelto y DBO, presentados en los Gráficos 1 al 10, que muestran las curvas con el ajuste inicial, el modelo calibrado, los puntos correspondientes a los valores medidos experimentalmente, y la relación en términos de error relativo, entre los valores observados y los estimados por el modelo.
Los perfiles de oxígeno disuelto en los meses de la época seca mostraron la forma característica del perfil de oxígeno disuelto a lo largo del primer tramo, incluyendo un segmento de condiciones anaeróbicas de 500 m de longitud, como resultado del aporte de materia orgánica procedente de la descarga de aguas servidas en la parroquia 24 de mayo, que desploma la concentración de oxígeno disuelto por debajo del estándar ambiental (<80% de saturación), y que afecta el desarrollo de la vida acuática en el estero [16]. En los tramos dos y tres, la tendencia de recuperación de los valores de oxígeno disuelto se acentúa. Por el contrario, en los meses de la época lluviosa (enero y febrero), los perfiles describen un incremento sostenido del oxígeno disuelto en el tramo uno, desde su valor mínimo que ocurre en la descarga puntual; esto se debe al aumento de la tasa de reaireación promovida por las precipitaciones; sin embargo, en el segundo tramo, se produce un descenso del oxígeno disuelto a partir de la desembocadura del riachuelo del sector 17 de Marzo, que se explica por el mayor arrastre superficial de partículas y materia orgánica causado por el incremento del caudal en temporada de lluvias, incluyendo el incremento de la profundidad del cauce en el mencionado tramo. El tramo tres describe una recuperación del oxígeno disuelto, básicamente por ser el menos profundo y de mayor caudal y turbulencia mecánica [17].
El perfil de la DBO presenta una tendencia descendente a medida que la corriente avanza, a lo largo de los tramos modelizados, como consecuencia de los valores altos de la constante de remoción total de la DBO. No obstante, las curvas evidencian mayores niveles de DBO en el primer tramo en los meses de la época seca, principalmente noviembre (DBO inicial mayor a 100 mg/l), con respecto a los meses de la temporada lluviosa. Esta variación se explica en términos de la influencia del incremento considerable del caudal por las precipitaciones y la consecuente dilución mayor de la materia orgánica [17].
El método de simulación de Montecarlo permitió obtener valores calibrados de las constantes cinéticas, disminuyendo el error relativo entre las concentraciones de OD y DBO observadas en el campo y las estimadas por el modelo. Los resultados obtenidos se expresaron en términos de error relativo. Estos oscilaron entre 0,07% - 10% para el oxígeno disuelto, y de 0% a 8,51% para la DBO. Estos resultados concuerdan con el argumento de algunos modeladores, quienes afirman que el ajuste es aceptable cuando las diferencias entre los valores estimados por el modelo y los valores medidos son menores del 10% [9].
3.3.1. Análisis de rendimiento del modelo Streeter-Phelps
El rendimiento del modelo refleja un ajuste óptimo de los valores medidos, tanto para el oxígeno disuelto como para la DBO, tal como lo indican los valores del índice de eficiencia de Nash-Sutcliffe, y del coeficiente de determinación (Ver Tabla 8).
La calibración del modelo de Streeter-Phelps permitió reducir significativamente la diferencia entre valores observados en el campo y los valores predichos por el modelo. Así, en ambos casos se obtuvo un valor promedio de 0,99 para el coeficiente de determinación y el índice de eficiencia de Nash-Sutcliffe.
3.4. Simulación de la calidad del agua con QUAL2K
En la simulación del oxígeno disuelto y la DBO por medio del programa QUAL2K, se emplearon los valores correspondientes a las distintas variables hidrodinámicas del estero, así como datos geográficos de la localidad, y valores de las constantes cinéticas (ka y kd) previamente calibradas. Además, se supuso que los valores de la DBO introducidos en el programa corresponden a la DBO rápida, y que la información relativa al régimen hidráulico del sistema se empleó la ecuación empírica de Manning. Todos los demás valores establecidos por defecto en la hoja de cálculo de datos sobre las constantes y coeficientes cinéticos se conservaron.
Los perfiles resultantes de la simulación (Gráficos 11 a 20), difieren ampliamente con el modelo de Streeter-Phelps en lo relacionado con la DBO. Sin embargo, en el caso del oxígeno disuelto, hay similitud en la tendencia descrita en los meses de enero y febrero; y con respecto a la variación de la DBO, la tendencia es similar a la obtenida con el modelo de Streeter-Phelps en los meses de la época seca. Por esto, al menos en el caso del oxígeno disuelto, y hasta que se pueda mejorar la calibración de la DBO en QUAL2K con más datos históricos y parámetros hidrodinámicos adicionales, la consistencia entre los resultados de QUAL2K con el modelo de Streeter-Phelps confirma la validez de utilizar a este último como una herramienta relativamente sencilla para modelizar la calidad del agua en el estero Aguas Claras [18].
Los resultados de la simulación computacional se muestran comparativamente para cada uno de los tramos y meses, en la Tabla 9.
Tabla 9 Comparación de los valores observados con los estimados por el programa QUAL2K

Fuente: Autores, 2017
3.4.1. Análisis de rendimiento del software QUAL2K
El ajuste entre los valores medidos y los simulados con QUAL2K fue mejor en el caso del oxígeno disuelto, pero en menor medida con respecto al ajuste logrado con el modelo de Streter-Phelps. Los valores de DBO medidos no mostraron una adecuada bondad de ajuste.
El ajuste del oxígeno disuelto fue óptimo con respecto al coeficiente de determinación (R2), alcanzando valores muy cercanos a 1, sin embargo, ocurrió lo contrario con el índice de Nash-Sutcliffe, dado que incluso presentó valores negativos. El ajuste de la simulación de la DBO es muy pobre por los bajos valores de R2, pero sobre todo por los valores del índice NSE (ver Tabla 10).
Tabla 10 Rendimiento del software QUAL2K en relación al oxígeno disuelto y DBO

Fuente: Autores, 2017
Los resultados del análisis de rendimiento responden a que el balance de masa que realiza el software QUAL2K incluye todos los aportes y salidas que se presentan en el tramo, es decir, se realiza en todo el tramo, mientras que el balance de masa el modelo de Streeter-Phelps se hace en único punto. De acuerdo con Formica et al., las diferencias entre el software QUAL2K y el modelo de Streeter-Phelps, se debe a las descargas difusas de origen antrópico causadas por la cercanía de las áreas urbana [19]. Situación similar presentaron Arroyave et al., quienes utilizaron el modelo QUAL2K para simular la calidad del agua del río Sinú, demostrando que la escasez de datos causa problemas de calibración, debido al gran número de parámetros susceptibles a ajustes y a la reducción del número de comparaciones experimentales [20].
4. Conclusiones
El perfil de oxígeno disuelto en el estero Aguas Claras demuestra que el impacto de la carga orgánica proveniente de las descargas de aguas residuales domiciliaria ocasiona que la concentración del parámetro disminuya por debajo del límite máximo permisible establecido en la normativa ecuatoriana (<80% de saturación), tanto en la estación seca como en la lluviosa, incluyendo la formación de una zona anaeróbica en el mes de menor caudal. Sin embargo, la capacidad de autodepuración del estero tiende a duplicar los valores de oxígeno disuelto en los dos últimos tramos con respecto al primero, lo cual está relacionado con valores altos de la constante de reaireación, de hasta dos órdenes de magnitud mayores con respecto a los usualmente reportados para corrientes superficiales.
La disminución de la carga orgánica mostrada en los perfiles de la DBO evidencia el importante papel que desempeña la constante de remoción total en el proceso de autodepuración del estero, llegando a remover valores de materia orgánica cercanos al 50 % al final del último de los tramos evaluados.
El análisis de rendimiento del modelo de Streeter-Phelps determinó un buen ajuste entre los valores medidos y los predichos, con valores promedios de 0,99 tanto para el coeficiente de determinación como para el índice de Nash-Sutcliffe.
La simulación de los niveles de oxígeno disuelto con QUAL2K mostró un ajuste muy similar al observado en la modelización de Streeter-Phelps, por lo que, al comparar las predicciones, estas reflejaron un error menor al 40% en casi todos los casos. Las predicciones de la DBO en la simulación con QUAL2K, tuvieron un ajuste claramente menor, debido a la falta de información requerida por el software.















































