1. Introduction
Among the most relevant aspects related to the simultaneous production of crude and formation waters (brines) in petroleum reservoirs are the mutual solubility of gas and water, the volumetric changes of both kinds of fluids, and the potential presence of hydrates precipitated due to low temperatures [1]. Brine production increases when the reservoir pressure drops [2]. Aquifers, which are rocks containing water, play a prominent role as an effective tool to recover hydrocarbons from reservoirs, assist the hydrocarbon production in various ways such as: peripheral water drive, edge water drive, and bottom water drive [3]. Moreover, before the production process of a petroleum reservoir, to locate the water-oil contact (WOC) is key in terms of calculating oil reserves. This WOC is particularly difficult to determine when the formation water and the associated crude oil have similar densities. Thus, to experimentally measure live formation water densities under reservoir temperature and pressure conditions makes it possible to reduce the uncertainty in locating these WOCs. However, samples of formation waters obtained under bottomhole conditions are not usually available, and to have, in this case, a predictive tool based on a few measurements under ambient conditions to predict the formation water densities is very useful. The live formation water densities depend on temperature, pressure, total dissolved solids (TDS), composition, and amount of dissolved gases. The TDS concentration in brines from petroleum reservoirs, made-up mainly of sodium chloride (NaCl), is usually in the range of 1000 to 400000 parts per million (ppm) [4]. In contrast, the seawater salinity is ≅ 30000 ppm [1]. The amounts of dissolved gases in formation waters, known as gas-water ratios (GWRs), are commonly less than 30 SCF/STB (i.e., 5.34 m3/m3) [1]. In fact, these values are even lower for the formation waters experimentally measured as part of the present work, proceeding from five Colombian petroleum reservoirs sampled under bottomhole conditions. As demonstrated below, these low GWR values have no effect on the formation water densities measured under reservoir conditions.
Several brine properties such as density, compressibility, and viscosity have attracted attention, and several studies have been conducted regarding these properties [5]. The properties mentioned above can be obtained through different approaches including laboratory experiments [5], available models and correlations [5], and soft computing methods [3]. Currently, laboratory studies are recognized as the most solid and precise method. However, this approach is expensive and time consuming [3], and, as mentioned earlier, samples of formation waters obtained under bottomhole conditions are not usually available. Thus, in the absence of laboratory experiments, other methods such as implementing empirical models and correlations have been used to determine brine properties [3, 5, 6]. In fact, researchers have attempted to provide precise knowledge about the PVT properties of brine in order to apply them in computations together with other important parameters [5]. Most studies, however, use experimental or thermodynamic models that require a great deal of time and calculations [3].
This manuscript is organized as follows: first, two pressure-dependent correlations published in the literature for seawater density calculations are discussed as potential models to predict brine densities from petroleum reservoirs. Then, the two seawater models are tested by using experimental data of (dead and live) formation water densities measured with different salt concentrations and GWRs, measured for this purpose under reservoir conditions for five Colombian petroleum reservoirs. Finally, the main conclusions of this work are presented.
2. Models to predict brine densities
As mentioned earlier, the approach used in the present work was to study the potential application of seawater correlations to predict densities for formation waters coming from petroleum reservoirs. Sharqawy et al. [7] reviewed the existing correlations for predicting thermophysical properties of seawater, and found that most of these correlations, applicable to seawater density calculations, are a function of the temperature and salinity, but these can only be used at atmospheric pressure. However, there are some models for predicting seawater densities including pressure effects. For instance, Millero et al. [8] developed a high-pressure equation of state for water and seawater from experimental data. This model is presented in eq. (1).
Here, ρ(𝑆,𝑇,0) is the standard seawater density at atmospheric pressure, and 𝐾(𝑆,𝑇,𝑃) is the secant bulk modulus of the seawater (brine). 𝑆,𝑇, and P stand for salinity, temperature, and pressure, respectively. For completeness, the details of this model are presented in Appendix A. Table 1 depicts the salinity, pressure, and temperature ranges given by Millero et al., [8] at which the correlation is valid.
Table 1 Salinity, pressure, and temperature ranges for the Millero et al. equation [8].

Source: Adapted from Millero et al., 1980.
Nayar et al. [9] also developed a model to calculate seawater properties, including the effects of pressure, salinity, and temperature, eq. (2) presents this model:
Here, ρ sw (𝑆,𝑇,P 0) is the seawater density at atmospheric pressure calculated using Sharqawy et al. [7], and F P is the pressure correction factor. All the remaining mathematical terms for this model are also depicted in Appendix A.
Table 2 shows the salinity, pressure, and temperature ranges of application given by Nayar et al. [9].
Table 2 Salinity, pressure, and temperature ranges for the Nayar et al. model [9]

Source: Adapted from Nayar et al., 2016
Comparing Tables 1 and 2 reveals that the Millero et al. [8] correlation covers a much wider range of pressure conditions than the Nayar et al. [9] model, but the contrary occurs for the temperature conditions, where the range of temperatures for the Nayar et al. model is much higher than the range for the Millero et al. one. With respect to salinity concentrations, both models are for seawater, meaning that in principle these correlations should not be used for salt concentrations superior to 40, and 150 g/kg, respectively.
3. Materials and methods
For this work, sets of experimental data for formation water densities were measured for five live formation waters, and used to test the two seawater models presented above. The experimental data and their pressure and temperature ranges are presented in Table 3. This table also shows the salinities and gas-water ratios (GWR) for the five live formation waters.
Table 3 Experimental data and temperature and pressure ranges used to test seawater models

Source: The Authors
The experimental density data was obtained by using the Anton Paar high-pressure density meter named as DMA HP 4500/5000®, previously calibrated by following the procedure recommended in the technical manual for this equipment, which can be found elsewhere [10].
4. Results and discussion
The performance of the two seawater models described above were tested against the experimental data of formation water densities measured in the present work. As seen in Table 4, the density estimations obtained using the Nayar et al. [9] model are found to be in excellent agreement with the experimental data. In fact, its performance is superior to the Millero et al. model [8]. The average error being 0.0669 for Nayar et al, and 0.5544% for Millero et al., respectively. Moreover, although the Nayar et al. model was developed for pressures up to 12 MPa, it behaves very well even for pressures close to 28 MPa. In part, this is due to the linear trend of density versus pressure exhibited by the experimental measurements.
Table 4 Relative performance of seawater models against experimental data of formation water densities.

Source: The Authors
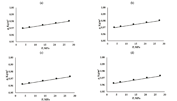
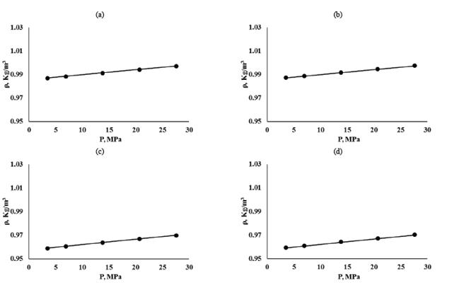
Figs. 1-5 depict details of the performance of the Nayar et al. [9] model for the five formation waters modeled in the present work. The numerical details for the five live and dead formation waters are presented in Appendix B (Tables 1-5).

Source: The Authors.
Figure 1 Water formation densities for FW1. (a) T=87.77°C. Live (b) T=87.77°C. Dead (c) T=98.88°C. Live. (d) T=98.88°C. Dead. Nayar et al. [9] model.

Source: The Authors.
Figure 2 Water formation densities for FW1. (a) T=87.77°C. Live (b) T=87.77°C. Dead (c) T=98.88°C. Live. (d) T=98.88°C. Dead. Nayar et al. [9] model.

Source: The Authors.
Figure 3 Water formation densities for FW1. (a) T=87.77°C. Live (b) T=87.77°C. Dead (c) T=98.88°C. Live. (d) T=98.88°C. Dead. Nayar et al. [9] model.

Source: The Authors.
Figure 4 Water formation densities for FW1. (a) T=87.77°C. Live (b) T=87.77°C. Dead (c) T=98.88°C. Live. (d) T=98.88°C. Dead. Nayar et al. [9] model.

Source: The Authors.
Figure 5 Water formation densities for FW1. (a) T=87.77°C. Live (b) T=87.77°C. Dead (c) T=98.88°C. Live. (d) T=98.88°C. Dead. Nayar et al. [9] model.
Again, the performance of the Nayar et al. [9] model is excellent. In addition, we can see based on Figures 1-5 that the amounts of gas in these formation waters do not affect the density measurements when compared to the respective dead formation waters. This is due, in part, to the relatively small GWRs values for these brines.
5. Conclusions
The application of pressure-dependent seawater models to predict formation water properties at high pressures can offer rapid estimations of formation water densities for petroleum engineering calculations, such as locating WOCs. This approach is very useful, especially when live formation water samples are not available to perform direct measurements in a PVT laboratory. For the samples modeled here, the gas-water ratio effect (GWR) on the live formation water was insignificant, mainly due to the low values of GWR found for these five live formation water samples. The performance of the Nayar et al. [9] model is excellent for predicting water formation densities, even out of the pressure range originally set for this model. This fact is intimately related to the linear trend of density versus pressure exhibited by the water formations.






























