Services on Demand
Journal
Article
Indicators
-
Cited by SciELO -
Access statistics
Related links
-
Cited by Google -
Similars in
SciELO -
Similars in Google
Share
Revista Colombiana de Ciencias Químico - Farmacéuticas
Print version ISSN 0034-7418
Rev. colomb. cienc. quim. farm. vol.42 no.1 Bogotá Jan./June 2013
Artículo de investigación clínica
Impact of group purchasing in cooperative of hospital in Colombia, using a price index from 1999 to 2012
Impacto del grupo de compra en la cooperativa de hospital en Colombia, con un índice de precios de 1999 a 2012
Jorge Augusto Díaz-Rojas1*, Máximo Rodríguez-Márceles1, Alexander Rodríguez-Romero2, Paul Brown3
1 Department of Pharmacy, Universidad Nacional de Colombia, A. A. 14490, Bogotá, D. C., Colombia.*E-mail: jadiazr@unal.edu.co
2School of Economics, Universidad Autónoma de Colombia, Bogotá, D. C., Colombia.
3School of Social Sciences, Humanities and Arts, University of California, Merced, California, USA.
Recibido para evaluación: 12 de febrero de 2013.
Aceptado para publicación: 4 de mayo de 2013.
SUMMARY
The application of price indices is useful to analyze the behavior of prices as an important component in patients´ access to essential medications over a period of time. The present work analyzed the variation in the prices of 303 medications sold by a cooperative of hospitals in central Colombia between 1999 and 2010 by applying inflation-adjusted price indices and Laspeyres-Paasche quantities by ABC groups and principal therapeuticals in the first and second ATC (anatomic, therapeutical, chemical) level, taking 1999 as the starting year. The medications of type A and B, as well as those belonging to the first four therapeutical groups in the first ATC level in cost and for seven groups in the second ATC level, registered a drop between 40 and 53% (P < 0.05) in the applied price indices. In addition, all the ABC and ATC groups showed increases between 9 and 12 times (P < 0.01) when applying the indices on units sold. The estimated net saving in 2010 at prices of 1999, went above $ 16.9 billion COP. This impact on prices has helped to expand the coverage in essential medications supplied to the public hospitals which are afterwards administered to the patients of this region of Colombia.
Key words: prices of medications, use of medications, pharmaceutical economics.
RESUMEN
La aplicación de los índices de precios es útil para analizar el comportamiento de los precios como un componente importante en el acceso de los pacientes a los medicamentos esenciales en un determinado período de tiempo. El presente trabajo analiza la variación de los precios de 303 medicamentos comercializados por una cooperativa de hospitales en el centro de Colombia entre 1999 y 2010 mediante la aplicación de los índices de precios ajustados a la inflación, según las expresiones de Laspeyres y Paasche por grupos ABC y de principales agentes terapéuticos en el primer y segundo nivel ATC (anatómico, terapéutico, químico), tomando 1999 como año de partida. Los medicamentos de tipo A y B, así como los que pertenecen a los cuatro primeros grupos terapéuticos en el primer nivel de ATC en el costo, y considerando siete grupos en el segundo nivel de ATC, registraron una caída entre 40% y 53% (P < 0,05) en los índices de precios aplicados. Además, todos los grupos ABC y ATC mostraron aumentos entre 9 y 12 veces (P < 0,01) al aplicar los índices en las unidades vendidas. El ahorro neto estimado en 2010 a precios de 1999, pasó por encima de 16,9 mil millones de pesos colombianos. Este impacto en los precios ha contribuido a ampliar la cobertura en los medicamentos esenciales suministrados a los hospitales públicos, y que luego son administrados a los pacientes de esta región de Colombia.
Palabras clave: precios de los medicamentos, uso de medicamentos, economía farmacéutica.
INTRODUCCIÓN
Price is a key determinant of patients' access to essential medications. In low- and middle-income countries, large proportions of the population have limited access to medicines, either because of poor availability or because patients must pay for their prescriptions and are not able to do so [1]. In health care institutions in developing countries, expenditure on medications is second only to staffing costs [2]. Understanding the trends and evolution of medication prices can help health care institutions predict their future expenditures and assist in making purchasing decisions.
In most market transactions, the price and quantity sold tend to move inversely: As the price falls, the quantity sold increases, and vice versa. The relationship between prices and quantities for medications is more complicated as there are a number of factors that influence the price of medications, including availability of substitute mediations or treatments, patent licenses expiration dates, and trends in treatment best practices [3].
Beginning in the 1980s, regional cooperatives of public hospitals in Colombia were developed in order to optimize the processes of purchase and supply of medications and medical devices [4]. One such cooperative was the Cooperative of Hospitals of the Departments of Caldas and Quindío (COODESCA), founded in 1989 in the coffee-growing triangle in central Colombia and encompassing over 40 public hospitals [5]. This region is consists by the departments of Caldas, Risaralda y Quindío with 53 towns, 13,873 km2 (less than 2% of the total area of the country), and a estimated population of 2.5 million in 2010. The Gross Domestics Product of the region represents 4.1% of the national total [6].
As with other cooperative, a principle activity for COODESCA was to purchase generic but essential medications for its members. COODESCA used a regionally-focused pooled procurement model which has been found in other parts of the world to be effective in reducing drug prices [7-10]. Together to others eight hospital cooperatives in Colombia, COODESCA forms ALIANCOOP (Alliance of Colombian Cooperative of Hospitals), which gathers over 400 public hospitals in the country, to make joint purchases of medicines since 2000, except for 2003 by logistical failures. Although, eventually process has changed from one year to another, several steps have remained stable such as [11]:
1. Consolidation of medicines requirements of every cooperative of hospitals.
2. Prepare and send tender documents.
3. Invite suppliers to participate in the tender process.
4. Evaluate suppliers for pre-qualification.
5. Receive offers through a web platform.
6. Open and evaluate offers for adjudication.
7. Divulgate adjudication.
8. Issue agreements to winner bidders.
9. Monitor performance and quality of products.
All of the participant hospital cooperatives apply a homogenous quality assurance programs for medicines that distribute to associated hospitals. Quantity needs of medicines are based on hospitals requirements.
To date, no study has examined the impact of these cooperatives and other developments on medication prices and quantities. The present study analyzes the behavior of the purchase costs (regarded as cost of annual average stock) and the amount of units sold by COODESCA for principal medications according to cost by ABC and therapeutic groups according to the WHO ATC classification, using weighted economic indices and aggregated indices of prices and quantities. Three index numbers (Laspeyres (L) of fixed weightings, Paasche indexes (P) of variable weightings, and Fisher index (F) that use arithmetic means of past indexes) are used to compare the evolution over time of the behavior of a variable or group of variables that are measured using different units. The objective of the study is therefore to describe the trend overtime in the cost and quantities of ABC and ATC classified mediations to examine the relationship between prices and the quantities of medications.
En el presente trabajo, se evaluó la actividad antibacteriana de extractos de hormigas de estos dos géneros, capturados en el casco urbano de la ciudad de Cartagena, con el propósito de evaluar su actividad antibacterial, y establecer si serían candidatas a estudios posteriores de separación e identificación de compuestos activos antimicrobianos.
METHODOLOGY
Data: Yearly data on the prices and units distributed of medications from the Cooperative of Hospitals of Caldas and Quindío (COODESCA) were obtained from its own information system. Unit prices come from the adjudication by joint procurement, and units were those distributed to hospitals associated to the Cooperative. The ABC classification system corresponded to year 2012. For the ATC classification system, there were four principal therapeutic groups (antiinfectives for systemic use (J), blood and blood forming organs (B), nervous system (N) and cardiovascular (C)) and eight second level groups: antibacterials for systemic use (J01), blood substitutes and perfusion solutions (B05), sexual hormones and modulators of the genital system (G03), drugs for obstructive airway diseases (R03), analgesics (N02), agents acting on the renin-angiotensin system (C09), antiepileptics (N03), and drugs for acid related disorders (A02). Those therapeutic groups were the most important in costs in 2012.
Indexes: The dependent variables were indices of the cost of the annual average stock and the number of units of medications supplied. The costs are reported in Colombian pesos (COP) in 2012 (1 US$ = 1,798.23 COP) with 2012 as reference year using the annual customer price index (CPI) reported by the Colombian Department of Statistics (DANE) [12, 13] for the period under study (1999-2012).
The reference period is December 2007, with the prices in each period being calculated in reference to their change, either positive or negative, from the respective year of reference. Thus, prices in March of 08 were 12.2% above the reference period, while prices in June were 1.32% below. The same principles used for price indices are used for quantity indices.
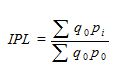
The Laspayres indexes that use the base period orientation, was applied for prices and quantities according the following formula [14-16]:
Laspeyres quantity index:
Where q represents quantities and p represents prices; subindex 0 represents the reference period, while i represents the subsequent periods. The resulting indices mean of 100 with each 1% percentage increase in the score representing a 1% increase in prices/quantities relative to the baseline year (1999).
Analysis: The results are presented separately for the ABC and ATC classifications. The study used ABC (Pareto) analysis to examine the prices and quantities of consumption patterns over time [17]. Items were classified in three categories (A, B, and C) based on the value of the annual usage. Class A items are 20% of the items accounts for 70% of the annual consumption value of the items; class B items are 20-30% of the items accounts for 20-25% of the annual consumption value of the items, and class C items, the rest. Because Class A items make up the majority of the budget, it was expected that the price and quantity changes would be greater for these items than for the Class C Items Another way to categorize drug consumption is by therapeutics groups. The Anatomical Therapeutic Chemical (ATC) classification system developed and maintained by the World Health Organization (WHO) a stable system of drug consumption measurement, which can be used to follow and compare trends in the utilization of drugs within and across therapeutic groups [18]. In the Anatomical Therapeutic Chemical (ATC) classification system, the active substances are divided into different groups according to the organ or system on which they act and their therapeutic, pharmacological and chemical properties. Drugs are classified in groups at five different levels. The drugs are divided into fourteen main groups (1st level), with pharmacological/therapeutic subgroups (2nd level). The others levels are related with chemical subgroups. The analysis presents the Laspayres price and quantity weighted indexes (LPI and LQI). In order to examine the change over the period, the difference in prices between 1999 and 2012 were calculated and multiplied by the number of units sold in 2012, only when in both years existed consumption. This provided an estimate of the cost savings or additional expenditure from the change in prices. Total costs and demanded units for the whole period were also analyzed to. Pearson correlation tests were used with a 0.05 level of significance employing the software STATGRAPHICS v5.1.
RESULTS AND DISCUSSION
Medications in 2012
A total of 298 medications classified by therapeutic groups in the first ATC level were taken into consideration, as shown in table 1; 92.7% of the medications matched the current POS list (Compulsory Health Plan) of 2012 [19].
The medications for the nervous system (N) accounted for 20.3% of the total, followed by antiinfectives of systemic use (J) 16.3%, and cardiovascular (C) 13.0%. For G and J, all the medications were POS and cardiovascular accounted for 94.9%.
The medications in the second ATC level showed that systemic antibacterials (J01) accounted for 14.0% of the total, duplicating the second, psycholeptics (N05), which accounted for 6.0% (table 2). All the medications of the first four groups with more drugs were part of the POS list.
In the ABC classification of costs of sale in 2012, the medications analyzed accounted for 89.7% of the total of medications sold by the cooperative in 2012 (table 3).
The highest percentage corresponded to type A medications (90.9%), followed by type B (81.1%), indicating that the medications compared had an important share in the costs of sale. When comparing again with cost (table 4), type A medications accounted this time for the highest percentage and C accounted for the lowest percentage. The medications compared accounted for 94.4% of the costs of sale in 2012, confirming the importance of the medications used in the comparison in the costs of sale.
Movement of price indices for ABC classification
The Laspeyres aggregated price index (LPI) is shown in Figure 1.
In the price indexes, there were ups and downs from 1999 to 2002, with a noticeable peak in 2003 which matches with the year was not undertaken group purchase, but with a tendency to descent over the whole analyzed period. The decline in the type B items was larger than the others (near to 57 points), while C type showed less diminution (around 38 points). A type showed similar behaviour to all products especially after year 2003, proving strong influence of type A items.
In the Pearson correlation analysis in the years analyzed and the values for the LPI, a high correlation was found, statistically very significant (P < 0.001) in the total (R2 = 86.98% and correlation coefficient = -0.94) and for the products type A (R2 = 91.43% and correlation coefficient = -0.95) and B (R2 = 89.03% and correlation coefficient = -0.95), while for type C (R2 = 67.16% and correlation coefficient = -0.83), the correlation was lower but significant (P < 0.002).
Movement of quantity indices for ABC classification
When applying the same index, but with respect to the units distributed, the constant growth behavior that started in 2002 stopped in 2008, and returned smoothly in 2012 (Figure 2). However, C registered a slight downward trend since 2008, classes A and B products grew in 2012 to reach an increase over 23 times compared to 1999, while type B increased 8.9 times and type C only 2.9 times. This is to say, the products that have the highest weight in the costs of sale did not decrease their number of units sold in 2012 compared to 2009. It is important to highlight the dramatic growth between 2005 and 2008, caused specially by the growth in products type A. Although in 2003 group purchase was not done, quantities indices were not affected in a notable way.
Movement of price indices for ATC classification
Drugs of the four therapeutic groups analyzed in the first ATC level represented 49.4% of the total costs of sale in 2012, and the nine groups in the second ATC level represented 55.4%. From 1999 to 2012 Laspayres price index, showed a downward trend, especially since 2003 and then this trend slowed down since 2008 (Figure 3). Group C (Cardiovascular system) showed the clearest decline with more than 65 point, while group B (Blood and blood forming organs) lowered less, with a drop of 26 point since 1999 (Figure 3).
The summarized data are shown in Annex 1 (Table A1, Table A2, Table A3, Table A4). The four groups showed negative correlation (P < 0.01) statistically different in all indices, confirming the downward trend.
In the second ATC level, a clear-cut downward trend was observed in all indices in 8 out of the 9 groups, except for the group G03 (sexual hormones and modulators of the genital system) principally because of contraceptives (Figure 4). For this group, price indices started to climb since 2008 and in 2012 its price index grew dramatically reaching a value of 153 points. The introduction in the POS list in 2008 of several deposit injection contraceptives, that have been distinguished and distributed by brand names, has been the main reason of this price behavior. Once again, in all figures can be seen how in 2003 the tendency was abnormal because of the absence of doing group purchase this year.
At the far end, group C09 showed the lowest price indices, with a decrease of more than 72 points, followed by groups A10 and N02. A statistical significance decrease was found in eight groups for all price indices (P < 0.001), but a positive correlation in the G03 group (P = 0.0523, R2 = 21.87% and correlation coefficient = 0.53).
Movement of quantity indices for ATC classification
When applying the indices to the number of units distributed, in the first ATC levels, highly meaningful increases were found (P < 0.001) in the four groups analyzed (Figure 5), which demonstrates an evident increase in the number of units sold for the medications that are key to the costs of sale.
The G03 group showed a decrease tendency in units since 2008, because there has been ocurred a gradual substitution of oral anovulatories (levonorgestrel + etinilestradiol) by deposit contraceptives (norethisterone enanthate + estradiol valerate), which affected the comparison of the number of units sold and the costs. Beside to group G03, groups N03 and C08 showed a slight drop in their indices in 2012 compared to 2011 in the Laspeyres quantity index (Figure 6).
Net savings between 1999 and 2012
The calculation of the net saving of the difference of prices between 1999 and 2012 (Colombian pesos, COP 2012) gave a result of $ 23,982,355,260 (COP 2012), which represents 4.1 times the value of the cost of sale in 2012 for the medications analyzed, covering 211 drugs.
Units and total costs between 1999 and 2012
Units demanded showed a clear increased tendency in the whole analyzed period of time (Figure 7). Among 199 and 2003 the increase was slight; with a growth rate around 2.2 million of units per year. From 2002 to 2004 the growth rate was bigger, but it was stabilized in 2005 due to the formal start setting joint procurement process. Since 2006 to 2008 a strong increase was noted, with a rate growth of almost 15 million units per year after the joint purchase process was consolidated, and then rose again from 2008 to 2012 around 5% per year (Figure 7). Going down the units, also down costs and vice versa until 2008, except for 2003 when there were no joint purchases. But from 2009 despite increased units, total costs decreased (Figure 7). Regardless, the total LPI (Figure 4) showed only increased in 2003 when joint purchases were not performed, because in all other years, there was a clear tendency to decrease.
The purpose of this study was to analyze how joint purchase affected unit price costs using a acknowledged price index through a period over 10 years for a Cooperative of public hospitals in a developing country.
The mission of the cooperatives of hospitals consists basically in attaining efficiency in the processes to supply medications and medical devices to its members. Medications have a remarkable share in this process. In this way, a concrete goal is to get the best purchase prices for quality products and, at the same time, improve the supply of the medications and medical devices.
Throughout the 14-year period analyzed, COODESCA was able to cut off the purchase prices valued via costs of annual average stock, by 45% (Laspeyres index), especially after 2003, when the cooperatives of hospitals started to optimize the process of annual group purchasing. One of this success factors has been the use of the international nonproprietary names (INN) to acquisition during the last two decades, which has allowed the offer of multiple mean more competition for prices [20].
On the contrary, the quantity indices showed a noticeable growth depending on the index applied, but it was higher for type A medications and lower for type C. This means that while there was a drop in the prices of the medications that had a high weight in costs of sale, there was a simultaneous increase in the number of units sold, which was in favor of the financial situation of the hospitals members of the cooperative.
When the same analysis was applied for the main four ATC therapeutic groups by costs of sales divided in groups, it was found that the groups C, N, R03, and J01 had a drop in the price indices; while for the groups J, B, and, in particular, B05 there was a smaller drop. The group G03 showed a slight upward trend in its prices. This situation could be related to the degree of monopolization on the part of the suppliers of the medications included in these groups. The group B05 is composed mainly by high volume liquids and the group G03 is composed by oral contraceptives; these two groups have been usually bought from the same suppliers, which has avoided their group purchasing (to obtain the best prices). These items have been bought via direct negotiation, generating a situation of monopoly, which is against the interests of the cooperative. This situation has not occurred for the other therapeutic groups, which has allowed obtaining better purchase prices throughout time.
Even with the situation aforementioned, the growth in the index of quantities in the group G03 can be highlighted, which can be evidence that even with the current circumstances COODESCA'S sale prices remain competitive and, therefore it was possible to expand the target market. This was more evident in the notorious increase in cardiovascular medications (C) and nervous system medications (N), which demonstrates the positive impact of the drop in purchase prices. As the profits of a cooperative should be invested in itself, and because these companies are non-profit, the lowest price quotes allowed the purchase of higher amounts of products.
In the case of cardiovascular (C) and anti-asthma (drugs for obstructive airway diseases) it is important to highlight the decrease in prices and the simultaneous increase in quantities. In Colombia, disease burden of hypertensive diseases using the disability-adjusted life year (DALY) is first for men and second for women, while respiratory diseases are sixth for men and seventh for women [21]. According 2010 data, ischemic heart and cerebrovascular diseases mortality for people over 45 years old in Colombia (263.7 per 100,000 habitants), were higher than the Latin America and the Caribbean region (57.0 per 100,000 habitants) [22]. In the region of COODESCA, the mortality rate of circulatory system diseases was superior to the country median in both Departments: 211.5/100,000 habitants in Caldas and, 185.5 in Quindío versus 132.2/100,000 habitants in 2008 [22]. This behavior means a net benefit expressed by an increase in access to high demand medications at better prices.
The stabilization since 2003 in the quantities of products of the groups J01 and B05 could indicate that there was good coverage of these medications in the influence area of the cooperative. This situation is different for the groups mentioned above.
Drug access has been an evident problem in Colombia's health system. In 2005, only 51.63% of patients received all medications prescribed [23]. The rest of them have to pay out of pocket the medications needed. Another independent analysis in 6 cities different than the Triangle of Coffee showed that access of drugs of the Compulsory Health Plan was 88.1% and 87.3% at public and private pharmacies, respectively. When the authors compared some price generic drugs with an international reference, Colombian drug prices were at least 3.2 times more expensive, and hydrochlorothiazide (a representative antihypertensive medicine) was 12.4 times more costly [24]. Additionally, drug cost for the health system has increased dramatically in the last years. Between 2009 and 2008, costs of medicines increased over 160% and in consumption around 27%, for the regimen of employees (contribution). Twenty ambulatory drugs expenditures increased 601% in the same period [25]. It means that Cooperatives of public hospitals through its activity of group purchase, decrease cost of drug favoring greater access, although the great part of sector in the health care system has serious problems with drug expenditures. Besides, it matches with some strategies proposed in the National Pharmaceutical Policy that promotes innovative logistic special programs and a properly offer of medicines to national health necessities [20].
The three methodologies of price indices with fixed and variable weighting showed a downward trend within the period analyzed. This trend was more noticeable in the groups of medications type A and B within the ABC classification of costs of sale, and simultaneously there was in increase in the quantity indices, also more noticeable in medications A and B. The same behavior was observed in the joint analysis of the principal ATC therapeutic groups that are used to treat the highest morbidity impact pathologies in the region.
Price variation and amount of medications sold throughout time is the consequence of the interaction between pharmaceutical policies to control prices and the influence of the pharmaceutical industry on the prescription and the epidemiology of the population. This is the first analysis of medications prices evolution for a decade at the public sector in Colombia using prices indexes and evidence is insufficiently described in the primary literature. Rovira et al. [26] applied the Laspeyres and Paasche indices to analyze the effect of diverse factors on the increase in prices of new anti-depressives and antipsychotics in the Catalán Health Service in Spain, and recommended the use of this methodology to study the behavior of prices and consumptions. Thomas and Schondelmeyer analyzed the changes in the prices of the medications consumed by the senior population using the Laspeyres index as an alternative to the application of the producer price index (PPI) and the consumer price index (CPI), and remarked the indices´ utility in the study of price trends [27].
Although impacts of pooled procurement are scarce in papers [28, 29], the authors believe these data will give information to support a national pharmaceutical policy in order to improve availability and affordability.
CONCLUSIONS
Through the application of composite price index we found that pharmacological groups for the treatment of most important pathologies in health public (cardiovascular and respiratory drugs) and impact in costs (Types A and B in ABC classification) were the most reduced their cost of acquisition. This will improve access to essential generic drugs, thanks to the pooled procurement process for public hospitals that serve the population with greater health needs and fewer resources.
REFERENCES
1. T. Dickens, "The world medicines situations 2012. Procurement of medicines", World Health Organization, 2012, p. 1. [ Links ]
2. Management Science for Health, "MDS-3: Managing access to medicines and health technologies", Management Science for Health, Arlington, 2012, p. 18.3. [ Links ]
3. S.T. Schweitzer, "Pharmaceutical economics and policy", 2nd edition, Oxford University Press, 2007, p. 137. [ Links ]
4. OPS, Organización Panamericana de la Salud, Resumen del análisis de situación y tendencias de salud. Detalles para el perfil de Colombia 1998, consulted in January, 2012. [ Links ]
5. COODESCA, Administración Cooperativa de Entidades de Salud de Caldas y Quindío, URL: http://www.coodesca.com, consulted in January, 2012. [ Links ]
6. F.H. Valencia Valencia, D.M. Cortázar Gómez, A.M. López Soto, Composición de la economía de la región Eje Cafetero de Colombia, Ensayos sobre economía regional, Banco de la República, 54, 3, marzo (2013). [ Links ]
7. D. DeRoeck, S.A. Bawazir, P. Carrasco, M. Kaddar, A. Brooks, J. Fitzsimmons, J. Andrus, Regional group purchasing of vaccines: Review of the Pan American Health Organization EPI revolving fund and the Gulf Cooperation Council group purchasing program, Int. J. Health Plann. Mangmt, 21, 23 (2006). [ Links ]
8. S.J. Allen, Drug procurement, in: "Purchasing and inventory control", Edited by C.A. Nimmo, American Society of Hospital Pharmacists, Bethesda, 1990, pp. 105-159. [ Links ]
9. E.S. Schneller, The value of group purchasing in the health care supply chain, School of Health Administration and Policy, College of Business at Arizona State University, Management Science for Health, MDS-3 Managing Access to Medicines and Others Health Technologies, Management Science for Health, Arlington, VA, 2012, Chapter 40. [ Links ]
10. T. Dickens, "The world medicines situations 2012. Procurement of medicines", World Health Organization, Geneve, 2012, p. 3. [ Links ]
11. COHAN, Cooperativa de Hospitales de Antioquia, consulted in January, 2012. [ Links ]
12. Banco de la República, Tasa representativa del mercado (TRM). Serie histórica por año, URL: http://www.banrep.gov.co/series-estadisticas/see_ts_cam.htm#tasa, consulted in January, 2012. [ Links ]
13. DANE, Departamento Administrativo Nacional de Estadística, Histórico índice de precios al consumidor (IPC), URL: http://www.dane.gov.co, consulted in January, 2012. [ Links ]
14. B.M. Balk, "Price and quantity index numbers: Models for measuring aggregate change and difference", Cambridge University Press, New York, 2008, pp. 65-66. [ Links ]
15. B.M. Balk, "Price and quantity index numbers: Models for measuring aggregate change and difference", Cambridge University Press, New York, 2008, p. 26. [ Links ]
16. E. Lora, "Técnicas de medición económica. Metodología y aplicaciones en Colombia", Alfaomega Colombiana S.A., Bogotá, 2005, p. 63. [ Links ]
17. Management Science for Health, "MDS-3: Managing access to medicines and health technologies", Management Science for Health, Arlington, 2012, pp. 40.13-40.24. [ Links ]
18. WHO Collaborating Centre for Drug Statistics Methodology, ATC/DDD Index 2012, URL: http://www.whocc.no/, consulted in January, 2012. [ Links ]
19. Comisión de Regulación en Salud, Acuerdo 020 de 2011, URL: http://www.cres.gov.co/Portals/0/acuerdo29de2011.pdf, consulted in January, 2012. [ Links ]
20. Departamento Nacional de Planeación, Ministerio de Salud y Protección Social, Instituto de Vigilancia de Medicamentos y Alimentos. Propuesta de política farmacéutica nacional, Bogotá, 2012. [ Links ]
21. Pontificia Universidad Javeriana, Centro de Proyectos para el Desarrollo, "Carga de enfermedad, Colombia 2005: resultados alcanzados", Documento Técnico ASS/1502-08, Bogotá, 2008, pp. 30-39. [ Links ]
22. Organización Panamericana de la Salud, Ministerio de la Protección Social, Instituto Nacional de Salud, "Indicadores básicos 2010. Situación de salud en Colombia", Bogotá, 2010, pp. 7-13. [ Links ]
23. Defensoría del Pueblo, "Evaluación de los servicios de salud que brindan las Empresas Promotoras de Salud 2005", Bogotá, 2005, p. 57. [ Links ]
24. Ifarma y Acción Internacional de Salud, "Precio, disponibilidad y asequibilidad de medicamentos y componentes del precio en Colombia", Bogotá, 2009, p. 20. [ Links ]
25. Ministerio de la Protección Social, "Estudio de suficiencia y de los mecanismos de ajuste de riesgo de la Unidad de Pago por Capitación para garantizar el Plan Obligatorio de Salud en el año 2012", Bogotá, 2010, p. 48. [ Links ]
26. J. Rovira, R. Tremosa, A. Gilabert, A. Torralba, The role of prices in drug expenditure analysis, HEPAC, 2, 142 (2001). [ Links ]
27. J. Thomas III, S. Schondelmeyer, Price indexes for pharmaceuticals used by the elderly, Health Care Financ. Rev., 14, 91 (1992). [ Links ]
28. D.R. Milovanovic, R. Pavlovic, M. Folic, S.M. Jankovic, Public drug procurement: The lessons from a drug tender in a teaching hospital of a transition country, Eur. J. Clin. Pharmacol., 60, 149 (2004). [ Links ]
29. A. Cameron, M. Ewen, M. Auton, D. Abegunde, "The world medicines situations 2012. Medicines prices, availability and affordability", World Health Organization, Geneve, 2012, p. 12. [ Links ]

























