Services on Demand
Journal
Article
Indicators
-
Cited by SciELO -
Access statistics
Related links
-
Cited by Google -
Similars in
SciELO -
Similars in Google
Share
Revista Colombiana de Ciencias Químico - Farmacéuticas
Print version ISSN 0034-7418
Rev. colomb. cienc. quim. farm. vol.42 no.2 Bogotá June/Dec. 2013
Artículo de investigación científica
A descrição matemática do processo da detecção de duas substâncias com um grupo funcional comum pelos sensores e biossensores eletroquímicos baseados nos polímeros condutores
The mathematical description for the process of the detection of two substances with a common functional group by cp-based sensors and biosensors
Volodymyr Valentynovych Tkach*, Vasyl´ Vasyl´ovych Nechyporuk´ Petro Ivanonych Yagodynets´
Universidade Nacional de Chernivtsi, Ucrânia
*Correo electrónico: nightwatcher2401@gmail.com.
Recibido para evaluación: 27 de mayo de 2013.
Aceptado para publicación: 8 de octubre de 2013.
RESUMO
O comportamento dos sensores e biossensores eletroquímicos, baseados nos polímeros condutores (pc), no processo da detecção de duas substâncias com um grupo funcional comum foi matematicamente descrito, sendo o respectivo modelo analisado por meio da teoria de estabilidade linear e da análise de bifurcações. Foram inferidas as condições de estabilidade do estado estacionário, como também das instabilidades oscilatória e monotônica. Também foi demonstrada a ligação entre este modelo e os descritos anteriormente.
Palavras-chave: grupo funcional, análise orgânica, sensores eletroquímicos, polímeros condutores, estado estacionário estável
SUMMARY
The behavior of the electrochemical sensors and biosensors, based on conducting polymers (cp) in the detection process for two substances with a common functional group has been described mathematically and the respective model was analyzed by the linear stability theory and bifurcational analysis. The conditions for the stability of the steady-state, for the oscillatory and monotonic instability have been inferred. The connection between the present model and the yet described has been shown.
Key words: functional group, organic analysis, electrochemical sensors, conducting polymers, stable steady-state
INTRODUÇÁO
A química farmacéutica, a medicinal e a toxicológica são uns dos ramos de química que, hoje em dia, estão em maior desenvolvimento. O objetivo destes ramos de química são as possibilidades da
-síntese dos novos remédios que curem as diversas doenças (na base dos compostos orgânicos e inorgânicos);
-análise do comportamento destes in vitro e in vivo (investigações farmacocinética, metabólica, toxicológica etc.);
-elaboração dos métodos da detecção destes compostos e dos seus metabolitos no organismo e fora dele, inclusive para as investigações forenses.
As propriedades físicas, químicas e biológicas dos compostos orgânicos usualmente são atribuídas à presença dos certos grupos funcionais neles. Portanto é preciso elaborar os métodos analíticos (físicos, físico-químicos ou químicos) específicos, capazes de detectar especificamente a presença do certo grupo funcional, responsável pelo comportamento do composto.
Entre os métodos mais elaborados da detecção específica o uso de sensores e biossensores, baseados nos materiais modernos: nanopartículas metálicas, nanocompósitos e polímeros condutores [1-21] é um dos mais usados e investigados hodiernamente. Como os últimos são fáceis de modificar, é relativamente simples o processo da incorporação à molécula do pc do fragmento, capaz de reagir seletivamente com um certo grupo funcional [1-10], segundo o princípio "chave fechadura".
Apesar de estes sensores terem excelente seletividade, sensibilidade e precisão, o desempenho deles, como já foi mencionado, pode ser prejudicado pelas instabilidades eletroquímicas e a detecção do mecanismo da sua aparição far-nos-á o conhecimento mais profundo do seu comportamento. Um modelo matemático, capaz de descrever adequadamente os processos no sistema, servirá de ajuda na confecção de sensores e biossensores e na determinação de regiões do melhor desempenho a fim de, baseando-se no modelo matemático, poder prever as possíveis inexatidões de sensores e os porquês probabilíssimos das suas aparições. Nós já temos feito as tentativas de descrever o desempenho de diferentes tipos de sensores e biossensores, baseados nos polímeros condutores [11-21] no ato da detecção de uma substância. Ora, estamos descrevendo matematicamente o caso mais simples da análise de 2 substâncias com o mesmo grupo funcional no modo potenciostático e a transição entre o modelo a descrever e o descrito em [13-15]. Portanto, este trabalho vem como continuição da pesquisa, cujos resultados são apresentados em [11-21].
O SISTEMA O E MODELO
Para descrever matematicamente este caso, analógico aos anteriores, introduzimos as 3 variáveis:
C1 a concentração do primeiro composto;
C2 a concentração do segundo composto;
Φ o polímero condutor especificamente modificado.
Suposições: Como nos trabalhos anteriores, supomos que o líquido esteja agitando-se intensamente e, posto assim, podemos menosprezar a infuência do fuxo da convecção; o eletrólito de suporte esteja em excesso, assim sendo, podemos menosprezar a infuência do fuxo da migração. A distribuição concentracional do analito na camada da difusão é suposta a ser linear e a expessura da camada constante e igual a d. A ordem das reações é suposta a ser igual a 1. Outrossim, é suposto que entre os analitos não ocorram quaisquer reações (as alterações, feitas no modelo para este caso, apresentar-se-ão abaixo).
O primeiro e o segundo analitos na camada de difusão: Os analitos entram na camada pré-superfcial por meio de difusão e saem dela reagindo com o polímero condutor (sejam as reações de oxi-redução ou não). As equações do balanço das concentrações pré-superfciais dos analitos se apresentam como:
sendo C1 e C2 as concentrações das substâncias, que contêm o grupo funcional, cuja concentração é preciso detectar, na camada pré-superficial, D e Δ os seus coeficientes de difusão, C1B e C2B as concentrações das substâncias no interior da solução, δ a espessura da camada, r1, r2 as velocidades das reações específicas dos analitos com o polímero condutor.
O polímero condutor específico: É formado nas reações com os analitos (1-2) e desaparece oxidando-se eletroquimicamente. A equação do balanço então será descrita como
Sendo r3 a velocidade da oxidação eletroquímica e Γmax a concentração máxima do polímero conductor.
As velocidades das respectivas reações podem ser calculadas como:
Sendo kn as constante das reações, n a quantidade dos elétrons transferidos, F a constante de Faraday, R a constante universal dos gases, T a temperatura absoluta do vaso e δ0 o salto do potencial relativamente ao da carga zero.
As equações, com que é calculada a carga do elétrodo são apresentadas em [13], sendo:
Em que K0 e K1 são as capacitâncias das regiões de dupla camada elétrica? que correspondem às regiões da superfície coberta pelo polímero modifcado pela enzima oxidada e reduzida.
RESULTADOS E DISCUSSÃO
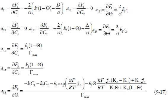
O comportamento deste sistema investigar-se-á por meio da teoria de estabilidade linear. A matriz funcional de Jacobi, cujos elementos são calculados para o estado estacionário, apresentar-se-á como:
Sendo:
O estado estacionário estável: Para determinar as condições do estado estacionário estável, vamos usar o critério de Routh e Hurwitz. A equação caraterística do sistema de equações (1-3) pode ser descrita como:
Sendo que:
O critério de Routh e Hurwitz requer que para um estado estacionário estável os menores dos membros da diagonal principal da matriz de Hurwitz
sejam positivos. Os menores dos membros da diagonal principal da matriz:
Visto que Δ3= ΓΔ2, podemos formar a condição do estado estacionário estável como C > 0.
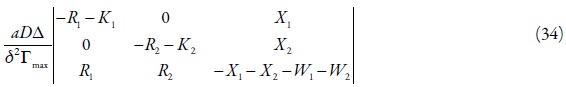
A fim de simplificar a análise do sistema, evitando, destarte, a utilização das expressões complicadas e, outrossim, estimar a influência dos parâmetros do sistema, introduzimos as novas variáveis:
Com elas, o Jacobiano será descrito como:
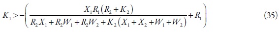
Aplicando a condição de Γ > 0, podemos obter a condição da estabilidade do estado estacionário. O valor marginal do parâmetro da difusão do primeiro analito Κ1 será apresentado como:
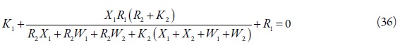
O estado estacionário manter-se-á estável decerto no caso da ausência das influências da reação de oxidação eletroquímica sobre a camada dupla (a positividade de W2, que garante a negatividade da expressão à direita da inequação). Neste valor marginal ocorre a instabilidade monotônica:
O único elemento capaz de ser negativo, é o que está no meio da expressão. Pode ser negativo, como já foi mencionado anteriormente, nos valores negativos de W2. Portanto, a instabilidade monotônica só poderá ocorrer no caso de o polímero condutor modificado pelo analito ser redutor bastante forte para dar efeitos à camada dupla.
A instabilidade oscilatória: Para ela ser realizada, é obrigatório que a diagonal principal da matriz contenha as parcelas positivas (as quais descrevem a positiva conexão da volta).
Na diagonal principal, o único elemento capaz de ser positivo é a33, no caso da negatividade da variável W2, descrevendo assim a causa comum do comportamento oscilatório, observada para todos os sensores e biossensores, baseados nos pc [11-24], que são os efeitos da oxidação eletroquímica dos polímeros condutores sobre a dupla camada.
A ligação com os outros modelos dos sensores, baseados nos pc: Conforme o terceiro teorema de semelhança, os sistemas semelhantes descrevem-se pelas equações semelhantes. Assim sendo, os modelos que descreviam o funcionamento dos sensores, baseados nos polímeros condutores tinham semelhança. Se for desconsiderada a diferença na reatividade do grupo funcional nas substâncias 1 e 2 e na velocidade da difusão destas, introduzir-se-á a variável Cgr = C1 + C2, a equação de balanço será:
reunindo, assim, as equações (1) e (2). O sistema de equações diferenciais será bidimensional e, destarte, será transformado ao descrito no artigo [13].
As alterações feitas no sistema no caso da reação entre as substâncias 1 e 2: No caso da reação entre as substâncias 1 e 2, em que ocorre a desaparição do grupo funcional, as equações (1-2) serão alteradas:
rd e kd são a velocidade e a constante da reação da desaparição do grupo funcional por meio da reação entre os dois analitos.
Neste caso, os elementos a12 e a21 já não são nulos e a desaparição do grupo funcional por meio da reação entre os analitos vai dar influência à estabilidade do estado estacionário, não sendo, porém causa das instabilidades oscilatórias ou monotônica.
As alterações também sofrerá o modelo no caso da possibilidade da reação entre as duas moléculas do mesmo analito (levando também à desaparição do grupo funcional), porém, ora o comportamento do sistema vai ser mais simples, que no descrito nos parágrafos anteriores.
As alterações feitas no sistema no caso de as reações serem autocatalíticas: São comuns para todos os sistemas com o desempenho de sensores e biossensores, baseados nos polímeros condutores.
-A alteração das equações (4-5) para:
-A modificação da diagonal principal da matriz com a aparição das novas variáveis que descrevem o fato de as reações serem autocatalíticas, semelhantes às apresentadas no caso do modelo, cuja análise foi mostrada em [13].
-Haja vista as alterações no modelo, alteram-se as condições da estabilidade do estado estacionário e das instabilides monotônica e oscilatória. As reações autocatalíticas então, serão mais uma causa desta instabilidade, sendo também uma das causas daquela.
CONCLUSÕES
1. O comportamento do sistema da detecção pelos sensores, baseados nos polímeros condutores, de duas substâncias com o mesmo grupo funcional, no caso da ausência de quaisquer reações entre os analitos, é mais complicada que no caso de uma substância, não sendo, porém, muito diferente dele no que se refere às instabilidades eletroquímicas, que, neste caso, são causadas pelas influências da oxidação eletroquímica à dupla camada elétrica.
2. A estrutura dissipativa temporal, existente 2. em todos os casos do desempenho de biossensores, baseados nos polímeros condutores, mantém-se pela difusão dos analitos até a superfície e pela oxidação do polímero condutor especificamente modificado.
3. Sendo desconsideradas as diferenças nas reatividades dos dois analitos, o sistema de equações diferenciais é simplificado até ser bidimensional.
4. No caso da ocorrência da reação entre os analitos, causando a desaparição do grupo funcional, o comportamento do sistema vai se acomplicar, não sendo isto, todavia, a causa das instabilidades.
5. Se as reações forem autocatalíticas, o modelo vai sofrer alterações, comuns para todos os sistemas com os sensores, baseados nos polímeros condutores. O mecanismo autocatalítico vai ser mais uma causa da aparição da instabilidade oscilatória, influindo também à monotônica.
REFERENCIAS
1. V.M. de Andrade, Confecção de biossensores através da imobilização de biocomponentes por eletropolimerização de pirrol, Tés. M. Eng. ufrs, Porto Alegre, 2006. [ Links ]
2. A. Ramanavicius, A. Ramanaviciene, A. Malinauskas, Electrochemical sensors based on conducting polymer-polypyrrole, Electrochim. Acta, 51, 6025-6037 ( [ Links ]2006).
3. T. McQuade, A. Pullen, T.M. Swager, Conjugated polymer based Chemical Sensors, Chem. Rev., 100, 2537-2574 (2000) [ Links ].
4. S. Takeda, H. Yagi, S. Mizuguchi et al. A highly sensitive amperometric adenosine triphosphate sensor based on molecularly imprinted overoxidized polypirrole, J. Flow Inj. Anal., 25, 77-79 (2008) [ Links ].
5. O. Korostynska, K. Arshak, E. Gill, A. Arshak, Review on State-of-the-art in Polymer Based pH Sensors, mdpi Sensors, 7, 3027-3042 (2007) [ Links ].
6. R. Singh, Prospects of Organic Conducting Polymer Modified Electrodes: Enzymosensors, Int. J. Electrochem, N 502707 (2012) [ Links ].
7. D. Zane, G. B. Appetecchi, C. Bianchini et al., An Impedimetric Glucose Biosensor Based on Overoxidized Polypyrrole Thin Film, Electroan., 23, 1134-1141 ( [ Links ]2011).
8. J.P. Tosar Rovira, Estúdio de la inmovilización de oligonucleótidos a elétrodos modificados de oro: polipirrol, y detección electroquímica de secuencias complementarias, Tes. Lic. Bioquím., Universidad de la República, Montevideo, 2008. [ Links ]
9. Y. Oztekin, A. Ramanaviciene, Z. Yazicigil, A.O. Solak, A. Ramanavicius. Biosens. Bioelectr., 26, 2541-2546 (2011) [ Links ].
10. N. Gupta, S. Sharma, I.A. Mir, D. Kumar, Advances in Sensors Based on Conducting Polymers, J. Sci. Ind. Res., 65, 549-557 (2006) [ Links ].
11. V. Tkach, V. Nechyporuk, P. Yagodynets´, I. Rusnak, Los biossensores electroquímicos, basados en los polímeros conductores, con la etapa autocatalítica en su función y la descripción matemática de su desempeño, Orbital Elec. J. Chem., 4, 136-145 (2012) [ Links ].
12. V.V. Tkach, V.V. Nechyporuk, P.I. Yagodynets, Yu. V. Meslyuk, 2nd International Conference "Advances in Heterocyclic Chemistry", 25-27th of September 2011, Tbilisi, Georgia, pp. 101-102. [ Links ]
13. V. Tkach, V. Nechyporuk, P. Yagodynets´, A investigação matemática do desempenho de biossensores eletroquímicos enzimáticos baseados nos polímeros condutores, Rev. Colomb. Cienc. Quím. Farm., 41, 203-216 (2012) [ Links ].
14. V. Tkach, V. Nechyporuk, P. Yagodynets´, Livro de Resumos do XVIII Encontro Luso-Galego de Química, 28-30 de Novembro 2012, Vila Real, Portugal, p. 29. [ Links ]
15. V.V. Tkach, V.V. Nechyporuk, P.I. Yagodynets, Al. M. da Rocha, 2nd International Conference "Advances in Heterocyclic Chemistry", 25-27th of September 2011, Tbilisi, Georgia, pp. 126-127. [ Links ]
16. V.V. Tkach, V.V. Nechyporuk, P.I. Yagodynets´, Y.V. Meslyuk, Mathematical model of the work of the mediated conducting polymer sensors with the use of the polymers of heterocyclic compounds, Rev. Soc. Quím. Perú, 77, 259-266 ( [ Links ]2011).
17. V.V. Tkach, V.V. Nechyporuk, P.I. Yagodynets´, Proceedings of the 1st Symposium in Medicinal Chemistry of the University of Minho, 17 of May 2013, Braga, Portugal, p. 97. [ Links ]
18. O.T. Slipenyuk, V.V. Nechyporuk, P.I. Yagodynets´, 18. V.V. Tkach, Proceedings of the 1st Symposium in Medicinal Chemistry of the University of Minho, 17 of May 2013, Braga, Portugal, p. 95. [ Links ]
19. V.V. Tkach, V.V. Nechyporuk, P.I. Yagodynets´, XXVI Congreso Peruano de Química Mariano Eduardo de Rivero y Ustáriz, 17 al 19 de Octubre de 2012, Arequipa, Perú, p. 134. [ Links ]
20. V. Tkach, V. Nechyporuk, P. Yagodynets´, Abstract 7th Nanoscience and Nanotechnology conference, 26th of June 1st of July 2011, Istanbul, p. 173. [ Links ]
21. V.V. Tkach, V.V. Nechyporuk, P.I. Yagodynets´, A.M. da Rocha, 3rd Portuguese Young Chemists Meeting, 9-11th of May 2012, Porto, p. 38. [ Links ]
































