Services on Demand
Journal
Article
Indicators
-
Cited by SciELO -
Access statistics
Related links
-
Cited by Google -
Similars in
SciELO -
Similars in Google
Share
Revista Colombiana de Ciencias Químico - Farmacéuticas
Print version ISSN 0034-7418
Rev. colomb. cienc. quim. farm. vol.44 no.1 Bogotá Jan./April 2015
https://doi.org/10.15446/rcciquifa.v44n1.54238
Doi: http://dx.doi.org/10.15446/rcciquifa.v44n1.54238
A descrição matemática do desempenho do sensor de dopamina, baseado no elétrodo da pasta de carbono, modificado por nanotubos e fragmentos da banana
The mathematical description for the sensor of dopamine, based on carbon paste electrode, modified by nanotubes and banana tissues
Reza Ojani b
Vasyl´V. Nechyporuk a
Petró I. Yagodynets a
a Universidade Nacional de Chernivtsi, 58012, Rua de Kotsyubyn´s´ky, Chernivtsi, Ucrânia * Correo electrónico: nightwatcher2401@gmail.com
b Universidade de Mazandarã, 47416-95447, 3 km. Rodovia das Forças Aéreas Iranianas, Babolsar, República Islâmica do Irã
Recibido para evaluación: 29 de septiembre de 2014
Aceptado para publicación: 26 de diciembre de 2014
Resumo
Neste trabalho vem sendo descrito matematicamente o desempenho do sensor eletroquímico de dopamina, baseado no elétrodo da pasta de carbono, modificado pelos nanotubos de carbono e fragmentos da banana. O modelo matemático correspondente foi analisado por meio da teoria de estabilidade linear e análise de bifurcações. A modelagem, além de explicar o comportamento do sensor, fornece as informações adicionais, como a dependência do desempenho do sensor da espécie de banana usada.
Palavras-chaves: materiais na base de carbono, banana, dopamina, sensores eletroquímicos, modelagem matemática
Summary
In this work, the function of the electrochemical dopamine sensor, based on carbon paste electrode, modified by nanotubes and banana tissues, is mathematically described. The correspondent mathematical model was analyzed by means of linear stability theory and bifurcation analysis. The modeling, besides of explaining the sensor´s behavior, gives the additional information, like dependence of the work of the sensor of the type of banana used.
Keywords: carbon-based materials, banana, dopamine, electrochemical sensors, mathematical modeling
Introdução
Os elétrodos de pasta de carbono são amplamente utilizados na análise eletroquímica desde a sua primeira confecção por Adams em 1958 [1]. As suas vantagens são a preparação rápida, possibilidade de regeneração eficiente, não toxicidade e atrativas caraterísticas [2]. As semelhantes caraterísticas têm também os polímeros condutores [3-5] (normais, dopados e sobreoxidados). Outrossim, ambas as classes podem ser modificadas facilmente por outras substâncias para obterem-se os materiais catalisadores para diversas utilidades [6-15].
Por outro lado, dopamina (DA) é uma das catecolaminas naturais que se podem encontrar no organismo. É precursora de epinefrina [16], uma das moléculas neurotransmissoras com importantes efeitos cardiovasculares, hormonais, renais e no sistema nervoso central. A falta de dopamina pode causar doenças, como Parkinson [17-18]. Pode ser aplicada aquando do tratamento, porém a sua alta concentração também pode causar efeitos no sistema nervoso simpático, acompanhados pelo aumento da pressão arterial e da pulsação e até esquizofrenia [19-21]. Destarte, a elaboração de um método eficiente, capaz de determinar as suas concentrações mínimas é uma tarefa relevante.
Anteriormente os métodos da eletrodetecção de dopamina com os elétrodos, modificados por diversos materiais, inclusive nanopartículas metálicas, polímeros condutores (com as condutividades eletrônica, iônica e misturada) já foram mais utilizados [22-28]. Sem embargo, a maioria destes métodos podem apresentar dificuldades, como a não regeneração do elétrodo, causada pela adsorção de produtos de oxidação, uso de metais nobres, cujos compostos são muito caros, e a resposta instável, que revela a presença de instabilidades eletroquímicas [29-32]. Resolver-se-ia o problema se fossem usados os nanotubos de carbono, cujas propriedades excepcionais [33-47] lhes dão excelentes propriedades eletroanalíticas [48-55].
Com o termo "biossensor" entende-se um aparelho analítico que contém fragmentos ou materiais biológicos, como enzimas, anticorpos, etc., mas bastando de fato a presença apenas o fragmento do fator ou cofator. Já têm sido desenvolvidos vários sensores da concentração de dopamina [56-58].
As enzimas polifenoloxidases são os compostos que promovem a oxidação de derivados fenólicos até os quinônicos. Há frutas, por exemplo a banana, que contêm estas enzimas, e portanto os seus elementos podem ser usados em sensores e biossensores (como em [59]), o que os faz mais baratos e mais longevos, mas a presença das outras substâncias pode fazer a resposta menos precisa. Outrossim, há a possibilidade de ocorrência de instabilidades eletroquímicas, levantando a questão da determinação das causas e condições da sua aparição. Isso ajudará na detecção de um mecanismo do desempenho, teoricamente argumentado e válido não só para um sensor concreto, mas também para os semelhantes. Um modelo matemático, capaz dedescrever adequadamente os processos no sistema, não só resolveria o problema e explicaria o comportamento, mas também iria fornecer as informações adicionais sobre o desempenho do sensor. Além disso, comparando os modelos matemáticos, podem observar-se as diferenças no comportamento entre um e outro sistema.
Neste trabalho, o sistema com o sensor de dopamina, baseado no elétrododa pasta de carbono, modificado pelos nanotubos de carbono e por uma amostrada casca de banana é descrito matematicamente, servindo para explicar as possíveis instabilidades no sistema, fornecer as condições do melhor desempenho do sensor, e comparar o seu comportamento com o dos já descritos nos trabalhos [60-77], o que será o objetivo desta investigação.
O sistema e o seu modelo
A fim de descrever matematicamente o sistema com a detecção de dopamina sem presença do ácido ascórbico pelo sensor, descrito em [59] no modo potenciostático, introduzir-se-ão as duas variáveis:
c - a concentração de dopamina;
- o grau do recobrimento da enzima reduzida, sendo que os elementos de banana contêm, a princípio, só os fragmentos da oxidada.
Para simplificar a modelagem, supõe-se que:
- o eletrólito de suporte esteja em excesso - destarte podemos menosprezar o fluxo de migração, bem como as despesas do dopante;
- o reator se esteja agitando intensamente - assim podemos menosprezar o fluxo de convecção;
- a distribuição concentracional do analito na camada pré-superficial seja linear e a espessura da camada, constante e igual a d.
O analito entra na camada pré-superficial por meio da difusão, saindo dela por meio da reação. É possível também a reação do analito, neste caso dopamina, com os outros compostos, presentes na banana. Assim sendo, a equação de balanço da concentração do analito será descrita como:
![]() | [1] |
Sendo Δ o coeficiente de difusão, c0 a concentração da dopamina no interior da solução, r1 a velocidade da reação, rlat a velocidade da reação lateral.
A forma reduzida da enzima, neste caso polifenoloxidase, é formada aquando da reação com analito, desaparecendo aquando da oxidação eletroquímica. Destarte, a sua equação de balanço será descrita como:
![]() | [2] |
sendo r2 a reação da eletrooxidação da enzima, Gmax concentração máxima da enzima na camada uniforme do elemento da casca de banana.
As velocidades das reações são:
![]() | [3-5] |
sendo os parâmetros k as constantes das respectivas reações, z a quantidade de elétrons transferidos, F o número de Faraday, φ0 o salto do potencial, relativo ao da carga zero, R é a constante universal de gases, T a temperatura absoluta, γ a parte molar da enzima em banana, que depende da espécie de banana e do grau de amadurecimento.
Resultados e discussão
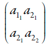
Para investigar o comportamento do sensor, analisamos o conjunto de equações (1 - 2) por meio da teoria de estabilidade lineal e da análise de bifurcações. A matriz funcional de Jacobi, cujos elementos são calculados para o estado estacionário, ver-se-á como:
![]() | [6] |
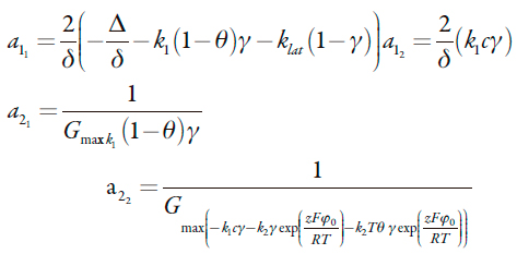
Sendo:
![]() | [7-10] |
Após a introdução das novas variáveis, o determinante do jacobiano simplificar-se-á como:
![]() | [11] |
Abrindo os parênteses, obter-se-á a condição de estabilidade do estado estacionário sob a forma:
![]() | [12] |
![]() | [13] |
As inequações (12) e (13) são satisfeitas para a vasta região topológica dos parâmetros, correspondendo à maior parte dos valores dos parâmetros do sistema, e só se "quebrando" no caso da influência à dupla camada da eletrooxidação da enzima sobre os nanotubos. Isto vai ao encontro do descrito em [59]. Ela, na maioria dos casos [60-70], é correspondente ao trecho lineal da curva "parâmetro eletroquímico - concentração", mas nem sempre é assim neste sistema.
Ao se usarem as bananas não maduras, a concentração da enzima é menor, aliás, pouca. Xlat >> X1 e, assim, o sinal eletroquímico será de pouca sensibilidade, embora o estado estacionário permaneça estável. O mesmo vai acontecer ao se usarem as bananas das espécies que contêm a enzima em muito poucas concentrações (e assim, a velocidade também será bem baixa).
Já quando se usam as bananas maduras, a concentração da enzima é alta (o que é revelado pelas manchas marrons e pretas dos compostos quinônicos nas bananas maduras) e o sinal eletroquímico, mais claro, o que está de acordo com o trabalho [59], em que é indicado que foi usada a "banana dematuridade comercial".
Já no caso da presença das influências da reação eletroquímica à dupla camada, são possíveis as instabilidades monotônica e oscilatória. Esta última só se realiza quando a diagonal principal do jacobiano tem os elementos positivos. Não havendo etapas autocatalíticas, o único elemento, capaz de sê-lo é -U2, o que descreve a possibilidade de oscilações, causadas pelo fator do rearranjo da camada. Esta causa é comum para todos os sensores e biossensores, baseados em polímeros condutores e, claro, valerá também para os nanotubos de carbono, que tem as propriedades semelhantes [60 - 70].
A instabilidade monotônica também é provável para este sistema e as suas condições descreverem-se como:
![]() | [14] |
Que só pode ser realizado no caso da negatividade de U2. Assim, as instabilidades eletroquímicas podem acontecer apenas no caso das influências da eletrooxidação à dupla camada. Noutros casos, o sistema estará no estado estacionário estável.
O caso da presença do ácido ascórbico: Neste caso cabe o uso do modelo, descrito em [69] (com algumas restrições). As conclusões daquela modelagem aplicar-se-ão então ao sistema mencionado.
O caso da autocatálise. Neste caso, impossível no presente sistema, o modelo sofrerá as alterações, descritas em [60], haja vista a mudança do comportamento.
Conclusões
1. Para a maioria dos casos e dos valores de parâmetros o sistema permanece no estado estacionário, porém, contrariamente aos outros casos descritos, como os de polímeros condutores, o usodos elementos da banana porá a eficiência analítica do estado estacionário em dependência da concentração da enzima, e, em consequência, do grau de maturidade e de espécie da banana usada.
2. Os usos da banana madura com alta concentração da enzima, junto com a ausência de influências da eletrooxidação da enzima sobre a dupla camada, garantem a estabilidade do estado estacionário e a eficácia do sensor.
3. O uso da banana não madura manterá a estabilidade do estado estacionário, mas sem eficácia eletroanalítica, porque as velocidades das reações, responsáveis pela eletroanálise, serão baixas.
4. As instabilidades eletroquímicas, caso aconteçam neste sistema, podem ser causadas apenas pelas influências da eletrooxidação à dupla camada, que se manifestam no rearranjo da camada.
5. O caso da presença do ácido ascórbico não difere muito do principal, no caso das pequenas concentrações. Nas altas concentrações do ácido, a reação lateral terá grande impacto na precisão do sensor.
6. A autocatálise, impossível para o sistema descrito, será mais uma causa do comportamento oscilatório e tornará a zona de estabilidade de estado estacionário menos ampla.
Referências
1. R.N. Adams, Carbon paste electrodes, Anal. Chem., 30, 1576 (1958). [ Links ]
2. K. Kalcher, J. Wang, J.M. Kauffmann, I. Svancara, K. Vytras, C. Neuhold, Z. Yang, Sensors based on carbon paste in electrochemical analysis: a review with particular emphasis on the period of 1991 - 1993, Electroanalysis, 7, 5 (1995). [ Links ]
3. S. Sadki, P. Schottland, N. Brodie, G. Saboraud, The mechanisms of pyrrole electropolymerization, Chem. Soc. Rev., 29, 283 (2000) [ Links ]
4. M. Gholami, A-M. Ghasemi, M.M. Loghavi et al., Preparation of a miniaturised iodide ion selective sensor using polypyrrole and pencil lead: effect of double coating, electropolymerisation time, and current density, Chem. Papers, 67, 1079 (2013). [ Links ]
5. S.B. Hocevar, I. Svancara, K. Vytras, B. Ogorevc, Novel electrode for electrochemical stripping, based on carbon paste, modified with bismouth powder, Electrochim. Acta, 51, 6 (2005). [ Links ]
6. G.L. Luque, M.C. Rodríguez, G.A. Rivas, Glucose biosensor, based on the immobilization of copper oxide and glucose oxidase within a carbon paste matrix, Talanta, 66, 467 (2005). [ Links ]
7. P. Kotzian, P. Brázdilová, K. Kalcher, K. Handíř, K. Vytřas, Determination of hydrogen peroxide, glucose and hypoxanthine, using biosensors, based on ruthenium dioxide-modified carbon paste electrode, Sens. Actuator B, 124, 297 (2007). [ Links ]
8. V.M. de Andrade, Confecção de biossensores através da imobilização de biocomponentes por eletropolimerização de pirrol, Tés. M. Eng. UFRS., Porto Alegre, 2006 [ Links ]
9. J.P. Tosar Rovira. Estudio de la inmovilización de oligonucleótidos a electrodos modificados de oro: Polipirrol, y detección electroquímica de secuencias complementarias, Tes. Lic. Bioquím., Universidad de la República, Montevideo, 2008. [ Links ]
10. H. Shu, Applications of poly(3-hexylthiophene) thin film as a hydrazine-sensitive chemoresistor, M. Sc. Thesis, Alburn, Alabama, 2006. [ Links ]
11. R. Ojani, J.B. Raoof, A. Ahmady, S.R. Hosseini, Highly improved methanol oxidation onto carbon paste electrode, modified by poly(2,5-dymethylaniline), Casp. J. Chem., 2, 45 (2013). [ Links ]
12. R. Ojani, J.B. Raoof, S.R. Hosseini, Electrocatalytic oxidation of methanol on carbon paste electrode modified by nickel ions dispersed into poly (1,5-diaminonaphthalene) film, Electrochim. Acta, 23, 2402 (2008). [ Links ]
13. R. Ojani, J.B. Raoof, P.S. Afagh, Electrocatalytic oxidation of some carbohydrates by poly(1-naphthylamine)/ nickel modified carbon paste electrode, J. Electroanal. Chem., 571, 1 (2004). [ Links ]
14. D. Oukil, L. Benhaddad, L. Makhloufi et al., Gold nanoparticles modified polypyrrole/iron electrode used as sensor for hydrazine detection, Sens. Lett., 11, 295 (2013). [ Links ]
15. S. Virji, R. B. Kaner, B.H. Weiller, Polyaniline with fluoroalcohol additives as hydrazine sensors, Pol. Prep., 46, 538 (2005). [ Links ]
16. M.M. Karim, S.M. Alam, S.H. Lee, Spectrofluorimetric estimation of norepinephrine using ethylenediamine condensation method, J. Fluoresc., 17, 427 (2007). [ Links ]
17. R.D. O´Neill, Microvoltammetric techniques and sensors for monitoring neurochemical dynamics in vivo. A review, Analyst, 119, 767 (1994). [ Links ]
18. S. Y. Yi, H.Y. Chang, H. Cho, Y.C. Park, S.H. Lee, Z.U. Bae, Resolution of dopamine and ascorbic acid using nickel(II) complex polymer-modified electrodes, J. Electroanal. Chem., 602, 217 (2007). [ Links ]
19. Z.A. Alothmana, N. Bukhari, S. Mohammad Wabaidura, S. Haiderb, Simultaneous electrochemical determination of dopamine and acetaminophen using multiwall carbon nanotubes modified glassy carbon electrode, Sens. Act. B, 146, 314 (2010). [ Links ]
20. O. Hornykiewicz, S. J. Kish, Biochemical pathophysiology of Parkinson disease, Adv. Neurol., 45, 19 (1986). [ Links ]
21. W. Schultz, Dopamine neurons and their role in reward mechanisms, Curr. Opin. Neurobiol., 7, 191 (1997). [ Links ]
22. G. Alarcıon-Angeles, S. Corona-Avendano, M. Palomar-Pardave et al., Selective electrochemical determination of dopamine in the presence of ascorbic acid using sodium dodecyl sulfate micelles as masking agent, Electrochim. Acta, 53, 3013 (2008). [ Links ]
23. X. Lin, Q. Zhuang, J. Chen, S. Zhang, Y. Zheng, Electrocatalytic property of Poly-chromotrope-2B modified glassy electrode, Sens. Actuators B, 125, 240 (2007). [ Links ]
24. G.S. Lai, H.L. Zhang, D.Y. Han, Electrocatalytic oxidation and voltammetric determination of dopamine at a Nafion/carbon-coated iron nanoparticles-chitosan composite film modified electrode, Microchim. Acta, 160, 233 (2008). [ Links ]
25. S. Thiagarajan, S.M. Chen, Preparation and characterization of PtAu hybrid film modified electrodes and their use in simultaneous determination of dopamine, ascorbic acid and uric acid, Talanta, 74, 212 (2007). [ Links ]
26. J.B. Raoof, A. Kiani, R. Ojani et al., Simultaneous voltammetric determination of ascorbic acid and dopamine at the surface of electrodes modified with selfassembled gold nanoparticle films, J. Solid. State. Electrochem., 14, 1171 (2010). [ Links ]
27. J.B. Raoof, R. Ojani, S. Rashid-Nadimi, Voltammetric determination of ascorbic acid and dopamine in the same sample at the surface of a carbon paste electrode modified with polypyrrole/ferrocyanide films, Electrochim. Acta, 50, 4694 (2005). [ Links ]
28. R. Ojani, J.-B. Raoof, A.A. Maleki, S. Safshekan, Simultaneous and sensitive detection of dopamine and uric acid using a poly(L-methionine)/gold nanoparticle-modified glassy carbon electrode, Chin. J. Cat., 35, 423 (2014). [ Links ]
29. R.A.D. Toledo, M.C. Santos, E.T.G. Cavalheiro, L.H. Mazo, Determination of dopamine in synthetic cerebrospinal fluid by SWV with a graphite-polyurethane composite electrode, Anal. Bioanal. Chem., 381, 1161 (2005). [ Links ]
30. D. Zane,, G.B. Appetecchi, C. Bianchini et al., An impedimetric glucose biosensor on overoxidized polypyrrole thin film, Electroanal., 23, 1134 (2011). [ Links ]
31. O. Korostynska, K. Arshak, E. Gill, A. Arshak, Review on state-of-the-art in polymer based pH sensors, Sensors, 7, 3027 (2008). [ Links ]
32. R. Singh., Prospects of organic conducting polymer modified electrodes: enzymosensors, Int. J. Electrochem., N 502707 (2012). [ Links ]
33. M.J. Sims, Q. Li, R.T. Kachoosangi, G.G. Wildgoose, R.G. Compton, Using multiwalled carbon nanotube modified electrodes for the adsorptive striping voltammetric determination of hesperidin, Electrochim. Acta, 54, 5030 (2009). [ Links ]
34. R.T. Kachoosangi, G.G. Wildgoose, R.G. Compton, Adsorptive stripping voltammetric determination of 4-hexylresorcinol in pharmaceutical products using multiwalled carbon nanotube based electrodes, Electroanalysis, 20, 1714 (2008). [ Links ]
35. R.T. Kachoosangi, G.G. Wildgoose, R.G. Compton, Sensitive adsorptive stripping voltammetric determination of paracetamol at multiwalled carbon nanotube modified basal plane pyrolytic graphite electrode, Anal. Chim. Acta, 618, 54 (2008). [ Links ]
36. R.T. Kachoosangi, G.G. Wildgoose, R.G. Compton, Carbon nanotube-based electrochemical sensors for quantifying the 'heat´ of chilli peppers: the adsorptive stripping voltammetric determination of capsaicin, Analyst, 133, 888 (2008). [ Links ]
37. A.B. Dalton, S. Collins, E. Munoz et al., Super-tough carbon-nanotube fibres, Nature, 423, 703 (2003). [ Links ]
38. B. E. Kilbride, J. N. Coleman, P. Fournet et al., Experimental observation of scaling laws for alternating current and direct current conductivity in polymer-carbon nanotube composite thin films, J. Appl. Phys., 92, 4024 (2002). [ Links ]
39. J.K.W. Sandler, J.E. Kirk, I.A. Kinloch et al., Ultra-low electrical percolation threshold in carbon-nanotube-epoxy composites, Polymer, 44, 5893 (2003). [ Links ]
40. M.J. Biercuk, M.C. Llaguno, M. Radosavljevic et al., Carbon nanotube composites for thermal management, Appl. Phys. Lett., 80, 2767 (2002). [ Links ]
41. C. Wei, K. Srivastava, K. Cho, Thermal expansion and diffusion coefficients of carbon nanotube-polymer composites, Nano. Lett., 2, 647 (2002). [ Links ]
42. C. Hu, S. Hu, Surface design of carbon nanotubes for optimizing the adsorption and electrochemical response of analytes, Langmuir, 24, 8890 (2008). [ Links ]
43. P.C. Chaing, W.T. Whang, The synthesis and morphology characteristic study of BAO-ODPA polyimide/TiO2 nano hybrid films, Polymer, 44, 2249 (2003). [ Links ]
44. R. Argazzi, N.Y.M. Iha, H. Zabri, F. Odobel, C.A. Bignozzi, Design of molecular dyes for application in photoelectrochemical and electrochromic devices based on nanocrystalline metal oxide semiconductors, Coord. Chem. Rev., 248, 1299 (2004). [ Links ]
45. H. Tributsch, Dye sensitization solar cells: A critical assessment of the learning curve, Coord. Chem. Rev., 248, 1511 (2004). [ Links ]
46. S. Haider, S.Y. Park, K. Saeed, B.L. Farmer, Swelling and electroresponsive characteristics of gelatin immobilized onto multi-walled carbon nanotubes, Sens. Actuators B, 24, 517 (2007). [ Links ]
47. G. Broza, K. Piszczek, K. Schulte, T. Sterzynski, Nanocomposite of poly(vinyl chloride) with carbon nanotubes, Comp. Sci. Tech., 67, 890 (2007). [ Links ]
48. P.A. Peña, J.A. Pedraza Avella, J.E. Pedraza Rosas, Utilización de electrodos de pasta de carbono para la evaluación fotoelectroquímica de materiales semiconductores: TiO2 en soluciones cianuradas, Sci. Tech., 13, 701 (2007). [ Links ]
49. J.L. Nava, I. González, Los electrodos de pasta de carbono en el estudio electroquímico de minerales metálicos, Quím. Nova, 28, 901 (2005). [ Links ]
50. M.A.O. Tolentino, Estudio electroquímico de electrodos de carbón vítreo modificados con el sistema Cu-ZSM5 inmovilizados con PMMA/MA, Tés. Mestr., Instituto Politécnico Nacional, Ciudad de México, 2011. [ Links ]
51. L. Méndez, J.M. Ortega, M. Choy, Sensor electroquímico para la determinación de sulfito, Quím. Viva, 12, 247 (2013). [ Links ]
52. O.L. Estévez Hernández. Furoiltioureas: Naturaleza de sus complejos com CdCl2 y HgCl2 y su utilización em sensores electroquímicos, Tés. Doct., Universidad de Cádiz, 2006. [ Links ]
53. N. Merino, J, Carbajo, L.J. Núñez-Vergara, J.A. Squella, Nitroradical anion formation from nitrofurantoin in carbon electrodes, Bol. Soc. Chil. Quím., 45, 91 (2000). [ Links ]
54. R.C. da Silva, Preparação e Aplicação de eletrodos de pasta de carbono, modificados com ditiocarbamatos para análise de fármacos, Tés. Mestr., UFSCar, São Carlos, 2006. [ Links ]
55. C. das Dores Campos, Conceição, construção e aplicação analítica de eletrodos de pasta de carbono, modificada com ftalocianina de cobalto para determinação de analitos de interesse, Tés. Doct., UFSCar, São Carlos, SP, 2006 . [ Links ]
56. B. Li, Z. Zhang, Y. Jin, Plant tissue-based chemiluminescence flow biosensor for determination of unbound dopamine in rabbit blood with on-line microdialysis sampling, Biosens. Bioelectron., 17, 585 (2002). [ Links ]
57. D.P. Nikolelis, G. Theoharis, Biosensor for dopamine based on stabilized lipid films with incorporated resorcin[4]arene receptor, Bioelectrochem., 59, 107-112 (2003). [ Links ]
58. M.N. Velasco-Garcia, T. Mottram, Biosensor technology addressing agricultural problems, Biosystems Eng., 84, 1 (2003). [ Links ]
59. J.B. Raoof, A., Kiani, R. Ojani, R. Valliolahi, Electrochemical determination of dopamine using banana-MWCNTs modified carbon paste electrode, Anal. Bioanal. Electrochem., 3, 59 (2011). [ Links ]
60. V. Tkach, V. Nechyporuk, P. Yagodynets´, A investigação matemática do desempenho de biossensores eletroquímicos enzimáticos baseados nos polímeros condutores, Rev. Colomb. Cienc. Quím. Farm., 41, 203 (2012). [ Links ]
61. V. Tkach, V. Nechyporuk, P. Yagodynets, El estudio de estabilidad en el proceso del desempeño de los sensores y biosensores, basados en los polímeros conductores en medio fuertemente ácido, Rev. Colomb. Cienc. Quím. Farm., 42, 30 (2013). [ Links ]
62. V. Tkach, V. Nechyporuk, P. Yagodynets´, Mathematical model of the work of the mediated conducting polymer sensors with the use of the polymers of heterocyclic compounds, Rev. Soc. Quím. Perú, 77, 259 (2011). [ Links ]
63. V. Tkach, V. Nechyporuk, P. Yagodynets´, I. Rusnak, The CP-based electrochemical biosensors with autocatalytic stage in their function and the mathematical description of their work, Orbital Elec. J. Chem., 4, 136 (2012). [ Links ]
64. V. Tkach, V. Nechyporuk, R. Ojani, P. Yagodynets´, M. Tazyrov, Anales del XXX Congreso Argentino de Química, 22 al 24 de Octubre de 2014, Buenos Aires. URL: http://aqa.org.ar/pdf101/cd/Qca.Analitica/1-001.pdf, acessado aos 24 de dezembro de 2014. [ Links ]
65. V. Tkach, V. Nechyporuk, P. Yagodynets´, Livro de resumos do XVIII Encontro Luso-Galego de Química, Universidade de Trás-os-Montes e Alto Douro, Vila Real, Portugal, 28 a 30 de novembro de 2012, p. 29. [ Links ]
66. O.T. Slipenyuk, V.V. Nechyporuk, P.I. Yagodynets´, V.V. Tkach, Proceedings of the 1st Symposium in Medicinal Chemistry of the University of Minho, 17 of May 2013, Braga, Portugal, p. 95. [ Links ]
67. V. Tkach, V. Nechyporuk, P. Yagodynets´, Abstract book of the 7th Nanoscience and Nanotechnology conference, 26th of June - 1st of July 2011, Sabancι University, Istanbul, P. 173 [ Links ]
68. V.V. Tkach, V.V. Nechyporuk, P.I. Yagodynets, Al. M. da Rocha, 2nd International Conference "Advances in Heterocyclic Chemistry", 25 - 27th of September 2011, Tbilisi, Georgia, pp. 126-127. [ Links ]
69. V. Tkach, V. Nechyporuk, P. Yagodynets´, A descrição matemática do processo da detecção de duas substâncias com um grupo funcional comum pelos sensores e biossensores eletroquímicos baseados nos polímeros condutores, Rev. Colomb. Cienc. Quím. Farm., 42, 215 (2013). [ Links ]
70. V. Tkach, V. Nechyporuk, P. Yagodynets´, Proceedings of the 1st CQM Annual Meeting and the 9th Materials´ Group Meeting of the University of Madeira, 31st of January - 1st of February 2014, Funchal Madeira, Portugal, p. 37. [ Links ]
71. V. Tkach, R. Ojani, V. Nechyporuk, P. Yagodynets´, Modelagem matemática do desempenho de elétrodos, modificados por camada de ferroceno, nos processos da eletrooxidação de compostos orgânicos em meios neutro e ácido, Rev. Colomb. Cienc. Quím. Farm., 43, 39 (2014). [ Links ]
72. V. Tkach, V. Nechyporuk, P. Yagodynets´, The mathematical stability study of the work of isomerization sensors, based on conduction polymers, Anal. Bioanal. Electrochem., 6, 273 (2014). [ Links ]
73. V. Tkach, R. Ojani, V. Nechyporuk, P. Yagodynets´, IV International Conference of Young Scientists "Chemistry Today", 18-22 of August, 2014, Yerevan, Armenia, p. 49. [ Links ]
74. V. Tkach, V. Nechyporuk, P. Yagodynets´, III Encontro em Técnicas de Caracterização em Análise Química, 6 de junho de 2014, Braga, Portugal, p. 73. [ Links ]
75. V. Tkach, R. Ojani, V. Nechyporuk, P. Yagodynets´, A Descrição matemática do desempenho eletroanalítico de nanopartículas de óxido de cobre(II) na eletrodetecção de hidrazina, Orbital Elec. J. Chem., 6, 142 (2014). [ Links ]
76. V. Tkach, H. Nascimento, V. Nechyporuk, P. Yagodynets´, A descrição matemática do desempenho de sensores e biossensores eletroquímicos de pH, baseados em polímeros condutores, nos processos de medição do pH dos líquidos de cavidade bucal no modo de voltagem constante, Rev. Colomb. Cienc. Quím. Farm., 43, 196 (2014). [ Links ]
77. V.Tkach, R. Ojani, V. Nechyporuk, P. Yagodynets´, III Encontro em Técnicas de Caracterização em Análise Química, 6 de junho de 2014, Braga, Portugal, p. 72. [ Links ]





















