Services on Demand
Journal
Article
Indicators
-
Cited by SciELO -
Access statistics
Related links
-
Cited by Google -
Similars in
SciELO -
Similars in Google
Share
Revista Colombiana de Ciencias Químico - Farmacéuticas
Print version ISSN 0034-7418
Rev. colomb. cienc. quim. farm. vol.45 no.3 Bogotá Sep./Dec. 2016
https://doi.org/10.15446/rcciquifa.v45n3.62016
http://dx.doi.org/10.15446/rcciquifa.v45n3.62016
A eletrorredução de benzodiazepinas e a sua avaliação matemática
Benzodiazepines´ electrochemical reduction and its mathematical evaluation
Volodymyr Tkach1,2*, Sílvio C. de Oliveira2, Reza Ojani3, Olga Yelenich1, Petró I. Yagodynets´1
1 Universidade Nacional de Chernivtsi, 58012, Rua de Kotsyubyns'ky, 2, Chernivtsi, Ucrânia
2 Universidade Federal de Mato Grosso do Sul, Av. Sen. Felinto. Müller, 1555, C/P. 549, 79074-460, Campo Grande, MS, Brasil
3 Universidade de Mazandarã, 47416-95447, 3o km. da Rodovia de Forças Aéreas Iranianas, Babolsar, República Islâmica do Irã
* Correio eletrônico: nightwatcher2401@gmail.com
Recebido em: 09 de janeiro de 2016 Aceito em: 13 outubro de 2016
Resumo
O processo da eletrorredução de benzodiazepinas, uma ferramenta, capaz de usar-se em pesquisa eletroanalítica, foi analisado dos pontos de vista mecanístico e matemático. O modelo correspondente veio sendo investigado por meio da teoria de estabilidade linear e análise de bifurcações e, por meio da sua análise, pôde-se obter o requisito da melhor eficiência do processo, investigar a pH-dependência do seu desempenho, bem como as condições das instabilidades oscilatória e monotónica. Faz-se uma tentativa de uma análise mecanística sistemática do desempenho de sensores eletroquímicos de benzodiazepinas.
Palavras-chave: Benzodiazepinas, ansiolíticos, análise eletroquímica farmacêutica, potencial de hidrogênio, estado estacionário estável.
Summary
The benzodiazepines' electrochemical reduction process, a tool, capable to be used in electroanalytic investigation, was anaylzed by mechanistic and mathematical means. The correspondent model was analyzed by means of linear stability theory and bifurcation analysis, and by its mean it was possible to get the requisite for the best process efficiency, the pH-dependence of its function, like also of oscillatory and monotonic instability. An effort is made fot the systematic mechanistic analysis of the work of benzodiazepine electrochemical sensors.
Key words: Benzodiazepines, anxiolytic drugs, pharmaceutical electrochemical analysis, hydrogen potential, stable steady-state.
Introdução
Benzodiazepinas (compostos heterocíclicos não saturados de sete átomos, dos quais os dois são de nitrogênio, conforme a nomenclatura de Hantsch-Widman [1]), uma das classes de o fármacos sedativos, ansiolíticos, antipsicóticos, neurolépticos e relaxantes [2-4] mais utilizados. O mecanismo do seu desempenho farmacológico baseia-se na ação direta sobre os receptores de GABA, aumentando a difusão dos íons cloreto para dentro dos neurônios [5], o que lhes dá o efeito relaxante.
Apesar da sua efetividade, as benzodiazepinas, porém, não são idôneas para uso duradouro e excessivo, haja vista os efeitos colaterais [6], como: sonolência excessiva, paralisia geral, supressão da libido e, no caso do uso frequente e duradouro, dependência do fármaco, e até a morte súbita. Destarte, o desenvolvimento de um método, capaz de determinar eficazmente a concentração dos fármacos em diferentes meios, é uma tarefa muito atual [7].
Os métodos eletroanalíticos são uma das ferramentas flexíveis, elegantes e modernas, utilizadas para a determinação de concentração de vários fármacos e outras substâncias biologicamente ativas [8-14] e as benzodiazepinas não é uma exceção [15-20]. No trabalho [20] foi feita uma revisão de vários métodos de eletrodetecção de várias benzodiazepinas. Cada método em si tinha suas vantagens. No entanto, numa impressão geral, a investigação tinha caráter esporádico, carecendo, destarte, de uma base rígida que desse orientações fundamentais. Outrossim, não foi feita uma avaliação teórica da influência do pH, bem como da possibilidade da aparição de instabilidades eletroquímicas, características para eletrooxidação e eletrorredução de compostos orgânicos (inclusive a eletropolimerização de compostos heterocíclicos) [21-28], durante a eletrorredução de benzodiazepina.
Isto pode ser feito por meio de uma análise mecanística do comportamento eletroquímico de benzodiazepinas, que se realiza por meio do desenvolvimento e da análise de um modelo matemático, capaz de descrever adequadamente o comportamento do sistema. A modelagem também dá possibilidade de compará-lo com os sistemas análogos.
Destarte, o objetivo geral deste trabalho é uma investigação teórica mecanística da eletrorredução de benzodiazepina. Ele se realiza por meio da realização dos objetivos específicos, como:
- desenvolvimento do modelo matemático de equações de balanço, que descreve o comportamento no sistema;
- análise do modelo;
- relação entre os resultados da análise do modelo e as observações experimentais;
- comparação do comportamento do sistema com o dos semelhantes [29-35].
O sistema e o modelo
As benzodiazepinas contêm pelo menos uma ligação azometínica, ou seja, ligação de Schiff. A redução de uma ligação de Schiff, em que um sistema com déficit de elétrons recebe os dois elétrons e os dois prótons, formando uma amina secundária, pode ser realizada por via eletroquímica.
Em geral, as benzodiazepinas podem ter mais de uma ligação de Schiff e, com isso, a eletrorredução pode correr de forma ainda mais profunda.
Os prótons tomam parte ativa da eletrorredução. Destarte, o processo será pH-dependente e, por conseguinte, o sistema descrever-se-á pelo sistema de três equações diferenciais de balanço:
ε - a concentração de benzodiazepina na camada pré-superficial;
η - o grau de recobrimento do cátodo pela benzodiazepina;
h - a concentração de prótons na camada pré-superficial.
A fim de simplificar o modelo, evitando a aparição de equações diferenciais em derivadas parciais de segunda ordem, supomos que o eletrólito esteja agitando-se intensamente (destarte é possível menosprezar a influência do fluxo de convecção), que o eletrólito de suporte esteja em excesso (o que possibilita o menosprezo das influências do fluxo de migração). Também é suposto que o perfil concentracional das substâncias seja lineal e a espessura da camada constante e igual a δ.
A benzodiazepina entra na camada pré-superficial por meio da sua difusão e, também, por meio da dessorção. Sai da camada por meio da adsorção. Por conseguinte, a equação de balanço da sua concentração na camada descrever-se-á como:
em que é o Δ coeficiente de difusão do composto heterocíclico, ε0 , a sua concentração no interior da solução, ρt e ρ-t são velocidades de adsorção e de dessorção do fármaco.
A benzodiazepina entra na superfície por meio da sua adsorção e sai dela por meio da dessorção. Ela também desaparece por meio da eletrorredução. Assim sendo, a sua equação de balanço será descrita como:
Em que Ψ é a concentração superficial máxima de benzodiazepina e p2, a velocidade da sua eletrorredução.
Os prótons entram na camada pré-superficial por meio da sua difusão e saem de lá não só por meio da eletrorredução, mas também por meio da dita "evolução de hidrogênio":
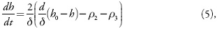
Posto assim, a sua equação de balanço ver-se-á descrita como:
em que dé o coeficiente de difusão dos prótons e p3, a velocidade da "evolução de hidrogênio".
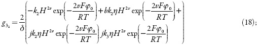
As velocidades das respectivas reações podem calcular-se como (6-9), em que as velocidades dos respectivos processos obterão os valores de:
Sendo os parâmetros k as constantes das respectivas reações, b é o parâmetro de interação das partículas da benzodiazepina na superfície, v o número das ligações de Schiff na benzodiazepina concreta (usualmente, igual a 1, ou 2, raramente 3), F é o número de Faraday, φ0 é o salto do potencial, R é a constante universal de gases e Té a temperatura absoluta do sistema.
Apesar de o modelo ter aparência comum para um processo de eletrorredução de um composto orgânico em meio ácido. No entanto, haja vista as influências importantes da dita "evolução do hidrogênio", bem como as outras peculiaridades da molécula do composto heterocíclico de sete membros, o modelo apresentará algumas diferenças. Outrossim, a sua análise permitir-nos-á fazer algumas observações, que se discutirão abaixo.
Resultados e Discussão
Para investigar o comportamento eletroquímico catódico das benzodiazepinas em meio fortemente ácido, investigamos o conjunto de equações diferenciais (2), (3) e (5), haja vista as relações algébricas (6-9), por meio da teoria de estabilidade linear. A matriz funcional de Jacobi, cujos elementos são calculados para o estado estacionário, descrever-se-á como:
Analisando os membros a11, a22 e a33 do jacobiano (11), (15), (15), vê-se que a instabilidade oscilatória, neste sistema, é possível, podendo ser causada pela interação de partículas adsorvidas de benzodiazepina (membro positivo b.ρ1 + b.ρ1 ), bem como pelas influências da eletrorredução na dupla camada elétrica (DCE) (membro positivo jρ2). Com isso, o comportamento deste sistema será correspondente ao dos sistemas do tipo [29 - 35].
A amplitude e a frequência das oscilações ficarão dependentes da concentração de prótons, haja vista que os prótons participam da eletrorredução de benzodiazepina. Quanto menor é o pH, maior é a amplitude das oscilações, e menor, a sua frequência. Outro fator que influencia a amplitude e a frequência das oscilações é o material do eletrodo usado (porque dele vai depender a força da interação entre partículas adsorvidas) e, também, o número das ligações de Schiff (além dos outros grupos redutores, como carbonila) na molécula da benzodiazepina concreta. São estes os principais fatores que definirão a forma do comportamento oscilatório e a imagem das oscilações.
Para investigar a estabilidade do estado estacionário, utilizamos o critério de Routh-Hurwitz. Introduzindo, com vistas à não inclusão de expressões grandes, as novas variáveis, de modo que o determinante de jacobiano se escreve como:
Abrindo-se os parênteses e aplicando-se a condição do critério Routh-Hurwitz Det J<0, obter-se-á o requisito de estabilidade do estado estacionário, sob a forma de:
O que pode ser transformado em:
Da inequação (22) vê-se que ela se satisfaz garantidamente, quando os parâmetros X, Ξ e Ψ das influências dos processos eletroquímicos na DCE têm valores positivos, e os parâmetros Π, Λ e Ψ, que descrevem o comportamento superficial, têm valores negativos. Isto ocorre, quando a interação das moléculas da benzodiazepina na superfície é repelente e quando a eletrorredução do fármaco não dá influências fortes na DCE. A zona do estado estacionário estável, correspondente ao trecho linear da curva parâmetro eletroquímico-concentração, deverá ser muito vasta e o processo reacional controlar-se-á pela difusão do fármaco e de prótons. Isto é correspondente aos casos dos sistemas análogos [29-35]. No entanto, é preciso fazer uma observação importante, exposta abaixo.
A diminuição do pH favorecerá a estabilidade do estado estacionário. Sem embargo, no caso dos valores muito baixos do potencial de hidrogênio, a eficiência eletroanalítica do estado estacionário estável desfar-se-á. Como a difusão dos prótons é mais rápida, eles ocuparão os sítios ativos do cátodo, o que impedirá a sua ocupação pelas moléculas do fármaco. Concluir-se-á, destarte, que, para o estado estacionário ser analiticamente eficiente, é preciso utilizar as soluções, cujo pH não deva ser muito alto (para não atrapalhar a eletrorredução do ponto de vista cinético), nem muito baixo (para que seja satisfeita a demanda de um número necessário de sítios ativos livres de redução do fármaco).
O problema, que sobrevém no caso do uso de pH baixo, resolver-se-á pela simples utilização de um cátodo, quimicamente modificado por um material, capaz de adsorver seletivamente a benzodiazepina, sem permitir a evolução de hidrogênio. Um dos exemplos de tal material pode ser cobre ou p-aminoacetanilida, utilizada em [35].
No caso da igualdade de influências estabilizadoras e desestabilizadoras, formar-se-á a instabilidade monotônica, correspondente à margem entre os estados estacionários estáveis e instáveis. A sua condição principal é:
Ela se releva sob a forma do trecho N-formado no voltamperograma estacionário do sistema, significando que para um valor do potencial do cátodo existem três valores da densidade da corrente, sendo cada valor correspondente a um dos estados estacionários instáveis, que existem no sistema neste ponto.
No caso da ausência da evolução de hidrogênio, que se dá, no caso da vigência dos fatores, descritos acima, a eficiência eletroanalítica do estado estacionário, no caso de uso das soluções com o pH baixo, aumentará. Neste caso, a equação (5) alterar-se-á e ver-se-á como:
e o comportamento do sistema aproximar-se-á do caso de [35].
Conclusões
Da análise do sistema com a eletrorredução de benzodiazepina em soluções ácidas, é possível concluir que:
- A estabilidade do estado estacionário, neste sistema, se mantém no caso da repulsão de partículas adsorvidas e da fraqueza das influências dos processos eletroquímicos na CDE. O processo reacional controlar-se-á pela difusão do fármaco e de prótons.
- A zona topológica da eficiência eletroanalítica de estabilidade do estado estacionário estável será menos vasta que a de estabilidade em geral, haja vista as influências da "evolução do hidrogênio". Destarte, para a melhor eficiência eletroanalítica, usam-se as soluções de pH de acidez média, ou os elétrodos quimicamente modificados por materiais que impeçam a "evolução de hidrogênio".
- O comportamento oscilatório, neste sistema, é causado por fatores superficiais e eletroquímicos. O aumento do pH leva ao aumento do "comprimento da onda" e, ao mesmo tempo, ao decrescimento da frequência das oscilações.
Conflito de interesses
Os autores declaram que não há conflito de interesses.
Referências
1. M. Gladis-Mondino, "Compostos Heterocíclicos. Estudo e Aplicações Sintéticas", Série "Ciência e Tecnologia", Editora Atheneu, São Paulo, 2014, 224 pág. [ Links ]
2. T. Mehdi, Benzodiazepines revisited, Brit. J. Med. Pract., 5, 501 (2012). [ Links ]
3. J.D. Jones, S. Mogali, S. Corner, Polydrug abuse: a review of opioid and benzodiazepine combination use, Drug. Alcohol. Depend., 125, 8 (2012). [ Links ]
4. J.R. Bostwick, M.I. Casher, S. Yasugi, Benzodiazepines: a versatile clinical tool, Curr. Psych., 11, 54 (2012). [ Links ]
5. B.G. Katzung, Sedative-hypnotic drugs, En: "Basic and clinical pharmacology", 8th edition, The McGraw Hill Companies, Inc, USA, 2001, pp. 364-381. [ Links ]
6. J. Guina, S.R. Rossetter, B.J. de Rhodes et al., Benzodiazepines for PTSD: A systematic review and meta-analysis, J. Psychiatr. Pract., 21, 281 (2015). [ Links ]
7. B. Moosmann, L.M. Huppertz, M. Hutter et al., Detection and identification of the designer benzodiazepine flubromazepam and preliminary data on its metabolism and pharmacokinetics, J. Mass. Spectrom., 48, 1150 (2013). [ Links ]
8. K.R. Mahantesha, B.E. Kumara Swamy, K. Vasantakumar Pai, Poly (alizarin) Modified glassy carbon electrode for the electrochemical investigation of omeprazole: A voltammetric study, Anal. Bioanal. Electrochem., 6, 234 (2014). [ Links ]
9. Md. M. Rahman, X.-B. Li, N.S. Lopa et al., Electrochemical DNA hybridization sensors based on conducting polymers, Sensors, 15, 3801 (2015). [ Links ]
10. H. Beitollahi, H. Karimi-Maleh, I. Sheikhoae, Simultaneous voltammetric determination of ascorbic acid and uric acid using a modified multiwalled carbon nanotube paste electrode, Casp. J. Chem., 1, 17 (2012). [ Links ]
11. L.H. de Oliveira, A.C. Dias-Souza, L. Pizzuti et al., Determinação voltamétrica do antioxidante galato de propila em biodiesel empregando eletrodos de pasta de carbono modificados com líquido iónico, Orbital Elec. J. Chem., 6, 255 (2014). [ Links ]
12. J.B. Raoof, A. Kiani, R. Ojani, R. Valliolahi, Electrochemical determination of dopamine using banana-MWCNTs modified carbon paste electrode, Anal. Bioanal. Electrochem., 3, 59 (2011). [ Links ]
13. S.C.B. Oliveira, C.H.S. Mendes, F.F.S. Filho et al., Electrochemical oxidation mechanism of procarbazine at glassy carbon electrode, J. Electroanal. Chem., 746, 51 (2015). [ Links ]
14. S.Z. Mohammadi, H. Beitollahi, E.B. Asadi, Electrochemical determination of hydrazine using a ZrO2 nanoparticles-modified carbon paste electrode, Environ. Monit. Assess, 287, 122 (2015). [ Links ]
15. K.C. Honeychurch, J.P. Hart, Electrochemical detection of benzodiazepines, following liquid chromatography, for applications in pharmaceutical, biomedical and forensic investigations, Insciences J., 4, 1 (2014). [ Links ]
16. J.B. Lloyd, D.A. Parry, Detection and determination of common benzodiazepines and their metabolites in blood samples of forensic science interest. Micro-column cleanup and high-performance liquid chromatography with reductive electrochemical detection at a pendent mercury drop electrode, J. Chromatogr., 449, 281 (1988). [ Links ]
17. M.R. Ghanjali, H. Haji-Hashemi, F. Faridbod et al., Potentiometric determination of alprazolam based on carbon paste and PVC membrane electrodes, Int. J. Electrochem. Sci, 7, 1470 (2012). [ Links ]
18. L.J. Núñez-Vergara, S. Bollo, C. Olea-Azar et al., Cyclic voltammetric and EPR spectroscopic studies of benzodiazepines: loprazolam and flunitrazepam, J. Electroanal. Chem, 436, 227 (1997). [ Links ]
19. M.E. Lozano-Chávez, J.M. Palacios-Santander, L.M. Cubillana-Aguilera et al., Modified carbon-paste electrodes as sensors for the determination of 1,4-benzodiazepines: application to the determination of diazepam and oxazepam in biological fluids, Sens. Act. B. Chem, 115, 575 (2006). [ Links ]
20. M.N. Uddin, V.F. Samanidou, I.N. Papadoyannis, An overview on total analytical methods for the detection of 1,4-benzodiazepines, Pharm. Anal. Acta, 5, 303 (2014). [ Links ]
21. M. Pagitsas, D. Sazou, The improved Franck-FitzHugh model for the electrodissolution of iron in sulphuric acid solutions: linear stability and bifurcation analysis. Derivation of the kinetic equations for the forced Franck-FitzHugh model, Electrochimica Acta, 36, 1301 (1991). [ Links ]
22. A.J. Pearlstein, J.A. Johnson, Global and conditional stability of the steady and periodic solutions of the Franck-Fitz-Hugh model of electrodissolution of Fe in H2SO4, J. Electrochem. Soc, 136, 1290 (1989). [ Links ]
23. I. Das, N.R. Agrawal, S.A. Ansari, S.K. Gupta, Pattern formation and oscillatory electropolymerization of thiophene, Ind. J. Chem., 47, 1798 (2008). [ Links ]
24. S.U. Rahman, M.S. Ba-Shammakh, Thermal effects on the process of electropolymerization of pyrrole on mild steel, Synth. Met, 140, 207 (2004). [ Links ]
25. A.S. Liu, M.A.S. Oliveira, Electrodeposition of polypyrrole films on aluminum from tartrate aqueous solution, J. Braz. Chem Soc, 18, 143 (2007). [ Links ]
26. D. Sazou, The dynamical behavior of the electrochemical polymerization of indole on Fe in acetonitrile-water mixtures, Synth. Met., 130, 45 (2002). [ Links ]
27. I. Das, N. Goel, N.R. Agrawal, S.K. Gupta, Growth patterns of dendrimers and electric potential oscillations during electropolymerization of pyrrole using mono- and mixed surfactants, J. Phys. Chem., 114, 12888 (2010). [ Links ]
28. M. Bazzaoui, E.A. Bazzaoui, L. Martins, J.I. Martins, Electropolymerization of pyrrole on zinc-lead-silver alloys electrodes in acidic and neutral organic media, Synth. Met, 130, 73 (2002). [ Links ]
29. V. Tkach, V. Nechyporuk, P. Yagodynets´, The mathematical stability study of the work of isomerization sensors, based on conduction polymers, Anal. Bioanal. Electrochem, 6, 273 (2014). [ Links ]
30. V. Tkach, B. Kumara-Swamy, R. Ojani et al., El mecanismo de la oxidación de omeprazol sobre el electrodo de carbono vitroso, modificado por polializarina, y su descripción matemática, Orbital Elec. J. Chem, 7, 1 (2015). [ Links ]
31. V. Tkach, B. Kumara Swamy, R. Ojani et al., O comportamento de paracetamol durante a sua oxidação eletrocatalítica sobre poli(azul da anilina) e a sua descrição matemática, Rev. Colomb. Cienc. Quím. Farm., 44, 148 (2015). [ Links ]
32. V. Tkach, G. Maia, S.C. de Oliveira et al., O estudo de estabilidade do Estado Estacionário no desempenho do sensor seletivo dos íons de metais transitivos, baseado em polipirrol, dopado pelo ácido 5-sulfosalicílico, Quím. Mater, 4, 5 (2014). [ Links ]
33. V. Tkach, V. Nechyporuk, P. Yagodynets´, A investigação matemática do desempenho de biossensores eletroquímicos enzimáticos, baseados nos polímeros condutores, Rev. Colomb. Cienc. Quím. Farm, 41, 203 (2012). [ Links ]
34. V. Tkach, S.C. de Oliveira, O.I. Aksimentyeva et al., The mathematical description for the hydrazine detection by Michael reaction with naphtholaminosul-phonic acids, Anal. Bioanal. Electrochem., 7, 293 (2015). [ Links ]
35. V. Tkach, R. Ojani, V. Nechyporuk, P. Yagodynets´, O estudo matemático do desempenho do sensor eletroquímico de nitrito, baseado em poli(p-aminoacetanilida), Rev. Fac. Ing. UCV, 30, 65 (2015). [ Links ]
Como citar este artigo
V. Tkach, S.C. de Oliveira, R. Ojani, O. Yelenich, P.I. Yagodynets´, A eletrorredução de benzodiazepinas e a sua avaliação matemática, Rev. Colomb. Cienc. Quím. Farm., 45(3), 362-373 (2016).


































