INTRODUÇÃO
As insubosinas A, B e C é um grupo de alcaloides acridínicos, recentemente isolados de Streptomyces sp. IFM11440. [1]. Este composto contém fragmento da acridina com um grupo hidroximetila na posição 2 do anel e as hidroxilas nas posições 3, 4, ou em ambas (figura 1).
A insubosina B, possuindo a hidroxila na posição 4 mostrou uma atividade potente promotora de Ngn2-receptores. Essa atividade foi dependente de dose. Outrossim, o composto foi mais ativo que a baicalina, enquanto as insubosinas A e C, com a hidroxila na posição 5, não mostraram atividade significante [2, 3]. Sem embargo, a sua atividade biológica em outros aspectos não pode ser descartada. Geralmente, as acridinas possuem atividades anti-inflamatória [4, 5], anticancerígena [6], antimicrobiana [7], antitubercular [8, 9], antiparasitária [10-12], entre outras. No entretanto, quando em excesso, os derivados acridínicos podem possuir efeitos tóxicos, incluindo o mutagênico e o teratogênico [13, 14]. Destarte, o desenvolvimento de um método de determinação eficiente do grupo insubosina é, deveras, uma tarefa atual.
Por ora, não há nenhum trabalho experimental acerca da determinação quantitativa do grupo insubosina, envolvendo métodos químicos ou eletroquímicos, à exceção de alguns trabalhos teóricos do nosso grupo [15, 16]. No entretanto, da sua composição química poder-se-ia julgar que os compostos deste grupo podem ser eletroquimicamente ativos. Outrossim, avaliar-se-ia a possibilidade de um processo eletroanalítico, baseado no elétrodo, modificado por um dos compostos triazólicos, descritos em [17, 18], com o possível uso de um dihalogenoderivado como composto de ligação.
Por outro lado, o desenvolvimento de novos processos eletroanalíticos requer a investigação teórica a priori do comportamento do sistema. Esta investigação permite resolver problemas como:
- A incerteza acerca de alguns detalhes do processo eletroanalítico (como se faz em condições concretas a eletrorredução, quais são os modificadores, que se poderiam usar lá).
- A possibilidade de aparição de instabilidades, características para a eletrooxidação de compostos orgânicos, inclusive a eletropolimerização [19-21].
Destarte, o objetivo geral deste trabalho é avaliar o desempenho da detecção eletroquímica das insubosinas por via de uma determinação anódica sobre os derivados triazólicos, usando um composto de ligação. Outrossim, o comportamento deste sistema comparar-se-á com o dos semelhantes [15, 16].
O SISTEMA E O SEU MODELO
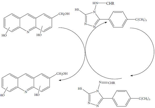
No caso do processo mais simples, a determinação das insubosinas far-se-á pela transferência dos dois prótons e dois elétrons através do sistema conjugado do derivado triazólico (figura 2)
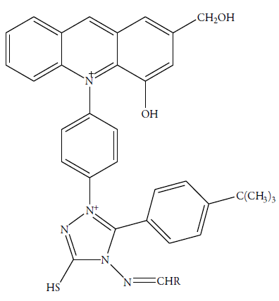
Ao ser usado um composto de ligação, a imobilização da insubosibna far-se-á pelo nitrogênio piridínico do anel da acridina, sendo ele ligado com o do triazol, conforme a figura 3.
Considerando que o derivado triazólico faz parte de um compósito polimérico condutor, introduzimos as três variáveis:
c: a concentração da insubosina na camada pré-superficial.
/: a concentração do composto de ligação na camada pré-superficial.
θ: o grau de recobrimento da superfície pelo polímero modificado.
Para simplificar a modelagem, supomos que o reator esteja agitando-se intensamente, o que nos deixa menosprezar o fluxo de convecção e as suas influências. Outrossim, supomos que o eletrólito de suporte esteja em excesso, o que nos permite menosprezar o fluxo de migração e as suas influências. Além disso, supomos que o perfil da distribuição de concentrações das substâncias na camada pré-superficial seja lineal, e a espessura da camada, estável, igual a δ.
É possível mostrar que o comportamento do sistema pode ser descrito pelo conjunto de equações diferenciais a seguir:
Em que Δ e D são coeficientes de difusão do analito e do composto de ligação, c 0 e l 0 são as suas concentrações no interior da solução, r d é a velocidade da oxidação direta, r, a velocidade da oxidação pelo composto da ligação, r lat é a velocidade da reação lateral. As velocidades das respectivas reações podem ser calculadas conforme:
Sendo os parâmetros k as constantes das respectivas reações, a o parâmetro que descreve a influência do processo da formação de novos compostos iónicos na dupla camada elétrica (DCE), Fé o número de Faraday, φ 0 é o salto do potencial, relativo ao potencial da carga zero, R é a constante universal de gases, T é a temperatura absoluta do vaso.
Em se tratando da questão comportamental, trata-se de um sistema interessante, cujo comportamento parece ser mais dinâmico que em [15-16], o que será discutido abaixo.
RESULTADOS E DISCUSSÃO
Para investigar o comportamento do sistema com a determinação eletroanalítica da insubosina, analisamos o conjunto de equações diferenciais (1), havendo vista as relações algébricas (2-5), mediante a teoria de estabilidade linear. Os elementos estacionários da matriz funcional de Jacobi podem ser descritos como:
em que:
Observando as equações 7, 11 e 14, observamos que os elementos da diagonal principal da matriz contêm os elementos positivos, que são correspondentes à positiva conexão de retorno. Destarte, o comportamento oscilatório, neste caso, é possível. Outrossim, graças à presença da influência da reação de ligação na DCE, ela é mais provável que em casos mais simples da determinação eletroquímica assistida.
Além do elemento - jk
ox
θexp
> 0, que descreve as influências desestabilizadoras do rearranjo da composição da camada pré-superficial, outro elemento positivo é o αk
l
cl (1 - θ)exp(-αθ)> 0, que descreve as influências na mesma camada da formação das novas formulações iônicas. As oscilações, neste caso, se esperam frequentes e de pequena amplitude.
Para investigar a estabilidade do estado estacionário, aplicamos ao conjunto de equações diferenciais 1 o critério de Routh-Hurwitz. Evitando as expressões grandes, introduzimos as novas variáveis, de modo que o determinante se descreve como:
Abrindo os parênteses e aplicando a condição Det J<0, saliente do critério, nós obtemos o requisito de estabilidade, descrito como:
E esta equação é típica para processos eletroanalíticos, controlados pela difusão, tanto de analito, como do composto de ligação.
Neste sistema, o estado estacionário é fácil de estabelecer, mas a eficiência eletroanalítica, neste caso, é condicionada à concentração do composto de ligação, cujo excesso pode levar a reação lateral a acelerar-se. Satisfeito este requisito, o estado estacionário estável é correspondente à instabilidade monotônica, correspondente ao limite de detecção do ponto de vista eletroanalítico, também é possível para este sistema, e as suas condições descrevem-se como:
O papel do composto de ligação pode ser realizado por qualquer substância que contém dois grupos, capazes de reagir com nitrogênio piridínico. Formam-se, destarte, os dois sais. A formação do complexo como composto de ligação também é possível e descrever-se-á num dos nossos próximos trabalhos.
CONCLUSÕES
Da avaliação teórica do desempenho dos triazóis durante a determinação eletroanalítica do grupo das insubosinas pode-se concluir que:
- Não obstante a maior possibilidade das instabilidades oscilatória e monotônica, o sistema eletroanalítico pode ser oficiente, desde que o composto de ligação não esteja em excesso.
- O processo eletroanalítico, neste caso, é controlado pela difusão tanto do analito, como do composto de ligação.
- Haja vista as influências da formação de novos íons durante a reação do composto de ligação na estrutura da dupla camada elétrica, o comportamento oscilatório neste sistema é mais provável que nos semelhantes.
























