INTRODUÇÃO
Zinco é um dos microelementos, que, em concentrações mínimas, é necessário para a manutenção da homeostase [1, 2]. Os compostos de zinco são usados durante a ativação do sistema protetor do organismo contra várias doenças. A falta de zinco no organismo pode provocar deficiência no crescimento, diarreia em crianças e lentidão no fechamento de cicatrizes [3, 4].
Na medicina oftálmica, o zinco é utilizado no tratamento de degeneração macular, da cegueira noturna, durante a "síndrome de olho digital" e para a prevenção de cataratas [5, 6]. Outros usos farmacologicos incluem a prevenção da doença de Alzheimer, aliviação da síndrome de hiperatividade e falta de atenção [7, 8]. Nada obstante, o zinco, como qualquer outro metal pesado e, ainda por cima, pertencente ao mesmo grupo do cádmio e do mercúrio, forma compostos, que soem ser altamente tóxicos no organismo humano [9, 10]. A toxicidade de zinco pode levar, predominantemente, à insuficiência renal. Outrossim, a mudança da composição de lipoproteínas e a redução da concentração de compostos cúpricos também podem ser observadas. Destarte, o desenvolvimento de um método, capaz de determinar as concentrações de zinco em diferentes meios, é, deveras, uma tarefa atual, e os métodos eletroanalíticos, envolvento a determinação direta e indireta, providenciar-lhe-iam uma boa solução [11-15].
Vários métodos da determinação de zinco, baseados na formação de complexos, têm sido desenvolvidos [16-20]. Além disso, os complexos de zinco podem ser usados como monômeros em polímeros condutores, o que faz possível reunir, num só process, os fins eletroanalíticos com os eletrossintéticos.
Não obstante, para o desenvolvimento prático de um processo eletroanalítico, é preciso realizar, a priori, uma investigação teórica comportamental do sistema, com a análise do modelo matemático correspondente. Esta análise dar-nos-á resposta a perguntas, que surgem da indecisão acerca do mecanismo mais provável do desempenho eletroanalítico do sistema, da possibilidade das instabilidades eletroquímicas, que não necessariamente estão aquém do atual desiderato da eficiência eletroanalítica [21-24] e, outrossim, da mera comparação entre este processo eletroanalítico e os já descritos [25, 26].
Destarte, o objetivo geral do nosso trabalho é avaliar, do ponto de vista teórico o processo da detecção eletroanalítica de zinco por um ânodo, modificado por uma base de Schiff com a subsequente eletropolimerização do complexo resultante. A sua realização far-se-á mediante o desenvolvimento e a análise comportamental de estabilidade do modelo matemático, correspondente ao sistema. Ademais, comparar-se-ão este sistema e os análogos, com ênfase às diferenças mecanísticas e do desempenho [25, 26]. Neste trabalho avalia-se o comportamento durante as medidas potenciométricas no modo galvanostático.
O SISTEMA E SEU MODELO
Reagindo com as bases de Schiff, descritas em [27, 28], o zinco forma o complexo, conforme a figura 1:
Noutras condições, a formação do complexo realizar-se-á, também, pelos grupos -SH. Haja vista o efeito doador de elétrons dos íons Zn2+, o complexo sói polimerizar-se a potenciais inferiores aos característicos para os triazóis e outros compostos análogos. Isso é especialmente relevante, em se tratando do modo galvanostático, em que o potencial do ânodo depende da intensidade da reação eletroquímica e do valor escolhido da densidade da corrente.
Assim, sendo, para descrever o desempenho do sistema eletroanalítico, nós introduzimos as três variáveis:
z: a concentração dos íons de zinco na camada pré-superficial.
∂: o grau de recobrimento do complexo de zinco com a base de Schiff na sua forma monomérica.
q:a carga do elétrodo.
Para simplificar a modelagem, supomos que o reator esteja agitando-se intensamente, o que nos deixa menosprezar o fluxo de convecção e as suas influências. Outrossim, supomos que o eletrólito de suporte esteja em excesso, o que nos permite menosprezar o fluxo de migração e as suas influências. Além disso, supomos que o perfil da distribuição de concentrações das substâncias na camada pré-superficial seja lineal, e a espessura da camada, estável, igual a δ.
É possível mostrar que o comportamento do sistema pode ser descrito pelo conjunto de equações diferenciais a seguir:
em que z0 é a concentração dos íons de zinco na camada pré-superficial, r c e r p são as velocidades da complexação e da polimerização, G é a concentração superficial máxima do complexo no ânodo, i é a corrente de entrada e i F , a corrente de Faraday.
As velocidades dos respectivos processos e a corrente de Faraday podem ser calculadas conforme:
em que os parâmetros k são as constantes de velocidade das respectivas reações, n é o número de unidades monoméricas no polímero complexo, y é uma variável, que descreve as influências entre a capacitância da dupla camada elétrica (DCE) e o grau de recobrimento da superfície pelo monômero complexo, F é o número de Faraday, R é a constante universal de gases e T, a temperatura absoluta.
O comportamento do sistema no modo potenciostático é mais dinâmico que no modo galvanostático, o que será descrito abaixo.
RESULTADOS E DISCUSSÃO
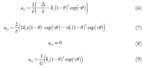
Para investigar o comportamento do sistema com a determinação eletroquímica de zinco no modo galvanostático no ânodo, modificado por uma base de Schiff, com a eletropolimerização subsequente do complexo resultante, investigamos o conjunto de equações diferenciais (1), mediante a teoria de estabilidade linear. Os elementos estacionários do Jacobiano expor-se-ão conforme:
em que:
Observando as equações (6), (10) e (14), observamos que os elementos da diagonal principal da matriz contêm os elementos positivos, que descrevem apositiva conexão de retorno. Destarte, o comportamento oscilatório, neste caso, é possível. Otrossim, graças à presença da influência da reação de ligação na DCE, ela é mais provável que em casos mais simples da determinação eletroquímica assistida. Além disso, no modo galvanostático, essas influências podem também influenciar a carga do elétrodo.
Além do elemento
que descreve as influências desestabilizadoras do rearranjo da composição da camada pré-superficial, outro elemento positivo é o αk
l
cl (1 - θ)exp(-αθ)> 0, que descreve as influências na mesma camada da formação das novas formulações iônicas. Outro elemento, que pode ser positivo,
. As oscilações, neste caso, se esperam frequentes e de pequena amplitude.
Para investigar a estabilidade do estado estacionário, aplicamos ao conjunto de equações diferenciais (1) o critério de Routh-Hurwitz. Evitando as expressões grandes, introduzimos as novas variáveis, de modo que o determinante se descreve como:
Que, aplicada a condição Det J<0, saliente do critério, será reescrita, conforme:
E esta condição é correspondente a um processo eficiente do ponto de vista eletroanalítico, capaz de ser controlado, de igual maneira, pela difusão ou pela reação. Mas, visto que a formação de complexo é um processo relativamente rápido nas condições da análise, ser-nos-á possível concluir que o processo eletroanalítico será controlado pela difusão dos cátions de zinco.
A sua satisfação é correspondente à dependência linear entre a concentração dos íons de zinco e o potencial do ânodo e realiza-se com certeza, desde que os parâmetros II2 e M, que incluem as influências das etapas química e eletroquímica do processo na DCE e na carga de elétrodo, tenham valores positivos, isto é, as influências se enfraqueçam.
A instabilidade monotônica, correspondente ao limite de detecção do ponto de vista eletroanalítico, também é possível para este sistema, e as suas condições descrevem-se como:
No caso da formação de dois tipos de complexo, de fato, ocorre a copolimerização deles dois, o que faz o comportamento do sistema ainda mais dinâmico. Este fenômeno, em que o comportamento oscilatório é ainda mais frequente, será descrito num dos nossos próximos trabalhos.
CONCLUSÕES
Da simulação teórica da determinação de zinco em fármacos oftálmicos no elétrodo, modificado por uma base de Schiff, junto com a eletropolimerização do composto resultante, é possível concluir que:
- A base de Schiff é um modificador eficiente de elétrodo durante a quantificação de zinco em fármacos oftálmicos. O estado estacionário no Sistema é fácil de obter e manter.
- O processo eletroanalítico no modo galvanostático é controlado pela difusão.
- O comportamento oscilatório, no modo galvanostático, é mais provável que no potenciostático, podendo, além das influências das reações químicas e eletroquímicas na DCE, ser causado, também, pela eletropolimerização do complexo na carga do elétrodo.























