INTRODUÇÃO
A olanzapina (2-metil-4-(4-metil-1-piperazinil)-10H-tieno[2,3-b][1-5]benzodia-zepina, CAS: 132539-06-1, figura 1) é um dos fármacos antipsicóticos benzodiazepínicos mais usados no mundo [1-4]. O seu mecanismo de ação é bastante parecido com o da clozapina. Desta maneira, ele é usado com frequência no tratamento de esquizofrenia, síndrome bipolar e outras doenças do gênero. No entretanto, como qualquer fármaco benzodiazepínico, a olanzapina tem efeitos colaterais como apatia, sonolência, aumento de peso, distúrbios de funções sexuais. Destarte, o desenvolvimento de um método, capaz de detectar a concentração da olanzapina é muito atual [5-8].
Como as benzodiazepinas são electroquímicamente ativas [9-12], a olanzapina também pode ser detectada por meio de um processo eletroquímico. Outrossim, a presença de um sistema conjugado mais comprido faz com que a olanzapina possa ser detectada tanto no cátodo como no ânodo. No último caso, o oxihidróxido de cobalto [13-16] seria um modificador bastante interessante. Sendo um semicondutor do tipo p, o oxihidróxido de cobalto é visto por parte dos pesquisadores como alternativa ao dióxido de titânio com um comportamento eletroquímico bastante flexível. Tendo o cobalto no estado de oxidação +3, o oxihidróxido de cobalto pode ser tanto oxidante como redutor. No último caso, usa-se o par oxirredutivo CoO(OH)-CoO2.
A estabilização do oxihidróxido de cobalto dar-se-á pela introdução de um material estabilizador como polímero condutor ou corante esquaraínico. Destarte, obter-se-á um material orgânico-inorgânico híbrido, em que cada componente assume as próprias funções no processo eletroanalítico.
No entretanto, o seu uso poderia acarretar uma influência comportamental, nociva à estabilidade do sistema e à sua eficiência eletroanalítica [17,18]. Destarte, o uso prático deste sistema eletroanalítico não pode ser realizado sem uma descrição teórica prévia do comportamento do sistema, o que se faz neste trabalho.
Assim, neste trabalho, pela primeira vez, faz-se uma análise comportamental do sistema eletroanalítico da detecção eletroquímica do fármaco olanzapina sobre o oxihidróxido de cobalto, emparelhado com o dióxido de cobalto (IV), estabilizado pelo corante esquaraínico. A análise comportamental do sistema eletroanalítico faz-se mediante o desenvolvimento e a análise do modelo correspondente. Com isto também se faz a comparação do comportamento do sistema eletroanalítico com o dos semelhantes [19-21].
O SISTEMA E O SEU MODELO
Esquematicamente, o processo eletroanalítico da detecção eletroquímica da olanzapina, assistida pelo par CoO(OH)-CoO2 pode ser exposto conforme na figura 2.

Figura 2 A representação esquemática da detecção eletroquímica da olanzapina sobre o par CoO(OH)-CoO2.
O corante esquaraínico, presente no sistema, desempenha o papel de estabilização de nanopartículas de ambas as formas de cobalto, bem como o de mediador da transferência de elétrons.
A Figura 2 mostra que dois cenários de oxidação do fármaco são possíveis para o caso. Além da eletropolimerização indireta da molécula da benzodiazepina condensada, em que todo o sistema conjugado aromático participa, existe, também, a possibilidade da oxidação do fármaco pelo átomo do enxofre, rendendo os derivados orgânicos do enxofre tetra-(sulfóxidos) ou hexavalente (sulfonas). Posto que estes derivados contenham um grupo aceitador forte de elétrons dentro do ciclo e, destarte, sejam mais passivos no processo da polimerização, intervêm nela, principalmente nos processos de transferência e interrupção dos centros de crescimento.
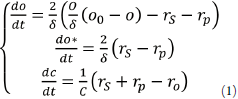
Assim, para descrever o comportamento do sistema com a detecção eletroanalítica da olanzapina, assistida pelo par CoO(OH)-CoO2, ser-nos-á necessário usar o conjunto de equações diferenciais de balanço na base das três variáveis:
o: concentração da olanzapina na camada presuperficial.
o *: concentração do sulfóxido da olanzapina na camada presuperficial.
c: o grau de recobrimento da superfície pelo oxihidróxido de cobalto.
Para simplificar a modelagem, supomos que o reator esteja sob agitação intensa (destarte, podemos menosprezar o fluxo de convecção), que o eletrólito de suporte esteja em excesso (destarte, podemos menosprezar o fluxo de migração). Outrossim, supomos que o perfil concentracional das substâncias na camada présuperficial seja lineal, e a sua espessura, constante, igual a δ.
Diante do exposto, o comportamento do sistema será descrito por um conjunto de equações diferenciais (1), conforme:
em que O é coeficiente de difusão da olanzapina, o0 é a sua concentração no interior da solução, C é a concentração superficial máxima do oxihidróxido de cobalto, e r S , r p e r o são, correspondentemente, as velocidades da S-oxidação, polimerização da olanzapina e oxidação do oxihidróxido do cobalto, que se podem calcular conforme:
Sendo os parâmetros k as constantes das velocidades das respectivas reacções, F é o número de Faraday, é um parâmetro, que descreve a influência da aparição e desaparição de compostos iónicos na dupla camada eléctrica durante a etapa química na capacitância desta camada, é salto do potencial, relativo ao potencial de carga zero, R é a constante universal de gases e T é a temperatura absoluta do reator.
Como se vê, em relação ao caso mais simples e mais geral, este aparece mais complicado, haja vista a hibridez do processo eletroanalítico e formação e descomposição dos compostos iônicos. Sem embargo, o processo eletroanalítico mesmo assim segue sendo eficiente, conforme exposto abaixo.
RESULTADOS E DISCUSSÃO
A fim de investigar o comportamento do sistema com a determinação eletroanalítica da olanzapina, assistida pelo par CoO(OH)-CoO2, analisamos o conjunto de equações diferenciais (1), haja vista, também, as relações algébricas (2-4), mediante a teoria de estabilidade linear. Os elementos estacionários da matriz jacobiana para este sistema expõem-se segundo:
em que:
Observando os elementos (6), (10) e (14), podemos concluir que, neste sistema, o realizarem-se as oscilações eletroquímicas é mais provável que nos casos mais gerais [19-21]. Para a condição principal da instabilidade oscilatória (bifurcação de Hopf) ser satisfeita, é preciso haver, na diagonal principal da matriz, elementos positivos, correspondentes à positiva conexão de retorno.
Não havendo, neste sistema, etapas autocatalíticas, o comportamento oscilatório é causado pelos câmbios cíclicos da força iônica e, por conseguinte, a capacitância da dupla camada elétrica (DCE) não só durante as etapas eletroquímicas, mas também durante as químicas, já que, na olanzapina, o núcleo tiofênico é condensado com um na él diazepínico, e este, ligado com uma piperazina, ambas com propriedades expressamente básicas. Estes câmbios são representados pela positividade dos elementos, e.
Quanto às oscilações, elas se esperam frequentes e da amplitude, fortemente dependente da natureza do eletrólito de suporte. Num sal de ânion ou cátion orgânico, ou num líquido iônico, a amplitude vai ser maior, e num sal inorgânico, menor. Este efeito já foi observado experimentalmente durante a polimerização do tiofeno em [19]. De qualquer maneira, essas instabilidades só se realizam quando as influências supracitadas estão bastante intensas, o que se dá nos valores, afastados do limite de detecção.
Para investigar a instabilidade do estado estacionario, aplicamos ao conjunto de equações diferenciais (1) o critério Routh-Hurwitz. Para simplificar a análise do determinante, introduzimos as novas variáveis, de modo que se descreva o determinante segundo (15):
que, havendo vista as propriedades do determinante, se reescreverá conforme (16):
o rearranjo da expressão (16), por sua vez, fá-la-á descrita por uma forma ainda mais simples (17):
Abrindo os parênteses retos e aplicando o requisito Det J<0, saliente do critério, obtemos a condição de estabilidade do estado estacionário no sistema, exposta conforme (18):
descrevendo um sistema eletroanalítico, controlado pelo difusão do analito. O requisito (18) se satisfaz de forma garantida, mantendo-se negativos os valores dos parâmetros cinéticos Ω, Be Z, isto é, não sendo as influências das reações na força iónica da dupla camada elétrica assaz intensos para desestabilizar o comportamento do sistema. Assim, a satisfação do requisito (18) se dá numa região topológica vasta, confirmando que o oxihidróxido de cobalto, no seu compósito com o corante esquaraínico, pode ser um modificador eficiente de elétrodo para a detecção eletroanalítica do fármaco olanzapina.
Não havendo, neste processo, reações laterais, capazes de comprometer a estabilidade do analito e(ou) do modificador, a estabilidade do estado estacionário será correspondente à dependência linear entre a concentração do fármaco e o parâmetro eletroquímico (corrente). Assim, o sistema eletroanalítico se considerará eletroanaliticamente eficiente.
O limite de detecção é correspondente à instabilidade monotônica, cuja realização delimita os estados estacionários estáveis dos instáveis. A condição da sua realização pode ser descrita conforme:
Se, em vez da olanzapina, se usar um composto sem enxofre tiólico ou outro grupo capaz de ter um mecanismo paralelo de oxidação, r s =0, e a variável o* se elimina do conjunto de equações diferenciais (1), tornando-o bivariante. O comportamento do sistema, assim, descrever-se-á conforme [20-21].
CONCLUSÕES
A análise teórica do processo eletroanalítico da detecção da olanzapina, assistida pelo par CoO(OH)-CoO2, estabilizado por um corante esquaraínico, deixou concluir que:
- Se trata de um processo eletroanalítico eficiente, em que o composto de cobalto funciona como substância ativa, e o corante desempenha o papel de mediador.
- O processo eletroanalítico é controlado pela difusão da olanzapina.
- A realização do comportamento oscilatório é mas provável que no caso mais simples e comum, haja vista os câmbios cíclicos da força iónica da dupla camada elétrica.
- As oscilações se manifestam de maneira diferente a depender da natureza do eletrólito de suporte, sendo mais clara a sua aparência num líquido iônico ou num sal orgânico que num sal inorgânico.
- Não havendo mecanismos paralelos de oxidação, o modelo matemático, que descreve o processo, simplificar-se-á e corresponder-se-á ao caso mais simples.
























