INTRODUÇÃO
Glioxal [1-4] é o dialdeído mais simples, frequentemente usado pela indústria farmacêutica e a cosmética para a produção de fármacos, aditivos alimentares, pomadas, cremes, batons, chicletes. A sua fórmula é representada na figura 1.
O glioxal industrial pode ser obtido de diferentes maneiras, incluindo a oxidação de etilenglicol [5], acetileno (em condições bastante específicas) [6] e de acetaldeído pelo íon selenito, segundo a equação 1 [7].
O último processo é usado em laboratório e na produção do glioxal em pequena escala. Posto que tenha um rendimento bastante alto, o seu uso em grande escala é impedido pela utilização dos compostos de selênio, que são altamente tóxicos. Este problema poder-se-ia resolver pelo desenvolvimento de um processo eletroquímico, baseado na reação 1. Neste processo, o íon selenito hospedar-se-ia numa matriz carbônica ou polimérica condutora, como em [8-10], realizando a oxidação do acetaldeído conforme a reação 1 e, ulteriormente, viria a ser regenerado conforme a reação 2.
No entretanto, antes de ser realizado na prática, o processo eletrocatalítico industrial deve ser avaliado do ponto de vista teórico. Este tipo de análise, além de providenciar a previsão acerca da estabilidade e eficiência do estado estacionário, as condições para aparição das instabilidades, típicas para a eletrooxidação de moléculas orgânicas pequenas [11-18], incluindo a eletropolimerização, deixa comparar o comportamento do sistema com os semelhantes sem ensaios experimentais.
Destarte, o objetivo geral deste trabalho é avaliar mecanística e teoricamente o processo da conversão eletrocatalítica do acetaldeído em glioxal, assistida por um polímero, dopado pelo íon selenito. Para alcançar este objectivo, dever-se-á atingir os objectivos específicos como:
Sugerir o mecanismo mais provável das sequências de reações, que compõem o processo.
Desenvolver um modelo matemático, baseado neste mecanismo e capaz de descrever adequadamente o comportamento do sistema eletrocatalítico.
Analisar o modelo e definir os requisitos de estabilidade do estado estacionário, bem como os das instabilidades oscilatória e monotônica.
Comparar o comportamento do sistema com o dos semelhantes [19-21].
O SISTEMA E O SEU MODELO
Esquematicamente, o sistema eletrocatalítico, composto das reacções 1 e 2 pode ser representado conforme na figura 2:
Destarte, o comportamento do sistema eletrocatalítico no modo potenciostático será bastante semelhante ao dos sistemas eletroanalíticos, baseados nos polímeros condutores dopados [19-21] e será descrito por um conjunto de equações diferenciais de balanço de duas variáveis:
α: a concentração de acetaldeído na camada pré-superficial.
S: o grau do recobrimento do seleno na matriz polimérica do ânodo.
Para simplificar a modelagem, supomos que o reator esteja sob agitação intensa (destarte, podemos menosprezar o fluxo de convecção), que o eletrólito de suporte esteja em excesso (destarte, podemos menosprezar o fluxo de migração). Outrossim, supomos que o perfil concentracional das substâncias na camada pré-superficial seja lineal, e a sua espessura, constante, igual a δ.
Diante do exposto, o comportamento do sistema será descrito por um conjunto de equações diferenciais (3), conforme:
Sendo A o coeficiente da difusão do aldeído, a0 a sua concentração no interior da solução, S a concentração máxima do selènio e os parâmetros r, as velocidades das respectivas reações, que se podem calcular conforme (4-5):
Sendo os parâmetros k as constantes das velocidades das respectivas reacções, F é o número de Faraday, α é um parâmetro, que descreve a influência da aparição e desaparição de compostos iônicos na dupla camada eléctrica durante a etapa química na capacitância desta camada, Ф 0 é salto do potencial, relativo ao potencial de carga zero, R é a constante universal de gases e T é a temperatura absoluta do reator.
Neste caso, o comportamento do sistema se apresenta bastante semelhante aos expostos em [19-21]. Assim, se trata de um sistema eletrocatalítico eficiente, conforme se descreverá abaixo.
RESULTADOS E DISCUSSÃO
Para investigar o comportamento do sistema com a conversão eletrocatalítica do acetaldeído em glioxal, assistida pelo elétrodo, modificado pelo íon selenito, analisamos o conjunto de equações diferenciais (3), havendo vista as relações algébricas (4-5), mediante a teoria de estabilidade lineal. Os elementos estacionários da matriz Jacobiana se descreverão como:
sendo:
As principais condições da análise de um conjunto bivariante são representadas na tabela 1.
Observando os elementos (7) e (10), neste sistema, há mais probabilidade de o comportamento oscilatorio ser concretizado que no caso comum, exposto em [19]. Em aspectos comportamentais o sistema se apropinqua aos descritos em [20, 21], porque nele há mais de um processo influenciando as capacitâncias da DCE, contra apenas um em [19]. Para a condição principal da instabilidade oscilatoria (TrJ = 0) ser satisfeita, é preciso que haja elementos positivos, correspondentes à positiva conexão de retorno, na diagonal principal da matriz.
Estes elementos são
αк
1
a(1-s) exp(as)>0, se α>0e -jk2 s exp
<0, se j<0, e a sua positividade descreve as influências periódicas na capacitância da dupla camada eléctrica, causadas nas etapas química e eletroquímica, correspondentemente. Mas se o elemento análogo ao -jk2 s exp
é característico para todos os sistemas semelhantes [19-21], o primeiro só é característico para a aparição, modificação e desaparição de compostos iónicos durante a etapa química, casos observados em [20, 21]. As oscilações se esperam freqüentes e de pouca amplitude.
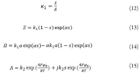
Para simplificar a análise da matriz, evitando a aparição das expressões grandes, introduzimos as novas variáveis, de modo que o determinante da matriz seja descrito como:
Em que:
Matematicamente, a condição do comportamento oscilatorio será descrita como:
E preciso admitir que, se as influências de ambos os fatores forem muito fortes, mesmo que a primeira condição (Tr J= 0) seja satisfeita, a segunda condição não se satisfará, haja vista que o determinante terá valores negativos. Por isso, o comportamento oscilatorio será causado, neste sistema, ou apenas pelo primeiro fator, ou apenas pelo segundo e realizar-se-á somente quando a difusão é relativamente devagar.
A instabilidade monofònica, que se manifesta pelo trecho N-formado do voltampe-rograma, também será possível apenas por causa destas influências. A condição desta instabilidade, que se descreve como:
Só será satisfeita, quando o parâmetro A, ou é negativo, só então a segunda condição do conjunto (17) terá valor nulo.
E possível ver que, no caso da positividade dos parâmetros Λ e Ω, a qual descreve a fraqueza ou ausência das influências do acoplamento e da eletrooxidação na DCE, o estado estacionário será garantidamente estável. Deveras, sendo os parâmetros Λ e Ω positivos, garantir-se-á a negatividade do traço da matriz jacobiana Tr J-α 11 +α 22 - Já o determinante da matriz se manterá positivo, haja vista a positividade do resto dos parâmetros que o compõem.
Matematicamente, o requisito de estabilidade será descrito como:
E este requisito se satisfaz numa zona topològica de parâmetros vasta, ou seja, o estado estacionário estável é fácil de manter. Isto indica um processo eletrocatalítico eficiente e estável. A dependência linear entre a concentração do acetaldeído convertido e corrente elétrica manter-se-á facilmente. O processo eletrocatalítico será controlado pela difusão de acetaldeído.
Este modelo é vigente para o modo potenciostático. No modo galvanostático o potencial é variável. Desta maneira, ao conjunto (3) acrescentar-se-á a terceira equação. As velocidades das reações laterais com a formação do íon seleneto também deverá ser incluídas no modelo. Assim, o modo potenciostático é mais compatível e, ainda por cima, mais fácil de realizar do ponto de vista econômico.
CONCLUSÕES
Da análise teórica do sistema com a conversão eletrocatalítica de acetaldeído em glioxal para fins da indústria farmacêutica foi possível concluir que:
Se trata de um processo eletrocatalítico da conversão do acetaldeído em glioxal, que se apresenta bastante vantajoso em relação ao seu análogo químico.
O comportamento do sistema será controlado pela difusão do aldeído. O estado estacionário estável forma-se rápido e mantém-se facilmente.
A forma oxidada do selênio (o selenito) vem sendo rapidamente regenerada durante a etapa eletroquímica, o que reduz o uso de compostos tóxicos no processo industrial e semi-industrial.
O comportamento oscilatório pode ser realizado no sistema, quando causado pelas influências tanto da etapa química como da eletroquímica. Neste caso, a difusão do aldeído é devagar, e as mudanças periódicas da capacitância da dupla camada elétrica se fazem sentir melhor.
O modo potenciostático é mais favorável à síntese e mais fácil de realizar do ponto de vista econômico, vista a presença das reações laterais e mudanças do potencial do ânodo nos modos galvanostático e potenciodinâmico.




























