INTRODUCCIÓN
El 28 de noviembre de 2019, durante la quinta jornada de la fase de grupos de la Liga Europa, se adelantó el juego entre los equipos de Malmö (Suecia) y Dínamo de Kiev [1, 2]. El club sueco, que jugó en casa, venció al adversario por cuatro goles a tres.
En este juego participó el jugador de la selección ucraniana de fútbol Artem Bessiedin, sin acciones resultantes significativas, pero en cambio, recibiendo la tarjeta amarilla. Después del juego se confirmó que la muestra de sangre, que él había entregado a las autoridades deportivas, resultó positiva para la presencia del fármaco carfedona (figura 1). Puesto que el uso del mencionado fármaco es prohibido por reglamento de WADA [3-4], el futbolista fue penalizado con la prohibición de practicar fútbol profesional-mente durante un año en competiciones nacionales e internacionales.
La carfedona o fonturacetam (RS-2-(2-oxo-4-fenilpirolidin-1-il)acetamido, masa molar 218,24 g/mol, número CAS 77472-70-9, número PubChem 123441) es un fármaco nootrópico, ansiolítico y estimulante, usado en el tratamiento de la depresión y otros problemas psicológicos [5-8]. Sin embargo, la carfedona es contraindicada para los deportistas. Por otro lado, la carfedona es capaz de producir efectos colaterales como nausea, vómito, diarrea, aumento de la presión arterial [9, 10]. Así, el desarrollo de un método capaz de detectar rápida y exactamente la carfedona, es claramente necesario [11, 12].
Como la carfedona posee grupos funcionales capaces de oxidarse y reducirse electroquímicamente, los métodos electroanalíticos pueden ser aplicables a ella. La reducción electroquímica es preferible, porque la carfedona contiene dos grupos que aceptan electrones (el grupo lactámico y el grupo amida).
Así, se ha propuesto el uso del oxihidróxido de vanadio como modificador del cátodo para su detección. Las propiedades de oxihidróxido de vanadio trivalente son parecidas a las del oxihidróxido de cobalto [13-16], pero con más tendencia de oxidarse. Por lo tanto, al depender del pH, varias posibilidades de oxidación son posibles. En el medio ligeramente ácido existen dos formas posibles de realización, a saber, rindiendo el dióxido o el derivado de ion vanadilo (VO2+).
Para mejorar el desempeño de las nanopartículas del oxihidróxido de vanadio se prefiere usarlas como parte de un material compuesto, en el que la fase orgánica sería un polímero conductor [17-19] o un material afín, como un colorante escuárico [20-23]. La fase orgánica del material compuesto suele desempeñar dos funciones:
Estabilizar las nanopartículas metálicas, cuya ubicación en la matriz orgánica puede ser esencial para el desempeño electroanalítico.
Medir la transferencia de electrones.
Sin embargo, el uso de nuevos procesos electroanalíticos, antes de ser implementados en la práctica, debe ser analizado teóricamente. Con eso se resuelven algunos problemas como: la indecisión acerca del mecanismo más probable de las etapas químicas y electroquímicas, que llevan a la aparición de la señal electroanalítica, la indecisión acerca de la secuencia y orden de reacciones con las que se da el proceso electroanalítico y, la posible presencia de inestabilidades oscilatoria y monotónica, características para sistemas análogos [24-26].
Para resolver los tres problemas mencionados se planteó una etapa importante, esto es, la investigación teórica a priori del comportamiento del sistema electroanalítico. Así, en este trabajo se investiga desde el punto de vista matemático la posibilidad de determinación electroquímica de la carfedona en la presencia del oxihidróxido de vanadio, depositado sobre un colorante escuárico. Para el desarrollo del modelo y su análisis se verificaron los requisitos de estabilidad de estado estacionario, y las condiciones de las inestabilidades oscilatoria y monotónica. Además, mediante el análisis teórico se comparó (con exactitud y sin ensayos experimentales adicionales) el comportamiento de este sistema con los semejantes [27, 28].
EL SISTEMA Y SU MODELO
En este trabajo se evalúa un sistema electroanalítico, en el que el oxihidróxido de vanadio se oxida de dos maneras: rindiendo el dióxido o el derivado de ion vanadilo. Tal comportamiento es característico de los valores de pH ligeramente ácidos, próximos a los neutros. El esquema completo del proceso electroanalítico se muestra en la figura 2.
En este trabajo se considera al material compuesto como un material individual, lo que permite simplificar la descripción comportamental del sistema electroanalítico sin prejuicio significante para la interpretación de los resultados.
Así, para describir el comportamiento del sistema con la detección de la carfedona sobre el compuesto de oxihidróxido de vanadio, depositado sobre la capa del colorante escuárico, se introdujeron tres variables:
C: la concentración de la carfedona en la capa presuperficial.
v 1 : el grado de recubrimiento de la superficie por el dióxido de vanadio.
v2: el grado de recubrimiento de la superficie por el derivado de vanadilo.
Para simplificar el modelo, se supone que el reactor se agita intensamente, lo que permite despreciar el efecto del flujo de convección. De otro lado, se supone que el electrólito de soporte está presente en exceso, lo que a su vez, permite despreciar el flujo de migración. Se supone también que el perfil concentracional de las sustancias en la capa pre-superficial es lineal, y que su espesor es constante e igual a δ.
El comportamiento del sistema se describe por el conjunto de ecuaciones diferenciales (1)
Donde:
Δ el coeficiente de la difusión de la carfedona.
c0 = concentración en el interior de la solución.
V 1 y V 2 = las concentraciones máximas superficiales de dos formas del vanadio tetravalente.
Los parámetros r son las velocidades de las dos reacciones químicas y las dos electroquímicas, que se pueden calcular según las siguientes ecuaciones:
Donde, los parámetros k son las constantes de velocidades de las respectivas reacciones, a es el parámetro que describe la formación de un compuesto iónico (una amina secundaria) durante la etapa química y su contribución para la fuerza iónica y conductividad de la doble capa, F es el número de Faraday, ф0 es el salto de potencial en la DCE, relacionado al potencial de carga cero, R es la constante universal de gases, y T es la temperatura absoluta.
En este sistema existen dos reacciones químicas y dos electroquímicas. La formación de una amina secundaria, capaz de reaccionar con el medio ácido, formando una sal, da un impacto significativo a la fuerza iónica de la DCE, provocando su restructuración, la cual es responsable por la aparición de inestabilidades electroquímicas. Sin embargo, aunque haya más posibilidad de la presencia de inestabilidades, el compuesto de oxihidróxido de vanadio con el colorante escuárico puede ser un material eficiente para la detección electroquímica de la carfedona, conforme a lo expuesto abajo.
RESULTADOS Y DISCUSIÓN
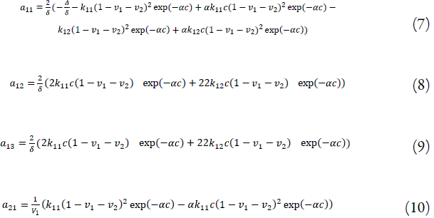
Para investigar el comportamiento del sistema en la detección electroquímica de la carfedona, se analiza el conjunto de ecuaciones diferenciales (1), junto a las relaciones algébricas (2-5), mediante la teoría de estabilidad lineal. Los elementos estacionarios de la matriz funcional de Jacobi se pueden calcular conforme así:
Siendo
Puesto que hay dos ciclos de proceso electroanalítico, en este sistema se tienes dos reacciones electroquímicas y dos químicas. Por las razones mencionadas arriba, la DCE sufrirá influencia de todas las cuatro reacciones y la inestabilidad oscilatoria se realizará con mayor probabilidad que en los sistemas semejantes (III) [27, 28].
Para que se realice la bifurcación de Hopf, correspondiente a la inestabilidad oscilatoria, es necesario que haya elementos positivos en la diagonal principal de la matriz. De acuerdo con las ecuaciones (7), (11) y (15), los elementos
-lk
22
2V
2
exp
y
-jk
21
v
1
exp
son positivos, si j<0 y l<0. Este carácter positivo solo se obtiene con las fuertes influencias de las reacciones electroquímicas a la capacitancia de la DCE, que llevan a cambios periódicos de la capacitancia y de la conductividad de la capa.
Por otro lado, la positividad de los elementos αk 11 c(1-v 1 -v 2 ) 2 exp (-αc) y ak 12 c(1- v 1 -v 2 ) 2 exp (-αc) describe el comportamiento oscilatorio, causado por las influencias de la etapa química de cada ciclo del proceso electroanalítico. Los cambios oscilatorios de la corriente se causan por la concurrencia del aumento de la fuerza iónica de la solución y la reducción de la actividad de la substancia electroactiva en las nuevas condiciones. Se espera que las oscilaciones sean frecuentes y de pequeña amplitud.
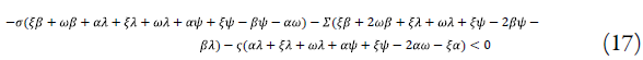
Para investigar la estabilidad de estado estacionario de este sistema, se aplicó el criterio Routh-Hurwitz al conjunto de ecuaciones diferenciales (1). Simplificando el análisis de la matriz se introdujeron nuevas variables para llegar a la determinante se describe a continuación:
Aplicando el requisito Det J<0 se obtiene la condición de estabilidad descrita como:
Correspondiente a un sistema electroanalítico eficiente, aunque con una zona de estabilidad de estado estacionario más estrecha que otros sistemas semejantes [27, 28]. El proceso electroanalítico se controla tanto por la difusión del analito como por la cinética del proceso.
El requisito (16) se satisface fácilmente, si/»0 y q>0, describiendo la debilidad en la influencia de las etapas electroquímicas del proceso electroanalítico. Puesto que no hay reacciones colaterales en el sistema, la estabilidad de estado estacionario se corresponde con la dependencia lineal entre el parámetro electroquímico y la concentración del analito.
Cuando el estado estacionario está en vigor, la determinante presenta valores negativos. Así, cuando la determinante se anula se obtiene el límite de detección descrito por la inestabilidad monotónica. Su punto sirve de margen entre estados estacionarios estables e inestables y, para el caso, se describe como:
Si el ciclo del proceso electroanalítico se realiza apenas en un círculo, la tercera variable se anula y permite el conjunto de ecuaciones diferenciales de balance. Así, el comportamiento del sistema se hace semejante a lo descrito en [27, 28].
CONCLUSIONES
A partir del análisis teórico de la detección electroquímica de carfedona sobre el oxihidróxido de vanadio (en sus dos formas de vanadio tetravalente) se puede concluir que:
Pese a que el mecanismo de la detección del analito sea híbrido, se trata de un sistema electroanalítico eficiente y estable.
El proceso electroanalítico se controla de igual manera por la difusión y la reacción.
El comportamiento oscilatorio en este sistema es más probable que en sistemas semejantes, ya que en todas las etapas químicas y electroquímicas intervienen la capacitancia, la conductividad y la fuerza iónica de la doble capa.























