Introducción
El ballet es una actividad exigente que requiere un equilibrio único entre el atletismo y el arte. Tiene su origen en las cortes de la Italia renacentista y ha venido evolucionando y creciendo a través de la historia, siendo considerado un deporte por algunos autores 1. En el aspecto físico, como práctica, requiere continuidad, disciplina, especificidad, individualidad, precisión, coordinación psicomotora, flexibilidad, lateralidad, concepto espacial, condición fitness y lenguaje corporal 2. Es también danza teatral, al ser una técnica formal académica combinada con otros elementos artísticos, como lo son la música, el vestuario y los escenarios 3.
El nivel de precisión requerida en el ballet es comparable con el de la gimnasia olímpica 4. Los bailarines profesionales se lastiman con la misma frecuencia y sufren lesiones tan graves como los atletas que practican deportes de contacto. Por lo tanto, las lesiones en ballet constituyen un problema para los niveles de destreza requeridos y pueden terminar con la carrera de baile en un ámbito profesional 5.
En Colombia, los antecedentes de la danza clásica son la creación de academias privadas tales como el Ballet Anna Pavlova, fundado por la bailarina colombiana Ana Consuelo Gómez en 1961 y consolidado como un importante núcleo de formación 6. Esto trae la creación de compañías y academias importantes a nivel nacional que muestran el crecimiento de la práctica del ballet en el país 6. El documento del Plan Nacional de Danza (2010-2019) reconoce que el ballet clásico es una práctica importante dentro de la danza en Colombia, el cual no solo requiere de una iniciación precoz y oportuna, sino de un seguimiento prolongado de años para lograr los niveles técnicos e interpretativos deseados en un nivel profesional 7. El trabajo de Beltrán & Salcedo presenta una caracterización de la condición laboral del bailarín en Bogotá y muestra un aumento en la población de practicantes de esta técnica de danza, sin embargo, no reporta un índice de lesiones sufridas por los bailarines 8.
Frente al crecimiento de la práctica del ballet en la población colombiana y lo reportado en la literatura sobre lesiones recurrentes e inherentes a la misma, se hace evidente la necesidad de correlacionar estos factores. La prevención de lesiones y las estrategias de manejo pueden ayudar a disminuir la incidencia de estas y reducir sus costos en salud. No obstante, en comparación con la mayoría de las actividades deportivas, la investigación sobre la incidencia de lesiones y factores de riesgo en la danza es limitado 9,10.
Así, el presente estudio pretende estimar la proporción de lesiones y factores correlacionados en bailarines de ballet dentro de Bogotá.
Materiales y métodos
Se realizó una investigación cuantitativa, observacional, de tipo descriptivo correlacional, con diseño transversal en una población de bailarines del Ballet Anna Pavlova en Bogotá, a quienes se les aplicó una encuesta en la primera semana de diciembre del 2014.
Dicha encuesta constó de cuatro secciones correspondientes a: información general del bailarín, antecedentes personales, datos relacionados a la temporalidad de la práctica e información sobre lesiones asociadas a la práctica del ballet, respectivamente. Estas categorizan 15 preguntas con 109 sub-ítems específicos como posibles respuestas.
De la población de bailarines se eligió una muestra aleatoria de n=27 bailarines en los niveles pre-profesional y profesional, de los cuales 20 (74%) pertenecen al género femenino y 7 al género masculino (26%). El rango de edad está entre los 12 y 37 años. Las características morfológicas de la población de estudio fueron: un IMC entre 17.63 y 23.34 con un promedio 20.35, un peso entre 43 y 78 kg con una media de 22.37 kg, una talla entre 1.44 y 1.87 m con una media de 1.65. El resumen de las características morfológicas y la distribución de la edad se observa en la Tabla 1.
Se estudió el número de lesiones sufridas por un bailarín mediante modelos de regresión Poisson, para determinar si existían variables que pudieran explicarlo, dentro de las cuales se relacionaron: número, localización de la lesión, lesiones e IMC, lesiones y género, tipo de lesión y género, lesiones e intensidad de práctica por semana (en horas) y lesiones y años de práctica. Para variables como tipo de lesión se realizó una comparación entre géneros mediante la prueba exacta de Fisher y para la proporción de veces de una lesión en un lugar determinado del cuerpo, se construyeron y se estimaron intervalos de confianza del 95%. El programa estadístico utilizado fue R versión 3.1.2 11.
Resultados
Las características antropométricas de los participantes del estudio se encuentran resumidas en la Tabla 1, donde se muestra una media en el IMC (20.35 kg/m2) dentro de los parámetros de normalidad establecidos por la Organización Mundial de la Salud (18.5-24.9 kg/m2)12. Se observó que dentro de los sujetos de estudio, dos de las participantes tenían un IMC en bajo peso.
Respecto al número de lesiones se consideró una variable de conteo que se modela mediante la distribución Poisson 13. Así se encontró que el promedio de lesiones por año fue de 1.5926, con un intervalo de confianza del 95% para lambda de 1.181164 y 2.147491. Lo anterior revela el riesgo asociado con la práctica del ballet (Tabla 2).
Tabla 2 Número de lesiones en el último año (modelación mediante la distribución de Poisson).

Fuente: Elaboración propia.
Al realizar el análisis de la influencia del género sobre la aparición de lesiones se halló un valor p=0.26. Esto no representa una significancia estadística que indique si el género es un factor predisponente para la aparición de lesiones en la práctica de esta disciplina. Para evitar sesgos y, debido a estudios 14 que han demostrado el riesgo de sufrir lesiones asociadas con el IMC, este análisis se realizó con un control del mismo. Sin embargo, aquí, la variable IMC tampoco es significativa con respecto al número de lesiones por año p=0.68. Los detalles de los resultados se muestran en la Tabla 3.
Tabla 3 Valor p asociado para la prueba de significancia de la variable género.**

**Se observa que el valor p asociado para la prueba de significancia de la variable género es de p=0.26, lo cual muestra que el número de lesiones que sufren los bailarines no depende de su género (para hombres y mujeres el número de lesiones es el mismo). Lo anterior se realizó controlando el IMC, aunque este no sea significante. Fuente: Elaboración propia
En cuanto a la proporción en los tipos de lesiones presentados, se encontró que el 29.62% de las lesiones eran tendinopatías y lesiones musculares benignas, seguido de los esguinces con un 19.23%. Ahora bien, al relacionar estos estudios con la prueba exacta de Fisher 15 se observó que no existe una correlación entre la aparición de este tipo de lesiones y el género (p=0.6334 y p=0.2981, respectivamente). Empero, en las lesiones de nervio periférico que tuvieron una proporción de 7% había un valor p=0.059, el cual sitúa el género femenino como factor determinante para la aparición de este tipo de lesiones. Aún con lo anterior, deben realizarse más estudios para comprobar esta hipótesis, pues la proporción de mujeres en esta investigación fue más alta respecto a la de los hombres (Tabla 4).
Tabla 4 Número de lesiones en el último año (modelación mediante la distribución de Poisson).

Fuente: Elaboración propia.
Los lugares más recurrentes de lesión correspondieron a la rodilla con un 40% de aparición, seguido del 18.51% en la cadera y abdomen y finalizado por el 14.81% de las lesiones en el pie y muslo. También están las lesiones de nervio periférico, relacionadas principalmente con componentes del miembro inferior como la cadera, la pierna y la pantorrilla (Tabla 5).
Al asumir que el número de lesiones se puede modelar a través de una regresión Poisson, con variable explicativa y número de horas por semana, o sea log (lambda)=b0+b1*(número de horas por semana), no se obtuvo una significancia estadística, como se muestra en la Tabla 6. De ahí que la variable de horas por semana no sea significativa. El problema con esta regresión es que, al ser un modelo paramétrico, puede no captar los detalles que el modelo LOESS (locally weighted scatterplot smoothing) sí captura 16.
Tabla 6 Regresión de Poisson que muestra la significancia estadística de las lesiones en horas por semana.

Fuente: Elaboración propia.
Con la información recolectada se realizó un ajuste no-paramétrico LOESS 16 para visualizar el comportamiento del número de lesiones promedio por año, cuya variable explicativa es el número de horas de práctica por semana. El ajuste parece indicar que el comportamiento es diferente en bailarines que practican menos de 15 horas a la semana, al de los que practican entre 15 y 25 horas. Según la Figura 1, se observa que la mayor cantidad de lesiones se presenta entre este intervalo de horas de práctica a la semana 15-25.
Aunque el ajuste pareciera indicar que el número de lesiones promedio disminuye si el bailarín practica más de 25 horas por semana, existen muy pocas observaciones que permitan avalar esta afirmación. Además, al realizar el análisis estadístico no existe significancia en la relación de número de horas de práctica con la aparición de lesiones p=0.65.
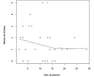
Finalmente, por medio de un ajuste LOESS 16 se estableció la relación entre los años de práctica y el número de lesiones de los participantes. En la Figura 2 se evidencia la tendencia a la disminución de lesiones a medida que avanzan los años de práctica, de modo que la mayor cantidad de lesiones se presentaron en los primeros 15 años de práctica. Así, luego de los 15 años de práctica la curva se normaliza, e indica un bajo índice de lesiones (Figura 2). Cabe decir que el valor p=0.35 no muestra una significancia estadística entre estas variables (Tabla 7).
Discusión
El presente estudio muestra un número de 1.5 lesiones por año, concordante con el análisis realizado por Ekegren et al.17 de una población, sustancialmente mayor, de bailarines en escuelas pre-profesionales de ballet. Este grupo presentaba una media etaria de 17.2 años y mostró una incidencia clínica de lesiones de 1.42/ año, con una intensidad de práctica de 30.3 horas por semana 17, mientras que el estudio aquí desarrollado, manejó un rango de horas de práctica entre las 5 y las 35 horas.
Respecto al tipo de lesión más prevalente en la población de este análisis, las tendinopatías ocupan el primer lugar 17 con un 29.62%. Sin embargo, el trabajo de Ekegren et al. encontró como lesiones predominantes (28%) las relacionadas con contusiones secundarias a accidentes traumáticos 9. Al compararlo con este estudio, donde el 29% están asociadas al mismo tipo de lesión, se encuentra una similitud con otras investigaciones de bailarines de ballet, cuyo tipo de lesión predominante es la misma 8,18. Estos últimos asocian dicho resultado con los procesos de sobreuso al que son sometidos los bailarines, en los cuales llevan a cabo sesiones de alta intensidad, duración y repetición de movimientos para el debido aprendizaje y correcta ejecución de la técnica 10.
Así mismo, se evidencia una diferencia significativa entre los datos de la categoría de lesiones a nivel muscular y tendinoso, que en nuestro estudio tienen una proporción del 67% frente al valor correspondiente al estudio de Ekegren et al. de 30% 9.
En cuanto al lugar de la lesión, el dato más representativo fue el 41% de las lesiones en las articulaciones de miembro inferior, valor que concuerda con otros estudios, en cuyos resultados se encuentra un 46% de lesiones en tales estructuras 9. Además, muchos estudios han demostrado una alta prevalencia de lesiones en la articulación del tobillo 10. Según una investigación de Hopper et al., la incidencia de las lesiones en esta articulación varía entre 34%-54% de las lesiones presentadas por los bailarines de ballet 18. De modo similar, los valores en los estudios de Ekegren et al. mostraron una proporción del 33%9. A diferencia de los anteriores, este estudio encontró una proporción de lesiones de tobillo del 13%. No obstante, el estudio de Ekegren et al. muestra que el 33% de las lesiones en el MMII están dadas solo respecto al total de las lesiones de las extremidades inferiores 9. Entonces, es preciso afirmar que los valores se ajustan al total de las lesiones encontradas, porque si las lesiones en MMII corresponden al 76% del total de las lesiones, el valor será menor y podría ser más acorde a los datos aquí encontrados.
Ahora bien, en este análisis la zona con mayor proporción de lesiones fue la rodilla (40%), algo recurrente en diferentes artículos, donde se ha demostrado que esta es una de las zonas con mayor riesgo de lesión. Ejemplo de ello es el estudio descrito por Márquez et al., quienes afirman que los problemas de rodilla constituyen entre el 20% y el 40% de las lesiones en bailarines de ballet 19. Tales datos son proporcionales a los nombrados con anterioridad
De igual manera, el presente estudio halló que las lesiones de los bailarines estaban relacionadas principalmente con el miembro inferior. Esto ha sido reportado por estudios realizados en varias modalidades de danza. En el caso del ballet, un estudio muestra que las lesiones de MMII ocupan del 57% al 75% 19, e incluso llegan a valores del 85% 2. Desde esta perspectiva es importante preguntarse por los factores biomecánicos que pueden llegar a influir en la aparición de las lesiones. Para ello se tiene en cuenta la influencia que tiene el alineamiento de la extremidad inferior en la presentación de las mismas y su consideración como un factor de riesgo en atletas adolescentes 20. Con relación a lo anterior, Bowerman et al.20 realizaron un estudio en el que, midiendo los factores mecánicos, antropométricos y de maduración en cadera, rodilla y pie, descubrió que los valores modificados en el ángulo de valgo de cadera, el ángulo pélvico y cambios en la longitud del pie pueden llegar a ser factores de riesgo para desencadenar lesiones en bailarines de ballet adolescentes.
Por esto, es preciso realizar más estudios que determinen la influencia de los factores biomecánicos en la aparición de lesiones en movimientos y actividades de alta exigencia como el ballet. Si se asume que la mecánica articular y los procesos de maduración presentan grados de variabilidad por las diferencias anatómicas y fisiológicas propias de los hombres y las mujeres, vale la pena considerar la posibilidad del género como un factor de riesgo para la aparición de lesiones en los bailarines. Aun así, en este trabajo se encontró que el género no era un factor de riesgo para la aparición de lesiones, de acuerdo a lo escrito en la literatura 9,21.
Respecto a la correlación entre el género y la predisposición a lesiones, en un estudio prospectivo, se midió la incidencia de lo segundo en 266 bailarines pre-profesionales de ballet, de los cuales 42% eran hombres. Este mostró que no hay significancia estadística entre el número de lesiones y el género 9.
Otro estudio prospectivo, realizado durante un año a 52 bailarines profesionales, tampoco encontró diferencias entre el género y la aparición de lesiones. Sin embargo, mostró que las lesiones sufridas por los hombres generalmente eran de mayor gravedad al relacionarse con el número de días de incapacidad, cuyo valor fue de nueve días para los hombres y de cuatro días para las mujeres. También se encontró que ellas tenían una mayor incidencia de lesiones, a diferencia de los hombres, quienes presentaron mayor número de exacerbaciones 21.
Por otro lado, otros estudios epidemiológicos realizados en diferentes disciplinas han mostrado la influencia del género en el riesgo de lesiones 22. Un trabajo de investigación en Estados Unidos sobre el riesgo de lesiones en diferentes disciplinas deportivas, mostró que, de las lesiones por sobreuso, el 13.3% correspondían a mujeres, mientras que el 5.5% se encontraba en hombres. Al analizar los datos junto a deportes en modalidades masculinas y femeninas, se halló que las mujeres también tuvieron un mayor riesgo de tener lesiones por sobreuso (OR:1.8 vs 1.2) 22.
McQuillan & Cambell 23 realizaron un estudio para determinar la relación de la aparición de lesiones entre hombres y mujeres, para lo cual tomó la información del Home and leisure accident surveillance system en el Reino Unido y, excluyendo las lesiones ocupacionales, las ocurridas por accidentes de tráfico y las heridas intencionales, encontró que hay una relación H:M de 2.23 para las edades de 12-15 años y de 4.26 para las edades de 16-17 años. Hallar diferencias significativas para la aparición de lesiones entre el género masculino y femenino en deportes específicos (en las cuales las mujeres presentan mayor riesgo de lesión), da cuenta de la importancia de analizar los factores intrínsecos al género, como lo son la biomecánica y la fisiología, durante los diferentes momentos de la vida. También cabe preguntarse qué va a influenciar o a convertirse en un factor de riesgo según las características propias del deporte 20.
De acuerdo a lo anterior, un análisis llevado a cabo por Scattone & Serrão 24 trabajó las diferencias en la cinemática del tronco, pelvis, rodilla y el torque excéntrico durante una sentadilla unipodal. Allí se encontró que las mujeres presentan grados mayores en los movimientos de aducción de cadera, rotación externa y abducción de rodilla durante la ejecución de la tarea. El torque excéntrico de la rodilla fue menor que el de los hombres, al normalizarlo respecto al peso corporal. Este estudio se suma a otros que argumentan que las disfunciones en la articulación de la rodilla se ven con mayor frecuencia en las mujeres, algo asociado a las alteraciones biomecánicas propias del género.
En la presente investigación, las lesiones en la rodilla eran las de mayor proporción. Teniendo en cuenta que el 72% de la población correspondía al género femenino, se debe analizar en relación al género, si la cinemática de la mujer puede llegar a ser un determinante de las lesiones en la articulación de la rodilla. Esto debido a sus propiedades anatómicas y a que, en ninguno de los artículos revisados, las lesiones de rodilla ocupaban el lugar con mayor proporción de lesiones, posiblemente por la homogeneidad de la muestra en relación con el género 24.
En el ballet, tanto hombres como mujeres realizan diferentes ejercicios técnicos, llamados variaciones, que se componen de pasos técnicos específicos. Además, en la práctica general, bailar sobre la punta de los pies es casi exclusivo para las mujeres, mientras que para los hombres está la posición de media punta. Por lo tanto, al ser la naturaleza de los movimientos del ballet específica al género, se recomienda realizar más estudios que comparen las patologías específicas de cada género 21. Así lo hicieron Iwamot et al.25, quienes descubrieron una mayor prevalencia de lesiones de ligamento cruzado anterior en las mujeres, lo cual se asocia a los cambios en la composición del colágeno y las hormonas durante el ciclo menstrual 20. Sin embargo, estos resultados no se relacionan con elementos técnicos específicos, inherentes al género.
Frente a la relación entre las horas de práctica y el riesgo de lesiones, el presente estudio tuvo un aumento en la prevalencia de lesiones y mostró un rango entre 15 y 25 horas semanales, donde aparentemente, la práctica mayor a 25 horas no parece ser un factor de riesgo. Contrario a lo anterior está lo reportado por Sabate & Ranzijn 26, en un estudio descriptivo, donde el riesgo de lesiones aumenta un 38% cuando la práctica excede las 30 horas semanales. Por su parte, Balding 27 reporta que la prevalencia de lesiones en los sujetos que practican más de 8 horas a la semana es de un 36% y presenta una incidencia del 26.5% mayor a aquellos que practican menos de ocho horas a la semana. Mientras tanto, Allen reportó una incidencia de 4.4 lesiones por cada mil horas de práctica de ballet 21, lo que concuerda con lo presentado por Allen et al.28. No obstante, otros estudios refieren que la densidad en la tasa de incidencia varía entre un valor relativamente bajo de 0.18 por cada 1 000 horas de práctica en bailarines profesionales 10,29, comparado con un valor similar al descrito anteriormente de 4.7/1000 en bailarines pre-profesionales. Esto último puede concordar con los resultados del presente estudio 30.
En general, existe una gran variación en las tasas de incidencia de lesiones en las prácticas deportivas, las cuales se encuentran en términos de lesiones/horas de práctica entre (1.7 a 53)/1000, (0.8 a 90.9)/1000 horas de entrenamiento, (3.1 a 54.8)/1000 horas de competición y (6.1 a 10.9)/100 correspondientes a juegos 31. Por ejemplo, la tasa de incidencia de lesiones en jugadores profesionales de futbol respecto a las horas de práctica deportiva fue de 9.1 por cada 1 000 horas de práctica 32. Según lo anterior, la práctica de ballet presenta una incidencia de lesiones aún mayor que muchos deportes de contacto.
Por otra parte, no hay significancia estadística entre el número de años de práctica de ballet y la incidencia de lesiones en este estudio. Se ha observado que a medida que se adquieren años de experiencia, existe una tendencia a disminuir el riesgo de presentar lesiones. Como argumento contrario está lo reportado por Balding 27, donde la incidencia fue significativamente mayor en aquellos que tienen más años de experiencia. Aun así, los resultados que muestra tienen una media de 12.33 años, lo cual se encuentra dentro del marco de años en el presente estudio 27. Allí se presentan la mayor cantidad de lesiones en los primeros 15 años.
Ahora bien, Osorio et al.31 dicen, respecto al nivel competitivo, que las lesiones deportivas son, de manera general, más frecuentes en programas recreativos, en deportistas en formación y aficionados que en deportistas profesionales. Estos autores también referencian a Stevenson et al., quienes reportaron una tasa de lesiones deportivas en atletas recreativos por cada 1 000 horas de participación, distribuidas de la siguiente manera: fútbol 20.3, baloncesto 15.2, jockey en campo 15.1 y netbol 12.1. Esto coincide con lo encontrado en este estudio, en el cual, a medida que se gana experiencia y técnica, la incidencia de lesiones va disminuyendo. Osorio et al. también lo nombran y refieren que, probablemente, estas tasas de lesiones en deportistas recreativos sean mayores, por causa de: un mejor acondicionamiento físico de los atletas profesionales, el uso de equipos de protección permanente, un entrenamiento controlado y una mejor técnica deportiva 31.
Conclusiones
Según los resultados de 15 926 lesiones por año en la población estudiada, con un intervalo de confianza del 95% y cuyo promedio es 1.181164; 2.147491, se revela el riesgo asociado con la práctica del ballet. Las variables de género, IMC, horas y años de práctica a la semana no fueron significativas a la hora de correlacionarlas con la proporción de lesiones. De igual modo, la proporción de lesiones más recurrentes en el tipo fueron lesiones musculares benignas y tendinopatías. Finalmente, el lugar de mayor proporción fue en primer lugar rodillas, seguido de cadera y abdomen, con muslo y pie en tercer lugar.
Por tanto, se requieren otros estudios sobre una mayor población y con datos obtenidos directamente de las historias clínicas, para así poder clasificar las lesiones mediante el CIE 10 (Clasificación Internacional de Enfermedades, décima versión) y contar con la obtención de datos más confiables y con un consenso universal. Dicho procedimiento es importante para tomar acciones preventivas en dicha población y disminuir la proporción de lesiones.


















