Introducción
En las primeras décadas de la edad adulta, las mujeres tienen un riesgo menor de desarrollar enfermedades cardiovasculares (ECV) con relación a los hombres de la misma edad 1; sin embargo, después de la menopausia el nivel de riesgo se aproxima considerablemente al de los hombres. Este aumento de la vulnerabilidad está relacionado con la disminución de los niveles de estrógeno, hormona que ejerce un papel protector contra el padecimiento de este tipo de enfermedades 2.
Son muchas las alteraciones biológicas y conductuales que influyen en las mujeres para el desarrollo de ECV en la postmenopausia 2, encontrando entre ellas reducción del nivel de actividad física, aumento del índice de masa corporal (IMC) 3, osteoporosis, sarcopenia, disminución en el metabolismo basal, aumento del estrés oxidativo 4, aumento de biomarcadores inflamatorios y aumento en las concentraciones de triglicéridos y lipoproteínas de baja densidad (LDL) 5.
El perfil lipídico sanguíneo representa un factor de riesgo para el desarrollo de ECV, ya que por lo general precede a la formación de la placa aterosclerótica 6,7. La patogénesis de las ECV se relaciona con la lipemia postprandial (LPP), un fenómeno caracterizado por el aumento sistémico de lipoproteínas ricas en triglicéridos inducido después de las comidas, con una duración entre 6 y 12 horas 6. En la mayoría de países desarrollados, la mayor parte del día las personas tienen niveles de lípidos sanguíneos muy por encima de lo recomendado, asociado a la alimentación inadecuada; esta situación impacta sobre la función del endotelio vascular, deteriorándose en la misma proporción que aumenta la lipemia, un fenómeno importante en las mujeres postmenopáusicas que ya no tienen la protección endógena hormonal 8,9.
Muchos estudios evidencian que una sesión de ejercicio aeróbico puede disminuir las concentraciones plasmáticas de lípidos 1,10, siendo el total de la energía gastada durante la sesión el factor determinante en dicho fenómeno. Sin embargo, para los ejercicios resistidos (ER), asociados en su mayoría con adaptaciones en la fuerza y resistencia muscular 11, existen pocos estudios que describan sus efectos sobre los marcadores lipídicos, bien sea de una sesión o un programa de entrenamiento.
En mujeres postmenopáusicas, algunos estudios han mostrado que la realización regular de ER proporciona grandes beneficios en la salud física al reducir las concentraciones totales de lípidos en el torrente sanguíneo y al optimizar la capacidad funcional de las mujeres 12,13. Gracias a estas evidencias, se ha resaltado la importancia de la realización de este tipo de ejercicios en mujeres postmenopáusicas y se ha logrado incluir cargas mínimas de estos dentro de las recomendaciones mundiales de actividad física de diversas poblaciones 12.
Los ER se pueden considerar como una estrategia no farmacológica que induce al buen funcionamiento de órganos y sistemas corporales, además de ser una medida para la prevención de enfermedades crónicas 14. El rol preventivo del ER tendría su razón de ser debido a su repercusión sobre la asimilación de lípidos y regulación de los marcadores antiinflamatorios en el organismo, en especial después de su ejecución 5,15.
En mujeres postmenopáusicas aún no están bien dilucidadas las respuestas en el metabolismo de lípidos en periodos postprandiales subsecuentes a dosis específicas de ER, factor fundamental para motivar el desarrollo del presente estudio. La diferencia entre solo examinar el perfil lipídico en ayunas y examinar el manejo de lípidos en periodos postprandiales radica en que con un análisis en ayunas no es posible analizar los posibles mecanismos fisiológicos que pueden influenciar las concentraciones sanguíneas de lípidos, lo que exige un análisis más profundo y metódico 2.
Analizar la influencia de una sesión de ER a diferentes volúmenes podría ayudar a dilucidar cómo esta modalidad de ejercicio físico puede ser un factor determinante en el metabolismo de los lípidos en periodos postprandiales. De acuerdo a lo descrito por Pinto et al.16, los ER podrían estimular un estado lipolítico de reposición energética hasta 18 horas después de haberse realizado.
El objetivo de la presente investigación es determinar el efecto agudo que tiene sobre la lipemia postprandial de mujeres postmenopáusicas la realización de una sesión de ER de bajo y alto volumen en comparación con un grupo control.
Materiales y métodos
La presente investigación corresponde a un estudio cuasi experimental con aleatorización y ciego simple, de exposición-respuesta y basado en los cambios agudos que proporcionan en dos grupos experimentales dos volúmenes diferentes de ER en marcadores bioquímicos sanguíneos específicos; esto en comparación con un grupo control sin ejercicio.
Sujetos
Participaron 32 mujeres postmenopáusicas voluntarias, trabajadoras de la Fundación Hospital Universitario Metropolitano de Barranquilla. De acuerdo a los criterios de inclusión, se vincularon mujeres que tenían al menos un año desde la última menstruación y que no recibieran medicación hormonal sustitutiva. Fueron excluidas las que participaron en algún tipo de entrenamiento físico durante los 6 meses anteriores al estudio y las que tenían historiales médicos con trastornos metabólicos, cardiacos u osteomusculares de consideración.
Antes de la participación, cada sujeto fue informado del diseño del estudio y los posibles riesgos y molestias relacionados con los procedimientos; luego las participantes dieron su consentimiento informado por escrito.
Evaluación inicial
Previo a la realización del protocolo experimental (7 días antes de la sesión de ejercicios), las 32 mujeres fueron valoradas en las siguientes variables:
Perfil lipídico inicial: en las instalaciones del laboratorio clínico de la Fundación Hospital Universitario Metropolitano se extrajeron, en condición de ayuno de 12 horas, 5mL de sangre para la determinación sérica del perfil lipídico.
Composición corporal: de acuerdo a los procedimientos descritos en la resolución 2465 del Ministerio de Salud de Colombia 17, una nutricionista experta realizó la valoración antropométrica. Se utilizó una balanza electrónica (Balance Industrielles, Montreal, Canadá) y un tallímetro de pared (Perspective Enterprises, Portage, USA.) para determinar el peso y la talla de las mujeres y a partir de estos calcular el IMC (masa (kg)/altura (m)2); el perímetro abdominal se midió con una cinta Gulick. Para determinar la composición corporal se calculó el porcentaje de grasa corporal y de masa magra utilizando un impedanciometro bioeléctrico marca Tanita (TBF-300WA Wrestling Body Composition Analyzer). Nivel de actividadfisica: para determinar esta variable se empleó el Cuestionario Internacional de Actividad Física (IPAQ), en su versión completa, que calculó el gasto energético semanal.
Fuerza dinámica máxima: se emplearon pruebas de una repetición máxima (1RM) para los grupos musculares que ejecutarían los ER en que se basan los grupos experimentales. La carga máxima de cada sujeto fue determinada con no más de cinco intentos con una recuperación de cuatro minutos entre los intentos. Consumo pico de oxigeno: se utilizó el submaximal Rockport 1-mile Walk Test para estimar una aproximación del consumo pico de oxígeno; para esto se requirió que los sujetos caminaran 1.6km lo más rápido posible. En dicha prueba se necesitó la monitorización de la frecuencia cardiaca al final de la prueba y el tiempo total necesitado para cumplir dicho recorrido. La fórmula empleada fue: [132.6-(0.17 x masa corporal)-(0.39 x edad) + (6.31 x sexo)-(3.27 x tiempo)-(0.156 x frecuencia cardiaca) = O2Pico (ml/kg-1/min-1)].
Monitorización del comportamiento nutricional: se proporcionó un formato impreso para registrar el comportamiento alimentario de las mujeres durante los días después de la valoración inicial hasta el día del protocolo experimental, esto con el fin de contrarrestar sesgos en los valores lipémicos subsecuentes a comportamientos nutricionales atípicos.
Protocolo experimental
Las 32 mujeres fueron divididas aleatoriamente de forma electrónica en 3 grupos utilizando el software Microsoft Excel y su función de aleatorización electrónica de datos. Hubo 2 grupos experimentales, uno llevó a cabo una sesión de ER de alto volumen (ERAV, n=11) y el otro una sesión de ER de bajo volumen (ERBV, n=11), y un grupo de control con ejercicios de estiramiento (GC, n=10).
Protocolo de ejercicios
Las mujeres fueron citadas a las 17:00 horas en las instalaciones del gimnasio de la Fundación Hospital Universitario Metropolitano con el fin de realizar la sesión de ejercicios correspondiente. Previo al inicio del ejercicio, el nutricionista verificó el formato de monitoreo del comportamiento nutricional.
El grupo ERAV realizó un calentamiento de 10 min (caminata y movilización articular), luego ejecutó 8 ER en el siguiente orden: prensa de piernas, extensión de rodilla en máquina, flexión de rodilla en máquina, flexión de codo con mancuernas, extensión de codo con mancuernas, aducción de hombros con mancuernas desde abducción en decúbito supino, serrucho unilateral y abdominales con peso libre, cada uno a 3 series y cada serie a 15 repeticiones, con una intensidad del 75% de 1RM y un intervalo de recuperación entre series y ejercicios de 45 segundos. El grupo ERBV realizó los mismos ejercicios, solo que cada ejercicio se realizaba por solo una serie a 15 repeticiones, al 75% de 1RM y con el mismo intervalo de recuperación.
Los sujetos del GC realizaron una sesión de ejercicios sin efectos en el metabolismo de lípidos. La sesión consistió en un calentamiento de 10 minutos (caminata y movilización de articulaciones) y 20 minutos de estiramientos dirigidos.
Finalizada cada una de las sesiones de ejercicios, las mujeres fueron instruidas a consumir solo agua sin ningún componente calórico hasta la mañana del siguiente día.
Análisis bioquímico
El día después de la sesión de ejercicios (12 horas post-ejercicio y en condición de ayuno), las mujeres asistieron al laboratorio clínico de la Fundación Hospital Universitario Metropolitano, donde se les extrajeron muestras de sangre para la determinación del perfil lipídico basal y se procedió a dar a cada mujer un alimento hipercalórico preparado por una nutricionista, equivalente al 50% de la tasa metabólica basal (TMB) de cada sujeto experimental, el cual contenía 50% de lípidos, 35% de carbohidratos y 15% de proteínas. La TMB para cada mujer fue calculada con la fórmula de Harris-Benedict [TMB=655.0955 + (9.5634 x peso) + (1.8449 x altura) - (4.6756 x edad)], modificada con el factor de actividad física (+20%).
Posterior al consumo del alimento hipercalórico, se procedió a realizar una curva de lipemia postprandial que incluyó cinco determinaciones del perfil lipídico, 1 cada hora durante 5 horas. Las muestras fueron recolectadas por una bacterióloga experta mediante un catéter heparinizado; inmediatamente recolectadas, estas fueron centrifugadas durante 5 minutos a 4 000 gravedades y los sueros almacenados a -20°C para la determinación del perfil lipídico en un tiempo no mayor a 24 horas.
Análisis estadístico
Fue utilizada la estadística descriptiva para el cálculo de medias con sus respectivas desviaciones estándar. respecto a la elaboración de las tablas y la comparación de momentos en las figuras, se utilizó el test Shapiro-Wilk para la normalidad y el Levene para la homogeneidad, luego fue empleado el Test de Análisis de Varianza (ANOVA) entre grupos. Cuando fue pertinente, se consideró como prueba post hoc el test de Bonferroni. El nivel de significancia fue de p<0.05, considerándolo en todos los análisis.
Control de sesgos
En el presente estudio se planteó una estrategia estructurada de control de sesgos antes de la aplicación de los procedimientos experimentales, esto fue gracias a un análisis exhaustivo de protocolos similares con pruebas bioquímicas aplicadas en la medicina del ejercicio físico y deporte. El sesgo de selección fue controlado mediante la estricta aplicación de los criterios de inclusión y exclusión planteados. Además, se controló el sesgo de seguimiento derivado de la selección, aplicando de forma sistemática las mismas pruebas para los dos grupos de sujetos estudiados. Se procuró disminuir el sesgo de información proveniente del protocolo experimental a través del control de variables fisiológicas (derivadas de la alimentación y la actividad física) en el tiempo correspondiente a la aplicación de los mismos.
Consideraciones éticas
El diseño experimental del presente estudio se apega a los principios éticos que protegen a los sujetos que participen en estudios científicos, fundamentados en la Declaración de Helsinki 18. Del mismo modo, los protocolos para la recolección de datos se establecieron de acuerdo a los estándares éticos de la medicina en el ejercicio y deporte 19. Según la reglamentación colombiana, el presente estudio siguió las reglamentaciones plasmadas en la resolución 8430 de 1994 20 al clasificarse en la categoría de riesgo mayor al mínimo. El estudio fue puesto a consideración ante del Comité de Bioética de Investigación de la Universidad Metropolitana de Barranquilla, siendo aprobado mediante Acta No. 013 del 31 de marzo del 2016.
Resultados
En los resultados de la evaluación pre experimental, en ninguno de los grupos se encontraron diferencias significativas en las variables resultantes dentro de los grupos ni entre los grupos, mostrando homogeneidad en los registros (Tabla 1).
Tabla 1 Características de sujetos miembros de los grupos control y experimentales en la evaluación inicial.

ERAV: ejercicios resistidos alto volumen; ERBV: ejercicios resistidos bajo volumen; IMC: índice de masa corporal; HDL: lipoproteína de alta densidad; LDL: lipoproteína de baja densidad; VLDL: lipoproteína de muy baja densidad; MET unidad de medida del índice metabólico.
Fuente: Elaboración propia.
Los valores promedio obtenidos en la determinación de los composición del compuesto nutricional hiperlipídico equivalente requerimientos energéticos para las mujeres de cada grupo (Tabla 2) al 50% de la TMB, que fue dado a las mujeres de acuerdo al muestran que la TMB y la TMB ajustada a la actividad física fueron protocolo experimental, se observan similitudes en las proporciones homogéneas para las mujeres de todos los grupos. Como las variables de grasas, carbohidratos y proteínas. El valor promedio del asociadas a la TMB son una proporción o potenciación de la misma, volumen total del CNH para cada uno de los grupos no mostró los resultados subsecuentes no muestran ninguna diferencia. En la variación >1mL.
Tabla 2 Requerimientos energéticos y composición del compuesto nutricional hiperlipídico de los diferentes grupos.

ERAV: ejercicios resistidos alto volumen; ERBV: ejercicios resistidos bajo volumen; TMB: tasa metabólica basal; TMBAF: tasa metabólica con factor de actividad física; CNH: compuesto nutricional hiperlipídico.
Fuente: Elaboración propia.
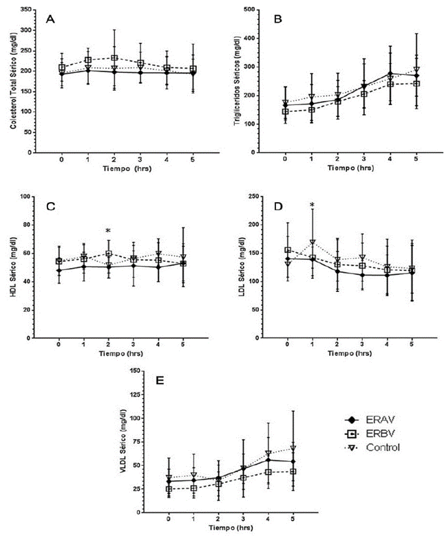
Los resultados de las curvas de lipemia postprandial (Figura 1) muestran los valores promedio para cada grupo y las desviaciones estándar de las determinaciones séricas de colesterol total, triglicéridos, HDL, LDL y VLDL en condición de ayuno o momento 0 (7:00 am) y posterior al consumo de CNH en los periodos postprandiales 1, 2, 3, 4 y 5, con 60 minutos de separación para cada determinación (8:00 am, 9:00 am, 10:00 am, 11:00 am y 12:00 m). No se observan diferencias significativas en las concentraciones de colesterol total, triglicéridos y VLDL entre los grupos ERAV, ERBV y el grupo control en ninguno de los momentos de la curva ni en los valores basales (Figuras 1A, 1B y 1E). En las concentraciones séricas de HDL (Figura 1C) se observa una diferencia estadísticamente significativa en el grupo ERBV que mostró valores superiores en el HDL en relación al grupo control, dos horas después del CNH. Se observa una diferencia estadísticamente representativa entre los grupos experimentales (ERAV y ERBV) con el grupo control, asociada a la atenuación de las concentraciones de LDL una hora después del consumo de CNH (momento 1) (Figura 1D).
Discusión
El enfoque empírico para las características biológicas y socioculturales de las mujeres implicadas en la investigación es inédito, contiene correcciones metodológicas derivadas de los experimentos internacionales previos y goza de grupos con características homogéneas. Estudios con enfoques similares carecían de grupos experimentales tan similares en sus características, como los que sí se presentan en este trabajo de investigación 21-23.
El diseño de las sesiones de ER fue basado en estudios de poblaciones con características similares (peso, IMC y TMB), los cuales determinaron la media del gasto energético para mujeres postmenopáusicas no entrenadas durante una sesión de ERAV y ERBV en cerca de 2.4 y 1.3 mega julios (MJ), respectivamente 11,22. El gasto energético total de este tipo de sesiones de ejercicio resistido incluiría la sumatoria del consumo excesivo de oxigeno post-ejercicio (CEOP), que se prolonga hasta 18 horas 16. De antemano, la hipótesis fundamental de comparar los diferentes volúmenes de ER haría pensar que entre mayor sea el número de series y repeticiones de un ejercicio, mayor será el gasto energético y por consiguiente mayor sería su influencia en el metabolismo de lípidos.
En los resultados de este estudio, si bien en algunos momentos específicos de las curvas lipémicas hay diferencias estadísticas a favor de los grupos de ERAV y ERBV con relación al grupo control, el principal hallazgo es que los ER a alto y bajo volumen, que se realizaron aproximadamente 12 horas antes de la administración de un CNH, no disminuyen de manera significativa las concentraciones séricas de colesterol total, triglicéridos, HDL, LDL o VLDL en mujeres postmenopáusicas con sobrepeso.
Estudios previos asocian la realización periódica de ER con cambios en el perfil lipídico: Campbell et al.4 encontraron que al realizar continuamente ER por más de 8 semanas se produce una reducción de las concentraciones séricas de colesterol total, triglicéridos y LDL, así como un aumento de las concentraciones de HDL; estos resultados discrepan con los de Kelley & Kelley 24, quienes observaron que diferentes periodos de ER (entre 8 a 20 semanas) no producen cambios sobre las concentraciones de lipoproteínas séricas. Las contradicciones en los hallazgos de estos estudios se podrían justificar en las diversas características de los programas de entrenamiento, ya que las respuestas metabólicas pueden estar influenciadas por las condiciones propias de la ejecución del ER (utilización de pesas, bandas elásticas o maquinas; volúmenes bajos o altos, e intensidades diferentes) y las características heterogéneas de los participantes.
En la actualidad existen pocos estudios que evalúan los efectos de los diferentes volúmenes de entrenamiento (número de series y repeticiones) dentro de una sesión de ER sobre la LPP después de 14 a 16 horas, mostrando resultados divergentes que van desde la disminución significativa hasta ningún cambio.
Petitt et al.25 encontraron que en una sesión de ER de alto volumen (10 ejercicios, 3 series, al 70% de una repetición máxima) disminuye de manera significativa la disposición de triglicéridos postprandiales. En contraste, Shannon et al.26 examinaron la influencia de la realización de tres volúmenes diferentes de ER (1, 3 y 5 series de 10 repeticiones) en la LPP y no encontraron diferencias significativas en ningún grupo. Estos hallazgos fueron basados en una población mixta de hombres y mujeres, existiendo la posibilidad de diferentes respuestas de la LPP al ER entre los sexos.
En el estudio de Zafeiridis et al.27 se demostró el efecto de una sesión de ER en los niveles de triglicéridos en el periodo postprandial, observando una reducción de estos en un periodo de 6 horas después de realizar la sesión de ER. El mismo grupo de investigadores examinó el efecto de un protocolo con ejercicio aeróbico y otro con ER con gasto energético total promediado a 5.1 MJ, encontrando una disminución del 12% y 18% en la LPP, respectivamente, y obteniendo en el grupo con ER una atenuación mayor de las concentraciones lipémicas que en el grupo con ejercicio aeróbico 28.
Para los intereses del presente estudio, en las mujeres postmenopáusicas ha sido muy escasa la evidencia del entrenamiento físico con ER o una sesión de estos ejercicios en la LPP. Correa et al.22 examinan el efecto de dos volúmenes diferentes de ER sobre el metabolismo de grasas en mujeres postmenopáusicas, encontrando que el volumen de ejercicio no es una variable que incide en la respuesta lipémica. En el presente estudio se puede observar un fenómeno interesante durante todos los periodos evaluados después del consumo del CNH, pues los niveles de triglicéridos en las mujeres que realizaron ERBV fueron menores comparados con los comportamientos observados en el grupo de ERAV y el control. Este resultado pude denotar un punto relevante en la prescripción del ejercicio en dicha población, entendiendo que dosis bajas de ER pueden atenuar las concentraciones plasmáticas de triglicéridos sin necesidad de llegar a extenuar la musculatura corporal.
En relación al manejo postprandial de la LDL, existió una diferencia no encontrada en el estudio de Correa et al.22, pues, una hora posterior a la ingesta del CNH, tanto el grupo de ERAV como el de ERBV mostraron concentraciones de LDL menores que el grupo control (p<0.05); este fenómeno se puede asociar directamente con las necesidades energéticas del músculo esquelético envuelto en el trabajo físico, además, después de este punto ambos grupos experimentales mantuvieron por más de 3 horas niveles inferiores de esta lipoproteína en comparación al grupo control, aunque dicha disminución no fue estadísticamente significativa y fue más marcada la diferencia en el grupo de ERAV.
Otra eventualidad que se pudo observar en la presente investigación, y que no ha sido descrita con anterioridad, es que en las mujeres postmenopáusicas sometidas a ERBV se evidenció una plausible disminución en las concentraciones plasmáticas de VLDL en toda la curva del protocolo, la cual, aunque no fue estadísticamente significativa, hace pensar que existe una mayor influencia de los bajos volúmenes de ER en la atenuación de las lipoproteínas de mayor tamaño, influenciado por una demanda energética y un estrés metabólico moderado.
Conclusión
Los ER de alto y bajo volumen, realizados alrededor de 12 horas antes de la administración de un compuesto nutricional hiperlipídico, no disminuyen de manera significativa las concentraciones sistémicas postprandiales de colesterol total, triglicéridos, LDL o VLDL en mujeres postmenopáusicas con sobrepeso. Sin embargo, es importante destacar que en el ámbito clínico y para la práctica del profesional de la salud se encontró una reducción de marcadores lipídicos, como la atenuación durante varias horas de las concentraciones plasmáticas de triglicéridos y VLDL postprandiales, en específico cuando se realizan ER a bajos volúmenes.















