INTRODUCTION
Pepper plants species are a perennial shrub, belonging to the genus Capsicum, originated in Topical America. It is one of the oldest plant species (Dinu et al., 2018) and is usually cultivated worldwide for its adaptation to different climatic regions and its wide variety of forms, sizes, colors, and levels of pungency in the fruit (Bojórquez-Quintal et al., 2014; Pérez-Gutiérrez et al., 2017). There are about 30 species of this genus, six of which are more known and widely cultivated, as Capsicum annuum L., Capsicum baccatum L., Capsicum chinense Jacq., Capsicum frutescens L., Capsicum pubescens Ruiz & Pav. and Capsicum praetermissum Heiser & P.G.Sm (Zamljen et al., 2020).
Pepper crops have significant economic importance in Brazilian agribusiness and have undergone major transformations seeking to meet the demands of the consumer market (Barroca et al., 2015). Peppers grow in virtually all Brazilian regions and are one of the best examples of family farming and small farmer-agroindustry integration because more than 100 wages per hectare are required to harvest (Caldas et al., 2016). Brazilian Northeast has potential for pepper crops due to its favorable soils and climate (Oliveira et al., 2014). There, the most used species are C. chinense and C. frutescens.
In some regions, soil and water salinity are a growing problem for agriculture under irrigation (Oliveira et al., 2019; Yuan et al., 2019; Jan et al., 2020). Information about the cultivation of pepper varieties is scarce, especially related to salt tolerance (Sá et al., 2019).
Salinity limits plant growth through the negative effect of osmotic potential (Steiner et al., 2019; Vendruscolo and Seleguini, 2020). The increase of salt concentration in the root zone makes water less available to plants (Shihab and Hamza, 2020). This leads to changes in water relations in plant cells (García-Caparrós and Lao, 2018) and accumulation of ions (predominantly Na+ and/or Cl-) at toxic levels (Hossain et al., 2015; Rady et al., 2018), which results in nutritional problems (Ceccarini et al., 2019; Shahzad et al., 2019; Talhouni et al., 2019).
Plants’ response to salt stress depend on several factors, varying among species/cultivars (Fu et al., 2018; Öner and Kirli, 2018), organs, and growth stages (Kalhor et al., 2018; Tanveer et al., 2018). For several plant species, the mechanisms of salt tolerance are widely reported (Kodikara et al., 2018). However, for seed germination and seedling growth, there are several gaps because these stages are the most sensitive to salinity (Oliveira and Steiner, 2017; Aloui et al., 2017; Chichanoski et al., 2019; Leal et al., 2019; Farooq et al., 2020).
Reduced seedling emergence causes an uneven establishment of the stand that results in crop yield reduction. In this context, several studies show that pre-treatment of seeds with different products is a simple and economical approach to improve plant tolerance to salt stress (Andrade and Laurentin, 2015; Mekawy et al., 2018; Samsampour et al., 2018; Silva et al., 2018; Silva et al., 2019; Arif et al., 2019; Wu et al., 2019; Feghhenabi et al., 2020).
The techniques used in seed pre-treatment include physiological priming (Lopes et al., 2019), which consists in controlled hydration of the seeds to a certain level, enabling the occurrence of the initial stages of germination (Lopez del Egido et al., 2018; Ebert and Wu, 2019). Osmopriming is one of the main techniques for seed priming (Garruña-Hernández et al., 2014). It refers to the immersion of seeds in saline solutions (Zhang et al., 2018) such as Ca(NO3)2 in Citrullus lanatus in Brazil (Barbosa et al., 2016); NaCl in Capsicum annuum L. in India (Yadav et al., 2011) and Solanum lycopersicum L. in Bangladesh (Rashed et al., 2016); KNO3 in Triticum aestivum L. in Brazil ( Steiner et al., 2018); KCl in Phaseolus vulgaris L. in Brazil (Oliveira et al., 2019); and K2SiO3 in Triticum aestivum L. in Iran (Feghhenabi et al., 2020).
The time duration of seed immersion in saline solutions is important; therefore, the objective of this study was to evaluate the germination and initial growth of pepper under different times of seed imbibition in saline solutions prepared with NaCl. It is expected the results of the study will bring knowledge about the best growing conditions concerning the identification of salt tolerance of pepper and exposure time to salts. The findings may be relevant for the places where the use of brackish water is necessary since the economic and agricultural potential and uses of the pepper plant are already known.
MATERIAL AND METHODS
Experiment location and seeds material. The present study was conducted at the Laboratory of Soil, Water and Plant Tissue of the Federal Institute of Education, Science, and Technology of Ceará, Iguatu, Ceará, Brazil. The tests were conducted under laboratory conditions, at a temperature of 25°C, 8-hour photoperiod, and 60% relative humidity. The seeds of pepper varieties used were: pepper ‘De Cheiro - Lupita’ (Capsicum chinense Jacq.) (guaranteed germination percentage of 93% - Feltrin® Sementes, Farroupilha, Brazil) and pepper ‘Malagueta - De Cayenne’ (Capsicum frutescens L.) (guaranteed germination percentage of 95% - Isla Sementes Ltda., Porto Alegre, Brazil). These varieties were the only ones found on the local market.
Experimental design and treatments. The experimental design used was completely randomized, with three replicates, each one with five seeds. The treatments were arranged in a 2 × 4 × 5 factorial scheme: two varieties of pepper (C. chinense and C. frutescens), four levels of electrical conductivity of solutions - EC (1.5, 3.0, 4.5, and 6.0dS m-1), and five times of seed soaking in saline solutions (2, 4, 6, 8, and 10h), totaling 120 experimental units (Table 1). The salinity level of 1.5dS m-1 was adopted as a control based on the results of a previous study (Sá et al., 2019), where the species C. chinense was considered as tolerant in its initial development up to EC of 1.55dS m-1.
Table 1 Description of treatments used.
| Pepper species | Solutions EC (dS m-1) | Times of seed soaking (hours) | ||||
|---|---|---|---|---|---|---|
| C. chinense (1) | 1.5 (control)* | 2(1) | 4 | 6 | 8 | 10 |
| 3.0 | 2 | 4 | 6 | 8 | 10 | |
| 4.5 | 2 | 4 | 6 | 8 | 10 | |
| 6.0 | 2 | 4 | 6 | 8 | 10 | |
| C. frutescens | 1.5 (control) | 2 | 4 | 6 | 8 | 10 |
| 3.0 | 2 | 4 | 6 | 8 | 10 | |
| 4.5 | 2 | 4 | 6 | 8 | 10 | |
| 6.0 | 2 | 4 | 6 | 8 | 10 | |
* Example of an experimental unit consisting of five seeds.
Preparation of solutions and germination test. The solutions were prepared in distilled water by adding sodium chloride (NaCl). After the dissolution of salt for each treatment, the EC values were measured at 25ºC with the aid of a benchtop conductivity meter.
A germination test was performed in disposable cups with a capacity of 250mL. Due to the reduced availability of seeds, only five seeds of each pepper variety were placed in each cup containing 25 mL of respective saline solution without aeration, covered with plastic film, and stored under controlled conditions (20-25ºC temperature and 60% relative humidity). The seeds remained under these conditions until the end of the established time. Afterward, the seeds were removed from the solution and immediately washed with distilled water.
Subsequently, the seeds were placed on germination paper moistened with distilled water and put in a germination chamber with a temperature regulated at 20-25ºC and 60% relative humidity.
Variables evaluated. After installing the assay on germination paper, the number of germinated seedlings on the fourth and twelfth day were computed. Seeds with radicle emission of 2mm were considered as germinated according to Demir et al. (2008) and Eskandari and Alizadeh-Amraie, 2014).
The observations of radicle emission were performed daily until the twelfth day after sowing on germination paper. The number of germinated seedlings per plot was computed, and subsequently, the germination percentage was calculated.
At the end of the assay (twelve days after sowing), seedling height (hypocotyl + primary root) and root length were determined using a millimeter ruler according to the norms established in the Rules for Seed Testing (Ministério da Agricultura Pecuária e Abastecimento, 2009 ) and adopted by other authors (Marinho et al., 2019; Nunes et al., 2019).
Statistical analysis. The data were subjected to analysis of variance by F test and regression analysis, adjusting different types of mathematical models according to the response of the variable.
RESULTS AND DISCUSSION
There were significant effects of the isolated factors on the number of seedlings germinated on the fourth and twelfth day, germination percentage, seedling height, and root length. As for the interactions, there were significant effects between pepper varieties and soaking times for all evaluated variables and between varieties and levels of electrical conductivity (EC) of the solutions, except for root length. Therefore, follow-up tests were conducted for the respective variables.
In general, for the interactions between varieties and soaking times (Figure 1) or with solutions salinity (Figure 2), higher rates of germination and initial growth were observed in C. frutescens pepper seedlings compared to the C. chinense pepper. These results corroborate the study conducted by Mavi (2018), who reported a higher percentage of germination for C. frutescens in comparison to the C. chinense under a controlled environment (inside a growing chamber at 23 ± 2°C) in Antakya, Turkey.

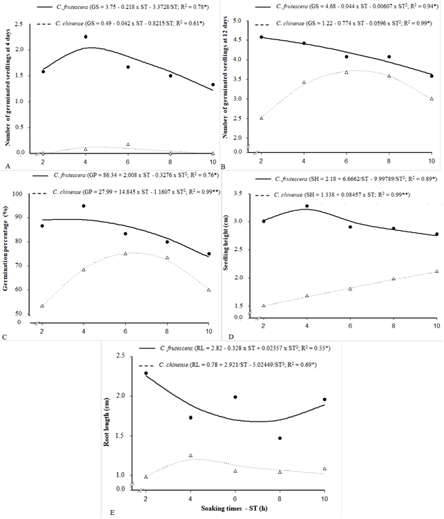
Figure 1. Follow-up analyses of the interaction between pepper varieties and soaking times in the solutions for the number of germinated seedlings - GS at 4 days (A) and 12 days (B), germination percentage - GP (C), seedlings height - SH (D), and root length - RL (E). *: significant at the P < 0.05 level by t-test; **: significant at the P < 0.01 level by t-test.

Figure 2. Follow-up analyses of the interaction between pepper varieties and electrical conductivity of the solutions for the number of germinated seedlings - GS at 4 days (A) and 12 days (B), germination percentage - GP (C), and seedlings height - SH (D). *: significant at the P < 0.05 level by t-test; **: significant at the P < 0.01 level by t-test.
In the follow-up analysis between pepper varieties and seed soaking times in saline solutions, C. frutescens pepper in the first count (on the fourth day) had the highest number of germinated seedlings (2.03) when its seeds were soaked in the solution for up to 4.3h. The means obtained with soaking times of 2, 6, and 8h were similar (1.6-1.9 seedling) (Figure 1A). In the second count on the twelfth day (Figure 1B), the number of germinated seedlings was lower for times greater than 2h (mean of 4.57 seedlings). However, from the soaking time of 8h, the number was less than 4 seedlings, and there was a reduction of approximately 21% under the soaking time of 10 h in comparison to that of 2h. For C. chinense pepper, there was no germination in the first count with soaking times of 2 and 10 h, reaching means with times of up to 5h, of the order of 0.12 seedlings (Figure 1A). In the count on the twelfth day, seedling germination increased with soaking time, reaching a mean maximum of 3.73 seedlings with a time of 6.5h (Figure 1B). It is worth pointing out that germination was higher (3.0 seedlings) under the longest time (10h) of seed immersion in saline solution compared to the time of 2h (2.53 seedlings).
The results show that the C. chinense pepper species required a longer time for germination when the seeds were pre-treated in saline solutions. In general, this species is characterized by dormancy problems, with slow and uneven germination according to Monteiro et al. (2008). Andrade and Laurentin (2015) recorded low germination of C. chinense seeds, which did not exceed 80% in 14 days with soaking times of 2, 5, and 10min in solutions with different concentrations of KNO3. These results agreed with those from Sá et al. (2019) who studied C. chinense seeds germinated under salinity stress for 30 days (in a protected environment - greenhouse, Campina Grande, Brazil). Seeds germination did not exceed 80% under salt concentrations ranging from 1.4 to 3.0dS m-1. The results of the present study show that presoaking of pepper seeds in saline solutions is necessary to improve their germination capacity. Therefore, they are of great relevance in conditions where brackish waters are employed in the process of seedling production.
Regarding germination percentage, C. frutescens pepper, the means were approximately 90% with seed times of up to 4h. Under a soaking time of 10 h, the percentage of germination was approximately 74%. The highest germination percentage (75.46%) for C. chinense pepper was observed with a soaking time of 6.4h, while the lowest germination was obtained with the time of 2h (53.04%) (Figure 1C). The values of germination percentages found in the present study are in line with the results of other studies for the same pepper species. For example, Adebisi et al. (2015) in Nigeria recorded germination percentage of 90.48 and 88.75% for C. frutescens and C. chinense, respectively, primed in different solutions (KCl and KH2PO4) for 12h (under laboratory conditions), at 8 days after germination. Batista et al. (2015) in Brazil reported germination of 88% when seeds were pre-treated with KNO3 for 20h, at 14 days after sowing (under a controlled environment - growing chamber at 25°C). At 15 days after sowing (under a controlled environment at 30°C in Nigeria), Eremrena and Mensah (2016) recorded a germination percentage of 80% in Capsicum frutescens L when the seeds were pre-treated with KNO3.
For seedling height, the opposite behavior was observed between the pepper varieties as a function of the soaking times. For C. frutescens pepper, the highest value of height (3.29cm) was observed with a soaking time of 3.2h, with a subsequent reduction, reaching approximately 16% with the soaking time of 10 h (Figure 1D). For C. chinense pepper, there was an increase in seedling height of approximately 31% with the time of 10h when compared to the time of 2h (2.18cm).
Different behaviors between pepper varieties were also recorded for root length (Figure 1E), when the highest means of 2.26 and 1.20cm for C. frutescens and C. chinense peppers were obtained with soaking times of 2 and 4h respectively.
Adequate establishment of the time for the soaking of seeds in salt solutions is extremely important to obtain success in the initial stand of seedlings, thus improving the establishment of the crop in the field. This has been done in studies for different species, such as Nicotiana tabacum (Caldeira et al., 2014; Lopes et al., 2019), pepper (Garruña-Hernández et al., 2014; Andrade and Laurentin, 2015; Ermis et al., 2016; Alcalá-Rico et al., 2019), Dianthus barbatus L. (González-Amaya et al., 2018), and canola (Shirazi et al., 2019).
According to the interaction between varieties and EC levels of the solutions, for the first and second count, the highest number of germinated seedlings for C. frutescens pepper decreased with increasing salinity. For example, while on the fourth day the maximum number of germination (1.95 seedlings) was estimated with an EC value of 3.67dS m-1 (Figure 2A), on the twelfth day the maximum number of 4.61 seedlings was estimated for the EC value of 2.84dS m-1 (Figure 2B). However, with the highest EC (6.0dS m-1), there was a greater reduction in the number of seedlings on the fourth day, approximately 29% in comparison to EC of 3.67dS m-1, while on the twelfth day, it was approximately 9% less in comparison to EC of 2.84dS m-1.
For C. chinense pepper in the first count on the fourth day, there was no satisfactory adjustment of any type of mathematical model to the data, with a mean value of 0.05 seedlings (Figure 2A). In the second count on the twelfth day (Figure 2B), the highest number of seedlings (3.35) was obtained under the lowest salinity (1.5dS m-1), while under the highest salinity (6.0dS m-1) the reduction was approximately 9%.
Regarding germination percentage, the maximum estimated value was 90.29% at solution EC of 2.55dS m-1 for C. frutescens pepper (Figure 2C). Nevertheless, under the EC levels of 1.5 and 3.0dS m-1, the values were around 90%, and under EC of 4.5dS m-1, the values were approximately 85%. For C. chinense pepper, the percentage of germination did not exceed 70%; however, the behavior was similar to that observed for C. frutescens pepper, when maximum germination percentage (67.26%) was observed at EC of 2.55dS m-1, and for the other EC levels mentioned above, the germination percentages were between 66-67%.
In the evaluation of seedling height, the maximum height of 2.19cm was observed at lower EC (1.5dS m-1) and 2.08cm at higher EC (6.0dS m-1) (Figure 2D). For the same variable, salt stress was more pronounced in C. frutescens pepper, reaching a reduction of approximately 26% at EC of 6.0dS m-1 when compared to the EC level of 2.77dS m-1 (3.28cm).
In the present study, the responses of the variables of initial growth of C. frutescens and C. chinense pepper species differed under solution salinity levels (Figure 2). The yield of crops depends on the rate and percentage of germination, the emergence of seedlings, and also on their uniformity (Balouchi et al., 2015), so seedling germination is a sensitive and crucial stage that plays an important role in the production process (Hozayn et al., 2019).
Different responses between plant species are reported in the literature regarding pre-treatment in solutions to attenuate salt stress (Moreno et al., 2017). Soaking increased the germination of Physalis angulata L. (Souza et al., 2016) and chia (Stefanello et al., 2019) seeds, and consequently their salt tolerance. Fredj et al. (2013), when evaluating different soaking times (12, 24, and 36h) of coriander seeds in solutions prepared with different NaCl concentrations (0, 2, 4, 6, and 8g L-1), reported germination percentage above 90% up to the concentration of 4g L-1, especially when the seeds were soaked for 12h. In the study conducted by Dalchiavon et al. (2016), the germination of Stageolus vulgaris seeds was on average equal to 99%, regardless of NaCl concentrations (0, 1.309, 1.964, 2.620, 3.273, and 3.928g L-1).
According to Oliveira et al. (2019), melon seeds can be pre-treated with KNO3 to improve germination and growth rate of seedlings under mild salt stress conditions; however, for severe stress conditions, the use of hydropriming should be preferred because it resulted in more vigorous seedlings. Jiang et al. (2020) with Isatis indigotica, found that salt resulted in a distinct decrease in the germination and seedling performance, indicating an unfavorable role of salt in the growth of this species.
According to Oliveira and Silva (2019), knowing how the different plant species react to salt stress is important because only in this way it is possible to seek mitigating strategies of salinity control in arid and semiarid regions, which are constantly more affected by the processes of soil salinization. While some species survive in soils with high salt concentrations, others are unable to establish in soils with small amounts of salts.
According to the various results presented, each species responds differently to the pre-treatment of seeds in saline solutions, which is reinforced by José et al. (2016), who reported that effective priming is highly dependent on both the osmotic potential of the solution and the duration of the treatment.
CONCLUSIONS
The data show that the responses of the evaluated variables of the pepper varieties differed with the times of soaking in saline solutions and their levels of electrical conductivity. Capsicum frutescens pepper was more tolerant to different times of soaking in saline solutions prepared with NaCl in relation to Capsicum chinense. For this reason, depending on the pepper species, pre-treatment is recommended in a salt solution with salinity levels compatible with those that will be employed in field conditions (in saline soils and/or irrigation with brackish waters). Thus, in addition to ensuring uniformity in the seedling standard, it is possible to avoid eventual losses in the pepper yield when cultivated under salinity.













