Services on Demand
Journal
Article
Indicators
-
Cited by SciELO -
Access statistics
Related links
-
Cited by Google -
Similars in
SciELO -
Similars in Google
Share
Boletín de Geología
Print version ISSN 0120-0283On-line version ISSN 2145-8553
bol.geol. vol.33 no.2 Bucaramanga July/Dec. 2011
PETROGRAFÍA Y GEOQUÍMICA DE LAS ROCAS
INTRUSIVAS AFLORANTES ENTRE LOS
MUNICIPIOS DE MISTRATÓ Y BELÉN DE UMBRÍA
(DEPARTAMENTO DE RISARALDA, CORDILLERA
OCCIDENTAL COLOMBIANA).
Diego Felipe Vallejo Hincapié1,2; Andrés Felipe Salazar Ríos1; Luz Mary Toro Toro1
1 Departamento de Ciencias Geológicas, Universidad de Caldas. felipe8831@hotmail.com,
andressalazar8907@hotmail.com, luz.toro@ucaldas.edu.co.
2 Instituto de Investigaciones en Estratigrafía (IIES), Universidad de Caldas.
RESUMEN
Las rocas Intrusivas objeto de estudio afloran en los municipios de Mistrató y Belén de Umbría, Departamento de Risaralda, sobre el flanco oriental de la Cordillera Occidental y al oeste del Sistema de Fallas Cauca-Almaguer. La parte norte del área, se caracteriza por un dominio de cuerpos gabroícos que varían de Microgabros a Gabros compuestos por plagioclasa (labradorita), piroxeno ± hornblenda. En el diagrama de K2O vs SiO2 los gabros se grafican en el campo de rocas bajas en potasio y pertenecientes a la serie toleítica. La unidad gabroíca presenta afinidad oceánica, y ha sido relacionada con el terreno oceánico de la Cordillera Occidental.
Al sur, aflora un conjunto de rocas ácidas que varían desde Cuarzodioritas a Granodioritas con predominio de la fase Tonalítica. La mineralogía consta de cuarzo, plagioclasa (andesina) ± hornblenda ± biotita ± feldespato potásico. Al suroriente el cuerpo ígneo ácido intruye al Gabro de Anserma formando una pequeña aureola de contacto, y hacia el occidente presenta una amplia zona milonitizada relacionada con la Falla Mistrató. Los resultados geoquímicos ilustran que estas rocas ácidas pertenecen a la serie calcoalcalina, formadas en un cinturón magmático durante Paleógeno.
Palabras clave: Cordillera Occidental, Geoquímica, Toleítica, Calcoalcalina, Falla Mistrató.
PETROLOGY AND GEOCHEMISTRY OF THE INTRUSIVE ROCKS OUT
CROPPING BETWEEN MISTRATÓ AND BELÉN DE UMBRÍA TOWNS,
(RISARALDA DEPARTEMENT, WEST CORDILLERA COLOMBIANA).
ABSTRACT
The intrusive rocks studied are located between Mistrató and Belén de Umbría towns, Risaralda department, on the eastern flank of the Western Cordillera, at the west of Cauca-Almaguer Faults System. The north of area is dominant by Microgabbros and Gabbros compound of plagioclase (labradorite), ortopiroxene, clinopiroxene ± hornblende. The geochemistry diagrams show low values in potassium, of the tholeitic serie and affinity oceanic. The gabbroic unit has been related with the oceanic terrane of the Western Cordillera.
At the south, the outcrops are of acid rocks that go from Quartzdiorite to Granodiorite with higher presence of tonalite. The mineralogy consists of plagioclase (andesine) ± hornblende ± biotite ± alkali feldspar; to the southeast this body is in an intrusive contact with Gabro de Anserma generating a thin contact aureole, and the west presents a wide zone of mylonitic rocks associated with the Mistrató Fault. The Geochemistry results confirm a calco-alkali character, produced in a setting volcanic-arc during the Paleogene.
Keywords: Western Cordillera, Geochemistry, Tholeitic, Calcoalkali, Mistrató Fault.
INTRODUCCIÓN
En el flanco Oriental de la Cordillera Occidental, al norte del Departamento Risaralda entre los municipios de Mistrató y Belén de Umbría, afloran diferentes cuerpos intrusivos básicos y ácidos, conocidos como "Cuarzodiorita de Mistrató (González, 2002) y/o "Plutón de Mistrató" (Calle y González, 1982)". (FIGURA 1). Esta unidad ha sido correlacionada por diferentes autores con el Batolito de Sabanalarga de edad cretácica y con el Batolito de Mandé del mioceno; posteriormente Maya, M., (1992) realiza una datación K/Ar en roca total en este cuerpo arrojando una edad de 46±7 Ma.
El objetivo del presente trabajo es presentar resultados de los estudios petrológicos y geoquímicos de las rocas intrusivas básicas y ácidas que afloran entre los municipios de Mistrató y Belén de Umbría.
MARCO GEOLÓGICO REGIONAL
El basamento del Occidente Colombiano se caracteriza por la presencia de entidades litológicas heterogéneas con relaciones estructurales intrincadas y localmente afectadas por un severo tectonismo compresivo (Moreno et al, 2008). Específicamente las rocas del área trabajada, han sido reportadas como los niveles plutónicos de una Provincia Litosférica Oceánica de la Cordillera Occidental (PLOCO), debido a su relación espacial íntima (contacto intrusivo) con las rocas volcánicas básicas de la Formación Barroso y los plutones básicos del borde oriental de la Cordillera Occidental (ie. Gabros de Anserma, Stock de Buriticá, Batolito de Sabanalarga, entre otros). (Nivia, 2001).
METODOLOGIA
Inicialmente se hizo una revisión cartográfica a escala 1:25.000 con el fin de verificar y determinar la extensión de la unidad de gabros y la unidad de tonalitas, con mediciones de elementos estructurales mesoscópicos. Simultáneamente se realizó el muestreo de rocas con estaciones georeferenciadas de forma consecutiva en los cuerpos. Las muestras individuales fueron divididas para obtener fracciones, 10 para analisis químicos y 15 para sección delgada, realizando un conteo de 600 puntos por placa para su clasificación, (Le Maitre, 2002).
Los análisis químicos de roca total para elementos mayores y traza en Acme Analytical Laboratories, Vancouver BC, Canadá, por el método Inductively Coupled Plasma-Mass (ICP-MS), por fusión de metaborato /tetraborato de litio y digestión de 0,2 g de muestra en ácido nítrico. La precisión lograda por este procedimiento es de ±2 y ±5 para una concentración analítica entre 50 y 5 ppm respectivamente.
CARACTERIZACIÓN PETROGRÁFICA
Las unidades de rocas intrusivas descritas en el área de estudio están representadas principalmente por cuerpos gabroícos, tonalíticos y rocas metamórficas de alto grado (Granulitas). En menor proporción aflora una franja occidental de Protomilonitas y Milonitas asociadas a la Falla Mistrató (FIGURA 1).
Cuerpo Intrusivo Básico
Se ha llamado cuerpo intrusivo básico, a la unidad básica que presenta variaciones en tamaño y composición desde microgabros, gabros y cuarzo-gabros, aflorante principalmente al norte de la zona, con un área aproximada de 49 km2, de color gris-verdoso y tamaño de grano medio-fino; el cuerpo se encuentra en contacto intrusivo con rocas metamórficas básicas y al occidente en contacto fallado con la Formación Barroso (FIGURA 1). A nivel microscópico las rocas fueron clasificadas como Gabros, Gabronoritas y Noritas, con textura general holocristalina fanerítica inequigranular y texturas especiales cúmular y ofíticas; la fase mineral predominante es la plagioclasa (19 -58%), con cristales idimórficos a subidiomórficos, escasamente zonados, su composición de labradorita se determino por medio del método de Michel Lévy ( An52 An62) y tamaños que varían desde 0.2 a 1.3 mm con fuerte alteración a sausurita. Los piroxenos (augitas) están presentes entre (13-30%), son de forma subhedral-anhedral, con dimensiones hasta 2.5 mm, fuertemente alterados a hornblenda y minerales fibrosos (actinolita), su ocurrencia es en fase intercúmulo rodeando plagioclasas cúmulo. (FIGURA 2). Como minerales accesorios se identificaron cuarzo, titanita, epidota y opaco; los minerales secundarios ó de introducción son clorita, sausurita y actinolita.
Cuerpo Ácido
Las rocas asociadas a este cuerpo se localizan al sur de la zona, con un área de 57.8 km2 (FIGURA 1) y consisten de rocas que van desde Cuarzodioritas, a Granodioritas, con predominio de la facies Tonalítica. En campo se observa un material fácilmente deleznable con tonalidades rojizas amarillentas debido a la alta meteorización; éste fenómeno es muy común en el cuerpo, impidiendo obtener muestras representativas.
En diferentes sectores de la vía Mistrató-Puente Umbría, el cuerpo ácido intruye rocas metamórficas de alto grado (granulitas, reportadas por primera vez en éste trabajo) sin observarse alguna marca de temperatura; un poco más al SE en la vía que une Mistrató-Belén de Umbría, en la vereda Puente Umbría, se observan las Tonalitas intruyendo al Gabro de Anserma generando una delgada (1cm) aureola de contacto, clasificada como Cornubianas Biotititas en facies Albita-Epidota. FIGURA 3). Al occidente del área, afloran Protomilonitas tonalíticas en contacto con la Formación Barroso, sin observarse ningún carácter intrusivo (FIGURA 2).
Bajo el microscopio son clasificadas como Cuarzodioritas y Tonalitas Hornbléndicas con textura general holocristalina fanerítica inequigranular y algunas evidencias de recristalización dinámica, que impiden observar con claridad las texturas originales de la roca ígnea. Los cristales de cuarzo están entre (8 -15%), en contactos suturados con formas anhedrales y de manera intersticial; La plagioclasa es el mineral más frecuente con porcentajes de (30 - 65%), tiene forma tabular con tamaños que varía desde 1 - 1.5 mm de largo, maclas tipo albita, albita-Carlsbad, aunque en ciertos casos se produce una deformación en el maclado lo que dificulta en su medición por el método de Michel-Levy; su composición varía entre An40 An44 (andesina) y los centros de los cristales están fuertemente alterados a sericita. (FIGURA 4). Como minerales accesorios se encuentran hornblenda, biotita ± titanita, y los minerales de alteración son clorita, sausurita y sericita.
GEOQUÍMICA
En la TABLA 1 se presentan los resultados de los análisis químicos realizados, libres por perdidas por ignición; los gráficos se calcularon con base anhidra y normalizados al 100%. Para descartar la posibilidad de que las muestras seleccionadas para análisis químicos se encontraran alteradas, se utilizó el diagrama propuesto por Miyashiro (1974), para observar el grado de alteración de las rocas, observando que todas las muestras se encuentran en el campo de rocas frescas (FIGURA 5).
Clasificación Geoquímica
Las rocas plutónicas son clasificadas químicamente basados en el contenido total de álcalis versus el contenido total de sílice (Cox et al. 1979), confirmando así, la caracterización petrográfica de dos cuerpos, gabros-dioritas y Cuarzodioritas-Granodioritas. (FIGURA 6A). En el diagrama AFM propuesto por Irvine and Baragar (1971), se hace evidente que las rocas básicas muestran un carácter toleítico, con incremento de Fe con respecto al Mg; mientras que las tonalitas evidencian un carácter calco-alcalino, con un progresivo enriquecimiento en álcalis. (FIGURA 6A).
Discriminación Tectónica
Para discriminar si las rocas se generaron en un ambiente oceánico o continental se utiliza el diagrama de Pearce et al. (1975), Observándose nuevamente un contraste entre los ambientes tectónicos de las rocas ácidas asociadas a un ambiente continental y las básicas formadas en ambientes oceánicos. (FIGURA 7); en el diagrama de Pearce (2008), las rocas básicas se proyectan en el campo de interacción pluma-ridge (FIGURA 8).
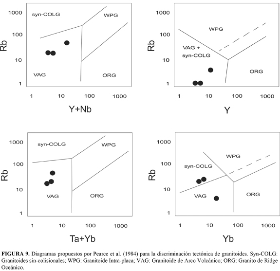
En los diagramas de Pearce et al. (1984), se observa una afinidad con magmatismo de arco volcánico (FIGURA 9) para las rocas ácidas que conforman el Plutón de Mistrató, estos rasgos son indicativos de granitos tipo I y no de granitoides generados en dorsales oceánicas, (sensu Chappel and White, 1974; Pearce et al., 1984; Best, 2001).
GEOQUÍMICA DE LAS TIERRAS RARAS Y ELEMENTOS TRAZA
Inicialmente las rocas del sector norte fueron normalizadas con respecto a las concentraciones de Tierras Raras (REE) en la condrita, según Nakamura (1974), mostrando patrones relativamente homogéneos, planos y enriquecidos hasta 10 veces con respecto ésta (FIGURA 10), comportamiento típico de rocas generadas en una dorsal mesooceánica tipo MORN (Wilson, 1989). Sola la muestra HR-14, exhiben anomalías positiva de Eu, debido a que probablemente el fraccionamiento de la plagioclasa fue el proceso más importante en la génesis de esta roca.
Para las rocas del sector centro y sur del municipio de Mistrató, se observan igualmente patrones de enriquecimientos en elementos de Tierras Raras Livianas (LREE) en el diagrama de normalización a condrito según Nakamura (1974); estos enriquecimientos se encuentran asociados a márgenes continentales (Gromet and Silver, 1987; Thorpe et al., 1984; Wilson, 2007).
DISCUSIÓN Y EVOLUCIÓN GEOLÓGICA
Las relaciones de campo, evidencias petrográficas y geoquímicas, sugieren que el cuerpo conocido como Cuarzodiorita de Mistrató (sensu González, 2002), consiste de rocas ígneas intrusivas tales como: Gabros, Noritas y Tonalitas Hornbléndicas. Se destacan dentro de este cuerpo Metabasitas de alto grado metamórfico (Granulitas) sin relación directa con ambientes de Plateau.
Los análisis geoquímicos revelan que las rocas básicas del sector norte del municipio de Mistrató fueron originadas en ambientes de fondos oceánicos tipo MORB y que podrían ser correlacionadas con el llamado "Gabro de Anserma", cómo lo soportan los datos de petrográfica y geoquímica (FIGURAS 6, 7, 8). De la misma manera, datos geoquímicos sugieren que las rocas ácidas, Tonalitas hornbléndicas, corresponden a rocas generados en ambientes de zonas de subducción, y no son generados por diferenciación de corteza oceánica.
Edades radiométricas (localidad no especificada) indica una edad Paleógena para la Tonalita hornbléndica. Este dato hecho sobre roca total arrojó una edad de 46 ± 7 Ma por el método K/Ar (Maya, 1992; González y Londoño, 1998). Esta datación es coherente con los datos radiométricos obtenidos para el Gabro de Anserma (71± 2.1 M.a. K/Ar en roca Total. Maya, 1992).
La presencia de estructuras desarrolladas en zonas de deformación dúctil como las Milonitas, con una cinemática de tipo inverso y componente dextral con buzamiento alto hacia el Este a lo largo de la Falla Mistrató, sugieren un contacto entre dos bloques alóctonos de origen oceánico, el oriental formado por las rocas básicas está intruído por las Tonalitas hornbléndicas y el occidental por las rocas básicas de la Formación Barroso.
CONCLUSIONES
La unidad denominada por Calle y González (1982) cómo Plutón de Mistrató y por González (2002) como Cuarzodiorita de Mistrató, consta de dos cuerpos que pueden estar o no relacionados genéticamente, el cuerpo más antiguo al más joven en edades relativas son: un Cuerpo Básico al norte con 49 km2 y evento ultimo que generó el Cuerpo Ácido de 57.8 km2 que intruye las rocas básicas.
El cuerpo básico está compuesto principalmente de Gabros y Noritas con una fase mineralógica principal de plagioclasa tipo labradorita (An52 An62) que generan texturas cúmulo; los patrones geoquímicos son típicos de rocas formadas en pisos oceánicos (MORB). Estos rasgos son similares a los presentados por el Gabro de Anserma, permitiendo hacer una correlación entre ambas unidades.
Las rocas ácidas caracterizadas en este trabajo, son Cuarzodioritas, Tonalitas hornbléndicas y Granodioritas con predominio de la facies Tonalítica y plagioclasa tipo Andesina (An40 An44) como mineral predominante. Estas rocas presentan una clara relación intrusiva con el Gabro de Anserma y el Cuerpo Básico al norte cómo lo sustenta la aparición de cornubianas biotíticas en la vía Puente Umbría - Belén de Umbría. Los resultados geoquímicos obtenidos en este trabajo y la edad reportada por (Maya, 1992; González y Londoño, 1998) de 46 ± 7 Ma, representarían los niveles plutónicos de un arco continental durante el Paleógeno, indicando un sistema de subducción corteza oceánica-corteza continental ya establecida para este periodo.
AGRADECIMIENTOS
Expresamos nuestro agradecimiento al Instituto IIES ANH - Laboratorios GMAS (Bogotá) por el patrocinio de los análisis de laboratorio y a la Universidad de Caldas por la ayuda con las instalaciones en Petrografía. Al Geólogo Ph.D. Mario Moreno Sánchez por sus discusiones y correcciones al texto.
BIBLIOGRAFÍA
Best, M. 2001. Igneous and Metamorphic Petrology. Second Edition. Blackwell Publishing. [ Links ]
Calle, B., y González, H. 1982. Geología y Geoquímica de la Plancha 186 Riosucio. INGEOMINAS, Informe 1878, 124 p. Medellín. [ Links ]
Chappel B.W. and White A.Jr. 1974. Two contrasting granite types. Pacific Geology 8: 173-174. [ Links ]
Cox K.G., Bell J.D. and Pankhurst R.J. 1979. The Interpretation of Igneous Rocks. Allen & Unwin, London. [ Links ]
González, H. 2002. Catálogo de las unidades litoestratigráficas de Colombia, Cuarzodiorita de Mistrató, INGEOMINAS, Bogotá. [ Links ]
González, H. y Londoño, G.A.C. 1998. Edades K-Ar en algunos plutones del Graben del Cauca y norte de la Cordillera Occidental. Universidad Nacional de Colombia, Geología Colombiana, 23: 117-131. [ Links ]
Gromet, L. and Silver. L. 1987. REE variations across the peninsular ranges batholiths: implications for batholithic petrogenesis and crustal growth in magmatic arcs. Journal of Petrology, 23(1):75-125 [ Links ]
Irvine T.M. and Baragar W.R. 1971. A guide to the chemical classification of common volcanic rocks. Canad J Earth Sci 8: 523-548. [ Links ]
Le-Maitre, R.W. 2002. Igneous Rocks. A Classification and Glossary of Terms. Recommendations of the International Union of Geological Sciences Subcommission on the Systematics of Igneous Rocks, 2nd ed. [ Links ]
Maya, M. 1992. Catálogo de dataciones isotópicas en Colombia: Boletín Geológico INGEOMINAS, 32: 127- 187. [ Links ]
Miyashiro, A. 1974. Volcanic rocks series in island arcs and active continental margins. American. Journal of Science. 274:321355. [ Links ]
Moreno, M., Gómez, A. y Toro, L. M. 2008. Proveniencia del material clástico del Complejo Quebradagrande y su relación con los complejos estructurales adyacentes. Boletín de Ciencias de la Tierra, 22: 27-47. [ Links ]
Nakamura, N. 1974. Determination of REE, Ba, Fe, Mg, Na and K in carbonaceous and ordinary chondrites. Geochem. Cosmochim. Acta, 38, pp. 757775. [ Links ]
Nivia, Á. 2001. Mapa geológico del Departamento del Valle del Cauca. Escala 1:250.000. Mapa y memoria explicativa. INGEOMINAS, Bogotá, 148p. [ Links ]
Pearce, J.A. 2008. Geochemical fingerprinting of oceanic basalts with applications to ophiolite classification and the search for Archean oceanic crust. Lithos 100:1448. [ Links ]
Pearce. J.A., Harris N.W. and Tindle A.G. 1984. Trace element discrimination diagrams for the tectonic interpretation of granitic rocks. J. Petrology 25: 956-983. [ Links ]
Pearce, J.A., Gorman, B. and Birkett, T. 1975. The TiO2 K2OP2O5 diagram; a method of discriminating between oceanic and nonoceanic basalts. Earth Planet. Sc. Lett., 24: 419426. [ Links ]
Thorpe R.S., Francis P.W., O'Callaghan L., Hutchison, R. and Turner, J.S. 1984. Relative roles of source composition, fractional crystallisation and crustal contamination in the petrogenesis of Andean volcanic rocks., Phil. Trans. R. Soc. Lond., A310 (1514): 675-692 [ Links ]
Wilson, M. 1989. Igneous Petrogenesis. Unwin Hyman, London, 146p. [ Links ]
Wilson, C.J.N. 2007. The geology of mayor Island (Tuhua): a brief introduction. Geological Society of New Zeland. Miscellaneous Publication, 123B: 63-68. [ Links ]
Trabajo recibido: Septiembre 26 de 2011
Trabajo aceptado: Diciembre 2 de 2011
























