Services on Demand
Journal
Article
Indicators
-
Cited by SciELO -
Access statistics
Related links
-
Cited by Google -
Similars in
SciELO -
Similars in Google
Share
Boletín de Geología
Print version ISSN 0120-0283
bol.geol. vol.36 no.2 Bucaramanga July/Dec. 2014
DE CUMANÁ, ESTADO SUCRE, VENEZUELA
ORIENTAL
Karellys Leal1; Luis Scremin1; Franck Audemard1,2; Eduardo Carrillo3
1 Escuela de Geología, Minas y Geofísica, Universidad Central de Venezuela, Los Chaguaramos, Caracas, Venezuela, kaandre87@gmail.com, luisdaniel17@gmail.com
2 Fundación Venezolana de Investigaciones Sismológicas -Funvisis-, El Llanito, Caracas, Venezuela, faudemard@funvisis.gob.ve
3 Centro de Geología del Instituto de Ciencias de la Tierra; Universidad Central de Venezuela, eduardo.carrillo@ciens.ucv.ve.
Forma de citar: Leal, K., Scremin, L., Audemard, F., y Carrillo, E. 2014. Paleotsunamis en el registro geológico de Cumaná, estado Sucre, Venezuela oriental. Boletín de Geología, 36 (2): 45-70.
En el presente trabajo de investigación se realiza un estudio geológico del complejo lagunar Los Patos, en un ambiente próximo costero y se busca verificar la existencia de paleotsunamis en el oriente del país, mediante estudios sedimentológicos, geoquímicos y paleontológicos a través de núcleos no perturbados tomados en dicha albufera en la ciudad de Cumaná. Fueron analizados los núcleos L-Patos 09-01 y L-Patos 09-02, donde la geoquímica se aplicó al núcleo L-Patos 09-01 mediante difracción de rayos X, análisis de elementos mayoritarios (fluorescencia de rayos X -FRX-) y dataciones 14C, mientras el núcleo L-Patos 09-02 se utilizó para la realización de análisis de susceptibilidad magnética. Los resultados mostraron una secuencia cuaternaria de sedimentación típica de ambientes lagunares costeros, con un predominio de facies arcillosas y limosas, con escasos intervalos delgados de arenas muy finas. Mineralógicamente, la fracción detrítica se encuentra representada por el cuarzo y minerales de arcilla (ilita y caolinita); ambos se presentan como constituyentes esenciales de los sedimentos. Así mismo, se presentan minerales evaporíticos como yeso y halita. Se establecieron cinco facies sedimentarias que mostraron características texturales químicas y mineralógicas diferentes. Así mismo, se demostró que las arenas limpias ubicadas en el tope de la secuencia, presentaron características sedimentológica (bases erosivas, geoquímica (aumento de Ca y S) y paleontológicas (restos de plantas y raíces), que permiten evidenciar la ocurrencia de paleotsunamis en la laguna Los Patos, Venezuela.
Palabras Clave: Lagunas costeras, Tsunami, Facies, Rayos-X, Datación 14C.
PALEOTSUNAMIS IN THE GEOLOGICAL RECORD OF CUMANÁ, SUCRE
STATE, EASTERN VENEZUELA
ABSTRACT
This paper is a geological research about the Los Patos lagoon complex, which is performed in the near coastal environment and its purpose is to verify the existence of paleotsunamis in the east of the country, by sedimentological, geochemical and paleontological studies through undisturbed cores taken in that lagoon of the Cumaná city. Two cores were examined, L-Patos 09-01 and L-Patos 09-02. The L-Patos 09-01 core was analyzed using geochemical methods like X-ray diffraction, major elements (X-ray fluorescence X-FRX) and 14C dating, while the L-Patos 09-02 core was used for the analysis of magnetic susceptibility. The results showed a typical sequence of Quaternary sedimentation of coastal lagoon environments, with a predominance of argillaceous and silty facies with few and thin intervals of very fine sand. Mineralogically, the detrital fraction is represented by quartz and clay minerals (illite and kaolinite); both are presented as essential constituents of the sediments. Also, evaporite minerals such as gypsum and halite are presented. Five chemical sedimentary facies were identified according to the different mineralogical and textural characteristics. Also, it was shown that the clean sand located at the top of the sequence presented sedimentological characteristics (erosive bases, geochemistry (increased Ca and S) and paleontological (remains of plants and roots), that suggest the occurrence of paleotsunamis in Los Patos lagoon, Venezuela.
Keywords: Coastal lagoon, Tsunami, Facies, X-ray, 14C dating
La laguna costera Los Patos también conocida como complejo lagunar de San Luis, está ubicada entre las latitudes 1'151.750 N y 1'156.400 N y las longitudes 367.000 E y 375.000 E, al suroeste de la ciudad de Cumaná, estado Sucre, a una altura promedio de un m.s.n.m. El límite norte de la laguna, lo define la carretera Cumaná - Puerto La Cruz que la separa del mar y el límite sur lo constituyen las quebradas Tumba y La Llanada (Lara et al, 1999) (FIGURA 1). Dicho complejo lagunar, se encuentra constituido por cuerpos de aguas desarrollados en el extremo sur-oeste de la planicie costera sobre la cual se encuentra la ciudad de Cumaná. No obstante, se pueden distinguir algunos rasgos geomorfológicamente contrastantes dentro del área de influencia lagunar, tales como las elevaciones representadas por los cerros Malagueño, Colorado, del Medio y Cascajal, siendo la morfología actual de la zona, el producto de los procesos sedimentarios dominados por el paleodelta del río Manzanares, los cambios climatológicos producidos durante el Holoceno y la tectónica regional predominantemente transcurrente de la Falla de El Pilar, la cual le ha conferido a la zona un significativo historial sísmico.
Según reseñas históricas y registros de riesgos geológicos del país, el oriente venezolano constituye una zona que ha sido afectada por fenómenos naturales de diferente índole. Una de las ciudades considerablemente citadas dentro de dichos registros es Cumaná, la cual desde su fundación en el siglo XVI (1515) hasta la actualidad, ha tenido que ser reconstruida en numerosas oportunidades, debido a los efectos devastadores que han ocasionado algunos fenómenos naturales sobre la misma, destacándose entre ellos los movimientos sísmicos, tal como es reflejado en los reportes sismológicos realizados por los organismos encargados del monitoreo de dicha actividad en el territorio nacional, representados por la Fundación Venezolana de Investigaciones Sismológicas (FUNVISIS).
Por otro lado, un fenómeno natural que también resalta dentro de los expedientes históricos del oriente del país, está representado por la ocurrencia de tsunamis en las costas venezolanas; hecho que ha sido reportado en investigaciones previas por autores como, Singer et al. (1983), Schubert (1994) y Audemard (2007). Así mismo, Theilen-Willige (2006) estudia la posibilidad de ocurrencia de inundaciones tsunamigénicas en el norte de Venezuela y realiza un modelo donde muestra las potenciales zonas de inundación en la ciudad de Cumaná (FIGURA 2). El estudio de paleotsunamis se ha convertido en una herramienta importante en la definición de riesgos y los indicios históricos de la ocurrencia de este tipo de invasión marina sugiere que dicho fenómeno suele ser recurrente en el tiempo, por lo cual, este estudio busca examinar las huellas dejadas en potenciales áreas de inundación asociadas a eventos pasados con efectos destructivos, tomando como punto de partida el registro sedimentario de la laguna costera Los Patos, en Cumaná, estado Sucre.
La invasión de las olas tsunamigénicas, cargadas de energía, en continente pueden dejar vestigios geológicos en áreas costeras y generar depósitos sedimentarios característicos, constituidos por material marino transportado, sedimentos continentales y materia orgánica, los cuales pueden quedar preservados en el registro estratigráfico, geoquímico y paleontológico de localidades aledañas a la costa. A pesar de que estos ambientes generalmente tienen un bajo potencial de preservación para los depósitos del tsunami, las lagunas costeras, pueden ser eficientes como trampas de sedimentos, ya que son ambientes relativamente tranquilos.
El contexto tectónico dominantemente transcurrente, representado principalmente por la Falla de El Pilar (zona de posibles focos sísmicos) y la existencia de la fosa tectónica de Cariaco (zona de posibles deslizamientos submarinos), pudieron haber constituido una fuente de perturbaciones del fondo marino. Esto se evidencia en los registros de eventos sísmicos de la ciudad de Cumaná, en especial los sucesos de 1530, 1853 y 1929, los cuales según datos referidos por Singer et al. (1983), Schubert (1994), Lander et al. (2002) y Audemard (2007), ocasionaron olas de gran tamaño que llegaron a impactar las costas de dicha ciudad.
Este trabajo permitirá contar con información necesaria que ayudará a determinar con bases geológicas, la ocurrencia de paleotsunamis en la ciudad de Cumaná; lo cual abrirá campo para la promoción de nuevos estudios acerca de tsunamis en el territorio venezolano. Así mismo, serviría para que se inicien proyectos de concientización de las poblaciones que residen principalmente en las zonas costeras, aumentando su grado de resiliencia y por ende disminuir la vulnerabilidad de la sociedad ante dicha amenaza.
La metodología utilizada para realizar el estudio geoquímico y sedimentológico de los núcleos provenientes de un punto de la albufera, comprenden tres etapas fundamentalmente: recolección, procesamiento e interpretación de datos.
Esta primera etapa comprende los siguientes aspectos: Recopilación bibliográfica.
Interpretación de las fotografías aéreas obtenidas en el Instituto Geográfico Venezolano Simón Bolívar, correspondientes a la zona de estudio, para realizar el reconocimiento general de la misma. Específicamente las fotografías aéreas (número 01-04) a escala 1:35.000 de la misión 0402118 del año 1981; (005-008; 024-030) a escala 1:25.000 pertenecientes a la misión 0402129 del año1989; (017-021; 040-042; 046-049; 068-075; 078-090; 106-109) a escala 1: 12.500 concernientes a la misión 0402-CN del año 1948 y (583-591; 607-619; 651-663) a escala 1:3.000 referentes a la misión 40 tomadas en el año 1937.
Revisión y digitalización de los mapas topográficos 7347-II-NO y 7347-II-SO a escala 1:25.000 y el mapa de Incostas (1981) a escala 1:6.250, que fueron utilizados como base para los mapas resultantes de este trabajo.
Esta etapa comprende los diversos análisis de laboratorio realizados para el estudio sedimentológico y geoquímico de los núcleos, L-Patos 09-01 y L-Patos 09-02, tomados dentro del complejo lagunar Los Patos, por un grupo de investigadores de FUNVISIS (Fundación Venezolana de Investigaciones Sismológicas) (FIGURA 3).
Apertura y fotografiado del núcleo L-Patos 09-01 en la Facultad de Ciencias de la Universidad Central de Venezuela: primeramente se delimitó el plano axial del núcleo (FIGURA 4A) por el cual, mediante el uso de un dremel (FIGURA 4B), se procedió a cortar el tubo PVC (FIGURA 4C), para posteriormente introducir en la ranura un nailon debidamente tensionado de forma tal que al ser movilizado uniformemente, cortó transversalmente los sedimentos, en sentido de base a tope (FIGURA 4D). Seguidamente se separaron ambas partes y se procedió a limpiar la superficie con un cuchillo (FIGURA 4E), de manera tal que no se mezclara el material de cada capa. Luego se fotografió cada una de las partes obtenidas, utilizando como escala una cinta métrica colocada lateralmente a los tubos (FIGURA 4F).
Descripción detallada del núcleo L-Patos 09- 01: en primer lugar, se realizó una observación general del núcleo, con el fin de determinar cambios sedimentológicos apreciables a escala macro, para luego describir detalladamente otros cambios texturales a escala (milimétrica), con la finalidad de diferenciar el tipo de sedimento presente, color, textura, geometría y espesor de capas, así como, el contenido carbonático (mediante el uso de HCl), y el contenido orgánico, presentes en los sedimentos. Para la diferenciación textural y mineralógica a mayor escala, se realizaron observaciones con el uso de una lupa de 20X, para así lograr determinar la mineralogía (si fuese apreciable) y el contenido orgánico (restos de plantas, raíces, entre otros), que pudiesen ser identificados con el uso de este instrumento. Esta etapa fue complementada por la revisión de las muestras de los sedimentos a través del uso del microscopio de luz polarizada, con el fin de precisar características como tamaño de grano, redondez, y proporciones grano/matriz. La preparación de las muestras para este ensayo consistió en colocar el material sobre una lámina de vidrio, a la cual se le agregó una gota de agua destilada, y utilizando una espátula delgada se distribuyó el sedimento de manera uniforme.
Muestreo del núcleo L-Patos 09-01: consistió en la toma de sedimentos cada centímetro, para colectar un total de 37 muestras que posteriormente fueron utilizadas para la preparación de los estudios. Se colocó una cinta métrica en uno de los bordes del núcleo, para establecer los puntos de muestreo (FIGURA 5A). Posteriormente, se utilizaron dos espátulas finas, las cuales se introdujeron dentro de los sedimentos con una separación no mayor a los dos milímetros (FIGURA 5B) y profundizando hasta llegar al contacto con el tubo PVC, para recolectar la mayor cantidad de muestra posible. Luego, dichas espátulas fueron extraídas con sumo cuidado para no contaminar el material obtenido. Por último, se depositó la muestra en un embase debidamente rotulado, con el nombre del núcleo y la profundidad a la cual fue tomado dicho material.
Revisión micropaleontológica: para ello se procedió a realizar una revisión de los sedimentos, por medio de una lupa binocular. Dicha revisión se realizó colocando cada una de las 37 muestras recolectadas en láminas de vidrio, de forma tal que el sedimento quedó bien disperso, para facilitar así la diferenciación de los granos que componen la muestra y por ende la distinción del contenido micropaleontológico que pudiera estar presente.
Realización de análisis geoquímicos: los análisis geoquímicos realizados al núcleo L-Patos 09-01 abarcaron, difracción de rayos X, análisis de elementos mayoritarios (fluorescencia de rayos X) y dataciones 14C. Mientras que el núcleo L-Patos 09-02 se utilizó para la realización del análisis de susceptibilidad magnética, llevado a cabo en el "Laboratorie de Géodvnamique des Chaines Alpines (LGCA) de la Université de Savoie, Francia" por el Dr. Christian Beck, mediante el uso del Surface scanner sensor, marca Bartingrton, Type MS2E. Difracción de rayos X: para ello, se realizó la preparación de las muestras mediante el llamado Método del Polvo, el cual consiste en triturar y pulverizar la muestra seca en un mortero manual de ágata hasta obtener un material homogéneo con tamaños de granos entre 10 y 50 μm, para luego ser colocadas en el portamuestras del difractómetro con una distribución al azar (FIGURA 6). Posteriormente, se introdujo la muestra en el difractómetro, a partir del cual se obtiene el difractograma, para luego ser dilucidado y determinar las facies mineralógicas presentes.
Análisis de los elementos mayoritarios mediante la técnica de fluorescencia de rayos-X: primero se pulverizó la muestra, de forma manual utilizando un mortero de ágata, hasta su paso por el tamiz # 120. Posteriormente se montó la muestra en el porta-muestras para luego introducirla en el equipo (FIGURA 7).
Determinación cronoestratigráfica, mediante el método de 14C: para este análisis se tomaron tres muestras de sedimentos, una hacia el tope de la secuencia, a una profundidad de 4,7 cm y otra hacia la base, a unos 35,7 cm, con el fin de obtener el período de tiempo en el cual fue depositada la secuencia; y una tercera muestra, a una profundidad de 13,7 cm, debido a un marcado cambio textural observado dentro de la secuencia (FIGURA 8). Dichas muestras fueron tomadas hacia el centro del núcleo buscando evitar errores por rejuvenecimiento de la secuencia. Posteriormente, las mismas fueron procesadas por el laboratorio estadounidense Beta Analytic Inc, a cargo de M.A. Tamers y D.G. Hood, cuya sede funciona en Miami, Florida.
Procesamiento estadístico: Una vez obtenido los datos a partir de los diversos análisis geoquímicos, es necesario determinar el comportamiento o relaciones existentes dentro de la data, en función de la profundidad, lo cual permite realizar mejores interpretaciones. Por esta razón, a las variables obtenidas en los ensayos (concentraciones elementales) se les aplican diversos métodos estadísticos, univariantes (diagramas de caja, diagramas de dispersión y test estadístico) y multivariantes (análisis de agrupaciones, análisis de componentes principales y funciones discriminantes).
Esta etapa se lleva a cabo una vez realizada la etapa de laboratorio, y comprende tanto la definición de posibles facies sedimentarias y ambientes depositacionales, como el establecimiento de conclusiones finales. Las diferentes facies sedimentarias fueron determinadas a partir de los cambios texturales y geoquímicos de los sedimentos observados tanto en la fase de descripción del núcleo como en los análisis de laboratorio realizados. Posteriormente se procedió a la compilación de los datos obtenidos durante el desarrollo de este proyecto, los cuales fueron procesados y analizados con el fin de dilucidar las interrogantes planteadas al inicio de la investigación.
A continuación se presentan los resultados obtenidos de los diferentes estudios realizados a los núcleos tomados en la Laguna Los Patos, los cuales servirán de herramienta para la caracterización del registro sedimentario reciente de dicha albufera.
Los núcleos L-Patos 09-01 y L-Patos 09-02, fueron tomados dentro del complejo lagunar Los Patos, en la periferia de un segmento que separa los espejos de agua denominados L3 y L4 (FIGURA 9). Los puntos pertenecientes a la toma de dichos núcleos corresponden a las siguientes coordenadas geográficas:
- L-Patos 09-01: latitud 1'153.226 y longitud 368.217
- L-Patos 09-02: latitud 1'153.228 y longitud 368.216
Los depósitos de laguna estudiados a través del núcleo L-Patos 09-01 (FIGURA 10), muestran un dominio de facies arcillosas y facies limosas, con escasos intervalos delgados de arenas muy finas. Las facies arcillosas dispuestas principalmente hacia la base, se caracterizan por poseer una coloración marrón, alta plasticidad, textura homogénea y laminaciones delgadas de arenas muy finas de color marrón claro a ocre (FIGURA 10a); mientras que en las facies limosas, las cuales presentan lentes de arenas dispuestos aleatoriamente, se pueden distinguir dos tipos, uno compuesto por limos-arcillosos de color marrón (FIGURA 10b), que suprayacen en contacto directo a las facies arcillosas, y otro constituido por arenas-limosas de color marrón (FIGURA 10c), dispuestos hacia la parte superior del núcleo, que a su vez infrayacen a dos capas de arenas limpias bien escogidas.
En general, la fracción granular es subredondeada, con un grado de escogimiento, de medianamente escogido a bien escogido. En cuanto a la relación grano/matriz, se pudo observar un dominio granular en los primeros 12 cm, el cual fue disminuyendo con la profundidad de tal forma que hacia la base el contenido de matriz (arcillas) supera hasta en un 90%. En cuanto al estudio realizado a través del uso de una lupa binocular, se observaron pequeños cristales de yeso (aproximadamente 3 mm de largo) en los niveles más superficiales, especialmente en las muestras 6 y 7, las cuales mostraron un mayor contenido de este mineral. Así mismo, se pudieron apreciar escasos cristales de óxidos y abundantes granos de cuarzo a lo largo de todo el núcleo. Por otro lado, no se observaron microorganismos en las muestras evaluadas de los sedimentos lagunares a diferentes niveles.
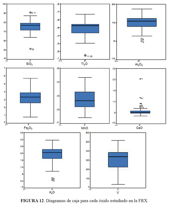
El análisis geoquímico de las muestras, realizado mediante la fluorescencia de rayos-X, permitió definir la proporción, en porcentaje, de elementos químicos mayoritarios (SiO2, TiO2, Al2O3, Fe2O3, MnO, CaO y K2O) y Vanadio (V) en ppm, presentes en cada una de las 37 muestras estudiadas (FIGURA 11). En cuanto al procesamiento estadístico, se tiene:
Estadística descriptiva: se estudiaron los valores máximos, mínimos y promedio, así como la desviación estándar para los intervalos texturalmente discernibles, los cuales se muestran en la TABLA 1. Así mismo, se realizaron análisis univariante y multivariantes, con la finalidad de obtener diferencias y similitudes importantes en las concentraciones de óxidos a lo largo del núcleo.
Análisis univariante: con la finalidad de observar la variabilidad que presentan los elementos estudiados a lo largo de la columna de sedimentos, se realizaron diagramas de dispersión mediante el uso del programa Spss 17.0, para analizar la afinidad entre elementos, los cuales serán presentados en los análisis de resultados, diagramas de caja y test estadístico para muestras independientes. Los diagramas de caja fueron realizados con la finalidad de representar gráficamente la dispersión de los datos y encontrar valores anómalos.
En la FIGURA 12 se puede observar como a lo largo del núcleo L-Patos 09-01 se registran valores atípicos en cuanto al contenido de SiO2, Ti2O, Al2O3, CaO y K2O, específicamente en las muestras L-Patos 09-01-05, L-Patos 09-01-06, L-Patos 09- 01-11, L-Patos 09-01-13, L-Patos 09-01-22, L-Patos 09-01-33 y L-Patos 09-01-41. De igual manera, se registra un valor especialmente anómalo para la muestra L-Patos 09-01-07 en el contenido de CaO.
Por su parte, el test estadístico fue realizado con la finalidad de comparar la variabilidad en el contenido de SiO2, Ti2O, Al2O3, Fe2O3, MnO CaO, K2O y V entre los primeros 12 cm de profundidad, donde los sedimentos presentan características texturales y químicas diferentes a los sedimentos infrayacentes, y el resto del núcleo (TABLAS 2 y 3). Según los resultados obtenidos el promedio de Ti2O, Al2O3, Fe2O3, MnO, K2O y V, difieren significativamente de 0 a 12 cm de profundidad con respecto a los sedimentos infrayacentes, ya que la significancia bilateral para estos óxidos está por debajo de 0,05.
Análisis multivariante: con la finalidad de clasificar en grupos de óxidos que presenten características similares en cuanto a la disminución o aumento en la concentración de los mismos con la profundidad, se realizaron análisis de componentes principales, agrupamientos o dendogramas y análisis discriminante, mediante el uso del programa Spad 4.5. El análisis de componentes principales fue realizado con el fin de observar la relación entre los óxidos, donde el vanadio y los óxidos de Al, K, Fe, Mn y Ti, mostraron una relación directa entre ellos. Por su parte los óxidos de Si y Ca, no presentaron asociación entre sí, ni con el resto de las especies químicas.
Los dendogramas fueron efectuados con el objetivo de lograr un agrupamiento de las muestras estudiadas que posean características semejantes. Este análisis se realizó sobre la base de las variables construidas en las componentes principales. De esta manera, se busca que los conglomerados que se forman sean homogéneos internamente tomando en cuenta la distancia euclidiana al cuadrado, y que a su vez difieran significativamente con los otros grupos formados.
De igual manera, se realizó el análisis de agrupamiento a las variables de interés, con la finalidad de lograr establecer la relación entre los óxidos mediante la utilización de dendogramas. Así mismo, el análisis discriminante fue ejecutado con el fin de diferenciar las agrupaciones propuestas por el análisis de agrupamiento de datos o dendogramas.
El análisis mineralógico de estos depósitos, por medio del ensayo de difracción de rayos-X y del estudio microscópico, muestra una gran abundancia de cuarzo como mineral resistato a lo largo de todo el núcleo, a diferencia de las otras fases mineralógicas principales como la halita, yeso (minerales evaporíticos) y minerales de arcilla como ilita y caolinita, las cuales presentan fluctuaciones en su concentración a lo largo de todo el material. Por su parte, el yeso se presenta en cantidades apreciables en los sedimentos más superficiales (hasta una profundidad de 4 cm aproximadamente), mientras que la halita y las arcillas varían su concentración a través del núcleo, mostrando los más bajos niveles hacia el tope (FIGURA 13).
La FIGURA 13 muestra la abundancia relativa de las principales fases mineralógicas, obtenida a través del uso de los datos de intensidad arrojados por la difracción de rayos-X y el posterior procesamiento en el software MacDiff. Dicho programa utiliza el área bajo la curva de cada fase mineral obtenida en el difractograma, para la estimación cuantitativa de los minerales presentes en la muestra. Así mismo, la apreciación visual y el análisis de los porcentajes de óxidos obtenidos por fluorescencia de rayos-X, sirvieron como herramientas para la normalización de dichos valores relativos. Esto último se realizó con la finalidad de buscar una mejor aproximación a los porcentajes reales de los minerales presentes.
A partir de las características obtenidas de cada uno de los ensayos realizados, se pueden distinguir cinco facies sedimentarias dentro del núcleo L-Patos 09-01 (FIGURA 14), descritas a continuación:
Facies A1: está conformada por arenas limpias de color ocre, bien escogidas y de grano fino. Los granos, en general, son subredondeados, con un tamaño comprendido entre 0,2 mm y 0,091 mm, predominando los granos de aproximadamente 0,125 mm. Esta facies se caracteriza por tener escasa matriz, la cual no sobrepasa el 5% y está representada por minerales de arcilla, principalmente ilita; igualmente, contiene minerales evaporíticos como yeso y halita (FIGURA 13). La relación grano/matriz, por medio de la apreciación visual a través del microscopio es de aproximadamente 95/5, donde la fracción granular está constituida casi en su totalidad por cuarzo y una baja proporción de minerales opacos sin diferenciar.
Facies A2: está constituida por arenas limpias de color grisáceo, bien escogidas y de grano fino. Los granos, generalmente, son subredondeados, con tamaños que varía entre 0,2 mm y 0,091 mm, con predominio de granos de tamaño aproximado de 0,125 mm. Una característica resaltante de esta facies es que presenta fragmentos de material vegetal (raíces) y aumento relativo de minerales evaporíticos (yeso y halita). A simple vista se pueden apreciar cristales de cuarzo, minerales opacos y yeso. Igualmente, muestra muy poca matriz (menos del 5%), la cual está constituida por ilita y caolinita (FIGURA 13). La relación grano/matriz se mantiene respecto a la Facies A1.
Facies AL: se compone de arenas de color marrón y de grano fino embebidas dentro de una matriz limosa. En general, es una capa uniforme, pero texturalmente heterogénea con granos que varían entre arenas y limos. La fracción granular tiende a ser subredondeada, moderadamente escogida y conformada principalmente por cuarzo, con tamaños comprendidos entre 0,4 mm y 0,067 mm, cuyo tamaño más común es de 0,1 mm.
Cabe destacar que en la parte superior, aproximadamente a 1 cm del tope, se puede observar fácilmente cristales de yeso y cuarzo. Mediante la apreciación visual en microscopio, se pudieron distinguir minerales opacos en bajas proporciones. En esta facies, los minerales evaporíticos se encuentran representados esencialmente por halita, ya que el sulfato de calcio hidratado solamente se presenta en el tope del intervalo; la matriz está compuesta por ilita y caolinita (FIGURA 13). La relación grano/matriz varía entre 60/40, hacia el tope, y un 40/60, hacia la base.
Facies LAr: este intervalo contiene material limoarcilloso de color marrón, con lentes de arenas muy finas, de aproximadamente 2 mm de espesor y de color ocre. La fracción de granos tiende a ser subredondeada, moderadamente escogida a pobremente escogida y conformada principalmente por cuarzo, con tamaños entre 0,33 mm y 0,056 mm, predominando tamaños de 0,1 mm. Su mineralogía está representada por cuarzo, minerales de arcilla como formadores de matriz (ilita y caolinita) y halita (FIGURA 13). La relación grano/ matriz varía entre 40/60 y 30/70, dependiendo de la abundancia de lentes de arenas en los diferentes niveles.
Facies ArL: constituida por arcillas limosas de color marrón intercaladas con arenas muy finas de color ocre, en la parte central del intervalo, mientras que hacia el tope y la base el material es más arcilloso, texturalmente homogéneo y de alta plasticidad. La fracción granular se concentra hacia los niveles arenosos, variando en tamaños entre 0,25 mm (en proporciones escasas) y 0,05 mm, siendo el promedio y el de mayor abundancia 0,1 mm. Así mismo, tiende a ser de moderadamente escogida a bien escogida, con granos subredondeados. Mineralógicamente, esta facies presenta cuarzo, ilita, caolinita y halita (FIGURA 13). La relación grano/ matriz varía entre 10/90, en los niveles arcillosos, y 60/40, en los intervalos arenosos.
Este análisis muestra la respuesta magnética de los sedimentos constituyentes del núcleo L-Patos 09-02 ante la influencia de un campo magnético. Esta propiedad está directamente relacionada con la susceptibilidad específica de los elementos constituyentes de las fases mineralógicas presentes en dichos sedimentos. Los materiales ferromagnéticos como Fe, Co, Ni, Mn, entre otros, presentan una susceptibilidad magnética mucho mayor que la de otros metales, por lo que la respuesta obtenida durante el análisis está principalmente controlada por dichos elementos.
Se puede observar como a lo largo del núcleo existen diferencias en cuanto a la amplitud de la curva, mostrando intervalos cerrados y oscilantes entre los 3 y 12 cm de profundidad, con valores que varían entre 20 y 50 SI. En los siguientes 12 cm, la curva tiende a mostrar mayor amplitud y valores menos oscilantes (15- 35 SI). El intervalo entre 24 y 38 cm de profundidad, presenta las mayores amplitudes registradas y un pico máximo de susceptibilidad magnética a los 35 cm. En cuanto a los niveles inferiores, la curva vuelve a mostrar intervalos oscilantes que varían entre 10 y 45 SI (FIGURA 15).
Para la determinación de la edad de la secuencia estudiada, se tomaron tres muestras, una hacia el tope, otra en el intervalo superior de la facies LAr y la última, en la base del núcleo L-Patos 09-01, tal como se presenta en la TABLA 4. Las edades obtenidas en el núcleo no corresponden cronológicamente con la depositación de una secuencia normal de sedimentos, pues hacia la base se obtuvo la edad más joven y hacia el tope se registró la edad más antigua.
La información obtenida mediante los análisis de difracción y fluorescencia de rayos-X, así como la descripción granulométrica y textural, realizados al núcleo L-Patos 09-01, permite la caracterización del material presente en el registro sedimentario reciente del complejo lagunar Los Patos. En general, el material estudiado se encuentra constituido por sedimentos limoarcillosos con escasos intervalos de arenas muy finas que en algunos casos se encuentran en forma de lentes dentro del material granulométricamente más fino. De esta manera, el dominio de la fracción limo-arcillosa como constituyente de los sedimentos estudiados en el núcleo, indica una marcada influencia del medio lagunar en el ambiente de depositación, caracterizado por condiciones relativamente tranquilas, que permiten la sedimentación por excelencia del material fino que es transportado hasta la cuenca receptora. Por otro lado, las características sedimentológicas determinadas sugieren que el sistema fluvial es el principal medio de transporte, aunque, los depósitos más superficiales indican un mecanismo de acarreo considerablemente diferente, el cual transportó partículas de arenas desde el cordón litoral hasta la zona de depositación.
Mineralógicamente, los sedimentos están compuestos por material detrítico como lo son el cuarzo y las arcillas (ilita y caolinita), el cual fue removido, transportado y depositado hasta su posición actual; también se presentan minerales evaporíticos como el yeso y la halita, los cuales fueron probablemente formados in situ cuando en la cuenca se experimentó un aumento en el índice de evaporación. De tal forma, la diversidad de grupos minerales encontrados está relacionada con las condiciones hidrográficas, la fuente de sedimentos, el mecanismo de transporte del material y las fluctuaciones en los niveles del cuerpo de agua; factores que están íntimamente ligados al contexto geológico y a las variaciones climáticas acaecidas en la zona.
La comparación de las proporciones de cada uno de los minerales siliciclásticos, permite establecer el factor determinante para la abundancia relativa entre ellos. De esta manera, al comparar el cuarzo con la ilita y la caolinita, no se observa una relación directamente proporcional entre ellos, ya que el cuarzo por ser un resistato, resulta un mineral estable y resistente a los procesos de meteorización tanto física como química a los cuales puede estar propenso el sedimento que es transportado desde la fuente. Por el contrario, los minerales de arcilla son el resultado de la alteración de feldespatos, los cuales, debido a la acción de los agentes exodinámicos, experimentan una pérdida de cationes y un cambio en la estructura cristalina.
De igual forma, refleja la tendencia del cuarzo a disminuir con la profundidad mientras que las arcillas van aumentando su concentración; lo cual podría sugerir una sedimentación más somera hacia el tope del núcleo.
Por otra parte, al graficar las proporciones de caolinita vs. ilita, se obtiene una correspondencia en las fluctuaciones (aumento o descenso); es decir, que la abundancia relativa de los minerales de arcilla resulta tener una relación directamente proporcional entre ellos. Tal comportamiento puede deberse a que ambos minerales son producto de la alteración de minerales primarios, constituyentes de la roca fuente. En la FIGURA 13 también se puede observar la abundancia relativa entre los minerales de arcilla a lo largo de todo el núcleo, notándose, en general, el aumento proporcional de estos minerales con la profundidad. Por otra parte, la presencia de caolinita en los sedimentos, la cual es un mineral totalmente desalcalinizado, permite inferir un grado de meteorización de medio ha avanzado. Esta inferencia encaja dentro de un contexto climático de tipo tropical, tal como el de Venezuela, aunado a un largo transporte de sedimentos desde la fuente hasta el lugar de depositación.
Los resultados de DRX (FIGURA 16) muestran la abundancia relativa entre el cuarzo y los minerales de arcilla, lo cual puede ser producto, no solo de la naturaleza de estos minerales, anteriormente expuesta, sino que también la composición litológica de la roca fuente podría contribuir a tal condición. Por tanto, la litología principalmente cuarzosa de la Formación Barranquín (roca fuente), correspondería con la superioridad cuantitativa del cuarzo, en los diferentes tamaños (arcilla, limo o arena), contenido en los sedimentos depositados en la laguna. Así mismo, la correlación de los porcentajes de óxidos determinados por FRX, permite establecer agrupaciones entre ellos para posteriormente asociarlos a las diferentes fases mineralógicas contenidas en los sedimentos estudiados.
El SiO2 y el Al2O3 exhiben los más altos valores lo cual es característico de minerales como el cuarzo y las arcillas respectivamente. En cuanto a las concentraciones de otros óxidos, se observa una paridad en los porcentajes de MnO y TiO2. Así mismo, las cantidades de Fe2O3 y K2O muestran un leve incremento a lo largo del núcleo con la profundidad, excepto en el material más superficial, en el cual se presentan en muy bajas cantidades en comparación. Por su parte el CaO parece estar controlado por la abundancia del sulfato de calcio hidratado (yeso).
Por otra parte, el análisis multivariante de agrupamiento de datos permitió separar los sedimentos del núcleo L-Patos 09-01 en tres facies quimioestratigráficas, las cuales presentan características sustancialmente diferentes en cuanto a las concentraciones SiO2, TiO2, Al2O3, Fe2O3, MnO, K2O y V (FIGURA 16).
Si se compara la mineralogía obtenida en el análisis de difracción con los valores de Fe2O3 total derivados del análisis de FRX, el hierro, principalmente, podría estar como catión libre dentro de los minerales de arcilla, ya sea en su estado más reducido u oxidado como Fe2 o Fe3 respectivamente, lo que podría explicar el aumento de óxido de hierro con la profundidad. No obstante, este metal, podría estar en una fase mineral de óxido de hierro como hematita, goethita, magnetita, o ilmenita, o como sulfuro de hierro (pirita) (FIGURA 17).
El MnO y el TiO2, podrían entrar como cationes dentro de la estructura de las arcillas, a pesar de mostrar correlación lineal y correspondencia mediante el ACP (análisis de componentes principales) con el Al2O3, K2O, Fe2O3 y V, sin embargo, cuando se realizó el estudio con la estadística multivariante de agrupamiento de datos no manifestaron tanta afinidad con dichos óxidos. Por lo que se infiere que el Mn y el Ti también se encuentran como constituyentes de minerales oxidatos como pirolusita y/o magnetita y rutilo y/o ilmenita respectivamente. Esto es respaldado con el análisis de susceptibilidad magnética, cuya respuesta puede ser atribuida a la presencia de minerales de óxidos a lo largo de todo el núcleo.
A pesar de que la FRX realizada no analiza las concentraciones de óxido de fosfato presentes en las muestras y la DRX no permitió dilucidar con claridad la existencia de minerales fosfatados, es posible que cierta cantidad de fosfato se encuentre dentro de los sedimentos lagunares, ya que esta fase mineral es propia de aguas restringidas en ambientes costeros. Márques et al. (2007) analizaron ciertas cantidades de fosforo como fosfato de hierro y como fósforo moderadamente lábil, unido a la superficie de las arcillas o de los óxidos e hidróxidos de hierro y aluminio. Por otro lado, De la Lanza y Cáceres (1994) indican que los orto-fosfatos pueden retirarse del agua por absorción en sedimentos hasta en un 60%, lo que explicaría las concentraciones de este elemento en zonas lacustres.
A pesar de que químicamente se observaron tres facies contrastantes, los cambios texturales, granulométricos y mineralógicos a diferentes niveles en el núcleo L-Patos 09-01 (FIGURA 18), permiten distinguir claramente cinco (5) facies con características distintivas en cuanto a nivel de energía y agente de transporte, así como variaciones en el nivel de la masa de agua, oxigenación y salinidad. Esto indica posibles variaciones en las condiciones que han controlado la sedimentación en la albufera durante el reciente.
Facies A1 (0-1 cm): el predominio de cuarzo (>86%) en la composición mineralógica de los sedimentos, conjuntamente con las bajas proporciones de Al2O3 y K2O (FIGURA 17) y los rasgos texturales dentro de los cuales se encuentra la granulometría tamaño arena, caracterizada por granos subredondeados y un buen escogimiento, sugieren una fuente de sedimentos proveniente de depósitos de playa. Es decir, que dichas partículas debieron ser transportadas desde la playa San Luis hasta la laguna. El agente de transporte ideal para generar depósitos con las características expuestas, podría estar representado por las corrientes eólicas, no obstante, este mecanismo no pudo trasladar dicho material, debido a la espesa vegetación que bordea la laguna y a la dirección predominante que exhiben los vientos en la zona. Los bosques de mangles desarrollados en la periferia de la albufera, actúan como una barrera que impediría el paso de las partículas desde la playa hasta la laguna. Aunado a este factor, la zona se encuentra influenciada por los vientos alisios del NE, los cuales controlan las corrientes eólicas que inciden sobre el área con un sentido predominantemente SO; tal condición, no permite el traslado del material desde el cordón litoral hasta la cuenca. En consecuencia, al descartar el viento como agente de transporte, se puede sugerir otro mecanismo caracterizado por una alta energía cinética capaz de traspasar la espesa vegetación manglar y un sentido de incidencia hacia el este respecto al cordón litoral.
Por otra parte, la presencia de yeso sugiere un alto índice de evaporación, que permita aumentar más de tres veces la salinidad del agua para que a la temperatura promedio de la laguna, este mineral pueda precipitar. Tal condición resulta altamente probable, ya que esta facies representa los sedimentos más superficiales del núcleo, el cual se encuentra en la periferia de uno de los segmentos del complejo lagunar; siendo así más vulnerable al proceso de evaporación, intensificado en las épocas de sequía, donde el espejo de agua tiende a reducirse considerablemente, aumentando la salinidad en la cuenca, lo cual favorece la precipitación de los minerales evaporíticos.
Esta facies presenta los más bajos valores de Fe2O3, mostrando concentraciones menores al 1%. Debido a la poca abundancia de minerales de arcilla a este nivel, se puede inferir que el hierro se encuentra formando minerales de óxidos como hematita, goethita, magnetita o ilmenita y/o sulfuro de hierro (pirita); tal como es sugerido por la apreciación visual de minerales opacos y la respuesta magnética de los sedimentos a este nivel. Así mismo, estos minerales no fueron detectados por la técnica de DRX, debido a sus bajas concentraciones (<5%).
Por otro lado, el análisis de fluorescencia mostró ciertas cantidades menores de CaO, MnO y TiO2. El calcio en esta facies se encuentra como constituyente de la estructura cristalina del yeso y su concentración puede estar controlada por la influencia marina dentro del complejo lagunar. Por su parte, el MnO y TiO2 se pueden encontrar como óxidos dentro de la pirolusita y rutilo y/o ilmenita respectivamente, sin embargo, el manganeso divalente también podría encontrarse, en pequeñas proporciones, sustituyendo al Fe2 en la magnetita.
Facies A2 (1-2 cm): al igual que en la facies A1, existe un predominio de cuarzo (>72%) y valores bajos en la cantidad de Al2O3 y K2O (FIGURA 17), igualmente, la textura, granulometría redondez y escogimiento de la fracción tamaño arena de los sedimentos estudiados, sugiere que las partículas fueron transportadas desde la barra por el mismo mecanismo que trasladó y depositó las arenas de la facies suprayacente. La característica distintiva de esta facies respecto a la descrita anteriormente, consiste en que los sedimentos presentan una coloración grisácea que puede responder a cierto contenido de materia orgánica, lo cual es apoyado por la presencia de algunos restos vegetales como fragmentos de plantas o raíces, posiblemente, provenientes de la vegetación de manglar que bordea la laguna. La presencia de este material vegetal sugiere que la zona se encontraba en condiciones subaéreas para el momento de la depositación de los sedimentos que componen esta facies. Por otro lado, la presencia de sales como el sulfato de calcio hidratado, también es notoria en esta facies, lo cual ratifica que dicho horizonte estuvo en exposición subaérea, permitiendo la concentración de las sales a este nivel, propiciando así las condiciones necesarias para la precipitación del yeso.
En cuanto a las concentraciones obtenidas para Fe2O3, CaO, MnO y TiO2, se observó una gran similitud con los resultados obtenidos para la facies suprayacente, que aunado a la poca presencia de minerales de arcilla para este nivel, se infiere que dichos elementos se encuentran contenidos en las mismas fases minerales propuestas para la facies anteriormente analizada. Las similitudes obtenidas entre las facies A1 y A2 sugieren que dichos depósitos se encuentran genéticamente relacionados, respondiendo a las mismas condiciones de depositación y fuente de sedimentos.
Facies AL (2-12 cm): la heterogeneidad de la fracción granular y la disposición aleatoria de las partículas dentro de esta facies, sugieren un mecanismo de transporte capaz de generar depósitos medianamente escogidos. Por tanto, dicho agente resulta diferente al de las capas suprayacentes. Así mismo, el escogimiento y la redondez de los granos, conjuntamente con el contexto ambiental, permiten proponer un origen fluvial para el acarreo y depositación de los sedimentos. Por otro lado, el establecimiento de ecosistemas manglares en la laguna puede tener una clara influencia sobre el depósito sedimentario donde éstos se desarrollan, pues a medida que este tipo de vegetación progresa van creando su propio sustrato a través del crecimiento de las raíces, las cuales generan partículas y disuelven detritos dentro del sedimento (Alongi, 1998; Kristensen and Alongi, 2006). Así mismo, la acción de organismos vivos que habitan dentro de los bosques manglares, suelen remover las partículas, generando así que el material previamente depositado se encuentre bioturbado. En consecuencia, esta facies puede estar compuesta por una mezcla de sedimentación clástica con sedimentos manglares.
El aumento de Al2O3 y K2O, los cuales muestran un alto coeficiente de correlación lineal y la disminución en el contenido de SiO2 en comparación con los sedimentos suprayacentes, confirman la variabilidad en el contenido de cuarzo y los minerales de arcilla. Así mismo, el valor obtenido en la desviación estándar de estos óxidos para esta facies, muestra la heterogeneidad de los sedimentos presentes a este nivel.
De acuerdo a los resultados de la estadística multivariante para el agrupamiento elemental, el MnO y TiO2 no mostraron asociación con otras especies químicas, por lo que se asume que estos elementos están principalmente como pirolusita y/o magnetita para el Mn, mientras que el Ti se encuentra como elemento formador del rutilo y/o ilmenita. Sin embargo, se observa similitud con las tendencias de las curvas de Al2O3, K2O y Fe2O3, lo cual podría indicar que una parte de estos elementos estaría dentro de minerales de arcilla. El aumento en las concentraciones de Fe2O3 en esta facies en comparación con los niveles superiores, puede corresponder al incremento de los minerales de arcilla, los cuales pueden contener hierro divalente y trivalente como catión libre entre las capas "t-o-t". La relación directamente proporcional existente entre el Fe, Al y K confirma la idea planteada anteriormente. Así mismo, no se descarta la presencia de Fe como constituyente de minerales oxidatos (hematita, goethita, magnetita o ilmenita) o incluso de sulfuros como la pirita.
Hacia el tope de esta facies, se presentan las mayores concentraciones de yeso (muestra número L-Patos 09- 01-07), lo cual corresponde a un sustancial incremento en el contenido de CaO. La precipitación de este sulfato en los sedimentos más superficiales de este intervalo, indican que la secuencia depositada se encontraba expuesta y vulnerable a las condiciones climáticas, favoreciendo el aumento de la tasa de evaporación y la generación de condiciones salobres, propicias para la concentración de esta fase mineral.
En cuanto a la susceptibilidad magnética, la curva muestra un patrón caracterizado por intervalos cerrados y oscilantes que evidencian los cambios climáticos experimentados durante el ciclo sedimentario.
Facies LAr (12-24,5 cm): las características texturales y mineralógicas de este intervalo, el cual muestra sedimentos principalmente limo-arcillosos con lentes de arenas evidencian una sedimentación típica de laguna con influencia fluvial, donde el cuarzo refleja el aporte terrígeno dentro de la cuenca. Es de notar que las variaciones atípicas en la concentración de los minerales detríticos a lo largo de esta facies, coinciden con la presencia de lentes arenosos dentro del material limo-arcilloso, los cuales sugieren pulsos ocasionales de mayor energía durante la sedimentación de esta capa. Igualmente, la desviación estándar obtenida para el SiO2 y el Al2O3 muestran una sedimentación heterogénea en esta facies, aunque, dicho valor resultó ser sustancialmente inferior al derivado de la facies anterior (TABLA 1).
Esta facies presenta un mayor contenido de Al2O3 y K2O en comparación con las anteriores, lo cual corresponde con el incremento de minerales de arcillas en la composición de los sedimentos. De igual forma, el aumento de Fe2O3 concuerda con dicha abundancia mineralógica, sin excluir la posibilidad de existencia de óxidos de hierro en bajas concentraciones. Por su parte, el MnO y TiO2 se mantienen en proporciones similares, por lo que dichos óxidos se encuentran como constituyentes de las fases establecidas anteriormente.
La curva de susceptibilidad magnética para este intervalo refleja valores más bajos y menos oscilantes (15-35 SI) en comparación con los niveles superiores, lo cual puede estar asociado con una disminución de minerales de óxido de hierro o a posibles concentraciones carbonáticas, las cuales presentan una baja susceptibilidad específica, por lo cual no generan altos valores de susceptibilidad magnética.
Facies ArL (24,5-37 cm): dentro de esta facies se encuentra la granulometría más fina a lo largo de todo el núcleo, no obstante, de igual forma que en la LAr, se presentan niveles de arenas que muestran un moderado nivel de escogimiento con granos subredondeados, los cuales evidencian un origen fluvial. Dichos nivel de arenas, caracterizados por una mayor frecuencia y uniformidad en comparación con la facies suprayacente, indican fluctuaciones de energía más recurrentes en el sistema de transporte durante la sedimentación. Así mismo, la relación entre los principales elementos constituyentes de los sedimentos analizados, se mantienen mostrando un ligero incremento en su concentración, exceptuando el SiO2, el cual disminuye de forma general, salvo en aquellas muestras que coinciden con los niveles arenosos. Es de notar, que la desviación estándar obtenida para los óxidos de sílice y aluminio en esta facies, el cual arrojó los valores más altos en todo el núcleo, puede responder a la alternancia de sedimentos tamaño arcillas y los niveles arenosos. El vanadio es otro de los elementos químicos que muestra un ligero aumento en sus concentraciones con la profundidad. Los valores obtenidos para los coeficientes de correlación lineal entre dicho metal en comparación con el Al y el K, conjuntamente con el análisis multivariante de asociación elemental, permite asociar esta especie química como catión dentro de las arcillas presentes en el sedimento.
La susceptibilidad magnética obtenida para esta facies, presenta una curva con las mayores amplitudes registradas y los valores máximos de susceptibilidad magnética en todo el núcleo. Este comportamiento sugiere cambios importantes en las condiciones paleoclimáticas en comparación con los niveles superiores; mostrando de esta manera, eventos que permitieron altas concentraciones de minerales ferromagnéticos en ciertos períodos de tiempo durante la sedimentación.
En síntesis, la granulometría del núcleo L-Patos 09-01 muestra una tendencia grano creciente, caracterizada por el predominio de arcillas con láminas de arenas hacia la base, que gradan hacia el tope a sedimentos cada vez más arenosos. Así mismo, a lo largo de la columna sedimentaria se pueden distinguir cambios en el ambiente de depositación que responden a la reducción volumétrica progresiva del ambiente lagunar. El predominio de facies arcillosas hacia la base, sugiere que la misma pudo depositarse hacia el centro de la cuenca, en un ambiente de baja energía que permite la decantación de los sedimentos en suspensión. Seguidamente, la colmatación de la laguna producto del aporte sedimentario, genera cambios batimétricos, reducción del espejo de agua y predominio de condiciones más someras; contexto bajo el cual se deposita el material limoso sobre los sedimentos infrayacentes. De esta manera, se va experimentado, progresivamente, una mayor influencia continental cuenca adentro y en consecuencia un aumento de la fracción granular. Finalmente, la reducción del espejo de agua permite la exposición de los sedimentos a las condiciones subaéreas, generando un aumento en la tasa de evaporación en el material, un incremento en la concentración de sales y la subsecuente precipitación de los cristales de yeso hacia el tope de la secuencia. Así mismo, este escenario se tornó propicio para el desarrollo de bosques manglares, los cuales formarán parte del proceso sedimentario lagunar desde el inicio de su colonización. Cabe destacar que los sedimentos que componen el tope del núcleo (0-2 cm), poseen características que no corresponden con una sedimentación lagunar normal que ha estado controlada por el proceso evolutivo planteado anteriormente.
Las zonas costeras son ideales para el estudio de tsunamitas, tal como lo demuestran estudios realizados desde los años 80, donde se han establecido características sedimentológicas, geoquímicas y paleontológicas distintivas de este tipo de depósitos. Tales aspectos resultan de vital interés para el cumplimiento del objetivo final de la presente investigación (TABLA 5). La comparación de las características de los depósitos generados por eventos tsunamigénicos con las obtenidas en el estudio realizado en la Laguna Los Patos, mediante la descripción detallada del núcleo L-Patos 09-01 y los análisis de difracción y fluorescencia de rayos-X, aplicados a los sedimentos contenidos en dicho núcleo, muestra características que son indicativas de la presencia de tsunamis en el registro geológico de Cumaná.
Las facies A1 y A2, granulométricamente posee similitud con las características reportadas por Atwater et al.
(1992) y Nanayama et al. (2007), mostrando arenas limpias bien seleccionadas con un porcentaje de finos menor al 5%, así como bases erosivas, indicativas de alta energía en el medio de transporte. De igual forma, la Facies A2, contiene restos de plantas y raíces, así como un color grisáceo que evidencia la concentración de materia orgánica (FIGURA 19).
En cuanto a los datos geoquímicos obtenidos, se evidencia un aumento de elementos marinos en la muestra 7 principalmente, la cual presenta una concentración de calcio y azufre superior a la de los sedimentos infrayacentes.
De esta manera, se infiere que el material presente en la facies A1 y A2 fue removido desde el cordón litoral, por un mecanismo de alta energía, y redepositado costa dentro sobre la sedimentación lagunar previamente depositada, quedando así, dentro del registro sedimentario, evidencia de un evento catastrófico en la Laguna Los Patos.
En el estudio de tsunamitas resulta de gran importancia obtener edades dentro de la columna sedimentaria con la finalidad de poder asociar posibles eventos anómalos dentro de la secuencia, con eventos históricos reportados en la literatura. El presente trabajo, mediante las dataciones radiocarbónicas realizadas, además de buscar asociar posibles niveles discordantes dentro de la secuencia sedimentaria con los sismos ocurridos en 1530, 1853 y 1929, pretendía ubicar el tiempo en el cual fue depositada, la secuencia analizada y con ello, conseguir tasas de sedimentación para la laguna costera Los Patos. Los resultados obtenidos reflejan edades cronológicamente invertidas que no permiten establecer la edad de los sedimentos estudiados. No obstante, la edad de la datación LP-MO-40, se encuentra dentro del rango de edades sugeridas para el origen de las lagunas costeras venezolanas (2100-5000 AP).
En cuanto a las edades obtenidas en las dataciones LPMO- 09 (7410 ± 40 AP) y LP-MO-18 (6600 ± 40 AP), las mismas muestran un envejecimiento relativo en comparación con la edad definida en la base del núcleo. Dicho envejecimiento de edades puede deberse a la influencia de los bosques manglares sobre los sedimentos lagunares o a la contaminación de la secuencia por inclusión de 12C proveniente de la disolución del basamento rocoso carbonático (Cretácico) aflorante en las elevaciones adyacentes al complejo lagunar. De esta manera, tal como lo indica Robertson and Alongi (1992), el contenido orgánico dentro de los sedimentos resulta dependiente de la geomorfología, la hidrodinámica y de la vegetación.
A pesar de que los ecosistemas manglares se consideran eficientes trampas de carbono orgánico (Chmura et al., 2003; Bouillon et al., 2008), la tasa de sedimentación juega un papel importante, ya que en áreas con bajo aporte de sedimentos, la mayor parte de la materia orgánica es removida rápidamente por las corrientes de marea, comida por los cangrejos o degradada por los microorganismos aeróbicos antes de que la misma pueda ser soterrada; mientras que las áreas con un alto aporte sedimentario, se experimenta un rápido soterramiento de la materia orgánica, permitiendo una mayor preservación de la misma (Smoak and Patchineelam, 1999; Dittmar and Lara, 2001; Gonneea et al., 2004; Kristensen, 2007; Sanders et al., 2010). De acuerdo a esto, la colmatación paulatina de la cuenca pudo generar una disminución en la tasa de sedimentación, permitiendo la oxidación de la materia orgánica, con lo cual se reduce gradualmente la cantidad de 14C dentro de los sedimentos estudiados.
En cuanto a la erosión del basamento carbonático, ésta provoca un incremento de las concentraciones de 12C (carbono no radioactivo) en la cuenca, el cual diluye el contenido de 14C (carbono radioactivo) que los organismos vivos incorporan (Kolchin and Shez, 1972; Genty et al., 1998; Genty et al., 2001). Por lo tanto, el aporte del 12C contenido en el bicarbonato derivado de la erosión de las rocas carbonáticas trae como consecuencia una disminución relativa del 14C. Por otra parte, Yanjun et al. (2005) en su estudio, comparan dataciones radiocarbónicas con dataciones de la serie del Uranio, realizadas en espeleotemas de Duyun, Guizhou, obteniendo como resultado edades más viejas entre 870 y 1500 años para las arrojadas por el método 14C. En consecuencia, en los escenarios planteados, el método resulta poco confiable, ya que se produce un envejecimiento aparente de la secuencia sedimentaria.
El material estudiado a través del núcleo L-Patos 09-01, muestra la sedimentación típica de ambientes lagunares costeros, con un predominio de facies arcillosas y limosas, con escasos intervalos delgados de arenas muy finas. De igual forma, la distribución de las facies definidas muestra la colmatación gradual de la cuenca y un incremento paulatino en la energía del medio, ya que los sedimentos arcillosos encontrados en la base, gradan a limos cada vez más arenosos hacia el tope.
Mineralógicamente, la fracción detrítica representada por el cuarzo, en mayor abundancia, y minerales de arcilla (ilita y caolinita), que exhiben una tendencia creciente con la profundidad, se presentan como constituyentes esenciales de los sedimentos. Esto permitió establecer un aporte principalmente continental, cuya fuente posiblemente corresponde a las formaciones aflorantes en las laderas septentrionales de la Serranía del Interior Oriental, que a su vez se encuentren más próximas a la albufera (FIGURA 20). Así mismo, la presencia de evaporatos representados por yeso en los niveles más superficiales y halita a lo largo de todo en núcleo, sugiere altos niveles de evaporación en la cuenca, debido a la exposición subaérea de la secuencia sedimentaria.
La correlación elemental a partir de la estadística univariante y multivariante, permitió establecer que los óxidos de aluminio, potasio, hierro en sus dos estados y el vanadio, se encuentran asociados a los minerales de arcilla; mientras que los óxidos de manganeso y titanio se encuentran como constituyentes de óxidos dentro de los sedimentos. Por su parte, el óxido de calcio no mostró asociación con ninguno de los elementos estudiados, por lo que es atribuido a una fase mineral distinta, representada por el yeso.
La datación realizada en la base de la secuencia mostró una edad de 5320 +/- 40 AP, representando así, junto con otras lagunas costeras del país, una evidencia del último máximo interglaciar experimentado en Venezuela durante el Holoceno hace aproximadamente 4000 a 5000 años.
Los resultados de dataciones radiocarbónicas pueden ser alterados debido a la influencia de ecosistemas manglares o inclusión de sedimentos carbonatados producto de la erosión de rocas carbonáticas.
Las facies A1 y A2 representan depósitos generados por eventos de alta energía que demuestran la presencia de paleotsunamis dentro del registro sedimentario del complejo lagunar Los Patos. Dada la presencia de inversión de edades 14C en el núcleo estudiado, sólo se puede indicar la ocurrencia de tsunamis en las costas de Cumaná durante el Holoceno (particularmente luego del óptimo Holoceno). Igualmente, no se puede asegurar que dichos acontecimientos correspondan a eventos sísmicos históricos, aunque, considerando tasas de sedimentación inferior a 1 mm/año y del orden más bien de 0,1 mm/año, muy característica de ambientes lagunares similares en Venezuela; podría darse el caso que las facies en el tope del núcleo estudiado correspondan a tsunamis reportados en el pasado histórico de la ciudad de Cumaná (por ejemplo, aquellos asociados a los sismos de los años 1530, 1853 y 1929).
Comparando los resultados publicados por diversos autores desde los años 80 sobre depósitos tsunamigénicos, con los alcanzados en el presente trabajo, existen evidencias por vía sedimentológica, geoquímica y paleontológicas, de la ocurrencia de tsunamis en Cumaná, estado Sucre, Venezuela oriental. En otro orden de ideas, este estudió sirve como incentivo para la realización de futuras investigaciones que puedan demostrar la presencia de tsunamis en las costas venezolanas y en especial en la región nor-oriental del país.
Alongi, D. 1998. Coastal ecosystem processes. Florida: CRC Press, Boca Raton Eds. 419p. [ Links ]
Atwater, B., and Moore, A. 1992. A tsunami about 1000 years ago in Puget Sound, Washington. Science 258: 1614-1617. [ Links ]
Audemard, F. 2007. Revised seismic history of the El Pilar fault, Northeastern Venezuela, from the Cariaco 1997 earthquake and recent preliminary paleoseismic results. Journal of Seismology, 11: 311-326. [ Links ]
Bouillon, S., Borges, A., Moya, E., Diele, K., Dittmar, T., Duke, C., Kristensen, E., Lee, S., Marchand, C., Middelburg, J., Rivera-Monroy, V., Smith III, T., and Twilley, R. 2008. Mangrove production and carbon sinks: a revision of global budget estimates. Global Biogeochemical Cycles, 22: GB2013. [ Links ]
Chmura, G., Anisfeld, S., Cahoon, D., and Lynch, J. 2003. Global carbon sequestration in tidal, saline wetland soils. Global Biogeochemical Cycles, 17 (4): 22-1-22-12. [ Links ]
De la Lanza, G., y Cáceres, C. 1994. Lagunas costeras y el litoral mexicano. México: Universidad Autónoma de Baja california Sur Eds., 497p. [ Links ]
Dittmar, T., and Lara, R. 2001. Molecular evidence for lignin degradation in sulfatereducing mangrove sediments (Amazonia, Brazil). Geochimica et Cosmochimica Acta, 65: 1417-1428. [ Links ]
Genty, D., Baker, A., and Vokal, B. 2001. Intra- and inter-annual growth rate of modern stalagmites. Chemical Geology, 176: 191-212. [ Links ]
Genty, D., Vokal, B., Obelic, B., and Massault, M. 1998. Bomb 14C time history recorded in two modern stalagmites. Importance for soil organic matter dynamics and bomb 14C distribution over continents. Earth and Planetary Science Letters, 160: 795-809. [ Links ]
Gonneea, M., Paytan, A., and Herrera-Silveira, J. 2004. Tracing organic matter sources and carbon burial in mangrove sediments over the past 160 years. Estuarine, Coastal and Shelf Science, 61: 211-227. [ Links ]
Incostas. 1981. Laguna Los Patos, - Estado Sucre. Estudio de alternativas para su conservación. Gobernación del estado Sucre, Dirección de obras públicas estadales. 28p. [ Links ]
Kolchin, B., and Shez, Y. 1972. Absolute archaeological datings and their problems. Moscow, Nauka. [ Links ]
Kristensen, E., and Alongi, D. 2006. Control by fiddler crabs (Uca vocans) and tree roots (Avicennia marina) on carbon, sulfur and iron biogeochemistry in mangrove sediment. Limnology and Oceanography. 51: 1557-1571. [ Links ]
Kristensen, E. 2007. Carbon balance in mangrove sediments: the driving processes and their controls. Greenhouse Gas and Carbon Balances in Mangrove Coastal Ecosystems: 61-78. [ Links ]
Lander, J., Whiteside, L., and Lockridge, P. 2002. A brief history of tsunamis in the Caribbean Sea. Science of Tsunami Hazards, 20 (2): 57. [ Links ]
Lara, S., González, L., and Suárez, C. 1999. Ambientes sedimentarios y evolución geomorfológica de la laguna Los Patos. Cumaná estado Sucre, Venezuela. Boletín de la Sociedad Venezolana de Geología, 24 (2): 5-21. [ Links ]
Márquez, A., Senior, W., Martínez, G., and González, A. 2007. Concentraciones de nitrógeno y fósforo en sedimentos recientes de la laguna Los Patos, estado Sucre, Venezuela. Bol. Ocenográfico de Venezuela, 46 (2): 137-145. [ Links ]
Nanayama, F., Furukawa, R., Shigeno, K., Makino, A., Soeda, Y., and Igarashi, Y. 2007. Nine unusually large tsunami deposits from the past 4000 years at Kiritappu marsh along the southern Kuril Trench. Sedimentary Geology, 200: 275-294. [ Links ]
Robertson, A., and Alongi, D. 1992. Tropical mangrove ecosystems. Coastal and estuarine studies 4. American Geophysical Union. Washington, DC, 330p. [ Links ]
Sanders, C., Smoak, J., Sanders, L., Naidu, A., and Patchineelam, S. 2010. Organic carbon accumulation in Brazilian mangal sediments. Journal of South American Earth Sciences, 30 (3-4): 189-192. [ Links ]
Schubert, C. 1994. Tsunamis in Venezuela: Some observations on their occurrence. Journal Coastal Research Special Issue, 12: 189-195. [ Links ]
Singer, A., Rojas, C., and Lugo, M. 1983. Inventario Nacional de Riesgos Geológicos. Estado preliminar. Serie técnica FUNVISIS 03- 83. 126p. [ Links ]
Smoak, J., and Patchineelam, S. 1999. Sediment mixing and accumulation in a mangrove ecosystem: evidence from 210Pb, 234Th and 7Be. Mangroves and Salt Marshes, (3): 17-27. [ Links ]
Theilen-Willige, B. 2006. Tsunami hazard in northern Venezuela. Science of Tsunami Hazards 25, (3): 144-159. [ Links ]
Yanjun, C., Beck, W., Zicheng, P., and Zhaofeng, Z. 2005. Effect of dead carbon to the 14C dating of the speleothem. Chinese Science Bulletin, 50 (8): 1-5. [ Links ]
Trabajo recibido: mayo 17 de 2012
Trabajo aceptado: mayo 30 de 2014





































