Introducción
El estudio de la geodiversidad y el patrimonio geológico de los territorios es una de las áreas de investigación más jóvenes dentro de las Geociencias, solo en algunos países pioneros como Gran Bretaña se inició a mediados del siglo XX, y surgió a partir de la concientización de ver los elementos geológicos de singular interés (Patrimonio Geológico) como un recurso no renovable que puede aportar de manera significativa al desarrollo sostenible de las zonas rurales principalmente (Carcavilla-Urquí et al., 2007, 2016; Palacio-Prieto et al., 2016). El patrimonio geológico y el geoturismo son interdependientes, el patrimonio necesita ser valorado por toda la comunidad en general, para lo cual el turismo puede ser una forma efectiva de extender la importancia del patrimonio como un componente valioso del mundo natural que una vez identificado necesita ser protegido (Newsome y Dowling, 2018).
En Colombia el patrimonio geológico se estudia desde los años ochenta, las investigaciones se han centrado principalmente en propuestas metodológicas útiles para el estudio y valoración del patrimonio presente en el territorio, con criterios que tienen en cuenta tanto el contexto geológico nacional, como su realidad sociopolítica (Palacio-Prieto et al., 2016). Durante las últimas décadas varios autores llamaron la atención de la necesidad de que en Colombia se reconociera al patrimonio geológico por su importancia desde el punto de vista científico, pedagógico, ambiental, turístico, entre otros, resaltando la ausencia de un marco legal especifico dirigido a la protección del patrimonio geológico (Colegial et al., 2002). Hoy, aunque se encuentra en proceso de divulgación e implementación, el patrimonio geológico colombiano ya cuenta con un instrumento legal que propende por su identificación, protección y rehabilitación, el decreto 1353 del 31 de julio de 2018 expedido por el Ministerio de Minas y Energía.
El término Karst se ha usado extensivamente para describir un tipo especial de paisaje formado por procesos de disolución en rocas solubles. En Colombia han sido reportadas cientos de cuevas, encontrándose los sistemas kársticos distribuidos en 21 departamentos (Muñoz-Saba et al., 1998) con la mayoría de las manifestaciones principalmente en la Cordillera Oriental, donde aisladas áreas kársticas contienen un numero de cuevas significantes (Gunn, 2004). En Santander, existe el registro de 218 geoformas kársticas georreferenciadas en donde cerca del 14% del área del departamento tiene un potencial alto para el desarrollo de sistemas kársticos, un porcentaje relativamente superior comparado con el de Suramérica donde es menor al 5% (Galvis-Gómez, 2018).
La existencia de turismo en cuevas (espeleoturismo) depende de muchos factores, como las condiciones específicas de cada cueva, la presencia de infraestructura, atracciones específicas, la relación entre la demanda, el posible flujo de público en la cueva y el conocimiento de los impactos negativos (Figueiredo, 2014). Las cuevas que han sido destinadas para un público más amplio, realizando modificaciones de infraestructura para permitir el acceso son conocidas como show caves, las cuales se utilizan para el espeleoturismo de masa. Actualmente, alrededor de 500 de las show caves más grandes del mundo han beneficiado económicamente a cerca de 100 millones de personas (Cigna y Forti, 2013).
En algunas zonas de Santander donde se llevan a cabo prácticas de espeleoturismo, es común encontrar evidencia de la destrucción de este patrimonio natural irrecuperable, producto de la mala o nula planificación que han tenido estas actividades. En el departamento se ha reportado el uso de cuevas para la disposición de desechos, la destrucción de espeleotemas, grafitis en techos y paredes, material arqueológico saqueado, y en general, graves amenazas a la troglofauna (Gelvez-Chaparro et al., 2018). El territorio de la Provincia de Vélez al sur de Santander presenta un importante desarrollo exo- y endokárstico, siendo la zona del departamento donde más cuevas se han reportado (Figura 1). El objetivo del presente trabajo es contribuir al inventario y valoración del patrimonio natural superficial y subterráneo encontrado en el municipio de El Peñón (Santander), aportando en particular al conocimiento del patrimonio geológico del territorio y planteando estrategias de gestión a partir del desarrollo del geoturismo en un territorio rural que abiertamente se ha opuesto a las prácticas extractivistas. Este inventario de lugares de interés geológico junto a las propuestas de gestión basadas en las valoraciones realizadas, son el primer paso para garantizar la Geoconservación de este patrimonio.

Figura 1 Ubicación del área de estudio en el municipio de El Peñón al sur del departamento de Santander, Colombia. Estructuras geológicas y límites de formaciones tomados de Gómez et al. (2008). Recuadro en la parte inferior derecha tomado y adaptado de Google Satellite.
Marco geológico
El área de estudio se encuentra localizada geográficamente en el municipio de El Peñón, Provincia de Vélez, al SW del departamento de Santander y a 261 km de Bucaramanga.
Geología estructural
Geológicamente está ubicada en las estribaciones occidentales de la Cordillera Oriental (Figura 1) y está limitada por pliegues regionales (Anticlinal de Los Medios, Sinclinal de Panamá y Anticlinal de Los Portones), entre los que se desarrollan plegamientos menores, los cuales siguen un rumbo similar al regional. El desarrollo de las cavernas en El Peñón se da principalmente en direcciones generadas por fracturas de tensión. El tensor local presenta una dirección NWSE (136°) y explica las estructuras plegadas tanto locales como regionales, la perpendicularidad entre las direcciones de preferencia del desarrollo kárstico y el desarrollo de otros patrones de fractura que causan ciertas variaciones en la dirección de estas unidades (Barajas-Rangel y Gelvez-Chaparro, 2019).
Estratigrafía
A continuación, se describen las unidades presentes en el área de estudio, haciendo énfasis en la Formación Rosablanca, asociada al desarrollo de la karstifición en el área de estudio. La Formación Arcabuco aflora al SW de El Peñón, en el área drenada por la quebrada Hoya de Panamá, en el núcleo del Anticlinal de Los Medios donde solo están expuestos los 32 m de la parte superior. Es una secuencia de capas de geometría plano-paralela, convergente y cuneiforme, gruesas a muy gruesas, predominando arenitas líticas a lítico - feldespáticas de grano fino (Gómez et al., 2008).
La Formación Cumbre suprayace concordantemente a la Formación Arcabuco y aflora en la terminación periclinal de los anticlinales de Portones y Los Medios, cerca del municipio, donde ocupa una superficie limitada y relativamente cubierta. En el ámbito regional se observa un conjunto de espesor variable, compuesto por capas de arenitas de cuarzo, arcillolitas y lodolitas grises oscuras a negras (Gómez et al., 2008). Según Gómez (1977) en cercanías a El Peñón, algunos diques de cuarzo cortan esta unidad, con desarrollo de drusas y cristales de cuarzo de hasta 12 cm de longitud.
La Formación Rosablanca aflora en los alrededores de El Peñón, en el núcleo del Anticlinal de Los Medios, en una secuencia de más de 150 m de espesor, compuesta hacia la base de capas de geometría ondulosa a plano paralela de lodolitas calcáreas (mudstones) de colores grises oscuros, con muy bajo contenido de aloquímicos (bivalvos de escala milimétrica principalmente) y espesores que varían de 0,3 a 0,6 m intercaladas con láminas a capas de arcillolita grises oscuras. En las lodolitas calcáreas de la base es posible encontrar venillas y venas de calcita con trazas de pirita y calcopirita. Algunas venas alcanzan espesores de hasta 15 cm con cristales muy bien desarrollados de calcita. El siguiente segmento corresponde a una secuencia de cerca de 90 m de estratos plano paralelos gruesos a muy gruesos de mudstones (de 1 a 5 m de espesor), de colores grises oscuros intercalados con algunas capas de packstones con mayor contenido fosilífero (principalmente bivalvos y gasterópodos) y arcillolitas grises oscuras. En rocas de esta formación se han encontrado venas de 20 cm de espesor de cuarzo fibroso mineralizadas, con presencia de calcopirita asociada a barita (Gómez, 1977) y venas de hasta 15 cm de espesor rellenas de malaquita y azurita mayoritariamente, con galena, barita, calcita, así como otras manifestaciones minerales como calcita, esfalerita, pirita, smithsonita y asfaltita brechificada formadas por procesos kársticos (Mantilla-Figueroa et al., 2003). También se han reportado mineralizaciones secundarias dentro de dolinas al NE del municipio de El Peñón (Gómez, 1977). La Formación Rosablanca, es oblicua respecto a las líneas isocronas; su edad sería Barremiano hacia el extremo N del Valle Medio, Hauteriviano en la región de la Mesa de Los SantosSan Gil y Valanginiano en Villa de Leiva (Julivert, 1968). El drenaje epigeo que se desarrolla sobre la Formación Rosablanca se caracteriza por presentar grandes superficies de infiltración, formando un drenaje subterráneo que controla la disposición y forma de las cavernas (Mendoza-Parada et al., 2009).
Metodología
Para este trabajo se realizó la cartografía geológica local a escala 1:15.000, en la Cueva del Oro se llevó a cabo el levantamiento topográfico con distanciómetro laser y brújula, para las demás cavernas se realizó la cartografía geoespeleológica con los mapas base de Hapka et al. (2015).
Los sistemas subterráneos objeto de este estudio fueron clasificados de acuerdo a la clasificación espeleométrica propuesta por Núñez (1970), la cual denomina abrigo rocoso a un salón subterráneo de pocos metros, grutas a las cavidades que no superan los 10 m, cuevas cuando son un conjunto de galerías y salones de menos de 1 km de extensión, y cavernas si su longitud es mayor a 1 km.
La valoración de los geotopos identificados en la zona se desarrolló con la metodología Modified Geosite Assessment Model (M-GAM) propuesta por Tomić y Božić (2014), que a su vez es una modificación de la metodología Geosite Assessment Model (GAM) creada por Vujičić et al. (2011). Esta metodología pretende ser más objetiva a la hora de evaluar un sitio, teniendo en cuenta las diferentes motivaciones que podría tener un turista para visitar un geositio (elementos socio-culturales, históricos, escénicos, arqueológicos, educativos, científicos, de diversión, psicológicos y artísticos), reconoce el importante rol que juega el turista a la hora de evaluar un geositio, por lo que en la metodología de evaluación incluye la opinión del experto como la del turista, de tal manera que ninguna de las partes sea favorecida en el proceso de evaluación. Este método ha sido probado y aplicado con éxito numerosas veces para la evaluación de varios geositios en Europa (Antić y Tomić, 2017; Antić et al., 2019; Božić y Tomić, 2015; Šuleić y Pavić, 2016; Tomić et al., 2015; Vuković y Antić, 2019).
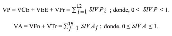
Los Valores Principales comprenden tres grupos de indicadores: Científico/Educativo (VCE), Escénico/ Estético (VEE) y de Protección (VPr) mientras los Valores Adicionales están divididos en dos grupos de indicadores, Funcional (VFn) y Turístico (VTr). En resumen, hay 12 subindicadores de Valores Principales, y 15 subindicadores de Valores Adicionales los cuales son calificados de 0 a 1 (Tablas 1 y 2) que define M-GAM como una simple ecuación:
Como de cada uno de los anteriores valores nombrados se derivan tres o dos grupos de subindicadores, entonces podemos inferir estas dos ecuaciones:
Ahora que sabemos que cada grupo de indicadores consiste en varios subindicadores, entonces (2) y (3) pueden ser escritas como sigue a continuación:
Aquí, SIVPi y SIVAj representan los 12 subindicadores de Valores Principales (i = 1,…,12) y 15 subindicadores (j = 1,…,15) de Valores Adicionales.
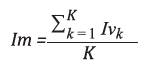
La inclusión del visitante en el proceso de valoración es hecha a través de una encuesta donde a cada persona se le pide que califique la importancia de todos los 27 subindicadores (de 0,00 a 1,00) en el modelo M-GAM, para este trabajo se recogió la opinión de cerca de 20 turistas, quienes además fueron motivados a través de visitas guiadas y explicativas como parte del proceso de geoeducación a partir de los valores científicos y educativos de los geotopos de interés en el presente estudio. El factor de importancia (Im) les da a los visitantes la oportunidad de expresar su opinión acerca de cada subindicador en el modelo y que tan importante es para ellos cuando escogen y deciden entre varios geositios que ellos desean visitar. Luego de que cada visitante califique la importancia de cada subindicador, el valor promedio de cada subindicador es calculado y el valor final de ese subindicador es el factor de importancia. Después, el valor de importancia (Im) es multiplicado con el valor dado por expertos (también de 0,00 a 1,00) que evalúan el estado actual y valor de los subindicadores.
Así, el factor de importancia (Im) es definido, como:
Donde Ivk es la evaluación/puntuación de un visitante por cada subindicador y K es el total de número de visitantes.
Finalmente, la ecuación (1) puede ser expresada de la siguiente forma:
Como se puede ver a partir de la ecuación M-GAM, el valor del factor de importancia (Im), el cual es calificado por visitantes (para cada subindicador separadamente) es multiplicado con el valor dado por expertos (también separadamente cada subindicador). Esto es hecho para cada subindicador en el modelo.
En base a los resultados de la evaluación, se crea una matriz de VP (ejes X) y VA (ejes Y). La matriz se divide en nueve campos representados con Z (i,j), (i,j = 1,2,3,...). Dependiendo de la puntuación final, cada geositio se ajustará a un campo determinado.
Además de la valoración, un índice estandarizado: el Índice de Sensibilidad de Cuevas (CSI) (Tabla 3) fue aplicado a las cavernas para determinar su sensibilidad de acuerdo a la metodología propuesta por Harley et al. (2011). Las cuevas pueden ser sensibles a muchos factores en el ambiente, pero en este estudio se buscará solo determinar la sensibilidad de las cuevas a las perturbaciones antropogénicas. Para estandarizar este índice, se consideraron las variables de biota, hidrología, geología, mineralogía, paleontología y cultura o historia. Cada variable fue estandarizada dentro de cuatro criterios de evaluación, los cuales se correlacionan a un puntaje de sensibilidad. La escala de sensibilidad va desde “0”, sin sensibilidad, a “3” indicando una alta sensibilidad.
Los puntajes de cada variable de sensibilidad fueron sumados y después este resultado se dividió por el puntaje total posible, que resulta en un número final entre 0,00 y 1,00. Este número final representa la humana, representando el puntaje más cercano a uno sensibilidad relativa de una cueva a la degradación una mayor sensibilidad general de la cueva (Tabla 4).
Tabla 3 Variables para el cálculo del Índice de Sensibilidad de Cuevas (CSI). Adaptado de Harley et al. (2011).
Resultados
La Formación Rosablanca es la unidad litoestratigráfica que predomina en la zona (Figura 2), presenta precipitaciones de sulfuros como pirita, galena y esfalerita; estas manifestaciones minerales también se pueden encontrar en venillas de reemplazamiento y venas de relleno, estas últimas asociadas a actividad hidrotermal, compuestas de calcita principalmente con cristales de pirita y calcopirita en menor proporción.
De los seis lugares de interés geológico valorados, cinco son formados por procesos kársticos asociados a la Formación Rosablanca; su expresión superficial o geoformas exokársticas son principalmente los lapiaces (karren), los cuales ocurren generalmente en distintos tamaños, desde pocos milímetros (microkarren) hasta lapiaces de 6 m de altura (megakarren), donde predominan los procesos disolucionales por flujo de agua (rillenkarren, rinnenkarren, meanderkarren, wandkarren, trittkarren, karren caves, scallops, ripplekarren), desarrollados en los márgenes de las dolinas.
Las dolinas son las depresiones predominantes en la zona, poseen formas elípticas y circulares con diámetros de 5 a 35 m, algunas de estas han evolucionado más en el eje vertical produciendo en algunos casos la aparición de simas de pocos diámetros en su mayoría, aunque existen simas de grandes diámetros como la de la Caverna La Tronera. En la zona las dolinas se han desarrollado en direcciones preferenciales N65°W y N50°E, con una dirección secundaria N15°W. Estas alineaciones favorecen la unión entre dolinas que con el tiempo muy seguramente evolucionarán a úvalas y seguidamente a poljes o valles de dolinas. La existencia de manantiales kársticos, además de los numerosos abrigos rocosos, grutas, cuevas y cavernas en la zona, denotan la amplia variedad y cantidad de geoformas kársticas presentes (Figura 3).

Figura 2 Mapa geológico del área de estudio y ubicación de los geotopos valorados en el presente trabajo.

Figura 3 Geoformas exokársticas y endokársticas: A. Megakarren de cerca de 7 m. B. Entrada a la Caverna Los Carracos. C. Campo de lapiaces y dolinas. D. Manantial Kárstico.
Geotopos
A continuación, se describen los primeros lugares de interés geológico (o geotopos) identificados en cercanías al municipio de El Peñón y los cuales son el objeto de interés de este trabajo. En los geotopos subterráneos se propone la distinción entre rutas científicas y rutas geoturisticas, en las primeras se hace alusión a espacios donde no se permita el acceso al público en general, sino a un tipo de público especializado con interés en desarrollar estudios que contribuyan al conocimiento y Geoconservación del sistema kárstico. Esta distinción en las rutas se hace por la sensibilidad a la degradación humana que presentan estos espacios, debido a sus condiciones espeleométricas y a la diversidad de elementos geológicos y paleontológicos que se encuentran en estas secciones.
Caverna Los Carracos
La Caverna Los Carracos se encuentra en la vereda Llano de Vargas, al costado de un polje con una altura aproximada de 2600 msnm. Con la profundización del desarrollo kárstico en el tiempo, se han desarrollado tres niveles que se disponen en cuatro direcciones preferenciales dos de ellas ortogonales a 236° y 319° en azimut, las otras dos direcciones son oblicuas a estas, 183° y 207° en azimut, con un mayor y menor desarrollo respectivamente. En el nivel superior existe desarrollo y ciertas variedades de espeleotemas, pero la preservación de los salones y galerías ha sido afectada parcialmente por las constantes visitas tanto de locales como de turistas sin una conciencia de conservación, por eso en este sector se ha definido el recorrido turístico (Figura 4), además de que sus dimensiones espeleométricas son más favorables para el acceso y recorrido.
Para acceder al siguiente nivel es necesario hacer un descenso en la vertical de unos 20 m aproximadamente (Figura 5), razón principal por la cual es en esta galería en donde se preservan la mayor variedad de espeleotemas en cuanto a forma y composición (antoditas, helictitas, flores de yeso, gours, entre otras). En este nivel inferior se han desarrollado importantes investigaciones principalmente en los campos de la bioespeleología (Campos et al., 2018) y la paleoclimatología (Ramirez-Ruiz, 2014); el potencial de la galería inferior prioriza la actividad científica en esta sección y es necesario mantenerlo así para aprovechar los datos y/o registros que pueden brindar los espeleotemas que han sido preservados de manera excepcional.

Figura 5 Galería inferior de la Caverna Los Carracos. A. Descenso para acceder a la galería inferior. B. Acceso al descenso para acceder a la galería inferior. C. Espeleotemas de la galería inferior de la Caverna Los Carracos. D. Espeleotemas Cenitales y Parietales con precipitación de Mn. E. Excéntricas. F. Flor de yeso.
Caverna La Tronera
La Caverna La Tronera se encuentra en la vereda a la caída del nivel piezométrico, dejando la cavidad San Pablo al NE del municipio de El Peñón, a 2650 de estar inundada. La caverna está formada por una msnm. Presenta un desarrollo de cerca de 1,3 km con gigante galería principal sin actividad hídrica con una dos entradas, una vertical y una horizontal bastante dirección promedio de 325° de azimut (Figura 6), y amplia por donde hay que atravesar un camino de con un desarrollo menor en 210° y 240°, hacia donde bloques bastante grandes y angulosos producto del se presenta el frente de karstificación.
En el techo de la entrada horizontal, a más de 100 m tienen su hogar un buen número de Guácharos o Carracos (Steatornis caripensis) que con sus cantos dan un ambiente enigmático a la incursión subterránea. La entrada vertical es una dolina de colapso o sima ubicada a unos 700 m de la entrada y constituye su principal atractivo turístico, está a una altura de cerca de 130 m y un diámetro de aproximadamente 25 m, simulando su forma en planta a la de un corazón, por lo que se ha denominado esta geoforma por la comunidad local como “el corazón del mundo” (Figura 7), en esta sección de la caverna se planteó el recorrido turístico debido a que las dimensiones espeleométricas son bastante amplias permitiendo una movilidad sencilla a través de esta y llegando a causar un impacto mínimo sobre el ecosistema.
Cerca de la zona de la sima hay una entrada pequeña donde se llega a una quebrada o rio subterráneo con dirección SW-NE, en invierno es imposible ingresar por el alto caudal de esta; pero algunas exploraciones de la Sociedad Colombiana de Espeleología han encontrado un importante desarrollo en este sector donde también se han reportado algunas simas y acumulación de restos fósiles de mamíferos, debido a los peligros y a la riqueza paleontológica presente en el caudal se ha planteado un recorrido netamente científico en esta sección de la caverna. Las simas se han demostrado son una trampa para los animales del exterior favoreciendo la posible abundancia de fósiles en el fondo de estas (Llopis-Lladó, 1970).
Cueva del Oro
Su nombre se debe a la gran cantidad de azufre que hay principalmente en la entrada de la caverna, dando un valor agregado a la belleza de los espeleotemas. La cavidad se desarrolla al final de un valle de dolinas, y se encuentra constituida por un nivel predominantemente horizontal con diferentes ramificaciones, registrándose en este trabajo un desarrollo de 630 m para esta cueva, pero su extensión es mucho mayor, por lo que se recomiendan nuevas incursiones que mapeen las galerías faltantes. La cueva se desarrolla en dos direcciones preferenciales con un patrón ortogonal, con direcciones de 320° y 235° de azimut (Figura 8) presentándose el mayor desarrollo en esta última familia de fracturas. Así mismo, esta cavidad es bastante activa y atravesada en la mayor parte de sus galerías por una corriente principal de agua con dirección SW-NE. En el recorrido planteado como ruta geoturistica la cueva presenta dimensiones espeleométricas favorables que permiten una buena movilidad y el menor impacto posible al ecosistema, la ruta que se plantea solo para expediciones científicas presenta alturas de hasta 40 cm, implicando el daño a múltiples formas zenitales, además de ser necesaria la incursión a la corriente principal agregando riesgos de ahogamiento e hipotermia a la visita.
Hay gran cantidad y variedad de espeleotemas durante todo el recorrido, la variedad de las excéntricas no es tan amplia como en la Caverna Los Carracos; con las pajillas de soda hay excéntricas asociadas de composición similar aragonito, aragonito azul en ciertos lugares de la cavidad (Figura 9). Entre las formas de vida que alberga esta cavidad destacan especies de crustáceos que confirman el estado casi prístino de esta cueva, la cual lleva poco tiempo recibiendo turistas principalmente científicos y con pocas visitas durante el año.
Cueva de La Virgen
La Cueva de La Virgen realmente representa un abrigo rocoso ubicado en cercanías al municipio, sobre la vía El Peñón-Las Cruces. Actualmente constituye un sitio donde algunas personas del municipio y otros municipios vecinos profesan su fe haciendo un acto de peregrinación a esta, principalmente en fechas importantes para la fe católica como la semana santa. Junto a su entrada se encuentra un manantial o fuente kárstica que indica la presencia de un aparato kárstico activo en este macizo, con sus aguas claras también ha constituido un atractivo turístico para algunas de las personas que visitan el lugar. El interés principal de este sitio es el estratigráfico por la exposición de más de 150 m de la Formación Rosablanca (Gómez et al., 2008), junto al interés hidrogeológico debido a las surgencias de agua que posee el macizo dando indicios de una circulación de caudal amplia con posible uso potable facilitando una de las necesidades básicas para la comunidad rural.
Un aspecto para tener en cuenta para la gestión integral de este geotopo, es su actual uso para la ganadería (Figura 10), lo que constituye una grave amenaza para la buena calidad del agua que por allí fluye, sin tener en cuenta el incremento en la magnitud de los procesos erosivos que esta actividad económica pueda causar sobre el terreno.

Figura 9 Cueva del Oro: A. Gours y microgours (o “Rimstone Pools”). B. Pasaje de la cavidad evidenciando diferentes variaciones en el nivel freático. C. Estalactitas de Aragonito azules. D. Precipitación de Azufre en el techo de la cavidad
Karst Town
Karst Town es un campo con gran desarrollo de lapiaces y dolinas, ubicado en cercanías al municipio sobre la vía El Peñón - La Hermosura. Cuenta con una extensión de cerca de 3 km2, donde el atractivo paisajístico es dado por las distintas formas esculturales de karren que se pueden encontrar, con algunas expresiones de hasta 6 m de altura. El desarrollo de los campos de lapiaces por la ladera del valle de dolinas asemeja a una ciudadela de roca un poco laberíntica dándole un atractivo paisajístico muy alto. En la roca expuesta en los lapiaces algunos estratos tienen contenido fosilífero como bivalvos, gasterópodos y equinodermos (Figura 11). La accesibilidad, visibilidad, y tamaño de este geotopo son ventajas muy marcadas para apreciar todos los rasgos de interés que este presenta.
Cañón de Panamá
El Cañón de Panamá es un mirador único que estratigráficamente se encuentra sobre cuarzoarenitas de grano medio a fino intercaladas con capas de lodolitas verdosas. En estas litologías se encuentran venas con drusas de cuarzo de hasta 15 cm que pueden ser observadas con facilidad en cercanías al mirador. Su interés principal es el geomorfológico debido a la variedad de expresiones geomorfológicas (estructurales, kársticas, denudacionales) que se pueden observar en este sector (Figura 12). Además, tiene intereses secundarios: el tectónico por la claridad con la que se pueden observar estructuras plegadas, mineralógico por la abundancia y belleza de las drusas de cuarzo que se pueden encontrar en el sector, e hidrogeológico por la abundancia del recurso hídrico con la que cuenta el sector.
Valoración de Geotopos
En la Tabla 5 se presentan los valores asignados presentan valores similares a geositios kársticos con para cada uno de los subindicadores del método de infraestructura y gran afluencia de turistas anualmente evaluación y el cálculo para cada geotopo. A pesar de Europa (e.g. Vuković y Antić, 2019).
Discusión
De acuerdo con los subindicadores del valor científico/ educacional, la rareza de todos los geotopos fue evaluada con un puntaje de 0,25, estos tipos de paisajes kársticos son comunes a nivel regional, pero algunas de sus geoformas endokársticas no son tan comúnes (espeleotemas, simas). Para la representatividad en cambio se obtuvieron valores de 1, exceptuando al Cañón de Panamá con 0,75, debido a que sus características didácticas, explicativas y de interpretación de eventos geológicos y geomorfológicos son menores si las comparamos con los sistemas subterráneos, que funcionan como laboratorios naturales para la enseñanza de las ciencias de la Tierra. Adicionalmente, las cavernas de Los Carracos y La Tronera son reconocidas a nivel nacional e internacional, por su exuberante belleza, los diversos trabajos científicos realizados y reportes de hallazgos paleontológicos recientes.
Del valor escénico/estético los geotopos obtuvieron puntajes altos en la presencia de paisaje circundante y naturaleza, ya que las cavernas se encuentran rodeadas de vegetación, con presencia de actividad hídrica y poco deterioro inducido por el hombre, la adaptación ambiental de los sitios es alta para las cavernas y el Cañón de Panamá, pero baja para la Cueva de La Virgen y Karst Town.
Los geotopos son protegidos por la comunidad local, se encuentran actualmente en muy buen estado de conservación, exceptuando la Caverna Los Carracos con algunos ligeros daños en su primer nivel, siendo la más visitada de la región. El nivel de vulnerabilidad es medio (0,5), en general, la Caverna Los Carracos y la Cueva del Oro se catalogan como considerablemente sensibles a la degradación antrópica (Tabla 6), por lo que el ingreso de visitantes a estos geotopos debe ser controlado por los guías geoturísticos del sector y no exceder la capacidad de carga de los mismos, ni de las rutas que ya se han planteado para las distintas formas de espeleoturismo que se pueden dar en los mismos (Barajas-Rangel y Gelvez-Chaparro, 2019). Por otro lado, la Caverna La Tronera presenta un grado menor de sensibilidad, y por sus condiciones espeleométricas es la que podría recibir una mayor cantidad de visitantes que pueden acceder por su entrada horizontal o vertical.
Tabla 6 Resultados de las cuevas analizadas bajo la M-GAM y el Índice de Sensibilidad de Cuevas (CSI).
Los puntajes obtenidos en la evaluación de valores funcionales (Fn) y turísticos (Tr) son bajos en promedio, y están relacionados con la ausencia de infraestructura tanto en el municipio como en los geotopos, así como su difícil accesibilidad debido a las malas condiciones de las vías locales, lo cual afecta en gran parte la puntuación de los demás subindicadores. Sin embargo, cabe resaltar la oferta de guías turísticos capacitados para la conducción en recorridos por cavernas y su promoción a nivel internacional.
Se destaca que con los resultados descritos anteriormente todos los geotopos caen en el campo Z21 (Figura 13), indicando importantes valores principales pero bajos a muy bajos valores adicionales. El estado casi prístino de los geotopos, el desarrollo de variadas e importantes investigaciones en la zona, la gran belleza y estado de conservación de las geoformas endokársticas al ser comparadas con otros sistemas kársticos del país da importantes valores científicoseducativos, estéticos y de protección a la mayoría de estos sitios.
Conclusiones
El evidente desarrollo kárstico en la región de El Peñón está controlado principalmente por la geología estructural de la zona, evidenciado en las orientaciones preferenciales dadas por las fracturas tensionales NW-SE y NE-SW que adquieren las unidades exo y endokársticas; si bien debido a este control tectónico se desarrollan cavidades en la mayoría de niveles de la Formación Rosablanca, la composición química de esta juega un papel importante en el desarrollo de las variedades y cantidades de espeleotemas presentes en algunas cuevas o cavernas, incluso las anomalías de sulfuros presentes en la roca son evidenciadas en las precipitaciones y/o clastos encontrados dentro del sistema kárstico.
El turismo en sistemas kársticos ha dejado grandes beneficios en el desarrollo de comunidades y la conservación de su patrimonio en las diferentes partes del mundo donde ha sido aplicado de manera correcta. Los geotopos aquí mencionados son propuestos para la implementación de prácticas de Geoturismo y Espeleoturismo que logren aprovechar todo su potencial, generando conciencia geológica y de protección ambiental en todos sus visitantes.
La mejora en la infraestructura de transporte, comunal y turística es necesaria para un mayor desarrollo turístico, que a su vez impacte en el desarrollo de la economía local y regional.
Es necesario el diseño e instalación de paneles explicativos en cada uno de los geotopos que destaque los rasgos y procesos sobresalientes en cada uno de ellos, el mal estado de las vías de acceso ha contribuido a la conservación de varios de los geotopos pero es necesario su mejoramiento para la afluencia de un mayor número de visitantes, así como la habilitación de senderos que procuren por un turismo inclusivo y causen el menor impacto ambiental; de igual manera se recomienda en la Caverna La Tronera el análisis de factibilidad para la construcción de una plataforma que facilite el ingreso a los visitantes por la entrada horizontal.
La galería inferior de la Caverna Los Carracos presenta una alta diversidad geológica y un alto valor científico, además de ser considerablemente sensible a perturbaciones antrópicas, por lo que se recomienda sea destinada principalmente para turismo científico y didáctico que pretenda ahondar en las distintas ramas de las ciencias del Karst y aportar nuevos datos de este sistema (bioespeleología, paleoclimatología, hidrogeología, mineralogía, tectónica).
Es indispensable el trabajo social con las comunidades, especialmente en la zona rural con los propietarios de los predios en donde hay manifestaciones subterráneas y potenciales geotopos. La instalación de equipos en las cavidades subterráneas para su constante monitoreo, junto al trabajo y comunicación constante con las comunidades garantizará el monitoreo y preservación del patrimonio natural del territorio































