Services on Demand
Journal
Article
Indicators
-
Cited by SciELO -
Access statistics
Related links
-
Cited by Google -
Similars in
SciELO -
Similars in Google
Share
Revista Colombiana de Entomología
Print version ISSN 0120-0488On-line version ISSN 2665-4385
Rev. Colomb. Entomol. vol.36 no.1 Bogotá Jan./June 2010
La orina humana como atrayente natural de Anastrepha obliqua (Diptera: Tephritidae)
Human urine as a natural attractant of Anastrepha obliqua (Diptera: Tephritidae)
NELSON A. CANAL1, MARIA L. PÉREZ O.2 y LUISA F. GONZÁLES2
1 I.A. MS.c. Ph.D. Profesor Asistente, Universidad del Tolima, Barrio Santa Helena, Ibagué, Tolima. nacanal@ut.edu.co. Autor para correspondencia.
2 Ing. Agrónomo, Universidad del Tolima.
Recibido: 20-mar-2009 - Aceptado: 16-ene-2010
Resumen: El control de las moscas de las frutas en Colombia se realiza con labores de monitoreo, con el uso de insecticidas en aspersión o en forma de cebos tóxicos y con la utilización de prácticas culturales. El monitoreo es una actividad esencial y se realiza con trampas McPhail cebadas con proteína hidrolizada. Como alternativa económica al uso de trampas con proteína hidrolizada, en este trabajo se estudió la eficiencia de la orina humana para el monitoreo de moscas de las frutas por parte de pequeños y medianos productores frutícolas. Se utilizaron 10 tratamientos (orina de mujer, hombre y su mezcla al 30%, 50% y 70% de concentración cada uno y la proteína hidrolizada como testigo), con cuatro repeticiones en un diseño de bloques al azar. Se utilizaron trampas Multilure®, colocadas a 28 m de distancia entre sí, en la colección nacional de mango del centro de investigaciones Nataima, ubicado en el Espinal, Tolima. Se realizaron los conteos de las moscas, machos y hembras capturadas en las trampas, dos veces por semana y se renovaron los atrayentes semanalmente. En las hembras se determinó el estado de desarrollo de los ovarios para determinar su edad fisiológica (joven, madura, vieja). No hubo diferencias estadísticas significativas entre la orina de hombre al 70% de concentración y la proteína hidrolizada; sin embargo, la eficiencia de captura de los otros tratamientos, con respecto a la proteína hidrolizada, superó el 40%. En todos los tratamientos hubo mayores capturas de hembras viejas. Se discute que la orina humana puede ser utilizada como opción a la proteína hidrolizada para el monitoreo de esta plaga por parte de pequeños y medianos productores.
Palabras clave: Moscas de las Frutas. Manejo integrado. Mango. Monitoreo. Trampeo.
Abstract: The control of fruit flies in Colombia is done with monitoring efforts, with the use of insecticides sprayed or in the form of toxic baits, and with the use of cultural practices. Monitoring is an essential activity and it is done with McPhail traps baited with hydrolyzed protein. As an economical alternative to the use of traps with hydrolyzed protein, this work studied the efficiency of human urine for monitoring fruit flies for small and medium sized fruit producers. Ten treatments were evaluated (urine from women, men and each one mixed at 30, 50 and 70% concentration and the hydrolyzed protein as a control), with four repetitions and in a randomized block design. Multilure® traps were used, hung every 28 m in the national mango collection in the Nataima Research Center located in, Espinal, Tolima, Colombia). Counts of males and females captured in the traps were made twice weekly, and the attractants were replenished weekly. For the females, the developmental stage of the ovaries was determined in order to determine their physiological age (young, mature, old). There was no statistically significant difference in male urine at the concentration of 70% treatment and the hydrolyzed protein; however, the efficiency of the other treatments, with respect to the hydrolyzed protein, was over 40%. In all of the treatments there were greater captures of old females. It is discussed that human urine can be used as an alternative to hydrolyzed protein for the monitoring of this pest by small and medium sized producers.
Key words: Fruit flies. Integrated Management. Mango. Monitoring. Trapping.
Introducción
Las moscas de las frutas del género Anastrepha se encuentran distribuidas desde los Estados Unidos hasta la parte sur del continente americano (Núñez 1994), en donde causan pérdidas de importancia económica en diversas especies frutícolas (Aluja 1994). Las condiciones favorables de clima, suelo y la gran variedad de frutas, han hecho de la fruticultura uno de los renglones agrícolas de mayor crecimiento y potencial en Colombia.
El manejo de la mosca de la fruta en Colombia, como en gran parte de Latinoamérica, se hace con trampas para monitoreo, utilización de insecticidas en aspersión o en forma de cebos tóxicos y con una serie de labores culturales (Aluja 1994), estas medidas son poco eficientes y no han cambiado en las últimas décadas (Aluja 1994). En Colombia, como en los países localizados en la zona ecuatorial del neotrópico, no existen alternativas diferentes y por tanto, el primer paso consiste en mejorar la eficiencia de las medidas existentes.
Para el manejo integrado de mosca de la fruta, el monitoreo es una actividad esencial que generalmente se realiza con el uso proteína hidrolizada y trampas tipo McPhail y para los pequeños productores, quienes ofertan un porcentaje importante de las frutas producidas en Colombia, este sistema de monitoreo es una tecnología de difícil acceso por su costo y por su poca comercialización. Es por ello que se han estudiado sistemas de monitoreo más eficientes, los cuales incluyen trampas artesanales y atrayentes elaborados con base en jugos de frutas, urea, melaza, orina y gallinaza entre otras (Veloso et al. 1994; Salles 1997; Rodríguez et al. 2000).
El amonio es la sustancia que atrae las moscas de las frutas hacia las fuentes de alimento y oviposición (Bateman y Morton 1981; Mazor et al. 1987) y es utilizado en sustancias sintéticas desarrolladas recientemente para la captura de moscas de las frutas (Heath et al. 1995). La orina humana es una fuente de amonio (Piñero et al. 2003) y por eso se ha considerado viable como atrayente de moscas de las frutas, pero su eficiencia ha sido variable en diferentes trabajos (Hedström 1988; Piñero et al. 2003). Hedström (1988) evaluó la efectividad de la orina humana para atraer moscas del género Anastrepha, la cual capturó diez veces más moscas que la levadura Torula. En evaluaciones de la orina humana y heces de pollo, realizadas por Piñero et al. (2003), se concluyó que ambas fuentes naturales fueron atractivas a los adultos de Anastrepha cuando son comparados con la proteína hidrolizada y la torula; en este trabajo la orina humana con cinco días en campo atrajo numéricamente a más hembras inmaduras de A. obliqua (Macquart, 1835) y A. serpentina (Wiedemann, 1830) que a machos, pero la proteína hidrolizada fue más eficiente que la orina; las heces del pollo demostraron ser tan atractivas como los tratamientos de levadura torula /borax para A. obliqua y A. serpentina (Wiedemann, 1830).
El objetivo de este trabajo fue evaluar la eficiencia de la orina humana frente a la proteína hidrolizada, buscando alternativas de monitoreo para los pequeños productores de frutas.
Materiales y Métodos
El trabajo se realizó en un huerto de mango (Manguifera indica L.), durante el período de inicio de fructificación para garantizar poblaciones de la mosca. El huerto se encuentra en el Centro de Investigaciones Nataima, perteneciente a la Corporación Colombiana de Investigaciones Agropecuarias CORPOICA, localizado en El Espinal, Tolima, Colombia. El ensayo de campo se llevó a cabo entre el 23 de abril y el 18 de junio del 2004. Se utilizó el lote denominado I-2, correspondiente a la colección nacional de variedades de mango, localizado a 4o11´33 ´ N, 74o57’47.200’’W y con una altitud sobre el nivel del mar de 387,8 m. El lote posee un área de 9,5 has y estaba sembrado con árboles de 14 años de edad de diferentes variedades. En los lotes que rodean el sitio del experimento se encuentran huertos de mango (II-2; III-3 y parte de II-3); además se encuentran algunos pequeños huertos de limón (Citrus limon L.), guayaba (Psidium guajaba L.), ciruela (Spondias purpurea L.), anón (Anona squamosa L.), guanábana (Anona muricata L.) y papaya (Carica papaya L.), así como árboles no comerciales de las mismas frutas. El Centro de Investigaciones se localiza a 150 km de Bogotá en la vía a Ibagué; las condiciones climáticas medias obtenidas de la estación meteorológica existente en el centro son: temperatura media entre los 25 y 28oC, precipitación promedio anual de 1300 mm, humedad relativa media de 68% y evapotranspiración media anual de 1886 mm. Según la clasificación de Holdrigde, la región corresponde a la zona de Bosque Seco Tropical.
La unidad experimental fue una trampa Multilure® (tipo McPhail de base amarilla), dispuesta en un diseño estadístico de bloques al azar con cuatro repeticiones y diez tratamientos, para un total de 40 unidades experimentales. Las trampas se instalaron desde 28 metros del borde del lote. Los tratamientos fueron proteína hidrolizada de soya (PH) (Copiagran, Medellín - Colombia), orina de mujer (OM) al 30, 50 y 70% de concentración (dilución en agua), orina de hombre (OH) también diluida al 30, 50 y 70% y la mezcla de ambas orinas con posterior dilución al 30, 50 y 70%. Los donantes de la orina fueron dos hombres adultos jóvenes (de 23 y 27 años) y dos mujeres adultas maduras (de 45 y 47 años). Los donantes gozaban de buena salud, no fueron sometidos a tratamiento alguno y sus orinas se mezclaron antes de preparar las mezclas para evaluación. A los tratamientos se les adicionó bórax al 1% para preservar las soluciones. Esta adición fue necesaria pues la primera lectura realizada se descartó porque muchas de las soluciones de orina presentaban gruesas capas superficiales que impedían la captura de la mosca.
Las trampas fueron ubicadas a 28 metros de distancia entre sí, en la parte sur-oriental del árbol y hacia la parte más externa del follaje. Semanalmente los tratamientos fueron rotados en los árboles utilizados dentro del mismo bloque con el fin de diluir la variación causada por la distribución de la población de los insectos en estudio. Un bloque estuvo representado por una hilera de árboles y en cada árbol se situó un tratamiento, de acuerdo con la distancia asignada. El número de moscas capturadas fue registrado dos veces por semana y la renovación del atrayente se realizó semanalmente, durante ocho semanas consecutivas, para un total de 16 lecturas. Se separaron hembras de machos en cada lectura y se observó el estado de madurez de las hembras. Según el estado de desarrollo de los ovarios se clasificaron en jóvenes, maduras o viejas, en el total de las hembras capturadas. Los especimenes recolectados fueron identificados en el Laboratorio de Entomología de la Universidad del Tolima. En cada revisión se midió el pH de los atrayentes, pero como no hubo diferencias en las lecturas, su análisis fue descartado. En todos los tratamientos fue aproximadamente 8.5.
El estado de madurez de las hembras fue establecido de acuerdo al desarrollo de los ovarios, tomando como referencia el criterio establecido por Ramírez et al. (1996). Para ello se disectaron hembras de A. obliqua provenientes de la cría artificial del Instituto Colombiano Agropecuario (ICA) en Ibagué. Se consideraron hembras antes de iniciar su periodo de oviposición (jóvenes de cinco días de edad), hembras en periodo de oviposición (maduras) y hembras que habían cumplido su ciclo reproductivo (viejas). Las hembras jóvenes tenían los ovarios poco desarrollados, las hembras maduras tenían los ovarios desarrollados con gran cantidad de huevos y las hembras viejas tenían los ovarios desarrollados con pocos huevos o sin ellos (Fig. 1).
Los datos registrados se sometieron a una prueba de Análisis de Varianza y las medias comparadas por la prueba de significancia de Duncan. Se utilizó el Programa de análisis estadístico SANEST - Sistema de Análisis Estadístico, del Centro de Informática na Agricultura - ESALQ - USP, Brasil. Las variables estudiadas fueron: lecturas (correspondientes a las fechas de muestreo), número de hembras, número de machos, número total de moscas, estado de madurez de las hembras y tiempo de exposición del atrayente en campo (cuatro o siete días).
Resultados
Se capturaron un total de 10.182 moscas, de las cuales 4.951 son hembras y 5.231 son machos. Todos los ejemplares colectados pertenecían a la especie A. obliqua.
Las variables estudiadas presentaron diferencia estadística significativa, con excepción del tiempo de exposición (Tabla 1). Se encontró diferencia significativa entre los bloques, la cual es atribuida al tamaño del huerto y los movimientos propios de las poblaciones de moscas dentro de los lotes. En los bordes de los lotes normalmente hay una mayor captura de moscas que en el centro de los mismos (Aluja et al. 1996).
Como indicado en la sección de materiales y métodos, el diseño en bloques al azar y la rotación de tratamientos fueron utilizados para reducir la variación causada por la distribución de la población de la plaga.
Se encontraron diferencias significativas en la variable lecturas. Esta variable se refiere a la cantidad de moscas en cada una de las fechas de lectura y su significancia indica que se capturan diferente número de moscas en diferentes épocas de lectura. Los mayores índices de captura ocurrieron hacia el final de la toma de datos, cuando la población de moscas incrementó por la presencia de un mayor número de frutos maduros. Los valores del índice de moscas/trampa/día (mtd) oscilaron entre 0 y 20,9 en las diferentes lecturas y en los diferentes tratamientos, sin embargo, se presentaron capturas en todos los tratamientos y las gráficas de captura muestran una tendencia similar (Fig. 2).
La mayor captura de hembras ocurrió en la proteína hidrolizada (1.105 especimenes), seguida por la captura en orina de hombre al 70% (973); estas dos capturas difieren estadísticamente entre sí y superan a todos los demás tratamientos (Fig. 3). A diferencia de lo ocurrido con las capturas de hembras, los tratamientos de la proteína hidrolizada y la orina de hombre al 70% de concentración presentaron las mayores capturas de machos (899 para la proteína y 857 para OH 70%), sin diferencia estadística entre sí, pero también superaron a los machos colectados en los demás tratamientos (Fig. 3). No se encontró diferencia estadística entre el total de moscas (hembras+machos) colectadas con la proteína hidrolizada y la orina de hombre al 70% de concentración (Fig. 3). Esto demuestra que las hembras y los machos de A. obliqua responden diferente a los atrayentes utilizados en campo.
A cada una de las hembras se les determinó su edad mediante el estado de desarrollo de sus ovarios. En la evaluación no se observó variación de la frecuencia de los estados en cualquiera de los tratamientos, es decir, la distribución por edades de las moscas capturadas fue similar en todos ellos. Las mayores capturas fueron de hembras viejas, seguido por maduras, y por último de hembras jóvenes (Fig. 4).
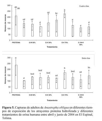
No se encontraron diferencias significativas entre las capturas de moscas a los cuatro o siete días de exposición del atrayente (Tabla 1), sin embargo, cuando se consideraron las capturas dentro de cada tratamiento y en los diferentes tiempos de exposición, si se encontraron diferencias estadísticas significativas (Tabla 1). A los cuatro días de exposición no se encontraron diferencias entre las capturas en la proteína hidrolizada y en la orina de hombre al 70% de concentración y estos tratamientos superaron a los demás. A los siete días de exposición, hubo diferencia significativa entre las moscas colectadas en la proteína y las colectadas en la orina de hombre al 70% y ambos tratamientos superaron a los demás (Fig. 5), lo cual indica que en la orina se presenta una disminución más rápida en la emisión de volátiles amoniacales respecto a lo ocurrido en la proteína hidrolizada. Discusión El monitoreo es una parte fundamental en los programas de manejo de las moscas de las frutas. Las trampas y atrayentes son las herramientas básicas del monitoreo de las poblaciones y la base para la planificación de medidas de control. Entre tanto, en algunos lugares se ha utilizado el trampeo masivo como una alternativa de control (Aluja et al. 1996). Para los pequeños y medianos productores colombianos la utilización de la proteína hidrolizada en el monitoreo y/o control de la mosca de la fruta tiene un alto costo, por lo cual, la utilización de sustancias que emitan fermentos amoniacales, como la orina humana, puede ser una alternativa viable.
Se ha demostrado que la orina humana es atractiva a moscas de las frutas (Hedström 1988; Piñero et al. 2002, 2003; Aluja y Piñero 2004). En Costa Rica, Hedström (1988) encontró que la orina humana capturó 10 veces más moscas de A. striata Schiner, 1868 y A. obliqua que la levadura Torula en un huerto de guayaba. Piñero et al. (2003) compararon la orina humana y la proteína hidrolizada en México y encontraron que la proteína hidrolizada capturó más individuos de A. obliqua y A. serpentina que la orina. Aluja y Piñero (2004), en México, compararon la captura de moscas de la fruta en orina humana y proteína hidrolizada en diferentes huertos de frutas y encontraron que la orina capturó igual número de moscas de A. fraterculus (Wiedemann, 1835) en huertos de guayaba y toronja (Citrus paradisi (Macfadyn)), menor número de A. obliqua y A. serpentina en mango y significativamente más moscas de A. serpentina en chico zapote (Manilkara zapota (L.) P. Royen). Piñero et al. (2002) estudiaron la influencia de la alimentación previa, la edad y el sexo en la respuesta de cuatro especies de Anastrepha a la orina humana y la proteína hidrolizada. Los autores encontraron que estas variables influyen en las preferencias de las moscas por determinado atrayente.
Los trabajos anteriores y los resultados de este ensayo permiten concluir que la respuesta de las moscas a la orina humana depende de la especie objeto del monitoreo y que otros factores biológicos y ecológicos influyen en esta respuesta. En este estudio el tratamiento de orina de hombre al 70% capturó una cantidad similar de adultos de A. obliqua con respecto a la proteína hidrolizada, lo que difiere de lo referido para la misma especie por Piñero et al. (2003) y Aluja y Piñero (2004). Las razones a las cuales se pueden atribuir estas diferencias son: 1) Posibles variaciones en la calidad de las proteínas hidrolizadas utilizadas, 2) La concentración de la orina utilizada, 3) El origen de la orina y, 4) Condiciones fisiológicas de la mosca.
Hedström (1988) y Piñero et al. (2003) utilizaron en sus estudios orina al 50% de concentración y Aluja y Piñero (2004) evaluaron concentraciones de 12,5, 25 y 50% de concentración. Las concentraciones utilizadas por estos autores fueron seleccionadas para evitar una posible disminución en la atracción del cebo por concentraciones altas de amonio (Bateman y Morton 1981). En este trabajo se elevó la concentración de orina hasta el 70% y no se observó un efecto negativo por la concentración del atrayente y con las concentraciones menores se capturó significativamente menor cantidad de moscas que con la proteína hidrolizada, lo que coincidió con los resultados obtenidos por Piñero et al. (2003) y Aluja y Piñero (2004). Igualmente, en los trabajos antes referidos con orina humana no se adicionó bórax a los atrayentes y en El Espinal fue necesario adicionar este producto para evitar la formación de capas gruesas, aparentemente de microorganismos, en la superficie del atrayente, que impedían la captura de las moscas. El efecto del bórax en la actividad de un atrayente alimenticio es variable de acuerdo a las especies de mosca de las frutas, siendo para unas positivo y para otras negativo (Dyuck et al. 2004).
Los donantes usados en este trabajo no fueron sometidos a ninguna dieta especial con el objetivo de utilizar la orina en las condiciones reales en las cuales un pequeño fruticultor puede utilizarla como atrayente. Además de la preparación de los donantes, puede tener influencia el sexo del donante, es decir, quizás la orina de hombre sea más atractiva que la de la mujer, o quizás, la edad del donante pueda influir, pues mientras los donantes hombres en este experimento fueron adultos jóvenes, las donantes fueron adultas maduras. Las diferencias encontradas en los resultados de nuestro trabajo con los de Piñero et al. (2003) y Aluja y Piñero (2004), indicadas anteriormente, pueden ser debidas a que estos últimos autores obtuvieron la orina de un donante hombre de 26 años de edad que fue sometido a una dieta rigurosa libre de café, bebidas alcohólicas, suplementos vitamínicos, condimentos y cigarrillo.
Robacker (1991) encontró que la respuesta de A. ludens (Loew, 1873) a un atrayente alimenticio dependía de la alimentación previa y sugirió que esto podría influir en los programas de trampeo de moscas, pues la respuesta del insecto al atrayente depende de la fuente de alimento que inicialmente encuentre y del tamaño de la población; Piñero et al. (2002) encontraron resultados similares, pero además refirieron que la respuesta depende también del sexo y la edad. Este hecho indica que el microambiente del huerto y el hábitat de su entorno, así como condiciones propias de las poblaciones, resultan en diferencias en la respuesta hacia los atrayentes alimenticios y, por tanto, es posible que poblaciones de sitios diferentes presenten diferencias en sus respuestas.
Canal et al. (2007) evaluaron diferentes atrayentes alimenticios en poblaciones de A. obliqua, durante cinco años y en diferentes periodos, en la misma área donde se realizó el presente estudio. Los resultados indicaron que la respuesta a los atrayentes variaba debido posiblemente a variaciones mínimas de la humedad relativa, la temperatura y debido a la biología propia del insecto. Si bien estos autores estudiaron la estructura poblacional de las moscas capturadas en cada uno de los ensayos realizados, a través del estudio del estado fisiológico de las moscas, los análisis no fueron concluyentes debido a la falta de conocimiento sobre la variación de esta estructura poblacional a través del tiempo. En todos los tratamientos evaluados en el presente estudio se capturó una mayor cantidad de hembras viejas y esto puede ser debido a la estructura poblacional existente en el tiempo del ensayo, sin embargo, si no se conocen los factores relacionados con la fluctuación poblacional del insecto, incluyendo la variación de la estructura etárea en el tiempo, no será posible establecer conclusiones definitivas.
Cuando se utiliza el trampeo como un método de control puede no ser conveniente que se capture un mayor número de moscas viejas, debido a que a esta edad las moscas ya han depositado sus huevos en los frutos y su ciclo biológico ha culminado, sin embargo, cabe destacar dos cosas: la primera de ellas que este resultado se obtuvo en todos los tratamientos; incluso en el de la proteína hidrolizada, que es la opción utilizada comunmente por los productores frutícolas. La segunda, que aunque se haya capturado mayor número de moscas viejas, los insectos capturados en los otros dos estados (maduras y jóvenes) también fue considerable (aproximadamente el 44,57% de las moscas capturadas).
La respuesta de las moscas de las frutas a los atrayentes alimenticios puede ser influenciada por muchos factores. Definir exactamente cual es la causa en las diferencias encontradas en los resultados, como es el caso de México y Colombia, implica la realización de experimentos específicos. Estos son necesarios, no solo por intentar popularizar el uso de un atrayente natural como la orina humana, sino también por la necesidad de mejorar los sistemas de monitoreo en general.
La orina de hombre al 70% de concentración permite tener una eficiencia estadística igual a la de la proteína hidrolizada en cuanto a la detección de moscas. Cabe destacar que hasta el tratamiento con menor índice de captura dentro de la evaluación (Orina de hombre + mujer al 30% de concentración con 690 moscas capturadas, alrededor de 7% del total), presentó una eficiencia aceptable (40,74%) con respecto a la proteína hidrolizada (Tabla 2); ésta puede ser mejorada utilizando un número mayor de trampas por área si el interés es el trampeo masivo. Por otro lado, al observar detenidamente la figura 2, se puede observar que cualquiera de los tratamientos puede llegar a ser usado por un pequeño fruticultor para saber como está fluctuando la población de moscas en su lote.
Por muchos años la orina humana ha sido utilizada con fines benéficos para el hombre (el dato más antiguo en el Veda Hindú, que nació hace 5000 años, llamado "Shivambukaloa" donde se le dedican 107 capítulos a la orinoterapia); existen además estudios científicos que señalan que en la orina humana se presentan varios anticuerpos (como Interoikin Renina, Protasglandina) los materiales más importantes para combatir las infecciones o tumores malignos, hormonas como la Spu-Hormona que tiene varias funciones como antibiótico para la circulación de la sangre, analgésico y promotor de la secreción de otras hormonas (Velázquez 2000). Lo anterior indica que no existirían muchos riesgos a la salud con la utilización de la orina en programas de manejo de moscas, la cual al final depende de la superación del rechazo mental de los fruticultores.
Conclusiones
La orina humana es un atrayente viable para ser utilizado por pequeños fruticultores, en zonas cálidas colombianas, para el monitoreo de la mosca de la fruta Anastrepha obliqua. La eficiencia de la orina en la atracción de moscas de las frutas es influenciada por muchos factores referentes al medio y a las condiciones biológicas de las especies de insectos; es necesario profundizar en el conocimiento de esos factores para mejorar los sistemas de trampeo de estos insectos.
Literatura citada
ALUJA, M. 1994. Bionomics and management of Anastrepha. Annual Review of Entomology 39: 155-178. [ Links ]
ALUJA, M.; CELEDONIO-HURTADO, H.; LIEDO, P.; CABRERA, M.; CASTILLO, F.; GUILLÉN, J.; RIOS, E. 1996. Seasonal population fluctuations and ecological implications for management of Anastrepha fruti flies (Diptera: Tephritidae) in commercial mango orchards in Southern Mexico. Journal of Economic Entomology 89 (3): 654-667. [ Links ]
ALUJA, M.; PIÑERO, J. 2004. Testing human urine as a low-tech bait for Anastrepha spp. (Diptera: Tephritidae) in small guava, mango, sapodilla and grapefruit orchards. Florida Entomologist 87 (1): 41-50. [ Links ]
BATEMAN, M. A.; MORTON, T. C. 1981. The importance of ammonia in proteinaceous attractants for fruit flies (Diptera: Tephritidae): Australian Journal of Agricultural Research 32: 883- 903. [ Links ]
CANAL, N. A.; CHACON, M. C. de; GALEANO, P. E.; GOMEZ, S. G.; GOMEZ, M. J.; RAMIREZ, J. H.; OSORIO, A.; CASTAÑEDA, M. R. 2007. Response of Anastrepha species (Diptera: Tephritidae) to synthetic attractants in Colombia. IAEA-TECDOC, Development of improved attractants and their integration into fruit fly SIT management programmes ( Austria ) 1574: 129-141 [ Links ]
DYUCK, P. F.; ROUSSE, P.; RYCKEWAERT, P.; FABRE, F.; QUILICI, S. 2004. Influence of adding borax and modifying pH on effectiveness of food attractants for melon fly (Diptera: Tephritidae). Journal of Economic Entomology 97 (3): 1137-1141. [ Links ]
HEATH, R. R.; EPSKY, N. D.; GUZMAN, A.; DUEBEN, B. D.; MANUKIAN, A.; MEYER, W. L. 1995. Development of a dry plastic insect trap with food-based synthetic attractant for the Mediterranean and Mexican fruit flies (Diptera: Tephritidae). Journal of Economic Entomology 88 (5): 1307-1315. [ Links ]
HEDSTRÖM, I. 1988. Una sustancia natural en la captura de moscas de la fruta del género Anastrepha Schiner (Diptera: Tephritidae): Revista de Biología Tropical 36: 269-272. [ Links ]
MAZOR, M.; GOTHILF, S.; GALUN, R. 1987. The role of ammonia in the attraction of females of the Mediterranean fruit fly to protein hydrolysate baits. Entomologia Experimentalis et Applicata 43: 25-29. [ Links ]
NÚÑEZ, L. 1994. Las Moscas de las Frutas (Diptera: Tephritidae). Revista ICA. 29 (2): 122-129. [ Links ]
PIÑERO, J.; ALUJA, M.; EQUIHUA, M.; OJEDA M. M. 2002. Feeding history, age and sex influence the response of four economically important Anastrepha species (Diptera: Tephritidae) to human urine and hydrolyzed protein. Folia Entomologica Méxicana 41 (3): 283-296. [ Links ]
PIÑERO, J.; ALUJA, M.; VÁZQUEZ, A.; EQUIHUA, M.; VARÓN, J. 2003. Human urine and chicken feces as fruit fly (Diptera: Tephritidae) attractants for resource-poor fruit growers. Journal of Economic Entomology 96 (2): 334-339. [ Links ]
RAMIREZ, A.; HERNANDEZ-ORTIZ, V.; MARTINEZ, I. 1996. Maduración ovárica en la "mosca de la guayaba" Anastrepha striata Schiner (Diptera: Tephritidae). Acta Zoologica Méxicana (n.s.) 69: 105-116. [ Links ]
ROBACKER, D. C. 1991. Specific hunger in Anastrepha ludens (Diptera: Tephritidae): effects on attractiveness of proteinaceus and fruit-derived lures. Environmental Entomology 20 (6): 1680-1686. [ Links ]
RODRIGUEZ G. G.; MARK P. D.; SILVA-ACUÑA, R.; GONZALEZ, E.; MILANO, E. 2000. Evaluacion de trampas y formulaciones atrayentes para la captura de la mosca de la guayaba, Anastrepha striata Schiner (Diptera: Tephritidae) en Santa Bárbara, Monagas, Venezuela. Boletín de Entomología Venezolana 15 (1): 49-60. [ Links ]
SALLES, L. A. 1997. Sucos de frutas como atractivos para a captura de adultos da moscas-das-frutas Anastrepha fraterculus (Wied. 1930) (Diptera: Tephritidae). Pesquisa Agropecuaria Gaúcha (Brasil) 3 (1):25-28. [ Links ]
VELAZQUEZ, J. 2000. La orinoterapia. Universidad lnteramericana de Puerto Rico. Disponible en: http://ponce.inter.edu/cai/reserva/jvelazquez/orino.htm. Fecha revisión: 29 diciembre 2009. [ Links ]
VELOSO, V. R. S.; FERNANDES, P. M.; ROCHA, M. R.; QUEIROZ, M. V.; SILVA, R. M. R. 1994. Armadilha para o monitoramento e controle das moscas-das-frutas Anastrepha spp. e Ceratitis capitata (Wied.). Anais da Sociedade Entomológica do Brasil 23 (3): 487-493. [ Links ]
















