Services on Demand
Journal
Article
Indicators
-
Cited by SciELO -
Access statistics
Related links
-
Cited by Google -
Similars in
SciELO -
Similars in Google
Share
Revista Colombiana de Entomología
Print version ISSN 0120-0488
Rev. Colomb. Entomol. vol.40 no.1 Bogotá Jan./June 2014
Sección Agrícola
Orgilinae (Hymenoptera: Braconidae) en cultivo de café de Cravinhos, SP, Brasil
Orgilinae (Hymenoptera: Braconidae) in coffee crops at Cravinhos, State of São Paulo, Brazil
MARIA F. A. TANGO1,2, DANIELL R. R. FERNANDES1,3, CLAUDIA C. P. PAZ4,5, ROGÉRIA I. R. LARA4,5 y NELSON W. PERIOTO4,1,61 Universidade Estadual Paulista "Júlio de Mesquita Fillio" (UNESP), Faculdade de Ciencias Agrárias e Veterinárias, Programa de Pósgraduacào em Agronomia (Entomologia Agrícola), Jaboticabal, SP, Brasil.
2 M. Sc. mariafloratango@yahoo.com.br. Autor para correspondencia.
3 M. Sc. daniellrodrigo@hotmail.com.
4 Agencia Paulista de Tecnologia dos Agronegócios, APTA Ribeirào Preto, Laboratòrio de Sistemática e Bioecologia de Parasitoides e Predadores, Ribeirào Preto, SP, Brasil.
5 Ph. D. ccppaz@apta.sp.gov.br; rirlara@yahoo.com.br.
6 Ph. D. nperioto@gmail.com.
Recibido: 24-may-2013 • Aceptado: 9-may-2014
Resumen: El objetivo de este estudio fue reportar los Orgilinae obtenidos en Coffea arabica cv. Obatã, en Cravinhos, São Paulo, Brasil, evaluar la fluctuación poblacional de Orgilus niger, así como correlacionar su población con los métodos de muestreo, con las poblaciones de Leucoptera coffeella, pluviosidad y media de las temperaturas máximas y mínimas. Los orgilinos fueron recolectados semanalmente entre mayo de 2005 y abril de 2007 con trampas Moericke y luminosa. Las siguientes especies fueron identificadas: O. niger (757 ejemplares; 88,0% del total colectado), Orgilus sp. 1 (71; 8,3%) y Stantonia longicornis (32; 3,7%). Las mayores frecuencias de los orgilinos ocurrieron entre mayo de 2005 y abril de 2006 (693; 80,6%) y para O. niger entre mayo y octubre de 2005, con un pico entre agosto y septiembre de 2005. Las trampas Moericke capturaron la totalidad de los ejemplares de O. niger, S. longicornis y la mayoría de los Orgilus sp. 1. Las trampas Moericke instaladas en la altura del tercio inferior de las plantas capturaron el mayor promedio de O. niger, el cual difirió significativamente de las instaladas en el tercio medio. Entre mayo de 2005 y abril de 2006, las correlaciones entre la población de O. niger y el número de larvas vivas y galerías de L. coffeella disponibles para parasitismo fueron positivas y significativas y, negativas y significativas con la pluviosidad y las temperaturas mínima y máxima, lo que indica que periodos de sequía y de menor temperatura en el año favorecen el aumento de la población de L. coffeella y de su parasitoide O. niger.
Palabras clave: Coffea arabica. Leucoptera coffeela. Orgilus niger. Parasitoides. Stantonia longicornis.
Abstract: The aim of this study was to document the Orgilinae species found in Coffea arabica L. at Cravinhos, at São Paulo State, Brazil; to evaluate the population fluctuation of Orgilus niger, and to correlate it population with the sampling methods employed, with populations of Leucoptera coffeella, rainfall, and the average maximum and minimum temperatures. Orgilinids were collected weekly between May 2005 and April 2007 with Moericke and light traps. The following species were identified: O. niger (757 specimens; 88.0% of the total collected), Orgilus sp. 1 (71; 8.3%), and Stantonia longicornis (32; 3.7%). The highest frequency of Orgilinae was recorded between May 2005 and April 2006 (693; 80.6%), and O. niger between May and October 2005, with a peak population between August and September 2005. Moericke traps captured all the specimens of O. niger, S. longicornis and most Orgilus sp. 1; traps installed at the height of the lower third of the plants captured the highest average of O. niger, which differed significantly from those installed in the middle third. Between May 2005 and April 2006, the correlations between the population of O. niger and the number of larvae and mines of L. coffeella available for parasitism were positive and significant and negative and significant with the rainfall and minimum and maximum temperatures, indicating that periods of drought and lower temperature in the year favor the increase of the population of L. coffeella and its parasitoid O. niger.
Key words:Coffea arabica. Leucoptera coffeella. Orgilus niger. Parasitoids. Stantonia longicornis.
Introducción
Braconidae (Hymenoptera: Ichneumonoidea) es la segunda mayor familia en número y diversidad entre los himenópteros, solo después de Ichneumonidae, con cerca de 20 mil especies descritas y 40 mil estimadas (Sharkey 1993; Dolphin y Quicke 2001; Owen et al. 2009; Yu et al. 2012). En el Nuevo Mundo existen 34 subfamilias de bracónidos y sus especies actúan como controladores naturales de diversos grupos de insectos como Lepidoptera, Coleoptera y Diptera (Matthews 1974). Muchas especies de bracónidos además son actualmente utilizadas en programas de control biológico de plagas (Botelho y Macedo 2002).
Orgilinae (Braconidae) es una subfamilia relativamente pequeña, con 356 especies descritas distribuidas en 13 géneros de los cuales cinco son reportados para el Nuevo Mundo (Achterberg 1997; Yu et al. 2012); la mayoría de las especies neotropicales todavía está por ser descrita (Achterberg 1997). Los Orgilinae actúan como endoparasitoides koinobiontes solitarios de larvas de Coleophoridae, Gelechiidae, Tortricidae, Pyralidae y Oecophoridae (Lepidoptera) (Shaw y Huddleston 1991), y poco se sabe sobre su biología.
Entre los orgilinos Orgilus Haliday, 1833 (Orgilini) y Stantonia Ashmead, 1904 (Mimagathidini) son los géneros más abundantes (Hanson y Gauld 2006). Orgilus con cerca de 260 especies descritas (Penteado-Dias 1999; Yu et al. 2012), de las cuales 21 son neotropicales y solo tres registradas para Brasil (Hanson y Gauld 2006; Yu et al. 2012).
Algunas especies de Orgilus han sido utilizadas para el control biológico de lepidópteros, entre ellas: Orgilus obscurator (Nees, 1812) para el control de Rhyacionia buoliana (Denis y Schiffermüller, 1775) (Tortricidae), O. longiceps Muesebeck, 1933 para controlar Grapholitha molesta (Busck, 1916) (Tortricidae), O. lepidus Muesebeck, 1967 en el control de Phthorimaea operculella (Zeller, 1873) (Gelechiidae) (Muesebeck 1970; Oatman y Piatneri 1989), y O. gossypii Muesebeck, 1956 contra Pectinophora gossypiella (Saunders, 1844) (Gelechiidae) (Muesebeck 1956, 1967).
En Brasil, dos especies de orgilinos están asociadas a Leucoptera coffeella (Guérin-Méneville, 1842) (Lepidoptera, Lyonetiidae), plaga clave del cafetal: O. punctatus (Beyr, 1959) con presencia registrada para los estados de São Paulo y Paraná (Parra et al. 1977; Carneiro Filho y Guimarães 1984), y O. niger Penteado-Dias, 1999 para Minas Gerais y São Paulo (Penteado-Dias 1999; Ecole et al. 2010).
A pesar del café ser un cultivo secular y de importancia económica en Brasil, son pocos los estudios brasileros que reportan la ocurrencia y diversidad de parasitoides asociados a este cultivo (Carneiro-Filho y Guimarães 1984; Perioto et al. 2004; Melo et al. 2007) y, pocos de ellos, por ejemplo Tozati y Gravena (1998) y Parra et al. (1977), se basaron en más de un año de muestreo. Hay que destacar que, en tales estudios, los parasitoides fueron obtenidos a partir de hojas de cafetal con galerías por L. coffeella.
Este estudio tuvo como objetivo evaluar la fluctuación poblacional de las especies de Orgilinae recolectadas en un cafetal de la región noreste del estado de São Paulo, así como evaluar la eficiencia de las trampas utilizadas en su captura y correlacionar la fluctuación poblacional de O. niger con los métodos de captura empleados, larvas vivas y galerías de L. coffeella, pluviosidad y temperatura mínima y máxima.
Materiales y métodos
El muestreo de los orgilinos fue realizado entre mayo de 2005 y abril de 2007 con 120 trampas Moericke, de las cuales 60 fueron instaladas a la altura del tercio medio de las plantas y las demás en el tercio inferior (a partir de ahora denominadas como MS y MI, respectivamente). Además, se colocaron dos trampas luminosas (modelo Jermy) en una hectárea de superficie con café (Coffea arabica L. cv. Obatã) (Rubiacea) con cuatro años de edad al iniciar el experimento, en la Fazenda Palmares (21°18'54"S 47°47'39"O), Cravinhos, estado de São Paulo, Brasil. El protocolo de recolecta se encuentra descrito en detalle por Lara et al. (2010). Para controlar la palomilla minadora de la hoja y los ácaros se realizaron aplicaciones de thiametoxam (neonicotinoide) durante mayo de 2005 y tres de clorhidrato cartap + fenpropatrin (piretroide + tiocarbamato) en octubre de 2005, julio de 2006 y marzo de 2007.
Las hojas de café y los insectos recolectados fueron llevados al Laboratório de Sistemática e Bioecología de Parasitoides e Predadores (LSBPP) perteneciente a la Agência Paulista de Tecnologia de los Agronegócios (APTA), Ribeirão Preto, estado de São Paulo, Brasil. En este laboratorio se examinaron las hojas bajo un microscopio estereoscópico para cuantificar el número de larvas vivas de L. coffeella, de galerías (m), de galerías depredadas (mp) y de galerías con la presencia de larvas o pupas de parasitoides (mlp). Los insectos obtenidos fueron conservados en alcohol al 70% e identificados bajo el microscopio estereoscópico. La cantidad de galerías disponibles para parasitismo (mdp) fue calculada empleando la fórmula mdp= m-(mp+mlp).
Los orgilinos recolectados fueron secados con un secador de punto crítico Leica mod. EM CPD 030 e identificados a nível de género y especie siguiendo las claves de Wharton et al. (1997); Achterberg (1987); Penteado-Dias (1999) y Braet y Quicke (2004). El material estudiado fue depositado en la Coleção Entomológica do LSBPP (LRRP).
Para establecer las posibles correlaciones (rÂ2; r) entre la abundancia semanal de O. niger, su hospedero (L. coffeella), la pluviosidad y las temperaturas máximas y mínimas observadas en la semana anterior a las colectas se utilizó el software Statistica v. 7.0 para Windows (StatSoft 2004). Los datos meteorológicos fueron proporcionados por el Escritório de Desenvolvimento Rural de Ribeirão Preto (CATI), de la Secretaria de Agricultura e Abastecimento do Estado de São Paulo, Brasil.
La eficiencia de la altura de instalación de las trampas de Moericke fue analizada utilizando el modelo logístico de parcelas subdivididas en el tiempo con la herramienta PROC GLM (SAS/STAT 2003). Para obtener la normalidad de los residuos primero se empleó la prueba de Shapiro-Wilk [P1] y homogeneidad de las varianzas (Prueba F), y luego los datos fueron transformados mediante log10(x), y comparados por la prueba de Tukey al 5% de probabilidad. Las variables independientes fueron mes, año y los tratamientos (trampas de Moericke inferior y superior) y las interacciones entre mes y año con los tratamientos. La prueba de comparación de medias fue realizada por contrastes ortogonales usando el método de los mínimos cuadrados.
Resultados y discusión
Orgilinae: fluctuación poblacional y eficiencia de las trampas. Exemplares de orgilinos fueron observados en el área durante los dos años de muestreo, a pesar de aplicaciones de thiamethoxam en mayo de 2005 y de ditiocarbamato en octubre de 2005, julio de 2006 y marzo de 2007. Estas aplicaciones de pesticidas fueron destinadas al control de L. coffeella; se observó una disminución en la población de Orgilinae posterior a las aplicaciones de ditiocarbamato en octubre de 2005 y julio de 2006, hecho que no se repitió después a las demás aplicaciones (Fig. 1).
De los 860 ejemplares de orgilinos recolectados, tres especies fueron identificadas: O. niger (757 ejemplares; 88,0% del total colectado), Orgilus sp. 1 (71; 8,3%) y Stantonia longicornis (van Achterberg 1992) (32; 3,7%) (Tabla 1). En el primer año fueron capturados 693 ejemplares de Orgilinae (80,6% del total colectado), con mayor abundan cia entre junio y octubre de 2005 (603 especímenes; 70,1% del total coletado) y un pico entre agosto y septiembre de 2005. En el segundo año fueron registradas bajas frecuencias durante todo el periodo, con un pico en junio de 2006 (Tabla 1; Fig. 1).
La mayor frecuencia de O. niger (563 ejemplares; 74,4% del total colectado) fue registrada entre mayo y octubre de 2005, con un pico entre agosto y septiembre de 2005 (Fig. 2A); para S. longicornis, las mayores abundancias (24; 75%) ocurrieron entre diciembre de 2005 y marzo de 2006, con picos en enero y marzo de 2006 y, para Orgilus sp. 1 (56; 78,9%), entre junio y septiembre de 2005, con un pico en junio de 2005 (Tabla 1).
Las mayores frecuencias de O. niger coincidieron con los picos poblacionales de larvas vivas de L. coffeella, los cuales ocurrieron en septiembre y octubre de 2005 (Fig. 2A), y con la floración de las plantas de café. Estas condiciones probablemente favorecieron el aumento de la población del parasitoide al hacer disponible recursos para su desarrollo larval y para la longevidad de los adultos. Las bajas frecuencias de O. niger entre mayo de 2006 y abril de 2007 resultaron de las aplicaciones de agroquímicos y de las condiciones climáticas atípicas registradas en este período; en el segundo año, entre octubre de 2006 y enero de 2007, el volumen de lluvia acumulada fue de 1.670,9 mm, correspondientes a más del doble de lo que se registró para los mismos meses en el primer año de estudio. Pierre (2011) relató la presencia de O. niger en café orgánico y convencional en el municipio de Dois Córregos, estado de São Paulo, Brasil, entre febrero de 2009 y junio de 2010, con un pico de frecuencia en enero y mayo de 2010. En Heliodora, Minas Gerais, O. niger fue uno de los principales parasitoides de L. coffeella en áreas de producción de café arábico orgánico (Amaral et al. 2010). Los resultados del presente estudio corroboran los dados obtenidos por Reis et al. (2002), quienes afirman que la pluviosidad y la temperatura son factores limitantes de la ocurrencia de L. coffeella, cuyas mayores poblaciones coinciden con los periodos más fríos y secos del año. Para O. niger no existen registros semejantes en la literatura.
S. longicornis tiene distribución neotropical (Braet y Quicke 2004) y nada se sabe sobre su biología. Este es el primer reporte de esta especie en el Estado de São Paulo y en el cultivo de café. Especies de Stantonia están comúnmente asociadas a especies de Crambidae (Lepidoptera) y, más raramente, a Noctuidae, Pyralidae y Tortricidae (Lepidoptera) (Braet y Quicke 2004). Marchiori et al. (2000) registraron las mayores frecuencias de S. longicornis en abril, junio y agosto en áreas de bosque nativo y pastizales, diferente a lo obtenido en este estudio. Dada la época de ocurrencia de estos insectos, existe la posibilidad de que estuvieran asociados a lepi dópteros defoliadores que se desarrollan en las entrelíneas de las plantas de café.
La trampa Moericke capturó la totalidad de ejemplares de O. niger, S. longicornis y la mayoría de los Orgilus sp. 1 (54 especímenes; 76,1% do total). Esto indica que O. niger y S. longicornis tienen un hábito diurno, como gran parte de las especies de Braconidae (Gauld 1991; Lewis y Whitfield 1999). Este hábito nocturno, no puede confirmarse para Orgilus sp. 1, ya que también fue capturado en baja frecuencia (17 ejemplares; 23,9% del total recoletado) con trampas luminosas (Tabla 1).
Ramiro et al. (2007) evaluaron el efecto de coloración y de la altura de instalación de las trampas Moericke en relación al nivel de suelo para la captura de Braconidae en cafetales tipo arábico en Monte Mor, São Paulo. Orgilinae fue una de las subfamilias más abundantes, y 92% de los ejemplares de esta subfamilia fueron capturados con trampas amarillas, en donde la altura de las trampas no interfirió en su captura. Tales resultados demuestran que el uso de trampas Moericke amarillas, como las utilizadas en este estudio, es lo más indicado para la captura de Orgilinae.
Pocos son los estudios sobre captura de S. longicornis, lo que dificulta la discusión de los resultados obtenidos. Braet y Quicke (2004) afirmaron que los Mimagathidini (Braconidae, Orgilinae) son fácilmente recolectados con trampa Malaise y, algunas veces con trampas Moericke. Marchiori y Penteado-Dias (2002) reportan por otra parte, la captura de S. longicornis con trampas Moericke en Itumbiara, Goiás.
Los análisis sobre la eficiencia de las trampas Moericke en cuanto a su altura de instalación y las relaciones entre los orgilinos capturados con larvas vivas en galerías de L. coffeella, pluviosidad y temperaturas máximas y mínimas se restringen a O. niger, cuyos ejemplares representan 88,0% de los Orgilinae recolectados (Tabla 1) y están asociados a L. coffeella así, Orgilus sp. 1 y S. longicornis fueron excluidos de los análisis por sus bajas frecuencias de ocurrencia.
Orgilus niger: eficiencia de trampas Moericke en función de la altura de instalación y sus relaciones con L. coffeella, pluviosidad y temperaturas máximas y mínimas. El mayor promedio de O. niger fue obtenido con las trampas MI (m = 5,0183 ± 0,8369), el cual fue significativamente diferente las trampas MS (m = 2,1471 ± 0,8369) (Tabla 2). No se observó interacción significativa entre mes y año con los promedios de las capturas de O. niger con las trampas MI y MS. Tales datos indican que las trampas MI fueron las más indicadas para la captura de ese parasitoide. La discusión al respecto de esos resultados esta limitada por la inexistencia de otros estudios que aborden la captura de O. niger con trampas Moericke instaladas en diferentes alturas en relación al nivel de suelo. Segun Reis et al. (1984) al finalizar el periodo larval, L. coffeella sale de la epidermis superior de la hoja y a través de un hilo de seda cae a la parte inferior de las plantas de café, donde construye su capullo de seda en una hoja; ese comportamiento puede explicar la mayor captura promedio de la trampa Moericke instalada en la parte inferior. Resultados similares a los obtenidos para O. niger se registraron en otros estudios en la misma área experimental con diferentes grupos de parasitoides y depredadores: Fernandes et al. (2010) mencionaron que la trampa Moericke capturó 70% de los ejemplares de Exasticolus fuscicornis (Cameron, 1887) (Braconidae: Homolobinae) y, en lo que se refiere a la altura de su instalación, 64% de los ejemplares recolectados fueron obtenidos con las trampas MS. Las trampas Moericke también capturaron 75% de los ejemplares de Diplazon Nees, 1819 (Hymenoptera: Ichneumonidae) (Fernandes et al. 2009). Lara et al. (2008) con una red de barrido capturaron 51,9% de los Hemerobiidae (Neuroptera), seguidas por las trampas Moericke (34,6%) y de luz (13,5%).
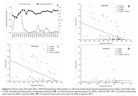
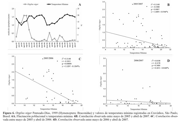
Las relaciones entre la población de O. niger con L. coffeella, pluviosidad y temperatura fueron evaluadas por año de muestreo pues las condiciones climáticas observadas en el segundo año fueron atípicas para el patrón registrado en la región noreste de São Paulo en los últimos años e influenció en la captura de los insectos estudiados. En el primer año la precipitación acumulada fue de 1.327,1 mm y 1.769,6 mm, en el segundo. Sin embargo, entre abril y septiembre de 2006, la precipitación acumulada fue de 98,7 mm, que es aproximadamente 1/3 de los 318,7 mm registrados para el mismo período de 2005 y, entre octubre de 2006 y enero de 2007, fue más que el doble de lo registrado para los mismos meses en el primer año de estudio, 1.670,9 mm (Fig. 4A). En el segundo año de muestreo, nueve meses tuvieron las medias en temperaturas máximas superiores de las observadas (los valores variaron de 29,1 °C a 35,8 °C contra 24,0 °C a 35,8 °C) y, en siete meses, las temperaturas mínimas fueron inferiores a las observadas entre mayo de 2005 y abril de 2006 (Figs. 5A, 6A).
En las figuras 2 a 6 se presentan las relaciones entre la población de O. niger, L coffeella, pluviosidad y temperatura en los periodos comprendidos entre mayo de 2005 y abril de 2006, correspondiente al primer año de muestreo: mayo de 2006 y abril de 2007, al segundo año, y el periodo total de muestreo. Los datos fueron evaluados por año de muestreo para mostrar que en el primer año, las correlaciones entre la población de O. niger y el número de larvas vivas y de galerías de L coffeella disponibles para parasitismo fueron positivas y significativas (Figs. 2-3C) y reflejan un aumento de la población de los parasitoides entre junio y octubre de 2005, relacionada con las altas poblaciones de su hospedero. También en el primer año fueron verificadas correlaciones negativas y significativas entre la población de O. niger y la pluviosidad y las temperaturas mínimas y máximas (Figs. 4-6C). Esta situación no ocurrió al ser analizados tales correlaciones aisladamente en el segundo año de muestreo pues las condiciones abióticas ya mencionadas interfirieron en las frecuencias de O. niger y de L. coffeella (Figs. 2-6D).
Los análisis de correlación, para todo el periodo de muestreo, entre la población de O. niger y los parámetros evaluados (hospedero, pluviosidad y temperatura) fueron positivos, significativos y menores (Figs. 2-6B). Los resultados probablemente reflejan el doble del volumen de lluvias acumulado entre octubre de 2006 y enero de 2007 cuando comparado con el mismo periodo del año anterior (Fig. 4A) y del aumento de las temperaturas máximas, cuyos menores valores fueron cerca de 5 °C mayores que los registrados en nueve meses del segundo año de muestreo.
Reis y Souza (1986) reportan que la pluviosidad influencia negativamente la población de L. coffeella mientras que la temperatura ejerce influencia positiva. Pereira et al. (2007) al analizar los factores de mortalidad de L. coffeela verificaron que entre el parasitismo, ecdisis incompletas y la pluviosi dad, este último es un factor clave de la mortalidad larval en las estaciones lluviosas. La humedad relativa del aire influyó significativa y negativamente en el número total de lesiones (r = -0,62) y que la temperatura influyó significativa y negativamente en el número de larvas vivas (r = -0,75) (Gravena 1983).
Conclusiones
Los periodos más secos y fríos del año, entre mayo y octubre, favorecen el aumento de las poblaciones de L. coffeella y O. niger. La disponibilidad de larvas vivas y de galerías de L. coffeella para parasitismo al parecer favorece el aumento y el mantenimiento de la población de O. niger en el agroecosistema cafetero estudiado. Las trampas Moericke instaladas en el tercio inferior de las plantas de café fueron las más eficientes para la captura de O. niger.
Agradecimientos
A FAPESP (proc. n° 07/05814-5) y al Instituto Nacional de Ciencias y Tecnología de los Hymenoptera Parasitoides de la Región Sudeste Brasilera (Hympar/Sudeste) (proc. FAPESP n° 08/57949-4, proc. CNPq n° 573802/2008-4 e CAPES) por el apoyo financiero; al Dr. Francisco José Sosa Duque, de la Universidad Centroccidental "Lisandro Alvarado", Lara, Venezuela y al entomólogo Claudio Antonio Salas Figueroa por los "ajustes gramaticales"; al Sr. Edson Minohara, dueño de la Fazenda Palmares, por la cesión del área de estudio.
Literatura citada
ACHTERBERG, C. van. 1987. Revisionary notes on the subfamily Orgilinae (Hymenoptera: Braconidae). Zoologische Verhandelingen, Leiden. 111 p. [ Links ]
ACHTERBERG, C. van. 1997. Subfamily Orgilinae. pp. 397-400. En: Wharton, R. A.; Marsh, P. M.; Sharkey, M. J. (Eds.). Manual of the new world genera of family Braconidae (Hymenoptera). The International Society of the Hymenopterists. N 1. Washington, DC. 439 p. [ Links ]
AMARAL, D. S.; VENZON, M.; PALLINI, P. C. L.; DESOUZA, O. 2010. A diversificação da vegetação reduz o ataque do bichomineiro- do-cafeeiro Leucoptera coffeella (Guérin-Méneville) (Lepidoptera: Lyonetiidae)? Neotropical Entomology 39 (4): 543-548. [ Links ]
BRAET, Y.; QUICKE, D. L. J. 2004. A phylogenetic analysis of the Mimagathidini with revisionary notes on the genus Stantonia Ashmead, 1904 (Hymenoptera: Braconidae: Orgilinae). Journal of Natural History 38 (12): 1489-1589. [ Links ]
BOTELHO, P. S. M; MACEDO, N. 2002. Cotesia flavipes para o controle de Diatraea saccharalis. p. 409-425. En: Parra, J. R. P; Botelho, P. S. M.; Corrêa-Ferreira, B. S.; Bento, J. M. S. (Eds.). Controle biológico no Brasil: parasitoides e predadores. Editora Manole Ltda. São Paulo. Brasil. 635 p. [ Links ]
CARNEIRO-FILHO, F.; GUIMARÃES, P. M. 1984.Ocorrência de microhimenópteros parasitos de Leucoptera coffeella (Guérin- Mèneville, 1842) em três regiões do Estado do Paraná, PR. pp. 115-116. En: Congresso Brasileiro de Pesquisas Cafeeiras, 11., 1984, Londrina, PR. Anais. Londrina, 1984. [ Links ]
DOLPHIN, K.; QUICKE, D. L. J. 2001. Estimate the global species richness of an incompletely described taxon: an exemple using parasitoid wasps (Hymenoptera: Braconidae). Biological Journal of Linnean Society 73: 279-286. [ Links ]
ECOLE, C. C.; MORAES, J. C.; VILELA, M. 2010. Suplementos alimentares e isca tóxica no manejo do bicho-mineiro. Coffee Science 5 (2): 167-172. [ Links ]
FERNANDES, D. R. R.; LARA, R. I. R.; PERIOTO, N. W. 2009. Ocorrência de Diplazontinae (Hymenoptera: Ichneumonidae) em agrossistema cafeeiro. O Biológico 71 (2): 148. [ Links ]
FERNANDES, D. R. R.; TANGO, M. F. A.; LARA, R. I. R.; PERIOTO, N. W. 2010. Exasticolus fuscicornis (Cameron, 1887) (Hymenoptera: Braconidae: Homolobinae) em agrossistema cafeeiro: ocorrência e sazonalidade. O Biológico 72 (2): 168. [ Links ]
GAULD, I. D. 1991. The Ichneumonidae of Costa Rica. Memoirs of the American Entomological Institute. Gainesville. 589 p. [ Links ]
GRAVENA, S. 1983. Táticas de manejo integrado do bicho-mineiro do cafeeiro Perileucoptera coffeella (Guérin-Mèneville, 1842): II Amostragem da praga e seus inimigos naturais. Anais da Sociedade Entomológica do Brasil 12 (2): 273-281. [ Links ]
HANSON; P. E.; GAULD, I. D. 2006. Hymenoptera de la región Neotropical. American Entomological Institute. Gainesville. 994 p. [ Links ]
LARA, R. I. R.; FREITAS, S.; PERIOTO, N. W.; PAZ, C. C. P. 2008. Amostragem, diversidade e sazonalidade de Hemerobiidae (Neuroptera) em Coffea arabica L. cv. Obatã (Rubiaceae). Revista Brasileira de Entomologia 52 (1): 117-123. [ Links ]
LARA, R. I. R.; FREITAS, S.; PERIOTO, N. W. 2010. Diversidade de hemerobiídeos (Neuroptera) e suas associações com presas em cafeeiros. Pesquisa Agropecuária Brasileira 45 (2): 115-123. [ Links ]
LEWIS; C. N.; WHITFIELD, J. B. 1999. Braconid wasp (Hymenoptera: Braconidae) diversity in forest plots under different silvicultural methods. Environment Entomology 6: 986-997. [ Links ]
MARCHIORI, C. H.; PENTEADO-DIAS, A. M. 2002. Braconidae (Hymenoptera: Ichneumonoidea) collected in a native forest area in Itumbiara, Goiás, Brazil. Neotropical Entomology 31 (4): 647-649. [ Links ]
MARCHIORI, C. H.; OLIVEIRA, A. T.; PENTEADO-DIAS, A. M.; SCATOLINI, D. 2000. Nova ocorrência de Bentonia longicornis Achterberg, 1992 (Hymenoptera, Braconidae, Orgilinae) para o Brasil. Pesquisa Agropecuária Tropical 30 (1): 103-104. [ Links ]
MATTHEWS, R. W. 1974. Biology of Braconidae. Annual Review of Entomology 19: 15-32. [ Links ]
MELO, T. L. CASTELLANI, M. A.; NASCIMENTO, M. L.; MENEZES JR., A. O.; FERREIRA, G. F. P.; LEMOS, O. L. 2007. Comunidades de parasitóides de Leucoptera coffeella (Guérin- Mèneville & Perrottet, 1842) (Lepidoptera: Lyonetiidae) em cafeeiros nas regiões Oeste e Sudoeste da Bahia. Ciência e Agrotecnologia 31 (4): 966-972. [ Links ]
MUESEBECK, C. F. W. 1956. Some braconid parasites of the pink bollworm Pectinophora gossypiella (Saunders). Bollettino del Laboratorio di Zoologia Generale e Agraria della Facoltà Agraria in Portici 33: 55-63. [ Links ]
MUESEBECK, C. F. W. 1967. A new braconid parasite of the potato tuberworm (Hymenoptera). Proceedings of the Entomological Society 69 (2): 177-178. [ Links ]
MUESEBECK, C. F. W. 1970. The nearctic species of the Orgilus Haliday (Hymenoptera: Braconidae). Washington: Smithsonian Contribution to Zoology No 30. 104 p. [ Links ]
OATMAN, E. R; PIATNERI, G. 1989. Parasites of the potato tuberworm, tomato pinworm, and other, closely related gelechiids. Proceedings of Hawaiian Entomological Society 29: 23-30. [ Links ]
OWEN, R. J.; PURVIS, A.; BAUMGART, E.; QUICKE, D. L. J. 2009. Using taxonomic revision data to estimate the geografic and taxonomic distribuition of undescribed species richness in the Braconidae (Hymenoptera: Ichneumonoidea). Insect Conservation and Diversity 2 (3): 204-212. [ Links ]
PARRA, J. R. P.; GONÇALVES, W.; GRAVENA, S.; MARCONATO, A. R. 1977. Parasitos e predadores do bicho-mineirodo- cafeeiro Perileucoptera coffeella (Guérin-Mèneville, 1842) em São Paulo. Anais da Sociedade Entomológica do Brasil 6: 138-143. [ Links ]
PENTEADO-DIAS, A. M. 1999. A new species of parasitoids on Perileucoptera coffeella Guérin-Mèneville, 1842) (Lepidoptera, Lyonetiidae) from Brazil. Zoologische Mededelingen 72: 189- 197. [ Links ]
PEREIRA, E. J.; PICANÇO, M. C.; BACCI, L.; CRESPO, A. L. B.; GUEDES, R. N. C. 2007. Seasonal mortality factors of the coffee leafminer, Leucoptera coffeella. Bulletim of the Entomological Research 97 (4): 421-432. [ Links ]
PERIOTO, N. W.; LARA, R. I. R.; SELEGATTO, A.; LUCIANO, E. S. 2004. Himenópteros parasitoides (Insecta, Hymenoptera) coletados em cultura de café Coffea arabica L. (Rubiaceae) em Ribeirão Preto, SP, Brasil. Arquivos do Instituto Biológico 71 (1): 41-44. [ Links ]
PIERRE, L. S. R. 2011. Níveis populacionais de Leucoptera coffeella (Lepidoptera: Lyonetidae) e Hypothemus hampei (Coleoptera: Scolytidae) e ocorrência de seus parasitóides em sistemas de produção de café orgânico e convencional. Tesis de Doctorado en Entomologia. Escola Superior de Agricultura "Luíz de Queiroz", Universidade de São Paulo. Piracicaba. Brasil. 96 p. [ Links ]
RAMIRO, Z. A.; COSTA, V. A.; DIAS, A. M. P.; OLIVEIRA, D. A. 2007. Estudo da fauna de Braconidae (Hymenoptera, Ichneumonoidea) em cultura de café (Coffea arabica L. Rubiaceae), no Estado de São Paulo. En: Simpósio de Pesquisa dos Cafés do Brasil, 5.,: Águas de Lindóia, SP. Anais Brasília, D.F.: Embrapa Café, 2007. [ Links ]
REIS, P. R.; SOUZA, J. C. 1986. Influência das condições do tempo sobre a população de insetos e ácaros. Informe Agropecuário, 12 (138): 25-30. [ Links ]
REIS, P. R.; SOUZA, J. C.; MELLES, C. A. 1984. Pragas do cafeeiro. Informe Agropecuário 10 (109): 3-72. [ Links ]
REIS, P. R.; SOUZA, J. C.; VENZON, M. 2002. Manejo ecológico das principais pragas do cafeeiro. Informe Agropecuário 23: 83-99. [ Links ]
SAS/STAT. 2003. User's guide: statistics, version 9, v.1, SAS Institute Inc. [ Links ]
SHARKEY, M. J. 1993. Family Braconidae. pp. 362-395. En: Goulet, H.; Huber, J. T. (Eds.). Hymenoptera of the world: an identification guide to families. Agriculture Canada. Ottawa. Canada. 668 p. [ Links ]
SHAW, M. R; HUDDLESTON, T. 1991. Subfamily Orgilinae. p. 91. En: Dolling, W. R.; Askew, R. R. (Eds.). Classification of the biology on braconid wasps. Royal Entomological Society of London. London. Volume 7. Handbooks for the identification of Brithish insects. Part 11. 125 p. [ Links ]
STATSOFT, Inc. 2004. Statistica (Data Analysis Software System). Version 7. Disponible en: http://www.statsoft.com. Fecha revisión: 10 agosto 2012. [ Links ]
TOZATTI, G.; GRAVENA, S. 1988. Fatores naturais de mortalidade de Perileucoptera coffeella, Guérin-Méneville (Lepidoptera, Lyonetiidae), em café, Jaboticabal. Científica 16 (2): 179-187. [ Links ]
WHARTON, R. A.; MARSH, P. M.; SHARKEY, M. 1997. Manual of the new world genera of the family Braconidae (Hymenoptera). The International Society of Hymenopterists. Washington. 439 p. [ Links ]
YU, D. S.; ACHTERBERG, C. van; HORSTMANN, K. 2012. Taxapad Ichneumonoidea. Vancouver. Disponible en: www.taxapad.com. Fecha revisión: 5 agosto 2012. [ Links ]
Citación sugerida:
TANGO, MARIA F. A.; FERNANDES, D. R. R.; PAZ, C. C. P.; LARA, R. I. R.; PERIOTO, N. W. 2014. Orgilinae (Hymenoptera: Braconidae) en cultivo de café de Cravinhos, SP, Brasil. Revista Colombiana de Entomología 40 (1): 25-33. Enero-julio 2014. ISSN 0120-0488.


















