Services on Demand
Journal
Article
Indicators
-
Cited by SciELO -
Access statistics
Related links
-
Cited by Google -
Similars in
SciELO -
Similars in Google
Share
Revista Colombiana de Ciencias Pecuarias
Print version ISSN 0120-0690On-line version ISSN 2256-2958
Rev Colom Cienc Pecua vol.25 no.1 Medellín Jan./Mar. 2012
Artículos originales
Factors determining adoption of water conservation practicesin cattle farming systems of the upper basin of the riverGuarinó (Caldas, Colombia)¤
Factores que determinan la adopción de prácticas de conservación del agua en sistemas ganaderos de la cuenca alta del río Guarinó (Caldas, Colombia)
Factores que determinam a adopçäo de prácticas de conservaçäo do água em sistemas pecuários de bacia alta do rio Guarinó (Caldas, Colombia)
Marcela Patiño1,2*, MVZ, Msc; Víctor Moreira3, IA, Msc, PhD; Rodrigo Echeverría3, IA, MBA, PhD; Laura Nahuelhual3,4, IA, Msc, PhD
1Escuela de Graduados, Facultad de Ciencias Agrarias, Universidad Austral de Chile.
2DepartamentodeDesarrollo Rural,Universidad de Caldas.
3Instituto de Economía Agraria, Universidad Austral de Chile.
4Fundación Centro de los bosques nativos FORECOS.
(Recibido: 23 abril, 2010; aceptado: 12 agosto, 2011)
Summary
Factors determining the adoption of water conservation practices are specific to the study sites and need to be identified to develop local policies. Objective: identify factors that determine the adoption of water conservation practices in cattle farms in a high Andean watershed, given that this area is considered a conservation priority in Caldas province, Colombia. Methods: in this study, five factor categories related to the adoption of conservation practices were used as a reference. The study quantified variables obtained by survey from February to April 2009. A total of 69 farmers were surveyed. A Logit regression model was used to explain adoption of conservation practices. Significant variables were plotted to measure their effect on the probability of practice adoption. Results: model results show that although factors related to biophysical properties (NAC and LIM) along with risk and uncertainty factors (TEN and CAP) were significant, other factors are also significant in the study area, such as those related with decision makers (EDU) and farm resources (TAM). Conclusions: regarding the effect of significant variables on the probability of adoption, it is not necessary to reach a conclusion about which ones are most important; however, the model results and the determination of the effects offer keys to direct the conservation actions in the area, allowing to generate recommendations in this regard that can be used as reference in cattle areas around high Andean aquatic ecosystems.
Key words: adoption, livestock systems, water conservation, watershed.
Resumen
Los factores que determinan la adopción de prácticas de conservación a nivel agropecuario son específicos de los sitios de estudio e identificarlos es necesario para tomar decisiones a nivel local. Objetivo: en el presente trabajo, tomando como referencia cinco categorías de factores relacionados con la adopción de prácticas de conservación, se buscó identificar aquellos factores que determinan la adopción de prácticas de conservación del agua en sistemas ganaderos de una cuenca alto andina con prioridad de conservación en el departamento de Caldas (Colombia). Métodos: en el estudio se cuantificaron algunas variables, obtenidas a través de una encuesta realizada entre Febrero-Abril del 2009 a 69 tomadores de decisión de predios ganaderos del sector, las cuáles fueron incluidas en un modelo de regresión Logit para explicar la adopción. Las variables significativas fueron graficadas para medir el efecto que ejercen sobre la probabilidad de adopción. Resultados: los resultados del modelo muestran que aunque los factores relacionados con aspectos biofísicos de los predios (NAC y LIM) y los factores de riesgo e incertidumbre (TEN y CAP) son significativos, en la zona de estudio existen otros factores que también son significativos, como los relacionados con los tomadores de decisión (EDU) y los recursos de dotación de los predios (TAM). Conclusiones: con relación al efecto de las variables significativas sobre la probabilidad de adopción, no es preciso llegar a una conclusión sobre cuál o cuáles son las más importantes, sin embargo, los resultados del modelo y la determinación de los efectos, ofrecen elementos para dirigir las acciones de conservación en la zona, permiten generar algunas recomendaciones en tal sentido y pueden servir de referente en zonas ganaderas relacionadas con ecosistemas acuáticos alto andinos.
Palabras clave: adopción, agua, conservación, cuenca, sistemas ganaderos.
Resumo
Os fatores que determinam a adoção de práticas de conservação agrícola são específicos dos locais de estudo. Objetivo: usando como referência 5 categorias de fatores relacionados com a adoção de práticas de conservação ao nível pecuário, neste estudo tentou se identificar os fatores que determinam a adoção de práticas de conservação da água nos sistemas pecuários da bacia alta do rio Guarinó em Caldas. Métodos: no estudo quantificaram-se algumas variáveis obtidas através de enquetes realizados desde Fevereiro até Abril do 2009, para 69 tomadores de decisão, as quais foram incluídas em um modelo de regressão logística para explicar a adoção. As variáveis significativas foram plotadas para medir o efeito que exercem sobre a probabilidade de adoção. Resultados: os resultados do modelo demonstram que embora os fatores relacionados com aspectos biofísicos dos prédios (NAC e LIM) e os fatores de risco e incerteza (TEN e CAP) foram significativos, na zona de estudo existem outros fatores que também foram significativos: os que tem relação com os tomadores de decisão (EDU) e os recursos de dotação dos prédios (TAM). Conclusões: em relação ao efeito das variáveis significativas sobre a probabilidade de adoção, não é preciso chegar a uma conclusão sobre qual ou quais são as de maior importância, entretanto, os resultados do modelo e a determinação dos efeitos, oferecem elementos para dirigir as ações de conservação da região que permitem gerar algumas recomendações. Nesse sentido, podem servir como referência em regiões pecuárias que tenham relação com ecossistemas aquáticos andinos.
Palavras chave: adoção, água, bacia conservação, sistemas pecuários.
¤ Para citar este artículo: Patiño M, Moreira V, Echeverría R, Nahuelhual L. Factores que determinan la adopción de prácticas de conservación del agua en sistemas ganaderos de la cuenca alta del río Guarinó (Caldas, Colombia). Rev Colomb Cienc Pecu 2012; 25:46-55.
* Autor para correspondencia: Marcela Patiño. Calle 65 Nº 26-10 (Manizales-Caldas-Colombia). E-mail: marcela.patino@ucaldas.edu.co
Introducción
La actividad ganadera provee medios de sustento a gran parte de población rural a nivel mundial, generando impactos ambientales negativos (Steinfeld et al., 2006; FAO, 2007), reconocidos en Colombia, como: deforestación, erosión, pérdida de biodiversidad e impactos sobre el agua (Murgueitio, 2003). Actualmente incluidos en la planeación del sector, con propuestas concretas para su mitigación (FEDEGAN, 2006; Murgueitio etal., 2008).
En el país, los impactos de la ganadería en ecosistemas acuáticos, las metodologías para evaluar estos impactos (Chará, 2004), y las acciones de restauración en zonas ganaderas (Chará y Murgueitio, 2005; Pedraza et al., 2008) han sido estudiados.
En la cuenca alta del río Guarinó, la ganadería produce impactos negativos (CORPOCALDAS, 2001), por lo que existe interés en transformar esta actividad y conservar la cuenca. Sin embargo, se desconoce cuáles predios implementan prácticas de conservación del agua y qué factores determinan la adopción de dichas prácticas.
Los estudios de adopción de prácticas de conservación a nivel agropecuario son numerosos (Ej. Habron, 2004; Sidibé, 2005; Asafu-Adjaye, 2008) y aquellos que buscan identificar factores y variables que expliquen la adopción concluyen que, por las condiciones ambientales y socioeconómicas, estos son muy específicos del contexto e identificarlos sirve para tomar decisiones a niveles locales (Knowler y Bradshaw, 2007; de Graaff et al., 2008).
Las prácticas de conservación en la zona de estudio tienen relación con la agroforestería (Mercer, 2004). En una revisión de más de 30 estudios de adopción de prácticas de agroforestería y entre 5 categorías de factores: 1) preferencias de los productores, 2) recursos de dotación del predio, 3) incentivos de mercado, 4) aspectos biofísicos de los predios y 5) factores de riesgo e incertidumbre, Pattanayak et al. (2003) determinan que los factores más estudiados son: preferencias de los productores y recursos de dotación de los predios, sin embargo, los factores con mayor significancia son: riesgo e incertidumbre y aspectos biofísicos de los predios.
Tomando como referencia ese estudio, esta investigación plantea como hipótesis: entre las cinco categorías, los factores de riesgo e incertidumbre y aspectos biofísicos de los predios son importantes, tanto por su significancia como por el efecto que tienen sobre la probabilidad de adopción de prácticas de conservación del agua en la zona.
Los objetivos de este trabajo fueron: 1) identificar los factores que tienen significancia en la adopción de prácticas de conservación del agua y 2) determinar el efecto de estos factores sobre la probabilidad de adopción de dichas prácticas.
Materiales y Métodos
Zona de estudio, muestra y recolección de datos
La zona de estudio se ubica en la región alto andina de Colombia a 5º 17’ 3” latitud norte y 74º 15’ 48” longitud occidental, sobre la cordillera central en el municipio de Marulanda (Caldas) (Figura 1).
Las condiciones agroecológicas de la zona son de relieve montañoso, con pendientes moderadas y altas, clima promedio de 14 ºC y altura promedio de 3,100 msnm en ecosistema de bosque alto andino. La hidrografía de la zona pertenece a la vertiente oriental de la cordillera central, con una red de drenajes que fluyen en sentido oeste- este. El río Guarinó nace en la vereda del Páramo y recorre el municipio de noroccidente hasta suroriente, recibiendo aguas de afluentes a su paso y continuando por el límite departamental hasta desembocar en la cuenca del río Magdalena. El área aproximada de la cuenca del río Guarinó es de 624.85 km2 y el 57% pertenece al municipio de Marulanda (CORPOCALDAS, 2001). En relación a la cuenca alta y sus principales afluentes (Figura 1) se ubican un total aproximado de 120 predios principalmente ganaderos, cuyo objetivo productivo es la comercialización de leche, queso y carne en mercados locales y regionales.
Como muestra para el estudio fueron escogidos por selección aleatoria simple (Berenson y Levine, 1991) un total de 69 predios ganaderos del sector. Considerando que en la zona no siempre son los productores quienes toman las decisiones y muchas veces estos se encuentran ausentes del predio, para la recolección de datos se aplicó una encuesta dirigida a los tomadores de decisión de los predios, que podrían ser propietarios, administradores o asistentes técnicos. La encuesta se aplicó entre los meses de febrero-abril (2009), previo contacto telefónico con el encuestado y en diferentes sitios (predios, oficinas o sitios de acopio) y estuvo estructurada en secciones, incluyendo: 1) información básica del predio y aspectos biofísicos, 2) información del tomador de decisiones, 3) información de producción, 4) información ambiental y 5) información complementaria.
De acuerdo con los datos de la encuesta, en la zona de estudio se implementan dos prácticas para conservación del agua relacionadas con la agroforestería (Mercer, 2004). Estas son: 1) el aislamiento de zonas críticas para el agua y 2) la reforestación de zonas críticas para el agua (Zonas críticas: se entienden como nacimientos, lagunas o corredores en las orillas de los cursos de agua). Para el modelo de adopción, se consideraron los predios en los cuáles se implementa una de las dos prácticas, ambas o ninguna.
Especificación del modelo
Se asume que la respuesta del tomador de decisiones es consistente con la maximización de utilidades. Es decir, un tomador de decisiones i, en un predio adoptará la práctica si considera que la utilidad de adoptarla (Ui1)es mayor que la utilidad de no hacerlo (Ui0).Esta decisión no es observable pero puede definirse como una variable latente
,la cual representa la disposición de cada tomador de decisiones para adoptar las prácticas de conservación del agua, y puede explicarse por un conjunto de variables X. Es decir,

El modelo observable de la adopción se puede describir como una variable binaria, donde Yi = 1 (Adopta) y Yi=0(Noadopta),entonces:

Donde Xi son las variables estudiadas, iht son los tomadores de decisión en los predios, β corresponde a los coeficientes a ser estimados y εi es el error estadístico. La naturaleza dicotómica de la variable dependiente Yi sugiere que un modelo de regresión binario Logit es adecuado. La especificación más detallada de este modelo puede revisarse en Wooldridge (2001) y algunos ejemplos de aplicación en adopción de prácticas de agroforestería pueden revisarse en Alavalapati et al. (1995), Adesina (2000), Adesina y Chianu (2002) y Thangata y Alavalapati (2003).
Para la selección final de las variables incluidas en el modelo, se hicieron algunas modificaciones a las categorías propuestas por Pattanayak et al. (2003), por ejemplo, los atributos de los productores fueron reemplazados por los atributos de los tomadores de decisión y la categoría incentivos no fue considerada (Los incentivos identificados fueron insumos, árboles y mano de obra entregados para la implementación de las prácticas. Cuando esta variable se incluye en el modelo, explica la adopción de manera “perfecta” en nueve predios, sin embargo, al cambiar su valor y chequearla, esta variable no es significativa).
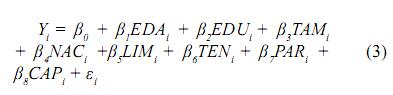
Las categorías y variables en el modelo (Tabla 2) incluyen: factores del tomador de decisiones, donde se consideraron la edad (EDA) y escolaridad (EDU), ambas expresadas en años; factores relacionados con recursos de dotación del predio como el tamaño de la explotación (TAM) expresado en Unidades de Gran Ganado (1 UGG: Corresponde a 450 kg de animal en pie); factores biofísicos del predio donde se incluyeron la existencia de nacimientos de agua en el predio (NAC) como variable binaria igual a 1 cuando existen nacimientos de agua e igual a 0 cuando no existen y las limitaciones relacionadas con la disponibilidad de agua en el predio (LIM) igual a 1 si existen limitaciones relacionadas con el abastecimiento de agua y 0 cuando no existen; y por último se incluyeron factores de riesgo e incertidumbre, donde se consideraron el tipo de tenencia del predio (TEN) igual a 1 si el predio es propio y 0 cuando no lo es, la participación (PAR) con valor de 1 si alguien del predio participa en organizaciones y 0 cuando no participan, y la capacitación (CAP) como variable binaria igual a 1 si alguien del predio recibió alguna capacitación en los últimos 5 años y 0 cuando no recibieron capacitación.
El modelo empírico estimado fue el siguiente:

Para identificar los efectos de las variables significativas (según los resultados del modelo Logit), sobre la probabilidad de adopción de las prácticas de conservación del agua, se utilizó un análisis de probabilidades predichas (mediante gráficos) que tiene ventaja frente a los análisis marginales al permitir analizar el comportamiento completo de la variable de interés (Long, 1997). Tanto para el cálculo del modelo de regresión como para la realización de los gráficos de probabilidades predichas se utilizó el paquete estadístico STATA versión 9.0.
Resultados
Prácticas de conservación y predios que las adoptan
De los 69 predios incluidos en el estudio, en 45 (65%) se implementa alguna práctica de conservación del agua relacionada con la agroforestería y en 24 (35%) no se implementan.
De los 45 predios que implementan alguna práctica, en 22 (49%) se usan tanto el aislamiento como la reforestación de zonas críticas para el agua; en un número igual de predios 22 (49%) sólo se hace aislamiento de zonas críticas para el agua y en 1predio(2%)sehacesóloreforestación.
Descripción estadísticadelasvariables
Como se observa en el Tabla 1, los tomadores de decisión en la zona tienen entre 26 y 85 años de edad con un promedio de 51 años cumplidos y con un nivel de escolaridad que va desde ningún tipo de estudio, hasta 19 años de escolaridad que corresponde a profesionales con post-grado. El promedio de escolaridad general es de 8 años.
Con relación a los predios, en la Tabla 1 se observa que el tamaño de las explotaciones es variable, desde predios con 14 hasta 512 UGG con un promedio de 94 UGG. El 88% de predios tiene nacimientos de agua, el 28% presenta limitaciones relacionadas con el abastecimiento de agua, el 88% de los predios son propios, en el 65% alguien participa en organizaciones y en el 51% alguien ha recibido algún tipo de capacitación durante los últimos 5 años. Con relación a los valores promedio para cada variable en las submuestras, en la Tabla 1 se observa que en general los valores entre los que “adoptan” y “no adoptan” son similares, excepto por el tamaño de la explotación, que es ligeramente mayor para los que “adoptan” con relación a los que “no adoptan”.
Resultados del modelo
Antes de estimar el modelo, las variables explicativas fueron chequeadas para comprobar que no existiera correlación entre ellas y descartar problemas de multicolinealidad. Además, el modelo fue calculado con un error estándar robusto. Los resultados de la regresión se presentan en el Tabla 2, y muestran que con relación a la adopción de prácticas de conservación del agua, las variables EDAy PARno fueron significativas.
En el Tabla 2 se observa que no todas las variables significativas presentaron efecto positivo sobre la probabilidad de adopción. Las variables que presentan efecto positivo sobre la probabilidad de adopción fueron: EDU con significancia del 5%, TAM con significancia del 10%, LIM con significancia del 5% y TEN con significancia del 5%. Las variables que presentaron efecto negativo sobre la probabilidad de adopción fueron NAC con significancia del 5% y CAP con significancia del 10% (Tabla 2).
Gráficos de probabilidades predichas
Estos gráficos fueron realizados para las variables significativas en el modelo de adopción y se presentan en la figura 2.
Discusión
En el estudio, un alto porcentaje de predios (65%), implementa el aislamiento de zonas críticas para el agua, la reforestación de zonas críticas, o ambas. Esto contrasta con las evaluaciones ambientales de la zona donde CORPOCALDAS (2001) reconoce los impactos del pastoreo sobre los cursos de agua y una alta deforestación tanto de los nacimientos como de los corredores en las orillas. Al respecto, sería necesario evaluar la calidad y cobertura de las prácticas en los predios que señalan estar adoptándolas porque las acciones de conservación, contrastan con los reportes ambientales de la zona.
Variables significativas en la probabilidad de adopción
Los resultados del modelo Logit (Tabla 2) muestran que en la zona de estudio existen variables relacionadas con los tomadores de decisión del predio (EDU), recursos de dotación del predio (TAM), característicasbiofísicasdelospredios(LIMyNAC) y factores de riesgo e incertidumbre (TEN y CAP) que son significativas con relación a la adopción de lasprácticas de conservación del agua. Es de notar quedelascinco categorías de factores relacionados con la adopción (Pattanayak etal., 2003), la categoría de los incentivos fue excluida del análisis.
Efecto de las variables significativas en laprobabilidad de adopción
Con relación a la variable EDU como característica del tomador de decisiones en el predio, se observa que a medida que aumenta el valor de esta variable manteniendo las otras constantes en su valor promedio, la probabilidad de adoptar prácticas de conservación del agua aumenta (Figura 2). Además, en la figura 2 se observa que existe un mayor incremento en la probabilidad de adopción como producto del cambio en los primeros años de educación. Es decir, si un tomador de decisiones pasa de un nivel de escolaridad entre 0 y 5 años de estudio (primaria), a un nivel de escolaridad entre 5 y 12 años de estudio (bachillerato), el cambio en la probabilidad de adopción es mayor (aumenta más de 30%) que si cambia su nivel de escolaridad desde 12 años de estudio (bachillerato) hasta 14 - 19 años de estudio (técnico o profesional) (donde aumenta sólo 10%).
Con relación a la variable EDU también se observa que en los predios donde los tomadores de decisión tienen entre 14 y 19 años de estudio (técnicos o profesionales) claramente existe una mayor probabilidad de adopción de las prácticas (del 85% a casi 100%). Esto coincide con otros autores que en estudios de adopción de prácticas de conservación han encontrado relación positiva con el nivel de educación, tanto a nivel agropecuario (D´Souza et al., 1993), en prácticas de agroforestería (Pattanayak y Mercer, 1998) y en sistemas ganaderos (Nahuelhual et al., 2009).
En cuanto a la variable TAM como representante de los recursos de dotación del predio, se observa que a medida que aumenta el valor de esta variable manteniendo las otras constantes en su valor promedio, la probabilidad de adoptar prácticas de conservación del agua aumenta (Figura 2). Además en la figura 2 se aprecia que aunque en predios con TAM menores (< 50 UGG) existe probabilidad de adopción de las prácticas (cerca al 30%), el incremento en la probabilidad de adopción es mayor a medida que aumenta esta variable y se hace máxima cuando está alrededor de 200 UGG o más (que corresponde a medianas y grandes explotaciones). Esto coincide con lo que postulan Alavalapati et al. (1995), en relación a que en predios con mayores posesiones materiales como la cantidad de ganado, la probabilidad de adoptar prácticas de agroforestería es mayor.
Con relación a las variables NAC y LIM, como representantes de las características biofísicas de los predios, se esperaba que ambas presentaran una relación positiva con la adopción. Sin embargo, la variable NAC presentó una relación negativa.
En la figura 2 se observa que tanto en predios donde no existen nacimientos (NAC igual a 0) como en predios donde si existen (NAC igual a 1), la probabilidad de adopción de las prácticas es alta (cercana al 80%). Sin embargo, a medida que aumenta el valor de esta variable manteniendo las otras constantes en su valor promedio, la probabilidad de adoptar las prácticas disminuye levemente. El comportamiento de esta variable es contrario a lo esperado. Considerando que el 88% de los predios tienen nacimientos de agua (Tabla 1), el menor porcentaje en la probabilidad de adopción de las prácticas puede deberse al estado de conservación de los nacimientos o a la ubicación. Es decir, es probable que las prácticas de conservación no se implementan en predios donde los nacimientos de agua tienen un buen estado de conservación o ya están limitados por barreras físicas (ej. riscos y peñas).
Con respecto a la variable LIM en la
se observa que tanto para predios que no presentan limitaciones en el abastecimiento de agua (LIM igual a 0), como para predios que si las presentan (LIM igual a 1), la probabilidad de adopción de las prácticas de conservación es alta (mayor del 70%) y a medida que aumenta el valor de esta variable manteniendo las otras constantes en su valor promedio, la probabilidad de adoptar las prácticas aumenta (cerca de 20%), observándose que la probabilidad de adopción es mayor en los predios que presentan limitaciones relacionadas con el abastecimiento del agua (LIM igual a 1).
En cuanto a las variables TEN y CAP, como representantes de factores de riesgo e incertidumbre, se esperaba que ambas presentaran una relación positiva con la adopción (Figura 2). Sin embargo, aunque TEN presenta relación positiva con la adopción, con la variable CAP ocurre lo contrario.
En la figura 2 se observa que en predios que están en arriendo (TEN igual a 0) existe probabilidad de adoptar las prácticas de conservación del agua (cercana al 30%), pero esta probabilidad es mucho mayor en predios que son propios (TEN igual a 1) (más del 80%), es decir que a medida que aumenta el valor de esta variable manteniendo las otras constantes en su valor promedio, la probabilidad de adoptar prácticas de conservación del agua claramente aumenta. En la figura 2 se aprecia que el cambio en la tenencia del predio puede ejercer una variación en la probabilidad de adopción de casi el 50%, lo que coincide con lo señalado por Mercer (2004) con respecto a que una mayor seguridad en la tenencia de la tierra frecuentemente tiene impacto sobre la adopción de prácticas de agroforestería.
Con relación a la variable CAP en la figura 2 se aprecia que tanto en predios que no recibieron capacitación (CAP igual a 0) como en predios que si la recibieron (CAP igual a 1), la probabilidad de adopción de las prácticas es alta (cercana al 70%). Sin embargo, se observa que a medida que aumenta el valor de esta variable manteniendo las otras constantes en su valor promedio, la probabilidad de adoptar las prácticas de conservación disminuye. El comportamiento podría explicarse porque en el 51% de los predios donde se recibió capacitación (Tabla 1), el 80% de los temas de capacitación estaban relacionados con aspectos productivos.
En síntesis, la significancia de las variables sobre la probabilidad de adopción de las prácticas de conservación del agua en la zona, muestran que todos los factores incluidos en el análisis tienen importancia (EDU, TAM, NAC, LIM, TENy CAP) (Tabla 2). Estos resultados, frente a la hipótesis planteada, permiten concluir que: 1) los factores relacionados con aspectos biofísicos de los predios (ej. NAC y LIM) y los factores de riesgo e incertidumbre (ej. TEN y CAP) son significativos, confirmando parte de la hipótesis; 2) en la zona también existen otros factores que son significativos, como los relacionados con los tomadores de decisión (ej. EDU) y los recursos de dotación de los predios (ej. TAM); y 3) debido al comportamiento no lineal de los efectos que ejercen las variables significativas sobre la probabilidad de adopción (Figura 2), es difícil determinar cuál o cuáles de estas variables representan mayor importancia sobre la probabilidad de adopción de las prácticas estudiadas.
Con estos resultados, las instituciones que están haciendo inversiones en prácticas de conservación en la zona, tienen herramientas para dirigir sus acciones que conduzcan a impactos positivos a corto y mediano plazo. Sería pertinente aplicar estas metodologías en otras cuencas del país donde también existan intereses de conservación en relación con actividades ganaderas. Específicamente para la zona de estudio los resultados permiten hacer algunas recomendaciones:
1) en los predios donde se adoptan las prácticas, deberían ser evaluadas la calidad y extensión de las mismas, 2) las estrategias de conservación a nivel de predio pueden ser muy viables en la zona ya que la mayoría de los predios (88%) pertenecen a quienes los trabajan, 3) existe la necesidad de identificar “Tipos” de productores al momento de dirigir las acciones de conservación en la cuenca (para definirlos podría utilizarse como referencia el nivel de educación, el tamaño de la explotación y la forma de tenencia del predio), 4) los incentivos que actualmente se están dando (mano de obra, insumos, árboles) deberían dirigirse a explotaciones con menos de 200 UGG. Sin considerar que estos incentivos se estén entregando por la ubicación de los predios con relación a la cuenca. Es de anotar que de los 9 predios que han recibido incentivos, 3 tienen más de 200 UGG), 5) trabajar con predios que tienen nacimientos de agua es importante reconociendo el estado de conservación y ubicación de los mismos y 6) la capacitación en temas específicos de conservación es necesaria en los predios ganaderos de la zona.
Por último, es importante considerar que los resultados ayudan a visualizar una situación regional que podría potenciarse hacia proyectos concretos de “prestación de servicios ambientales desde los sistemas ganaderos” que se han desarrollado en otra zonas del país (Blanco, 2008) y que se seguirán desarrollando en el corto plazo (CIPAV, 2009).
Referencias
1. Adesina A. Econometric analysis of the determinants of adoption of alley. Agr Ecosyst Environ 2000; 80:255-265. [ Links ]
2. Adesina A, Chianu J. Determinants of farmer`s adoption and adaptation of alley technology in Nigeria. Agroforest Syst 2002; 55:99-112. [ Links ]
3. Alavalapati JR, Luckert MK, Gill DS. Adoption of agroforestry practices: A case study from Andhra Pradesh, India. Agroforest Syst 1995; 32:1-14. [ Links ]
4. Asafu-Adjaye J. Factors affecting the adoption of soil conservation measure: A case study of Fijian Cane farmers. J Agr Resour Econ 2008; 33:99-117. [ Links ]
5. Berenson ML, Levine DM. Estadística para administración y economía: conceptos y aplicaciones. México: McGraw-hill; 1991. [ Links ]
6. Blanco J. La experiencia colombiana en esquemas de Pagos por Servicios Ambientales. Center for International Forestry Research 2008; [30 de Noviembre de 2008] URL: http://www.cifor.cgiar.org/pes/publications/pdf_files/colombia_experience.pdf [ Links ]
7. Chará J. Manual para el monitoreo de ambientes acuáticos en micro cuencas Ganaderas. Cali (CO): CIPAV Fundación Centro para la Investigación en Sistemas Sostenibles de Producción Agropecuaria; 2004. [ Links ]
8. Chará J, Murgueitio E. The role of silvopastoral systems in the rehabilitation of andean stream habitats. LRRD 2005; [20 de Marzo de 2009] URL: http://www.lrrd.org/lrrd17/2/char17020.htm [ Links ]
9. Corporación Autónoma Regional de Caldas CORPOCALDAS (CO). Agenda para la gestión ambiental del municipio de Marulanda. Manizales: CORPOCALDAS; 2001. [ Links ]
10. D`Souza G, Cyphers D, Phipps T. Factors affecting the adoption of sustainable agricultural practices. ARER 1993:159-165. [ Links ]
11. de Graaff J, Amsalu A, Bodnár F, Kessler A, Posthumus H, Tenge A. Factors influencing adoption and continued use of long-term soil and water conservation measures in five developing countries. Appl Geogr 2008; 28:271-280. [ Links ]
12. Federación Nacional de Ganaderos de Colombia FEDEGAN (CO). Plan Estratégico de la Ganadería Colombiana 2019. Bogotá DC: San Martín Obregón & Cía.; 2006. [ Links ]
13. Fundación Centro para la Investigación en Sistemas Sostenibles de Producción Agropecuaria CIPAV. Evaluación ambiental proyecto Ganadería Colombiana Sostenible. CIPAV 2009; [01 de Septiembre de 2009] URL: http://www.cipav.org.co/pdf/noticias/EvaluacionAmbientalGCS130709.pdf [ Links ]
14. Habron GB. Adoption of conservation practices by agricultural landowners in three Oregon watersheds. J Soil Water Conserve 2004; 59:109-115. [ Links ]
15. Knowler D, Bradshaw B. Farmer´s adoption of conservation agriculture: A review and synthesis of recent research. Food Policy 2007; 32:25-48. [ Links ]
16. Long SJ. Regression models for categorical and limited dependent variables. Advanced Quantitative Techniques in the social sciences. 7ma ed. Thousand Oaks (US): Sage Publications Inc.; 1997. [ Links ]
17. Mercer DE. Adoption of Agroforestry innovations in the tropics: A review. Agroforest Syst 2004; 61:311-328. [ Links ]
18. Murgueitio E. Environmental impacts of milk production systems in Colombia and alternative solutions. LRRD 2003; [20 de Marzo de 2009] URL: http://www.lrrd.org/lrrd15/10/murg1510.htm [ Links ]
19. Murgueitio E, Arango HA, Calle Z, Naranjo JF, Cuartas CA, Caro MF. Recurso natural agua. En: Medidas integrales para el manejo ambiental de la ganadería bovina. Colombia: FEDEGAN, SENA y CIPAV; 2008. [ Links ]
20. Nahuelhual L, Engler A, Carrillo B, Moreira VH, Castro I. Adoption of cleaner production practices by dairy farmers in southern Chile. Cien Inv Agr 2009; 36:97-106. [ Links ]
21. Organización de las Naciones Unidas para la Agricultura y la Alimentación (FAO). Como enfrentarse a la interacción ganadería medio ambiente. Documento Comité de Agricultura. Roma (IT); 2007:1-14. ftp://ftp.fao.org/docrep/fao/meeting/011/j9420s.pdf [ Links ]
22. Pattanayak S, Mercer DE, Sills E, Yang J. Taking stock of agroforestry adoption studies. Agroforest Syst 2003; 57:173-186. [ Links ]
23. Pattanayak S, Mercer DE. Valuing soil conservation benefits of agroforestry: Contour hedgerows in the Eastern Visayas, Philippines. Agr Econ 1998; 18:31-46. [ Links ]
24. Pedraza G, Giraldo L, Chará J. Efecto de la restauración de corredores ribereños sobre características bióticas y abióticas de quebradas en zonas ganaderas de la cuenca del río La Vieja, Colombia. Zootecnia Trop 2008; 26:179-182. URL: http://www.scielo.org.ve/pdf/zt/v26n3/art03.pdf [ Links ]
25. Sidibé A. Farm-level adoption of soil and water conservation techniques in northern Burkina Faso. Agr Water Manage 2005; 71:211-224. [ Links ]
26. Steinfeld H, Gerber P, Wassenaar T, Castel V, Rosales M and de Haan C. Livestock`s long shadow: Environmental issues and options. Roma (IT): FAO; 2006. URL: http://www.fao.org/docrep/010/a0701e/a0701e00.HTM [ Links ]
27. Thangata PH, Alavalapati JR. Agroforestry adoption in southern Malawi: The case of mixed intercropping of Gliricidia sepium. Agr Syst 2003; 78:5 -71. [ Links ]
28. Wooldridge J. Introducción a la Econometría: Un enfoque moderno. México: Thomson Learning; 2001. [ Links ]

















