Services on Demand
Journal
Article
Indicators
-
Cited by SciELO -
Access statistics
Related links
-
Cited by Google -
Similars in
SciELO -
Similars in Google
Share
Revista Colombiana de Ciencias Pecuarias
Print version ISSN 0120-0690
Rev Colom Cienc Pecua vol.27 no.4 Medellín Oct./Dec. 2014
ARTICLE
Cytotoxicity and in vitro activity of chard (Beta vulgaris L. var Cicla) extracts on porcine pancreatic islets¤
Citotoxicidad y actividad in vitro de extractos de acelga (Beta vulgaris L. var Cicla) en islotes pacreáticos porcinosa
Citotocidae e atividade in vitro de extratos de acelga (Beta vulgaris L. var Cicla) em ilhotas pancreáticas porcinas
Jorge E Forero1, Bact, MSc; Viviana M Posada2, Ing, Biom; Victor H Herrera1, Zoot; Paola del Rio2, Bioing; Natalia Galeano2, Bioing; Albeiro López Herrera1, Zoot, MV, MSc, DrSci; Victoria I Bedoya2*, MD, Esp, DrSci.
1Grupo BIOGEM, Facultad de Ciencias Agrarias, Universidad Nacional de Colombia, Medellín, Colombia.
2Banco de Tejidos y Terapia Celular, Hospital Universitario de San Vicente Fundación, Medellín, Colombia.
* Corresponding author: Victoria I Bedoya. Banco de Tejidos y Terapia Celular, Hospital Universitario de San Vicente Fundación. Medellín, Colombia. Email: vibe@sanvicentefundacion.com
Received: May 9, 2013 Accepted: April 7, 2014
Summary
Background: reports from traditional medicine suggest that chard (Beta vulgaris L. var Cicla) can have remarkable effects in diabetes therapy. Objective: to evaluate the cytotoxic activity of chard extracts in cell lines and determine the viability of cultured porcine pancreatic islets added with or without chard extracts. Methods: cytotoxic activity of chard extracts was assessed in non–tumor and tumor cell lines using the MTT [3–(4,5–dimethylthiazol–2–yl)–2,5–diphenyltetrazolium bromide] technique, and the ability of extracts to maintain porcine pancreatic islets viability and regeneration in vitro was tested. Results: the 50% cytotoxic concentration (CC50) of extracts for non–tumor cell lines was above 1,000 μg/mL, while it was 825 μg/mL, 283 μg/mL, 136 μg/mL and 380 μg/mL, for hexane, ethyl acetate, ethanol and water extracts in the tumor cell line, respectively. The CC50 ratio between cell lines indicates that ethanol extract is 7.5 times more toxic to tumor than non–tumor cell lines. There was an increase in viability of porcine pancreatic islets cultured with aqueous, ethyl acetate, and ethanol extracts compared with standard media (CMRL1066) and Cyclosporine A (CsA) control groups. Furthermore, a greater than one regeneration index of islets cultured with ethanol extract at 1,000 μg/mL and 500 μg/mL concentrations during 15 days was observed, which remained constant and was significantly higher than CsA group. Conclusions: these results suggest that chard metabolites should be researched to develop antitumor therapies and human pancreatic islets recovery in diabetes treatment.
Keywords: beta cells, chard, diabetes mellitus, insulin.
Resumen
Antecedentes: reportes de medicina tradicional sugieren que la planta acelga (Beta vulgaris L. var Cicla) es importante en el tratamiento de enfermedades como la diabetes. Objetivo: evaluar la citotoxicidad de concentraciones de extractos de acelga en líneas celulares y determinar la viabilidad de islotes pancreáticos porcinos cultivados con y sin extracto de acelga. Método: se evaluó la actividad citotóxica en líneas celulares tumorales y no tumorales, con la técnica del MTT [3–(4,5–dimethylthiazol–2–yl)–2,5–diphenyltetrazolium bromide]. Específicamente se hicieron ensayos para comprobar si los extractos de acelga tienen la capacidad de mantener la viabilidad de islotes pancreáticos porcinos aislados e influir en su regeneración in vitro. Resultados: la concentración citotóxica al 50% (CC50) de los extractos en líneas no tumorales fue mayor de 1.000 μg/mL, mientras que para los extractos en hexano, acetato de etilo, etanol y agua fue de 825 μg/mL, 283 μg/mL, 136 μg/mL y 380 μg/mL, respectivamente, en líneas tumorales. La proporción CC50 encontrada indica que el extracto en etanol es 7,5 veces más tóxico para las líneas celulares tumorales que para las no tumorales. Igualmente encontramos un aumento en la viabilidad de los islotes pancreáticos porcinos cultivados con extracto acuoso, de acetato en etilo y etanol en comparación con el medio de cultivo estándar (CMRL1066) y un control inhibidor que contenía medio con Ciclosporina A (CsA). Además, se encontró que el índice de regeneración era mayor de uno en los islotes cultivados con el extracto en etanol a concentraciones de 1.000 μg/mL y 500 μg/mL durante 15 días, que se mantuvo constante y fue significativamente mayor en comparación con el grupo de CsA. Conclusión: estos resultados sugieren que los metabolitos de la acelga podrían ser utilizados en la investigación de nuevos fármacos para el desarrollo de terapias antitumorales y recuperación de islotes pancreáticos en el tratamiento de la diabetes.
Palabras clave: acelga, células beta, diabetes mellitus, insulina.
Resumo
Antecedentes: relatos encontrados em medicina sugerem que a planta acelga (Beta vulgaris L. var Cicla) tem un papel importante no tratamento das doenças como a diabetes. Objetivo: avaliar a citotoxicidade de concentrações de extratos em linhagens celulares e determinar a viabilidade de ilhotas pancreáticas de porcos cultivadas com e sem extrato de acelga. Métodos: neste trabalho foi avaliada a atividade citotóxica dos extratos da acelga em linhagens celulares tumorais e não tumorais, usando a técnica do MTT [3–(4,5–dimethylthiazol–2–yl)– 2,5–diphenyltetrazolium bromide]; além disso, foram feitos ensaios para verificar a capacidade que têm os extratos para manter a viabilidade das ilhotas pancreáticas isoladas de porcos e a influência em sua regeneração in vitro. Resultados: a concentração citotóxica ao 50% (CC50) dos extratos em linhagens não tumorais está acima de 1000 μg/mL, enquanto para os extratos de hexano, acetato de etilo, etanol y água é de 825 μg/mL, 283 μg/mL, 136 μg/mL y 380 μg/mL, respectivamente, em linhagens tumorais. A proporção CC50 entre a célula indica que o extrato de etanol é 7,5 vezes mais tóxico para as linhas celulares tumorais que para as linhas não tumorais. Houve um aumento na viabilidade dos isolados pancreáticos de porcos cultivados com extrato aquoso, de acetato de etilo y etanol, em comparação com o meio de cultura padrão (CMRL 1066) e um controle inibitório contendo meio com Ciclosporina A (CsA). Encontrou–se também uma taxa de regeneração maior do que um em ilhotas cultivadas com concentrações de 1000 μg/mL e 500 μg/mL durante 15 días, que se manteve constante e foi significativamente mais elevada em comparação com a CsA. Conclusões: estes resultados sugerem que os metabolitos da acelga poderiam ser usados para a pesquisa de novas drogas para o desenvolvimento de terapias antitumorais e recuperação de ilhotas pancreáticas para o tratamento da diabetes.
Palavras chave acelga, células beta, diabetes mellitus, insulina.
Introduction
Allogeneic transplant of pancreatic islets has become an attractive treatment alternative for diabetes due to islets ability to restore insulin independence and the possibility of successive transplants in the same patient. However, islet transplantation is limited by the low donation of organs, difficulties with the islet isolation technique and decreased cell viability and low regeneration of beta cells (Sakuma et al., 2008; Emamaullee et al., 2007). A solution could be to use plant extracts to increase cell viability and number of islets.
Chard is a plant with many traditional medicinal applications. It has been used for treatment of organ and tissue inflammation, ulcers, and haemorroids (Youssef, 2013; Rodríguez, 2011; Parekh and Chanda, 2008). Because of its emollient properties and magnesium content, it has been used on skin diseases and burns, as a laxative in constipation, and as a diuretic for kidney cleansing (Menale et al., 2006). It has also been used in cardiac, blood, metabolism, vision disorders, cramps in calves, cancer, body weakness, depression, fetal development, headaches, bone formation, influenza, injuries, pregnancy or lactation, migraine, obesity, osteoporosis, colds, and to increase immunity (Sener et al., 2002; Ceuterick et al., 2011; Rao et al., 2010).
In vivo and in vitro studies have been conducted with this plant due to its antidiabetic use in traditional medicine. Reports have shown that chard extracts administered in rats decrease symptoms and alterations of compromised organs and tissues due to diabetes, and improve the function of pancreatic beta cells (Bolkent, 2000; Sener et al., 2002; Yanardag et al., 2002; Ozsoy–Sacan et al., 2004). Chard extracts could help regenerating pancreatic islets in vitro.
In this study, cytotoxicity of chard was evaluated using the MTT technique to determine a possible selective effect on growth inhibition of tumor cell lines. Cytotoxicity assays are the starting point to evaluate the effects on diverse tumor cells by finding non–toxic extracts that can be later used for bioassays in insulin producing cells.
Material and methods
Collection of plant materialVegetable material was obtained from a single supplier in Medellin (Colombia). Chard is commonly sold on the market without any sexual taxonomic structure that could facilitate its identification. Accordingly, an expert professional from the Gabriel Gutierrez Villegas herbarium (Universidad Nacional de Colombia, Medellín campus) identified the plant material. According to the seller, the plants came from seeds known in Colombia as white chard stalk, which corresponds to Beta vulgaris L. var Cicla.
Preparation of plant extracts
5,000 g of chard were washed with distilled water and dried at 45 °C for 8 h. Then the plant material was pulverized using a blade mill and percolated for 24 h with 1,000 mL of hexane, ethyl acetate, ethanol (JT Baker, Xalostoc, Mexico) or water. Extracts were evaporated to dryness and stored at –20 oC until used. To test biological activity, dried raw extracts were dissolved in dimethyl sulfoxide (DMSO; Sigma–Aldrich, St. Louis, MO, USA) to 40 mg/mL. Two–fold dilutions were prepared starting from 1,000 μg/ml extract concentration until 32.5 μg/mL.
Cell cultures
Tumor cell line HeLa and non–tumor cell line CHO were obtained from the Cell Repository of Grupo de Inmunovirología (Immunovirology Research Group) at the Universidad de Antioquia (Medellín, Colombia). The cell lines were grown and maintained in the Roswell Park Memorial Institute (RPMI) medium, supplemented with 10% FBS (Fetal Bovine Serum), 1% penicillin/streptomycin (Sigma–Aldrich, St. Louis, MO, USA), and incubated at 37 °C in 5% CO2.
Colorimetric MTT assay for cell toxicity
The cytotoxic effect at different chard concentrations was evaluated by quantifying cell viability using the MTT technique (Betancur–Galvis et al., 2002). Briefly, HeLa and CHO cell lines were seeded in 96 well plates. After 24 h incubation and 90% confluence, extract dilutions were doubled (from 1,000 μg/mL to 31.24 μg/ml), then added to each cell line and incubated 48 h at 37 °C in 5% CO2. After this time, the supernatant was discarded and 28 μl of MTT solution 2 mg/mL in Phosphate Buffered Saline (PBS, Sigma–Aldrich, St–Louis, MO, USA) were added. The plates were incubated two hours at 37 °C and 130 μl of DMSO were added to dissolve the MTT crystals. The plates were shaken for 15 minutes and the optical density was measured in a spectrophotometer at 550 nm (DO550) wavelength. Untreated and treated cells with the fractions solvent (1:80 dilution of DMSO) were used as control. The extract's cytotoxicity was calculated as a percentage with the obtained values of optical density (OD), as follows:
Cytotoxicity percentage= [(A−B)/A]*100
Where A and B are the OD550 of untreated and treated cells, respectively. The CC50 of each extract (concentration which reduces viability of treated cells by 50% compared with control cells) was extrapolated from dose–response curves of concentration vs cytotoxicity percentage.
Selection criteria for active extracts
The selection criteria used to define active extracts was the Selectivity Index (SI) adapted from Lindholm et al. (2002), and Cos et al. (2006), based on notumor and tumor cytotoxicity ratio CHO (CC50)/ HeLa (CC50).
Isolation of porcine pancreatic islets
The protocol was approved by Hospital Universitario de San Vicente Fundación research ethics committee on June 25th of 2009, minute 13. Pig pancreases for islet isolation were obtained from slaughtered animals at La Central Ganadera S.A abattoir (Medellín, Colombia). The islet isolation included: 1) pancreas cleaning to remove connective tissue, lymphoid tissue, fat and nearby organs, 2) pancreas cannulation through the pancreatic duct with FR6 Nelaton probe (SHERLEG Laboratories, Bogotá, Colombia), 3) pancreas manual distention with cold enzyme solution, 4) pancreas digestion with an enzyme combination (collagenase, thermolysin and neutral protease), 5) digest dilution and collection, 6) assessment of size, structure, integrity and presence of islets embedded in acinar tissue and free islets, and 7) initial islet culture in standard culture medium (CMRL1066; Cellgro, Mediatech Inc., Manasas, VA, USA) (Ricordi et al., 1988). Yield was defined as islet equivalents per gram (IEQ/g) of processed pancreas. Islet equivalent is the number of islets in a dilution multiplied by a conversion factor given by islet size.
Evaluation of non–toxic concentrations of four chard extracts in a cell line and porcine pancreatic islets
Porcine pancreatic islets were cultured in three different groups: I) in 24–well plates by triplicate with four smaller than CC50 decreasing concentrations (1,000 μg/mL to 125 μg/mL) for each chard extract; II) with supplemented standard culture medium, CMRL1066, and III) with concentrations of 100, 50, 25 and 12.5 mM of CsA, diluted in CMRL1066 as an islet regeneration inhibitory substance.
Viability of pancreatic islets and regeneration index
Islets were cultured with different extract concentrations. Viability assays were carried out on days 1, 3, 5, 8, 13 and 15 in culture to evaluate the regeneration ability of extracts according to culture conditions (Groups I, II and III). Viability was determined using the inclusion and exclusion fluorochrome combination of fluorescein diacetate (FDA) (Sigma–Aldrich, St–Louis, MO, USA) and propidium iodide (PI) (Sigma–Aldrich, St–Louis, MO,USA) to differentiate membrane integrity of viable and nonviable cells (Barnett et al., 2004). Viable (green) and non–viable (red/orange) islets were counted under a fluorescence microscope (Swanson et al., 2001). Each sample's viability percentage was determined according to the following equation: With the viability values, islets regeneration was determined by calculating the ''regeneration index'' with the equation:
With the viability values, islets regeneration was determined by calculating the ''regeneration index'' with the equation:
IR means Regeneration Index, Vn means n period viability, and Vn +1 is the viability of 1 plus period n.
Statistical analysis
The linear regression analysis for extract concentrations which produce a cell culture's CC50 viability reduction in doses–response curves, were performed using GraphPad Prism version 5.0 for Windows (San Diego, CA, USA). Each experiment was repeated three times and all data are presented as mean ± standard deviation (SD).
Evaluation and comparison of optimal concentration at which pancreatic islets are regenerated were calculated using descriptive statistical analysis. Absolute and relative frequency distributions of each extract between the different study groups are presented with scatter plots graphics. One–way analysis of variance (ANOVA) was conducted to find significant differences in viability and regeneration index, with p<0.05. Analysis was performed using the STATGRAPHICS Centurion 16 statistical package.
Results
Cytotoxicity assays
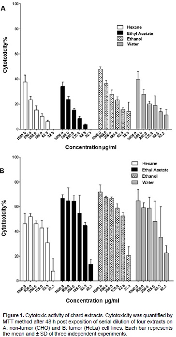
A dose–response effect between extract concentrations and cytotoxicity on CHO (Figure 1A) and HeLa cells (Figure 1B) was observed. Direct proportionality between cytotoxic action of the extracts and their concentrations is evident as cytotoxic percentage increases with higher extract concentration. Results show that chard extracts have more than 60% cytotoxicity against tumor cells, with higher doses of water, ethanol and ethyl acetate extracts (Figures 1A and 1B). The ethanol extract has the highest selectivity index of all the extracts tested; the CHO CC50 and HeLa CC50 ratio is 7.3, indicating that this extract is seven times more toxic to tumor cells compared to non–tumor cells (Table 1).
Effect of B. vulgaris extracts in viability and regeneration of porcine islets
The yield of isolated porcine islets was 419.5 IEQ/g of pancreas, and a mean of 3284 IEQ isolated were cultured with different extract concentrations. Porcine islets cultured with different concentration of aqueous, ethyl acetate and ethanol extracts had the highest viability percent when compared with the hexane extracts and control groups; however, only porcine islets cultured with 500 and 250 μg/mL showed significant difference with a 95% confidence interval (p<0.05)– with respect to the control groups II and III (Figure 2).
Viability of islets cultured with standard medium and CsA decreased by 50% in the first 5 days while it increased in islets cultured with low concentrations of extracts. Viability percentage was kept stable from incubation days 5 through 13, with a slight increase from days 13 through 15 in culture at all extract concentrations, except those of hexane and CsA (Figure 3).
Islet regeneration occurs when the regeneration index (IR) is greater than 1. Ethanol extract at 250 μg/ mL or higher concentration had the most significant differences in islets regeneration compared to CsA. Islets cultured with hexane had a good IR but viability was lower compared with other extracts according to the multiple range test (p<0.05) (Figure 4). The aqueous extract had the highest viabilities, but only a significant IR at 250 μg/mL, with an 85% CI (p<0.15; data not shown).
Islets initially cultured within the control group conditions of CsA at 12.5 to 25 mM concentrations had viability and regeneration indices similar to hexane and ethyl acetate extracts in 125 μg/mL and 250 μg/mL concentrations respectively. For that reason, data shown in this article were obtained with experiments conducted with 100 mM CsA as the control group III.
Discussion
The evaluated chard extracts showed cytotoxic activity in tumor cells while being less toxic to nontumor lines, similar to a report in which ethyl acetate extracts of chard seeds inhibited proliferation of lung cancer cells (Gennari et al., 2011). This plant is commonly consumed in Latin American countries and could be ingested as a dietary supplement by patients undergoing cancer therapy.
Diabetes mellitus Type 1 occurs when there is a beta cell massive loss, insulin activity deficiency, and/ or pancreas destruction (ACE/ADA, 2006). Pancreatic islet transplantation is a treatment option for select patients with this disease, but the limited islets supply from human donors and poor islet yield and quality impede progress in human islet transplantation. Although, islets can be regenerated in vivo in response to tissue damage or metabolic demands (Banerjee et al., 2005; Trucco et al., 2005; Martin–Pagola et al., 2008), the number of beta cells that carry out division is only 0.5 to 2% (Banerjee et al., 2005; Swenne., 1984; Narang et al., 2006; Battie et al., 2002). Therefore, we looked for islet regeneration by biomolecules and natural agents such plant extracts.
Turkish researchers have used chard extracts to proof their beneficial effects on pancreatic beta cells (Tunali et al., 1988; Sener et al., 2002; Ozsoy– Sacan et al., 2004). The present study evaluated the regenerative potential of chard extract in cultured porcine pancreatic islets. Results show that greater than 50% viability of islets cultured with different concentrations of the extracts is maintained after 15 days in culture. Taking into account that significant cytotoxic activity of plant extracts refers to CC50 values below 100 μg/mL, the results show that chard extracts require higher concentrations to kill 50% of the cell population, indicating that their cytotoxic effect is very low. However, it is important to test the viability and regeneration index with extract concentrations lower than 125 μg/mL due to the similar viability and regeneration found for all the concentrations used during the experiments, in order to look for the minimal extract concentration required to maintain islet viability.
CsA is an immunosuppressant drug that induces glucose intolerance by toxic effect on pancreatic endocrine tissue. Toxic CsA doses cause morphological and functional changes by decreasing islet diameter and reducing insulin production (Ajabnoor et al., 2007). Islets were initially cultured with different CsA concentrations, and the ones cultured with low doses behaved similar to some of the extracts. The highest CsA concentration (100 mM) was used as an inhibitory substance in the control group.
The use of porcine islets holds great promise for large–scale application of islet transplantation. The long–term diabetes reversal after porcine islet xenotransplantation in an animal model demonstrated its potential for islet xenotransplantation in humans (Hering et al., 2006; Cardona et al., 2006). In our study, we found that porcine islets cultured with chard extracts have similar behavior to some reported human islets. Human islets viability between 21.63 and 59.87% was reported on day 1 in culture (Nikolic et al., 2010). The porcine islet viability observed in our study was between 31 and 66%. Similar to report by Nikolic et al. (2010), the greatest viability percentage was obtained on the third day of cultivation. Those results show that it is possible to obtain porcine islets and maintain them morphologically intact and viable during culture with chard extracts (Nikolic et al., 2010). This aspect makes the option of using pigs as xenogeneic organ donors a possibility. The use of complete pancreas from adult pigs increases the possibility of extracting about 1 million IEQ from a single pig, an essential requirement for xenotransplant from pigs to humans with Type 1 diabetes (Brandhorst et al., 1999). However, in this study one of the major problems in porcine islet isolation was the marked fragility of the islets and their rapid dissociation into single cells during the isolation procedure.
Conflicts of interest
The authors declare they have no conflicts of interest with regard to the work presented in this report.
Acknowledgments
Authors wish to thank Central Ganadera S.A at Medellín (Colombia) for their kindness in procuring the porcine pancreases needed for islet isolation. Thanks also to Grupo de Immunovirología at the Universidad de Antioquia for their cell lines donation, and to endocrinologist Diva Cristina Castro for her helpful insights. This study was funded by grants from the Departamento Administrativo de Ciencia, Tecnología e Innovación, COLCIENCIAS (Colombia).
Notes
¤ To cite this article: Forero JE, Posada VM, Herrera VH, del Rio P, Galeano N, López–Herrera A, Bedoya VI. Cytotoxicity and in vitro activity of chard (Beta vulgaris L. var Cicla) extracts on porcine pancreatic islets. Rev Colomb Cienc Pecu 2014; 27:290–298.
References
Ajabnoor MA, El–Naggar MM, Elayat AA, Abdulrafee A. Functional and morphological study of cultured pancreatic islets treated with cyclosporine. Life Sci 2007; 80:345–355. [ Links ]
American college of endocrinology and America Diabetes Association. Consensus statement on inpatient diabetes and glycemic control. ACE/ADA. Diabetes Care 2006; 29:1955–62. [ Links ]
Banerjee M, Kanitkar M, Bhonde RR. Approaches towards endogenous pancreatic regeneration. Rev Diabet Stud 2005; 2:165–176. [ Links ]
Barnett MJ, McGhee–Wilson D, Shapiro AM, Lakey JR. Variation in human islet viability based on different membrane integrity stains. Cell Transplant 2004; 13:481–488. [ Links ]
Beattie GM, Montgomery AM, Lopez AD, Hao E, Perez B, Just ML, Lakey JR, Hart ME, Hayek A. A novel approach to increase human islet cell mass while preserving beta–cell function. Diabetes 2002; 51:3435–3439. [ Links ]
Betancur LA, Morales GE, Forero JE, Roldan J. Cytotoxic and antiviral activities of Colombian medicinal plant extracts of the Euphorbia genus. Mem Inst Oswaldo Cruz 2002; 97:541–546. [ Links ]
Bolkent S, Yanardag R, Tabakoglu–Oguz A, Ozsoy–Sacan O. Effects of chard (Beta vulgaris L. var Cicla) extract on pancreatic B cells in streptozotocin–diabetic rats: a morphological and biochemical study. J of Ethnopharmacol 2000; 73:251–259. [ Links ]
Brandhorst H, Brandhorst D, Hering BJ, Bretzel RG. Significant progress in porcine islet mass isolation utilizing liberase HI for enzymatic low–temperature pancreas digestion. Source Third Medical Department, Justus–Liebig–University, Giessen, Germany. Transplantation 1999; 68:355–361. [ Links ]
Cardona K, Korbutt GS, Milas Z, Lyon J, Cano J, Jiang W, Bello– Laborn H, Hacquoil B, Strobert E, Gangappa S, Weber CJ, Pearson TC, Rajotte RV, Larsen CP. Long–term survival of neonatal porcine islets in nonhuman primates by targeting costimulation pathways. Nat Med 2006; 12:304–306. [ Links ]
Ceuterick M, Vandebroek I, Pieroni. Resilience of Andean urban ethnobotanies: A comparison of medicinal plant use among Bolivian and Peruvian migrants in the United Kingdom and in their countries of origin. J Ethnopharmacol 2011; 136:27–54. [ Links ]
Cos P, Vlietinck AJ, Berghe DV, Maes L. Anti–infective potential of natural products: How to develop a stronger in vitro 'proof of concept'. J Ethnopharmacol 2006; 106:290–302. [ Links ]
Emamaullee JA, Shapiro AM. Factors influencing the loss of betacell mass in islet transplantation. Cell Transplant 2007; 16:1–8. [ Links ]
Gennari L, Felletti M, Blasa M, Angelino D, Celeghini C, Corallini A, Ninfali P. Total extract of Beta vulgaris L. var Cicla seeds versus its purified phenolic components: antioxidant activities and antiproliferative effects against colon cancer cells. Phytochem Anal 2011; 22:272–279. [ Links ]
Lindholm P, Gullbo J, Claeson P, Göransson U, Johansson S, Backlund A, Larsson R, Bohlin L. Selective cytotoxicity evaluation in anticancer drug screening of fractionated plant extracts. J Biomol Screen 2002; 7:333–340. [ Links ]
Martin–Pagola A, Sisino G, Allende G, Dominguez–Bendala J, Gianani R, Reijonen H, Nepom GT, Ricordi C, Ruiz P, Sageshima J, Ciancio G, Burke GW, Pugliese A. Insulin protein and proliferation in ductal cells in the transplanted pancreas of patients with type 1 diabetes and recurrence of autoimmunity. Diabetologia 2008; 10:1803–1813. [ Links ]
Menale B, Amato G, Di Priso C, Muoio R. Traditional uses of plants in North–Western Molise (Central Italy). Delpinoa 2006; 48:29–36. [ Links ]
Narang AS, Mahato RI. Biological and biomaterial approaches for improved islet transplantation. Pharmacol 2006; 58:194–243. [ Links ]
Nikolic D, Dordevic PB, Sreckovic VD, Paunovic I, Kalezic N, Popovic S, Stefanovic D. Dzingalasevic M. The effect of different concentrations of liberase HI used in a non automated method for human adult pancreatic islet isolation. Arch Biol Sci 2010; 62:833–840. [ Links ]
Ozsoy–Sacan O, Karabulut–Bulan O, Bolkent S, Yanardag R, Ozgey Y. Effects of chard (Beta vulgaris L. var Cicla) on the Liver of the Diabetic Rats: A Morphological and Biochemical Study. Biosci Biotechnol Biochem 2004; 68:1640–1648. [ Links ]
Parekh J, Chanda SV. Antibacterial activity of aqueous and alcoholic extracts of 34 Indian medicinal plants against some Staphylococcus species. Turk J Biol 2008; 32:63–71. [ Links ]
Ricordi C, Lacy PE, Finke EH, Olack BJ, Scharp DW. Automated method for isolation of human pancreatic islets. Diabetes 1988; 37:413–420. [ Links ]
Rodríguez MP. Manejo de plantas medicinales en el nororiente amazónico peruano. Revista ECIPERÚ 2011; 8:150–158. [ Links ]
Sakuma Y, Ricordi C, Miki A, Yamamoto T, Pileggi A, Khan A, Alejandro R, Inverardi L, Ichii H. Factors that affect human islet isolation. Transplant Proc 2008; 40:343–345. [ Links ]
Sener G, Saçan O, Yanardag R, Ayanoglu–Dülger G. Effects of chard (Beta vulgaris L. var. Cicla) extract on oxidative injury in the aorta and heart of streptozotocin–diabetic rats. J Med Food 2002; 5:37–42. [ Links ]
Swanson CJ, Olack BJ, Goodnight D, Zhang L. Mohanakumar T. Improved Methods for the Isolation and Purification of Porcine Islets. Hum Immunol 2001; 62:739–749. [ Links ]
Swenne I, Andersson A. Effect of genetic background on the capacity for islet cell replication in mice. Diabetologia 1984; 27:464–467. [ Links ]
Tunali T, Yarat A, Yanardag R, Ozçelík F, Ozsoy O, Ergenekon G, Emeklí N. The effect of chard (Beta vulgaris L. var Cicla) on the skin of the streptozotocin induced diabetic rats. Pharmazie 1988; 53:638–640. [ Links ]
Trucco M. Regeneration of the pancreatic beta cell. J Clin Invest 2005; 115:5–12. [ Links ]
Rao MU, Sreenivasulu M, Chengaiah B, Reddy KJ, Chetty CM. Herbal Medicines for Diabetes Mellitus: A Review. Int.J. PharmTech Res 2010; 2:1883–1892. [ Links ]
Yanardag R, Bolkent S, Özsoy–Saçan Ö, Karabulut–Bulan Ö. The Effects of chard (Beta vulgaris L. var Cicla) extract on the kidney tissue, serum urea and creatine level of diabetic rats. Phytother Res 2002; 16:758–761. [ Links ]
Youssef RSA. Medicinal and non–medicinal uses of some plants found in the middle region of Saudi Arabia. Journal of Medicinal Plants Research 2013; 7:2501–2513. [ Links ]
















