INTRODUCTION
Over the last few years, an increase in the consumption and valuation of wood from native tropical species with timber potential has been observed (FAO, 2012). Among the promising timber species for commercial plantations in Brazil, Cariniana legalis (Mart.) Kuntze (Lecythidaceae) stands out. It can be used in pure plantations, in consortia, and in degraded areas (Carvalho, 2003). Cariniana legalis trees occur naturally in all regions of Brazil except the northern states. It is considered to be one of the largest trees in the Brazilian flora, and it can reach 50 m in height and 100 cm in diameter (Carvalho, 2003). Its growth varies from moderate to rapid, and it can produce up to 17 m³. ha-1 year-1 (Oliveira et al., 2018).
Silvicultural treatments play an important role in wood formation. Tree spacing is one of the most important factors that may influence tree growth and quality, as well as the final use of wood (Zahabu et al., 2015; Soranso et al. 2016; Roque & Ledezma, 2003). The choice of ideal spacing for higher production and better wood quality is one of the major aspects to be defined in a forest plantation. Most studies on tree spacing are focused on growth characteristics (e.g., height, diameter at breast height or DBH, volume, and aboveground biomass) (Fang et al., 1999; Larocque, 1999). However, little is known about its impact on wood properties (e.g., physical and anatomical properties) (Lasserre et al., 2009).
In studies on wood properties, wood density is one of the most important physical properties due to its effect on quality. Wood density is influenced by several factors, especially cellular dimension and moisture content (Sulaiman et al., 2016). Among the cellular elements, vessels play a fundamental role in plants. The size and frequency of vessels play a key role in the efficiency of water conduction (Zimmermann, 1983), transpiration rates, carbon fixation, and tree growth (Poorter et al., 2008). Vessel diameter can directly influence wood density. Studies have shown that larger vessel diameters result in lower wood densities (Preston et al., 2006; Zanne et al., 2010). However, other authors have found the opposite to be true (Martínez-Cabrera et al., 2009; Poorter et al., 2010). Understanding the relationship between wood density and vessel anatomy is important in order to assess and integrate environmental and biotic influences on tree development (Zanne et al., 2010). The moisture content of wood influences the timber market, so it is essential to know and control it to obtain better products and reduce costs in the industrial process (Donato et al., 2015). Another property to consider is volumetric shrinkage, an indicator of wood quality in the timber industry. However, there is little information about the phy-sical properties of the native wood species that are commercially exploited in Brazil and the impact of silvicultural treatments on wood physical pro-perties (Silveira et al., 2013). Yet, such understan- ding is the basis for defining the forest management strategy to be adopted, as well as the best way to conduct it.
Thereupon, this paper aimed to evaluate the physical properties (basic density, Db; apparent density, ρ12; volumetric shrinkage, εv; natural moisture content, MCN; and anatomical characteristics such as fiber length or FL, fiber wall thickness or FWT, vessel diameter or VD, and vessel frequency or VF) of wood along the stem of 38-year-old Cariniana legalis planted with three different spacings: 3 × 2.5, 3 × 2, and 3 × 1.5 m. The correlations between wood physical properties and anatomical characteristics were also evaluated.
MATERIALS AND METHODS
Study site
The study was carried out at the Luiz Antônio Experimental Station of the São Paulo Forestry Institute, which is located in the city of Luiz Antônio, São Paulo State, Brazil (21°40' S, 47°49' W) at 550 m above the sea level. The soils are characterized as Purple Latosol (Sebbenn et al., 2009). The climate classification according Köppen is Aw, with an average annual temperature of 21.7 ºC, a maximum of 28.2 ºC, and a minimum of 15.2 ºC. The average annual precipitation is 1516 mm with a monthly minimum of 26.6 mm and a maximum of 273.6 mm (CEPAGRI, 2016).
Experimental design
The experimental design consisted of randomized blocks, which were established in 1975, with three treatments (spacings) and five blocks amounting to 15 plots in a total area of 5568 m². Each plot was established in an area of 18 x 18 m (324 m2) with two buffer rows. C. legalis was planted with three different spacings: 3 x 1.5 m (2222 trees.ha-1), 3 x 2 m (1666 trees.ha-1), and 3x 2.5 m (1333 trees.ha-1). At 38 years of age, five trees of C. legalis per treatment were harvested according to the DBH class of each treatment, for a total of 15 trees (Table 1).
Table 1 DBH and total mean height of 38-year-old Cariniana legalis according to spacing
| Spacing (m) | DBH (cm) | Height (m) |
|---|---|---|
| 3 x 1.5 | 17.84 | 20.78 |
| 3 x 2.0 | 18.52 | 21.46 |
| 3 x 2.5 | 21.94 | 21.50 |
For each of the 15 trees selected, discs (70 mm thickness) were taken from the trunk at heights of 2.5 and 5 m. Sampling was performed up to 5 m in height in order to assess the part considered to be most important in terms of industrial sawn wood use. The discs obtained were divided into four wedges, two for the study of physical properties and two for assessing the anatomical properties.
Physical properties
Measurements of basic density (Db), apparent density (ρ12), and volumetric shrinkage (εv) were conducted in 2 x 2 x 3 cm specimens. It should be noted that 45 specimens were evaluated for each physical property. Basic density (Db) was determined by means of the hydrostatic balance method according to NBR 11941 (ABNT, 2003). To determine the apparent density (ρ12), the specimens were dried for a period of approximately 2 months in order to obtain their air-dry mass (12%) and volume. Specific gravity was determined according to NBR 7190 (ABNT, 1997).
Volumetric shrinkage (εv) was determined according to NBR 7190 (ABNT, 1997). In order to determine the natural moisture content of the trees (MCN), one wedge was weighed soon after felling and oven-dried at 103 ± 2 oC until a constant weight was obtained. Equation 1 was used to calculate the MCN.
Where MCN is the natural moisture content (%), Ww is the weight of the wet wood mass (g), and Wd is the weight of the dry wood mass (g).
Anatomical properties
From the other wedges sampled, blocks of 2 x 2 x 2 (cm) were cut to determine the fiber length (FL), the fiber wall thickness (FWT), the vessel diameter (VD), and the vessel frequency (VF). To obtain histological sections, the blocks were softened in a solution of boiling water and glycerin (4:1) for 1 h. 20 μm thick transverse sections were obtained with a Leitz 1208 sliding microtome. The sections were bleached with sodium hypochlorite (60%), washed in water, stained with 1% safranin (Johansen, 1940), and mounted temporarily on a solution of water and glycerin (1:1). The terminology used for anatomical analysis followed the recommendations of the IAWA Committee (1989). All measurements were performed under a trinocular optical microscope coupled with a video camera (Olympus model BX 50 with the Pro Express image analysis software, version 6.3). To measure each variable, at least 25 repetitions were made.
Statistical methods
To evaluate the effect of spacing and longitudinal variations in trees on physical and anatomical properties, the variance homogeneity was initially assessed by means of Hartley's test and a subsequent F variance analysis test, in accordance with the randomized blocks experimental design. Once the F test was conducted (p>0.05), the means were compared using a Tukey test. The SAS statistical program (SAS, 1999) was used to this effect.
RESULTS
The mean values of wood basic density, apparent density, natural moisture content, and volumetric shrinkage were 0.51 g.cm-3, 0.61 g.cm-3, 79.26%, and 10.33%, respectively (Table 2). The mean values of fiber length, fiber wall thickness, diameter and vessel frequency were 1544 µm, 3.99 µm, 89.54 µm and 17.45 nº.mm-2, respectively (Table 2). No significant interaction was noted between tree spacings and longitudinal position (Table 2), which demonstrates no dependency between these two factors.
Table 2 Basic density (Db), apparent density (ρ12.), natural moisture content (MCN), volumetric shrinkage (ɛV), fiberlength (FL), fiber wall thickness (FWT), vessel diameter (VD), and vessel frequency (VF) of 38-year-old Cariniana legalis
| Cause of variation | Mean squares | ||||||||
|---|---|---|---|---|---|---|---|---|---|
| LG | Db (g.cm-3) | ρ12 (g.cm-3) | MCN (%) | ɛV (%) | FL (µm) | FWT (µm) | VD (µm) | VF (nºmm-2) | |
| Block | 4 | 0.0004 | 0.0026 | 48.41 | 5.11 | 16572 | 0.0466 | 520 | 1.08 |
| Spacing (S) | 2 | 0.0001 n.s. | 0.0006 n.s | 30.00 n.s. | 1.02 n.s. | 6792 n.s. | 0.0342 n.s. | 673** | 26.06** |
| Longitudinal position (LP) | 2 | 0.0319** | 0.0522** | 521,55** | 37.26** | 55144 n.s. | 0.3799 n.s. | 2118** | 18,35** |
| (S) x (LP) | 4 | 0.0014n.s. | 0.0009 n.s. | 43.67 n.s. | 6,92 n.s. | 3588 n.s. | 0,091 n.s. | 163n.s. | 1,79 n.s. |
| Residual | 32 | 0.0019 | 0.0025 | 113.99 | 5.7 | 28887 | 0.1582 | 128 | 2.85 |
| Average | 0.51 | 0.61 | 79.26 | 10.33 | 1544 | 3.99 | 89.54 | 17.45 | |
| CVe (%) | 8.73 | 8.18 | 13.47 | 22.12 | 11 | 9.68 | 12.64 | 9.68 | |
n.s.: not significant, * at a 5% significance level, ** at a 1% significance level, and CVe: coefficient of variation
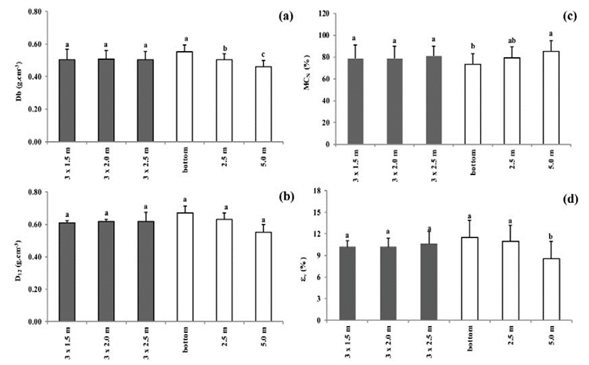
Planting spacing had no significant effect on any physical properties (Table 2 and Figures 1a, 1b, 1c, and 1d). As for the anatomical properties, the vessel diameter was significantly higher with a 3 x 2.5 m spacing than with 3 x 1.5 m (Table 2 and Figure 2a). However, the vessel frequency with a 3 x 2 m spacing was significantly higher than with 2 x 1.5 and 3 x 2.5 m (Table 3 and Figure 2b). Regarding the fiber length and the fiber wall thickness, no significant differences were observed among the three spacings (Table 2 and Figures 2c and 2d).

Figure 1 a) Basic density (Db), b) apparent density (ρ12), c) natural moisture content (MCN), and d) volumetric shrinkage (εv) as a function of tree spacing and longitudinal variation of 38-year-old Cariniana legalis. *Average values followed by the same distinct letters in columns of the same color differ by Tukey’s test (p<0.05)
Basic density, apparent density, natural moisture content, and volumetric shrinkage differed significantly with respect to the longitudinal position (Table 3 and Figures 1a, 1b, 1c and 1d). Vessel diameter and frequency differed significantly, but fiber length and fiber wall thickness did not differ with respect to tree height (Table 3 and Figure 2).

Figure 2 a) Vessel diameter (VD), b) vessel frequency (VF), c) fiber length (FL), and d) fiber wall thickness (FWT) as a function of tree spacing and longitudinal variation of 38-year-old Cariniana legalis. *Average values followed by the same distinct letters in columns of the same color differ by Tukey’s test (p<0.05)
The basic density of C. legalis wood decreased significantly with tree height, with values of 0.55, 0.51, and 0.46 g.cm-3 at the base and at 2.5 and 5 m, respectively (Figure 1a). This pattern also occurred for apparent density, with values of 0.66, 0.62, and 0.55 g.cm-3 at the base and at 2.5 and 5 m, respectively (Figure 2b). The opposite pattern was observed for the natural moisture content, with decreasing values from 5 m (85.1%) to 2.5 m (79.3%) to the trunk base (73.3%) (Figure 1c). Volumetric shrinkage was significantly lower at 5 m and at 2.5 m than that at the base (Figure 1d). Fiber length and fiber wall thickness did not vary significantly at 5 m (Figures 2c and 2d). Vessel diameter and vessel frequency at 2.5 and 5 m were significantly higher than at the base (Figures 2a and 2b).
Correlation between properties
To explain the possible dependencies among the analyzed variables, a study of their correlations was conducted (Table 3). However, significant correlations were only observed for basic density and natural moisture content (Table 3, Figure 3).
Table 3 Pearson correlation coefficients among basic density (Db), apparent density (ρ12), natural moisture content (MCN), volumetric shrinkage (ɛV), fiber length (FL), fiber wall thickness (FWT), vessel diameter (VD), and vessel frequency (VF) for 38-year-old Cariniana legalis
| Db (g.cm-3) | ρ12 (g.cm-3) | ɛV (%) | MCN (%) | FL (µm) | FWT (µm) | VD (µm) | VF (nº mm-2) | |
|---|---|---|---|---|---|---|---|---|
| Db (g.cm-3) | 1 | 0.35 n.s. | 0.19 n.s. | -0.86 ** | -0.3 n.s. | 0.21 n.s. | 0.40 n.s. | 0.04 n.s. |
| D12 (g.cm-3) | 0.35 n.s. | 1 | 0.58 n.s. | -0.25 n.s. | -0.07 n.s. | 0.21 n.s. | -0.03 n.s. | 0.11 n.s. |
| ƐV (%) | 0.19 n.s. | 0.58 n.s. | 1 | -0.13 n.s. | -0.48 n.s. | 0.38 n.s. | 0.11 n.s. | -0.12 n.s. |
| MCN (%) | -0.86 ** | -0.25 n.s. | -0.13 n.s. | 1 | 0.06 n.s. | -0.24 n.s. | -0.38 n.s. | 0.01 n.s. |
| FL (µm) | -0.3 n.s. | -0.07 n.s. | -0.48 n.s. | 0.06 n.s. | 1 | -0.02 n.s. | -0.01 n.s. | 0.21 n.s. |
| FWT (µm) | 0.21 n.s. | 0.21 n.s. | 0.38 n.s. | -0.24 n.s. | -0.02 n.s. | 1 | -0.01 n.s. | 0.19 n.s. |
| VD (µm) | 0.40 n.s. | -0.03 n.s. | 0.11 n.s. | -0.38 n.s. | 0.01 n.s. | -0.01 n.s. | 1 | -0.10 n.s. |
| VF (nº mm-2) | 0.04 n.s. | 0.11 n.s. | -0.12 n.s. | 0.01 n.s. | 0.21 n.s. | 0.19 n.s. | -0.10 n.s. | 1 |
n.s.: not significant, * significant at 5%, ** significant at 1%
DISCUSSION
Influence of spacing on wood physical and anatomical properties
In our study, the basic and apparent densities of wood did not differ with tree spacings. Oliveira et al. (2018), while studying the apparent density of C. legalis in the same experiment with trees of the same age, found significant differences among tree spacings, with the higher values for spacings of 3 x 2 and 3 x 2.5 in comparison with those for 3 x 1.5 m. However, Oliveira et al. (2018) used twice as many trees for each spacing treatment as those used in our study, they sampled discs at five different tree heights, and they used another method of analysis: x-ray densitometry. This probably led to different results than ours.
Several studies on planting density which used a number of trees similar to that of our study reported that an increased wood density is correlated with a decreased tree spacing (Kang et al., 2004), whereas other works found no differences (Fujimoto & Koga, 2010). In a study with Acacia mearnsii, Aleleia glazioviana, Mimosa scabrella, and Eucalyptus grandis, Eloy et al. (2014) also found that different tree spacings did not change the wood basic density. Lima et al. (2009), while studying apparent and basic densities of 31-year-old Tectona grandis with the same tree spacings (3 x 1.5, 3 x 2, and 3 x 2.5 m), also found little or no differences. Several factors such as genetic material, site characteristics, and age can influence whether the spacing between trees will or will not have an impact on wood density. For some species, these factors have a more intense effect on wood formation, and this may not happen with other species (Soranso et al., 2016).
As for the volumetric shrinkage, no significant variation was observed among the tree spacings. The same pattern was found by Lima et al. (2009) in Tectona grandis with the same tree spacings (3 x 1.5, 3 x 2, and 3 x 2.5 m). Roque & Ledezma (2003), however, found that the increase in planting spacing decreased the volumetric shrinkage of 10-year-old Tectona grandis wood. However, we would like to emphasize that Roque & Ledezma (2003) used trees younger than those in our study. The natural moisture content was not influenced by tree spacing. Moreover, while evaluating the effect of thinning on the natural moisture content in a Eucalyptus grandis plantation, Lima et al. (2012) observed an increase in moisture as the thinning intensity increased. In our study, tree spacings likely had no effect on wood natural moisture content because the adopted spacings were not enough to alter the degree of competition in a way that could change the plants’ liquid flow and absorption process. In some situations, little variation in wood properties with tree height may be advantageous for the industrial sector if the aim is to get the most homogeneous products possible.
The largest vessel diameter was observed in the widest tree spacing (3 x 2.5 m), while the vessel frequency was higher in the intermediate spacing (3 x 2 m). Lima et al. (2011), while studying the influence of spacing in 31-year-old Tectona grandis, found a lower vessel frequency in the widest spacing (3 m x 2.5 m). In our study, the widest spacing (3 m x 2.5 m) produced a larger trunk, with larger vessel diameters in relation to the other spacings, probably because the trees in the widest spacing showed a higher growth in comparison with those in narrower spacings (Table 1). The size and frequency of the vessels vary according to the physiological demand of the plants. As plants grow, their capacity to carry water increases, along with mineral salts, which results from an increase in cell dimension (Sette Jr. et al., 2012).
The low tree natural mortality, the absence of thinning, and the use of spacings with very close densities between them may have led to a similar availability of resources (e.g., water, nutrients, and light) among the trees, possibly justifying the non-significant difference between tree spacings for the physical properties and fiber dimensions of C. legalis wood. The use of thinning or wider spacings in forest plantations reduces the competition between trees by increasing the availability of water and nutrients, which consequently improves their growth and productivity. An increased productivity based on wider spacings may be beneficial if it does not negatively interfere with wood properties regarding their industrial use.
Influence of longitudinal position on physical and anatomical properties of wood
The longitudinal variation model found for the basic and specific densities of C. legalis wood was the same as that presented for numerous tree species (Yu et al., 2014), in which wood density decreased up to a certain trunk height. While performing the same experiment, Oliveira et al. (2018) found a similar result: the apparent density of C. legalis decreased from the base up to 5 m, but, after this height, no significant variation was observed.
The natural moisture content value dropped from 5 m to the base, while the volumetric shrinkage showed an inverse pattern. At the tree base, both lower moisture content and higher volumetric shrinkage could be observed, whereas, at the height of 5 m, higher moisture content and lower volumetric shrinkage were reported. In Eucalyptus saligna trees, Lopes & Garcia (2002) found no significant variation in the stem with regard to the moisture content. Oliveira et al. (2005), while studying several Eucalyptus species, confirmed that the moisture content was higher at the trunk base, decreasing up to half the trunk and then increasing from the upper third. The trunk top values were similar to those at tree base. In general, the proportion of living tissue and sapwood increases from the base to the top, resulting in an increase of wood moisture content at the tree top (Dibdiakova & Vadl, 2012).
The lowest vessel diameter and frequency were observed at the tree base (Figures 2a, 2b, 2c, and 2d). Similar results were found by Longui et al. (2017) , who reported on 24-year-old Handroanthus vellosoi trees. The vessel diameter was smaller at the base (91 µm), increasing significantly at 1 m (100 µm) and 2 m (106 µm) of stem height, and the vessel frequency was higher at 2 m (14 cells.mm-²) than that at 1 m (12 cells.mm-²). The authors also found an inverse relationship between hydraulic conductivity and mechanical resistance. The presence of narrower vessels at the stem base, acting as a bottleneck, is a pattern observed in several species, with the purpose of increasing water transport by pressure differences along the vessel elements, thus improving their hydraulic efficiency (Assad et al., 2016) and/or meeting the mechanical demands concerning tree support (Sette Jr. et al., 2012; Longui et al., 2017). A decrease in vessel diameter tends to form denser wood, with greater mechanical resistance, since vessel lumens represent empty spaces that can weaken the wood in terms of its mechanical properties (Baas et al., 2004). Another parameter to be considered is tree age, which does not necessarily coincide with wood age along trunk height. In adult trees, cambium located at trunk base will produce wood with a characteristic typical of the age, while recently formed cambium located at the tree top will produce juvenile wood (Zobel & Sprague, 1998). The variations in cellular dimensions found along the tree trunk may be related to the typical radial pattern, where shorter and narrower cells occur in parts with younger wood (Assad et al., 2016).
In our study, C. legalis wood was found to have important variations along the stem, mainly with regard to the physical properties that have a direct correlation with water content and vessel diameter.
Correlation between physical and anatomical properties
According to the regression model, a correlation was identified between the increase in wood basic density and the decrease in natural moisture content (Figure 3). In a Eucalyptus saligna plantation, Lopes & Garcia (2002) also confirmed the viability of estimating the wood basic density by determining the natural moisture content. While studying coniferous trees, Dibdiakova & Vadl (2012) found that the proportion of living tissues and sapwood increased from the base to the tree top, thus resulting in an increase in wood moisture content. The same authors observed that moisture content and wood density were inversely proportional. Furthermore, while studying Astronium gravelolens, Santos et al. (2011) found a good correlation between density and fiber wall thickness, which indicates that this correlation must benefit individual growth and cambium maturation, thus allowing for a balance between water conduction and mechanical resistance. The inverse correlation between the basic density and natural moisture content of the tree implies synchrony among wood properties.
CONCLUSIONS
Wood anatomical features were more sensitive to variations in tree spacing than wood physical properties. Therefore, only vessel diameter and frequency were not influenced by tree spacing. Longitudinal position showed a strong influence on physical properties and anatomical features, with significant variations along the trunk. Wood basic density and natural moisture content were inversely proportional, with an increase in natural moisture content as wood density decreased. Considering that the spacings used had little effect on the wood properties, it is recommended to use spacings larger than those used in this research if significantly changing the wood properties of C. legalis is desired. New research combining forest management (e.g., thinning, planting density, fertilization) with wood quality along the tree stem could be carried out in native Brazilian species planted in order to make better use of the multiple products that these plantations can supply.
















