Services on Demand
Journal
Article
Indicators
-
Cited by SciELO -
Access statistics
Related links
-
Cited by Google -
Similars in
SciELO -
Similars in Google
Share
Revista ION
Print version ISSN 0120-100X
Rev. ion vol.24 no.2 Bucaramanga July/Dec. 2011
espuma para la síntesis de cetenas
Iván Darío Ordóñez Sepúlveda; Ramiro Martínez Rey*
Escuela de Ingeniería Química, Universidad Industrial de Santander (UIS),
Cra. 27 Calle 9, Bucaramanga, Colombia
*rmartine@uis.edu.co
Fecha Recepción: 1 de junio de 2010
Fecha Aceptación: 10 de octubre de 2011
Este trabajo propone un modelo de base fenomenológica para la síntesis catalítica de cetena a partir de ácido acético sobre monolitos tipo espuma funcionalizados con sílice basado en información experimental propia y en técnicas convencionales de modelamiento y ajuste de parámetros de reactores de lecho fijo. Durante la síntesis se llevan a cabo reacciones competitivas entre sí, donde la deshidratación del ácido es la fuente de formación de cetena. Se diseñó un trabajo experimental preliminar para determinar las condiciones generales en que se desarrolla esta síntesis. Dicha experimentación consistió en: 1) experimentos en ausencia de reacción química para la estimación de los parámetros de transporte de calor, 2) experimentos aplicando el criterio de Koros-Nowak para determinar la presencia de limitaciones difusionales externas, 3) experimentos en presencia de reacción química para la estimación de los parámetros cinéticos de la mencionada red de reacciones. Las dos primeras partes de los experimentos permitieron deducir que el modelo más adecuado para representar el reactor monolítico tipo espuma es un modelo bidimensional no isotérmico seudo-homogéneo. Este modelo de reactor se acopló a un modelo cinético teniendo en cuenta las tres reacciones principales (deshidratación, descarboxilación y cetonización del ácido). Al modelo resultante, un sistema de ecuaciones diferenciales parciales, se le aplicó un procedimiento de ajuste de sus seis parámetros cinéticos y cuatro parámetros térmicos desconocidos. Los resultados mostraron que el ajuste de los parámetros fue aceptable y que el modelo 2D propuesto es adecuado para representar la conversión, selectividad y el perfil de temperatura dentro del monolito. Si bien este modelo no es completamente fenomenológico por que posee parámetros ajustables, al menos, aquí se demuestra que las metodologías convencionales de reactores son aplicables a monolitos de sílice.
Palabras clave: limitaciones de transporte, sílice, ecuaciones diferenciales parciales.
This paper proposes a pseudo-phenomenological model for the catalytic synthesis of ketene from acetic acid on foam monoliths using classical modeling techniques of fixed reactors. This synthesis is a competing reactions network where dehydration of acetic acid promotes formation of ketene. A preliminary experimental work was designed to determine a set of favorable conditions for this synthesis. These experiments consist of: 1) experiments without chemical reaction for the estimation of heat transport parameters 2) experiments using the Koros-Nowak criterion for determining the presence of external diffusional limitations 3) experiments in the presence of chemical reaction for the estimation of the kinetic parameters of reactions network. These experiments allowed deriving that a two-dimensional, non-isothermal and pseudo-homogeneous model was the most appropriate model to represent the monolithic type reactor. The reactor model was coupled to a kinetic model taking into account the three main reactions of the network of reactions (dehydration, decarboxylation and acid cetonization). At resulting model, a system of partial differential equations, six unknown kinetic parameters and four thermal parameters was fixed. The results showed that this adjustment was acceptable and the proposed 2D model is adequate to represent the conversion, selectivity and the temperature profile experienced inside of monolith. Although this model suffers from the need to find adjustable parameters, at least, it is shown that conventional methods are applicable to reactors silica monoliths.
Keywords: transport phenomena, silica, partial differential equations.
La síntesis de cetena a partir de ácido acético ha sido estudiada tanto en fase homogénea [1-4] como en fase heterogénea [5, 6]. Se ha comprobado experimentalmente que la deshidratación de ácido acético (Ec. 1) puede ir acompañada de un sistema de reacciones en serie y paralelo tales como la descarboxilación (Ec. 2), la cetonización del ácido (Ec. 3), la formación de anhídrido acético (Ec. 4), la descomposición de la cetenas hacia coque (Ec. 5) y hacia etileno (Ec. 6).
Existen propuestas de parámetros cinéticos para este sistema de reacciones que difieren entres si debido a que en primera instancia no se ha identificado con suficiente evidencia experimental un modelo de reactor adecuado para este sistema [7,8]. Adicionalmente, una característica común de estas propuestas es el hecho de estimar los parámetros cinéticos y de transporte simultáneamente, lo cual genera a priori incertidumbre en el cálculo de tales parámetros [9]. Con el objetivo de disminuir esta incertidumbre el trabajo aquí presentado propone un modelo de reactor monolítico con la correspondiente estimación de sus parámetros de cinéticos y de transporte de ejecutado de forma desacoplada.
Se desarrollaron marchas experimentales para: a) Confirmar cualitativamente los diferentes productos obtenidos según el esquema de reacción mencionado (Ec. 1, Ec. 2, Ec. 3, Ec. 4, Ec. 5 y Ec. 6), b) Cuantificar los productos de reacción y determinar la influencia de las limitaciones de transporte dentro del monolito, c) Estimar los parámetros de transporte necesarios en ausencia de reacción química d) determinar un modelo cinético basado en la información experimental anteriormente obtenida. Para cumplir con estas tareas se desarrollaron los siguientes pasos:
- Funcionalización de monolitos comerciales de sílice fundida de 45 PPI (poros por pulgada lineal), 21 mm de diámetro con 5 y 10 mm de longitud. El catalizador que funcionaliza el monolito es sílica-gel con la misma formulación y procedimiento descrito por Martínez [7].
- Determinación el rango de temperaturas y flujo en el que el monolito se encuentre libre de limitaciones externas de masa y energía aplicando la metodología propuesta por Koros y Nowak [10]. Esta metodología consistió en realizar a temperatura constante marchas experimentales cambiando simultáneamente el flujo de alimento (F) y la masa de catalizador depositado (W), pero manteniendo la relación de la masa de catalizador y el flujo molar de reactivo (FÁcido) siempre constante. Si la relación conversión del reactivo por masa de catalizador no se afecta por estos cambios, entonces se puede concluir que no existen limitaciones externas. Basados en los experimentos de Martínez [6] se escogieron una relación W/FÁcido de 5,5 g/(mol/h) y temperaturas de 425 y 575°C a la entrada del monolito. De los resultados se infirió el rango de temperaturas y flujo adecuados para hacer la experimentación para el cálculo de la cinética.
Cada marcha experimental se desarrolló utilizando el siguiente procedimiento: En el interior del reactor de tubo de cuarzo se ubicó un monolito funcionalizado a 38 cm de la entrada del reactor y por este se hizo pasar ácido acético diluido en un gas de arrastre (nitrógeno) desde un sistema de burbujeo termostatado a 28°C. El tubo se encontraba enchaquetado por un horno eléctrico de temperatura controlada. El flujo de nitrógeno se mantuvo constante mediante el controlador de flujo másico Brooks 5850E mientras que el delta de temperatura axial y radial durante la reacción se midió con termocuplas ubicadas justo antes y después del monolito tanto en la parte interior como exterior del tubo de cuarzo. Cuando el sistema de reacción alcanzaba su estado estable se procedió a realizar los análisis cuantitativos de los reactivos y los productos mediante un espectrómetro de masas SRS PPR200. Para una correcta lectura de los espectros se estimaron en condiciones de no reacción los factores de sensibilidad y ganancia de los compuestos participantes durante la síntesis de cetena según procedimiento detallado por Martínez [6].
Todas las líneas de flujo se encontraban debidamente precalentadas a temperatura no inferior a 130°C para evitar condensación de productos. Un esquema del montaje experimental se muestra en la Figura 1. Las limitaciones internas se evaluaron mediante el comportamiento de las isotermas de adsorción-desorción de nitrógeno obtenidas mediante el uso de un Quantachorome NOVA 1200 (a 77,35K). - Determinación del comportamiento de la conversión de ácido, evaluación de la selectividad hacia cetena y subproductos a de 425, 500 y 575°C en cuatro diferentes relaciones de W/FÁcido dentro de un rango definido por los resultados de las limitaciones de transporte del paso 2. Para este estudio, la selectividad hacia cetena se definió como la cantidad de moles de cetena formadas sobre la cantidad de moles de acido acético que reaccionaron.
- Según se determine con la evidencia experimental se plantea el modelo de reactor y posterior ajuste de los parámetros de transporte y cinéticos del sistema de reacciones involucradas. El modelo fue construido y solucionado mediante el software FEMLAB 2.3, mientras que los parámetros cinéticos deseados se obtuvieron de algoritmos de optimización de MATLAB 7.0. Para el cálculo de la cinética se tuvo en cuenta la información obtenida antes de la presencia de coque.
Limitaciones difusionales internas y externas
La Figura 2 muestra el perfil típico de adsorción-desorción obtenido experimentalmente de un monolito de sílice de 45 PPI funcionalizado. También se puede observar que la curva de adsorción se solapa con la correspondiente desorción en casi todo el rango de presiones trabajadas; este comportamiento permite inferir que las limitaciones difusionales internas son despreciables dado que una distribución de tamaño de los poros suficientemente grande es la requerida para que dos procesos opuestos como la adsorción y la desorción se lleven a cabo casi de la misma forma.
La Figura 3 muestra los resultados de la evaluación del criterio de Koros-Nowak para limitaciones externas. Los cambios en el porcentaje de la conversión de ácido tanto a temperatura baja (425°C) como alta (575°C) son poco significativos (entre 1% y 4,5% p respectivamente). Hay que anotar que las conversiones obtenidas a temperatura baja se encuentran muy cerca de limite de exactitud del 9% que garantiza el fabricante del detector de masas [11], por tanto, la mejor decisión es basarnos en los resultados a altas conversiones y en ellas se muestra que las limitaciones en el transporte interfacial son bajas.
Comportamiento de la conversión de ácido y selectividad hacia cetena
La Figura 4 muestra un espectro de masas típico de reacción durante las marchas experimentales. En este y demás espectros obtenidos hay evidencia de la presencia en la corriente de salida del reactor de cetena, acido acético, dióxido de carbono, acetona y agua. Sin embargo, no se encontraron evidencias de la existencia de etileno, anhídrido acético u otros compuestos ajenos al sistema de reacción indicado en las ecuaciones 1, 2, 3, 4, 5 y 6. La presencia de coque fue detectada posterior a las 5 horas de operación continua, tiempo mucho menor al experimentado por Martínez [6]. Las relaciones molares nitrógeno / ácido trabajadas en esta investigación fueron entre 40 y 50 dependiendo del flujo empleado. Para relaciones molares de nitrógeno / ácido por debajo de 30 mostraron una formación de coque en tiempo más cortos (alrededor de 40 minutos). En consecuencia, las reacciones comprendidas entre la Ec. 1, Ec. 2 y Ec. 3 son las únicas reacciones que serán tenidas en cuenta en los pasos siguientes de este estudio.
Las Figuras 5 y 6 muestran los datos de conversión y selectividad para la cetena obtenidos en función de la relación W/FÁcido y la temperatura de entrada. De la misma manera, los correspondientes deltas de temperatura axial y radial obtenidos muestran en la Figura 7. Los deltas de temperatura axial son la diferencia de temperatura en el centro del monolito entre su salida y su entrada. Los deltas de temperatura radiales son la diferencia de temperatura a la salida del monolito entre su centro y la pared del tubo de cuarzo.
Los resultados de la Figura 5 indican que en el rango de temperaturas y flujo aquí trabajado se obtuvieron conversiones molares de ácido acético de un orden similar a la obtenida por Martínez [7]. La selectividad hacia cetena fue alta, entre 0,90 y 0,93, disminuyendo levemente con la temperatura y con la relación W/FÁcido. Lo anterior, sugiere que las mejores selectividades se encuentran a temperaturas moderadas (425 y 500°C) y flujos bajos (500 a 1000 SCCM). Una tendencia opuesta ocurre con la conversión la cual se favorece a temperaturas y flujos altos.
En la Figura 7 se muestra que los deltas de temperatura axiales pueden ser tan grandes como 20 grados y cuando las conversiones son altas el monolito entre la entrada y salida baja su temperatura de manera significativa. Los deltas de temperatura radial entre el centro del monolito y la pared externa del reactor fueron considerables, entre 10 y 35°C, dependiendo de la temperatura y el flujo dentro del tubo. Para monolitos del tamaño como los aquí empleados, estos deltas de temperatura nos indican que el reactor no opera de manera isotérmica en ninguna dirección espacial por lo que no sería válido desde el punto de vista fenomenológico suponerlo así.
Modelamiento del reactor monolítico
Para este sistema de reacciones se empleará nuevamente el modelo cinético trabajado por Ordóñez y Martínez [8] (Ec. 7, Ec. 8 y Ec. 9) debido a sus anteriores éxitos para representar este conjunto de reacciones.
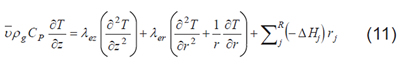
Los subíndices 1, 2 y 3, hacen referencia a la reacción de deshidratación, descarboxilación y cetonización respectivamente. K1 es la constante de equilibrio de la reacción de deshidratación, la cual es función de la temperatura y estimada a partir de los datos reportados por NIST [12]. Las altas conversiones obtenidas y los importantes deltas de temperatura tanto axiales como radiales dan las bases para asegurar que un modelo de reactor integral bidimensional seudo homogéneo es el más adecuado para modelar la cinética en cuestión. El modelo del reactor monolito en estado estable sería el siguiente:
Balance de masa:

Balance de energía:
La Figura 8 muestra un esquema de la geometría del modelo y las condiciones de frontera utilizadas. El subíndice i denota a los compuestos (ácido acético, cetena, etc.) mientras que el subíndice j a las reacciones participantes. De y λe son la difusividad y conductividad térmica efectiva del medio heterogéneo y cuyos subíndices r y z denotan la dirección radial y axial respectivamente. ῡ es la velocidad promedio del flujo, Ci es la concentración de cada compuesto i, αij es el coeficiente estequiométrico del compuesto i en la reacción j, rj y ΔHj son la velocidad y calor de la reacción j, mientras que ρg y CP son la densidad y capacidad calorífica de la mezcla gaseosa. Para las condiciones de frontera, Ci0 es la concentración molar alimentada del compuesto i, T0 es la temperatura de alimento, TW es la temperatura exterior del tubo, αw es el coeficiente de transferencia de calor en la pared del reactor y q es la densidad de flujo.
Se asume que las propiedades efectivas De y λe son iguales en ambas direcciones espaciales debido a que no se contó con el suficiente número de mediciones de temperatura ni composición de reactivos tanto radiales como axiales como para validar un modelo con tal detalle. La estimación de la conductividad efectiva λe fue realizada utilizando los datos de los monolitos funcionalizados en ausencia de reacción química. El modelo a utilizar es el mismo balance de energía de la Ec. 11, pero ignorando los términos de generación de energía por reacción química (ΔHj=0) y acoplándole un modelo clásico de aporte estático y dinámico similar al propuesto para reactores de lecho fijo [13]. El primer término de la Ecuación 12 es el estático y obedece al aporte de la conducción y radiación del material monolítico, mientras que el segundo término es el dinámico y responde a los efectos convectivos por la influencia del flujo [14]. λg es la conductividad del gas y ReSv es el número de Reynolds (ReSv = G /Sv*m), en el que G es la velocidad de flujo másica, Sv es el área de superficie externa por unidad de volumen de sólido de monolito y μ es la viscosidad de la mezcla gaseosa. Para el cálculo del coeficiente de transferencia de calor αw se apeló a un modelo empírico en función del número de Reynolds ReSv basado en el área superficial externa.
Las constantes A y B son obtenidas mediante un ajuste de parámetros utilizando el criterio de mínimos cuadrados y los algoritmos de optimización de MATLAB 7.0. Los datos experimentales utilizados para el mencionado ajuste fueron los deltas de temperatura para monolitos de 45 PPI en ausencia de reacción química reportados por Martínez [15].
Por otra parte, es válido asumir por analogía entre los fenómenos de transporte, que la difusividad efectiva puede ser estimada mediante la ecuación 14, donde ε es la fracción de vacío global del monolito [14].
Solución del modelo de reactor monolítico
Los balances de masa y energía forman un sistema de ecuaciones diferenciales parciales acopladas que se solucionó por el método de elementos finitos con una malla de 1553 nodos y 2984 elementos. El modelo fue construido y resuelto mediante el software FEMLAB versión 2.3. Los problemas ajuste de la conductividad efectiva y de parámetros cinéticos se describieron mediante las funciones objetivo g y h respectivamente. Estas funciones aplican el concepto de mínimos cuadrados entre los resultados experimentales (subíndice E) y los calculados por el modelo (subíndice M):


A y Ea corresponden al factor de preexponencial y energía de activación de la reacción j (deshidratación, descarboxilación y cetonización), X representa la conversión de ácido acético y S la selectividad de los productos más importantes (i = cetena, dióxido de carbono y acetona). ΔT es la diferencia de temperatura entre la salida y entrada del monolito en r=0.
Resultados del ajuste de parámetros de la transferencia de calor
Los parámetros para el modelo de transferencia de calor se muestran en la Tabla 1 con un rango de validez entre 0,66 < ReSv < 5,04 para monolitos de 45 PPI funcionalizados. En la Figura 9 se puede observar una comparación entre los deltas de temperatura axiales experimentales y los calculados utilizando el valor de la conductividad efectiva aquí estimada.
El grado de predicción del modelo de transferencia de calor es bastante bueno. No hay en la literatura investigaciones previas sobre monolitos de sílice funcionalizados que nos permitan hacer comparaciones directas con nuestros resultados. Sin embargo, los órdenes de magnitud de las constantes aquí ajustadas se encuentran dentro de los valores usuales reportado para correlaciones similares a la presentada por las Ecuaciones 12 y 13 para sistemas de lecho empacado y para monolitos de otros materiales [14].
Resultados del ajuste de parámetros cinéticos
La Tabla 2 presenta una comparación de los parámetros cinéticos encontrados mediante la metodología aquí planteada y estimaciones previas empleando las condiciones experimentales de Martínez [6].
De la misma manera, una comparación entre los resultados experimentales y los calculados por el modelo aquí planteado se pueden observar en las Figuras 10 y 11. Los resultados de la Tabla 2 muestran como las energías de activación y los factores preexponenciales estaban sobreestimados en el modelo de Ordóñez y Martínez [8] dado que había sido usada la suposición de operación en condiciones isotérmicas. Lo anterior se vio reflejado en los resultados de las Figuras 10 y 11, en las cuales el grado de coincidencia entre los resultados experimentales y el modelo son buenos y en esta ocasión se cuenta a favor el hecho de haber calculado los parámetros de transporte deforma desacoplada a los parámetros cinéticos.
Finalmente, el porcentaje de error relativo promedio reportado en la Tabla 3 entre el valor experimental y el valor estimado por el modelo aquí propuesto confirma que en conjunto el ajuste de parámetros cinéticos y de transferencia de calor es aceptable.
Las limitaciones difusionales internas y externas de masa y energía pueden ser despreciadas en el reactor monolítico de sílice gracias a la naturaleza del recubrimiento sol-gel y el orden de magnitud de los flujos aquí empleados.
Se obtuvo un modelo de reactor monolítico con aceptable grado de reproducibilidad de los resultados experimentales utilizando las estrategias convencionales de modelamiento de reactores de lechos empacados. Si bien este modelo posee parámetros ajustables, al menos aquí se demuestra que las metodologías convencionales de reactores son aplicables a monolitos de sílice.
Los autores agradecen el apoyo financiero de la Universidad Industrial de Santander y COLCIENCIAS (Proyecto: 1102-08-14698) para el desarrollo de esta investigación.
[1] Blake PG, Jackson GE. High and low temperature mechanism in the thermal decomposition of acetic acid. J. Chem. Soc.. 1969;(B):94-6. [ Links ]
[2] Blake PG y Jackson GE. The thermal decomposition of acetic acid. Phys. Org. 1968;1153-1155. [ Links ]
[3] Nguyen MT, et al. Theoretical study of the thermal decomposition of acetic acid: decarboxylation versus dehydration. J. Phys. Chem. 1995;99:11883-8. [ Links ]
[4] Padmanabhan N, Deshpande PK, Kuloor NR. Catalytic cracking of acetic acid to acetic anhydride. Ind. Eng. Chem. Proc. Des. Dev. 1968;7:511-6. [ Links ]
[5] Libby MC, Watson PC, Barteau MA. Synthesis of Ketenes with oxide catalysts. Ind. Eng. Chem. Res. 1994;33:2904-12. [ Links ]
[6] Martínez Rey R. Catalytic synthesis of ketenes on silica monoliths at short contact times (tesis doctoral). Delaware, Estados Unidos: University of Delaware: Department of Chemical Engineering; 2001. [ Links ]
[7] Martínez R, Huff MC, Barteau MA. Synthesis of ketenes from carboxylic acids on functionalized silica monoliths at short contact times. App. Catal. A: Gen. 2000;200:79-88. [ Links ]
[8] Ordóñez I, Martínez R. Modelamiento de la síntesis de cetenas sobre monolitos de sílica funcionalizados. Memorias de el XXIII Congreso Colombiano de Ingeniería Química; 2005 Sept; Manizales, Colombia: Asociación Colombiana de Ingeniería Química. P. 348-58. [ Links ]
[9] Froment GF, Bischoff KB. Chemical Reactor Analysis and Design. 2 ed. New York, Estados Unidos: John Wiley & sons; 1990. [ Links ]
[10] Koros RM, Nowak EJ. A diagnostic test of the kinetic regime in a packed bed reactor. Chem. Eng. Sci. 1967;22:470. [ Links ]
[11] Standford Research Systems. Operating manual and programming reference - RGA Residual Gas Analyzer. Sunnyvale, Estados Unidos: Standford research systems Inc.; 2003. p. 313. [ Links ]
[12] Lias SGL, Liebman JF, Levin RD y Kafafi SA. NIST Structures and Properties Software 2.01. U.S. Department of Commerce:1994. Gaithersburg. [ Links ]
[13] Yagi S, Kunii D. Studies on effective thermal conductivities in packed beds. AIChE J. 1957;3;373. [ Links ]
[14] Peng Y, Richardson JT. Properties of ceramic foam catalyst supports: one-dimensional and two-dimensional heat transfer correlation. App. Catal. A: Gen. 2004;266:235-44. [ Links ]
[15] Martínez R, Ordóñez I. Modelamiento y bases tecnológicas para el escalado de la síntesis de cetenas sobre monolitos funcionalizados con sílice. Informe de avance proyecto UIS-COLCIENCIAS. Bucaramanga, Santander: Universidad Industrial de Santander; 2007. [ Links ]







































