Services on Demand
Journal
Article
Indicators
-
Cited by SciELO -
Access statistics
Related links
-
Cited by Google -
Similars in
SciELO -
Similars in Google
Share
Revista ION
Print version ISSN 0120-100X
Rev. ion vol.25 no.2 Bucaramanga July/Dec. 2012
Carlos Gregorio Dallos1*; Carlos Eduardo Lizcano2; Lina Constanza Navarro2;
Jhon Iván Peñaloza2
1UT-DTH-EOS Exploración, Cra. 37 # 52-43, Bucaramanga, Colombia
2ECOPETROL S.A. - Instituto Colombiano del Petróleo, km 7 autopista Bucaramanga-Piedecuesta
*carlos.dallos@ecopetrol.com
Fecha Recepción: 20 de marzo de 2012
Fecha Aceptación: 18 de junio de 2012
El crudo pesado es una mezcla compleja de compuestos incluyendo saturados, aromáticos, resinas y asfaltenos. En esta mezcla los asfaltenos son los componentes más pesados con tendencia a ser inestables y precipitar, ocasionando inconvenientes en el transporte y procesamiento. Para remediar este problema se han desarrollado tecnologías consistentes en la utilización de solventes, las cuales a determinadas condiciones de operación, permiten separar la fracción pesada, mejorando las propiedades y logrando asegurar condiciones para el transporte y refinación de crudos pesados.
En este trabajo se desarrolla un modelo de Fluido-Dinámica (FDC) para un equipo de sedimentación de asfaltenos, mediante el uso de balances microscópicos. La solución permitió determinar: distribución de sólidos, patrones de flujo y puntos de acumulación de fase pesada, útiles para la comprensión del comportamiento fluido-dinámico del sistema. El modelo se valida mediante datos obtenidos en una planta piloto con capacidad para tratar 2,3x10-6 m3/s (1,25 BPD) de crudo pesado. Dicha planta, propiedad del Instituto Colombiano del Petróleo de ECOPETROL (ICP), está ubicada en el municipio de Piedecuesta, Colombia.
Palabras clave: fdc, sedimentador, crudos pesados, desasfaltado.
Heavy crude oil is a complex mixture of compounds that include saturates, aromatics, resins and asphaltenes. In this mixture, the asphaltenes are the heaviest components and can be unstable and precipitate. This kind of components causes troubles in transportation and processing. One way to reduce this problem is through technologies that use solvents, which under adequate operating conditions, separate the heavy fraction, improving the properties and conditions for transporting and refining of heavy crude oil.
The present work develops a model of Computational Fluid Dynamics (CFD) for asphaltene settler, using microscopic balance. The response of this model allowed to determine: the solids flow pattern distribution and accumulation points of heavy phase. This information is useful for understanding the fluid-dynamic behavior of the system. The model was validated using data from a pilot plant with capacity for treatment 2.3 x10-6 m3/s (1.25 BPD) of heavy crude oil. This pilot plant is located in the Colombian Petroleum Institute of ECOPETROL (ICP), Piedecuesta, Santander, Colombia.
Keywords: cfd, sedimentation, heavy crudes, deasphalted.
Cerca del 50% del crudo producido en Colombia es pesado y se observa que ese porcentaje tenderá a aumentar en los próximos años tanto en Colombia, como a nivel mundial. Los crudos pesados y extrapesados (con API menor a 20) presentan altos contenidos de resinas y asfaltenos que tienden a precipitarse, dificultando el transporte y procesamiento del hidrocarburo.
Con el fin de mejorar las características de estos crudos pesados se utilizan diferentes técnicas, dentro de las cuales encontramos el desasfaltado mediante uso de solventes. Este proceso implica el uso de un solvente parafínico para desestabilizar el crudo, logrando que las moléculas más pesadas se separen y precipiten, obteniendo entonces una mezcla de aceite desasfaltado y solvente libre con bajo contenido de resinas y asfaltenos.
El proceso de desasfaltado mediante el uso de solventes ha sido empleado durante más de cincuenta años en el tratamiento de crudos pesados, con el objetivo de aumentar el rendimiento económico en las operaciones de transporte y refinación de dichos crudos. Las primeras aplicaciones comerciales para este proceso se llevaron a cabo utilizando propano como solvente para producir aceites lubricantes de alta calidad. Posteriormente, el propano fue utilizado para separar resinas de alto peso molecular; de esta forma el proceso de desasfaltado con solvente se ha ido extendiendo gradualmente para obtener cargas para FCC, hydrocracking, hidrodesulfurizadores y asfaltos.
La tecnología Residuum Oil Supercritical Extraction de KBR [1] (ROSE) se basa en el uso de propano, butano y pentano para separar los asfaltenos, obteniendo un producto de mayor calidad, que es el aceite desasfaltado. La ventaja económica del proceso ROSE en comparación con otras tecnologías de desasfaltado, se origina al realizar la separación del solvente y el DAO a condiciones por encima del punto crítico del solvente, a las cuales se permite una fácil separación, de esta manera, el solvente recuperado puede ser removido con menores consumos de energía, con lo cual se reducen de forma significativa los costos del proceso. Además, los asfaltenos extraídos pueden ser utilizados como materia prima para producir gas de síntesis para su uso como combustible, como materia prima en petroquímica y para la generación de vapor, contribuyendo de esta manera a mejorar aún más los resultados económicos del proceso, hasta lograr un 50% de ahorro en la inversión comparado con los métodos tradicionales. En este proceso, inicialmente el crudo pesado es bombeado a una alta presión al tambor separador de asfaltenos, antes del cual se une con una cantidad de solvente calentada por la corriente de DAO. Esta mezcla entra por la cima del separador, en el cual se agrega en contracorriente una segunda cantidad de solvente; los asfaltenos se hacen insolubles a estas condiciones de temperatura y presión, de manera que precipitan para ser extraídos por el fondo del separador. El solvente arrastrado por el fondo, es separado de los asfaltenos en un despojador. La solución DAO-solvente sale por la cima del separador. La temperatura de operación, la composición del solvente, la relación solventecrudo y en menor proporción, la presión en el separador son las variables que afectan la calidad y el rendimiento del producto obtenido. Básicamente, el rendimiento se halla controlado por la temperatura del proceso. Al aumentar la temperatura se disminuye el DAO obtenido por la cima, pero al disminuir ésta, también se reduce la calidad del producto. La solución que sale por la cima del separador es calentada por encima de la temperatura crítica del solvente puro, con lo cual se logra trabajar en una región en la cual las propiedades del solvente se hacen bastante favorables para lograr la separación.
En 1996, UOP y Foster Wheeler establecieron un acuerdo de colaboración para compartir sus experiencias y conocimientos en el desarrollo de la tecnología de desasfaltado. Las plantas diseñadas han sido desarrolladas empleando solventes pesados tales como el hexano a temperaturas elevadas, logrando máximos rendimientos de crudo desasfaltado. UOP se ha enfocado en la utilización de solventes como el butano y más pesados que éste, para obtener altas reconversiones de DAO, desarrollando la tecnología de separación de solvente mediante el uso de sus propiedades a condiciones supercríticas. La otra área en la cual UOP ha centrado sus esfuerzos es en el hecho de lograr minimizar la relación solvente crudo, logrando una alta calidad en las propiedades del DAO obtenido. Por otra parte, Foster Wheeler ha trabajado en la utilización del propano como solvente en el proceso de desasfaltado, empleando técnicas de extracción óptimas para aplicaciones específicas, como la producción de aceites lubricantes. Entre los avances tecnológicos logrados se pueden citar:
- UOP patentó el PIP [2] (parallel interceptor plate), el cual mejora las especificaciones del DAO debido a una mayor eficiencia de la separación líquido-liquido.
- El RDC [3] (Rotating disk contactor) diseñado para alcanzar altos rendimientos y calidad en el producto mediante la incorporación de operaciones de despojamiento y rectificación del crudo alimentado.
- Recuperación del solvente a condiciones supercríticas: aprovechando las propiedades termodinámicas a estas condiciones, se logra una significativa reducción en los costos de operación.
- Reducción en los requerimientos de solvente: al disminuir la relación solvente/crudo y alcanzar un punto óptimo para la eficiencia del proceso, se logra un gran impacto en la disminución de los costos del proceso.
El parámetro más importante en el proceso es la naturaleza del solvente, que determina en primera instancia, el rendimiento y la calidad del aceite desasfaltado. Por regla general, butanos y pentanos son suficientemente capaces de precipitar resinas, el propano se utiliza bastante para la producción de lubricantes y el etano se utiliza incluso para precipitar fracciones de aceite de pesos medios [4]. La termodinámica de la precipitación de asfaltenos ha sido ampliamente estudiada durante las últimas décadas y la aplicación de modelos derivados de la teoría de soluciones regulares ha permitido una buena aproximación al cálculo del equilibrio sólido líquido para la precipitación de asfaltenos como se muestra en los trabajos de Akbarzadeh, Dhillon, Svrcek, y Yarranton [5], de Mofidi y Edalat [6], de Riazi [7] y de Tharanivasan, Svrcek y Yarranton [8].
Por otra parte, diferentes autores han propuesto modelos del proceso de sedimentación utilizando distintos enfoques que pueden ser utilizados para representar los fenómenos que ocurren en el interior de un sedimentador de asfaltenos, por ejemplo: Iraklis, Valloulls y List [9,10] presentaron un modelo de sedimentación que incluye aspectos tales como la distribución de tamaño de partícula, crecimiento por aglomeración, movimiento browniano de las partículas y efectos de turbulencia; Kirpalani y Matsuoka [11], presentaron un trabajo de FDC que incluye el modelo euleriano, para simular la sedimentación de sólidos en mezclas de arenas bituminosas, agua y solvente; Jingcai, Chao, Zai- Sha y Chengjun [12] presentaron un modelo de FDC para la precipitación en tanques agitados; Mohanarangam y Stephens [13] presentaron un modelo de FDC implementado mediante la suite de ANSYS, para la simulación del proceso de sedimentación y flotación de arcilla, arena y partículas ligeras.
El análisis del proceso de desasfaltado es de interés en diferentes centros de investigación en el mundo y Colombia no es la excepción. En ECOPETROL-ICP se ha construido una planta piloto para el estudio del proceso de desasfaltado con solventes, con la flexibilidad necesaria para ensayar variaciones en el tipo de carga, de solvente y las variables de operación (flujo, presión, temperatura y relación solvente/crudo). Estas instalaciones han permitido el desarrollo de una serie de pruebas donde se ha recopilado una gran cantidad de datos que alimentaron los modelos estadísticos y además determinar condiciones óptimas para el proceso. Sin embargo, hasta el momento no se ha desarrollado un modelo hidrodinámico para este tipo particular de equipo, que permita predecir la respuesta del sistema a variaciones en la carga o en las condiciones de operación o que sirva de base para el escalado del proceso a nivel industrial.
Con este trabajo se pretende lograr la construcción de un modelo fluidodinámico, con el fin de entender el comportamiento de un sedimentador para asfaltenos a escala de planta piloto y conocer los patrones de flujo y distribución de sólidos existentes en él.
El equipo que se modeló fue el sedimentador 3401A que hace parte de la planta piloto ubicada en las instalaciones de ECOPETROL-ICP en Piedecuesta, Colombia, que tiene capacidad para tratar hasta 2,3x10-6 m3/s (1.25 BPD) de crudo. En la zona intermedia o zona de carga del sedimentador se inyecta una mezcla de solvente y crudo con relación volumétrica entre 4:1 y 6:1, a una temperatura determinada en el rango entre 333 y 373 K y a una presión entre 344 y 689kPa. En operación normal un flujo adicional de solvente, correspondiente a valores entre el 2,0% y 7,5% del flujo cargado en la zona intermedia, se inyecta en la zona inferior del sedimentador para realizar un lavado y facilitar el flujo del material sedimentado por el fondo del equipo. Por la cima se retira una mezcla de solvente y aceite desasfaltado (DAO) pobre en fase pesada, que es conducida a un proceso de separación y recuperación de solvente. Por el fondo del sedimentador se retira un flujo que contiene casi la totalidad de la fase pesada. Un esquema simplificado de las corrientes alrededor del sedimentador se muestra en la Figura 1.
Construcción del modelo matemático
Para el desarrollo del modelo se utilizó la herramienta ANSYS FLUENT y para su validación se utilizaron datos de planta piloto, en las cuales la carga utilizada fue un crudo extrapesado de 7,4° API y el solvente utilizado fue un corte liviano de 87° API.
Caracterización de las corrientes
Con el fin de incluir los cálculos de equilibrio para el cambio de fase se hizo necesario caracterizar los fluidos cargados al equipo como una mezcla multicomponente. Mediante el uso de la técnica de reconstrucción molecular introducida por Neurock, Nigam, Trauth, y Klein [14] se caracterizó el crudo extrapesado, y se obtuvo un total de 80 moléculas de tipo aromático, 20 moléculas de tipo asfalténico, 9 moléculas de tipo nafténico y 10 moléculas de tipo parafínico con pesos moleculares entre 126 y 1730g/mol. El solvente se identificó como una mezcla de n-C4, i-C5 , n-C5, n-C6 y n-C7.
Con el fin de reducir la carga computacional, el modelo fluidodinámico para la mezcla multicomponente de 124 compuestos (5 del solvente y 119 encontrados en la recomposición molecular del crudo) fue simplificado agrupando las especies químicas de peso molecular semejante en nueve pseudocomponentes: uno para modelar el solvente y los ocho restantes para modelar el crudo.
El peso molecular, la temperatura y presión crítica, el factor acéntrico, el punto normal de ebullición, y el volumen molar en el punto normal de ebullición fueron determinados para los nuevos seudocomponentes utilizando el software SIMSCI-PRO/II. Los valores de estas propiedades se presentan en la Tabla 1. Así mismo fueron calculadas las propiedades de transporte necesarias para el desarrollo del modelo fluidodinámico; excepto los coeficientes de difusión, que fueron estimados mediante el método de Tyn y Calus descrito por Poling, Prausnitz, y O'Conell [15]. Los valores de dichas propiedades se presentan en la Tabla 2. El crudo utilizado se caracterizó mediante técnicas estándar: curvas de destilación y análisis SARA, estos datos fueron utilizados para determinar mediante recomposición molecular los 119 compuestos mencionados anteriormente. El crudo cargado a la planta no contiene sólidos y es homogéneo. Es debido a la mezcla con el solvente en mezcladores estáticos y a la temperatura de operación alcanzada antes de entrar al sedimentador que se forma una fase pesada que se sedimenta dentro del equipo.
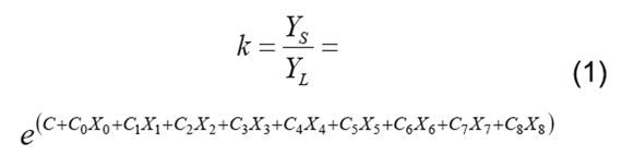
El software SIMSCI-PRO/II también fue utilizado para determinar la distribución de componentes en las dos fases en equilibrio mediante el método UNIFAC, con la suposición de que el equilibrio presente es similar al de dos fases líquidas, una liviana y otra pesada. Se aprovechó la descripción de cada compuesto obtenida mediante la recomposición molecular y se generaron 21 escenarios de composición de los 9 seudocomponentes y en cada escenario se obtuvo las composiciones másicas de las fases liviana y pesada. Para cada seudocomponente se correlacionaron los datos de equilibrio y el mejor ajuste se encontró para la expresión exponencial descrita en la Ecuación 1 con una desviación media de 2,3%. En la Tabla 3 se resume los valores de los coeficientes para el cálculo de equilibrio de los 9 seudocomponentes.
Donde k es el coeficiente de reparto entre fases; Y es la fracción másica de un componente; ñk es el subíndice para la fase liviana; S es el subíndice para la fase pesada, C, C0, C1, C2, C3, C4, C5, C6, C7, C8 son constantes calculadas para cada especie química, X0 es la fracción másica total del solvente y C0, X1, X2, X3,, X4, X5, X6, X7, X8 son las fracciones másicas totales de los seudocomponentes utilizados para caracterizar el crudo extrapesado.
Construcción de la geometría del sedimentador
El sedimentador de asfaltenos que se modeló consiste básicamente en un segmento de tubería unido a un fondo formado por un segmento cónico, con una serie de boquillas y accesorios para carga y salida de las corrientes, así como boquillas adicionales para instrumentación y toma de muestras. Con el fin de reducir la complejidad del modelo y el número de elementos volumétricos, se simplificó la geometría del equipo eliminando las boquillas y tomamuestras que no se utilizan bajo condiciones normales de operación.
Una vez construida la geometría, se procedió a diseñar el mallado requerido para la discretización del dominio. Se realizaron pruebas de independencia de la solución respecto a diferentes niveles de mallado, utilizando un modelo hidrodinámico simple. La selección final fue una malla híbrida de 360000 elementos de volumen, 1420000 caras y 737000 nodos. Se utilizaron elementos hexaédricos y pentaédricos (cajas y cuñas) en la mayor parte del volumen, pero en las zonas donde se ubicaron accesorios internos o boquillas de salida se hizo necesario generar mallas no estructuradas utilizando tetraedros que posteriormente se redujeron a poliedros.
El tope del sedimentador incluye una boquilla de salida para el DAO y el solvente. En el equipo existente en planta, la presión de operación se mantiene con un gas inerte ubicado por encima del nivel de la salida de DAO, por tanto la superficie superior que forma un círculo casi completo se separó del resto de las paredes del equipo y se simuló como una frontera sin gradientes. Debido a la presencia de la boquilla, la zona del tope del sedimentador se modeló utilizando una malla no estructurada como se muestra en la Figura 2a). En la zona media de la geometría se modelaron accesorios internos que se utilizan en el equipo como termopozos y boquilla de entrada de la carga. También en esta zona se requirió utilizar un mallado no estructurado como se puede ver en la Figura 2b). La parte inferior del sedimentador está formada por un elemento cónico con boquillas de entrada de solvente. Esta zona requirió la presencia de mallado no estructurada para representar los pequeños detalles de los elementos internos, tal como se muestra en la Figura 2c).
Configuración del modelo matemático
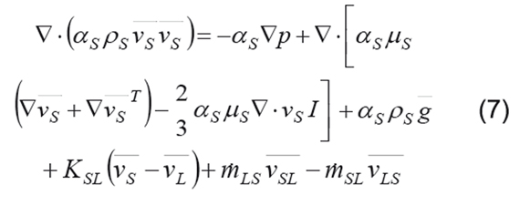
El sistema que se quiere modelar presenta una muy alta complejidad debido a la presencia de una mezcla multicomponente en la cual se presenta además una sedimentación de la fase pesada. La presencia de las dos fases puede representarse mediante el uso del modelo euleriano, que implicó resolver simultáneamente balances de masa y cantidad de movimiento para las fase liviana y la fase pesada, así como seleccionar y ajustar términos de transferencia entre dichas fases, tal como lo describen Syamlal, Rogers y O'Brien [16].
Las expresiones (2 a 5) corresponden a las ecuaciones de continuidad para cada fase y por especies, también para cada fase, respectivamente.
En este modelo no se utilizaron modelos de turbulencia, debido a que los números de Reynolds en el equipo siempre fueron inferiores a 500, indicando la presencia en todo momento de flujo laminar. Por tanto en los balances de cantidad de movimiento para cada fase (Ecuaciones 6 y 7), se utiliza el coeficiente de viscosidad molecular y no es requerido el uso de modelos de turbulencia.
En estas ecuaciones α es la fracción volumétrica, ρ es la densidad, μ es el coeficiente de viscosidad, ∇ es el operador diferencial, Ī es el tensor unidad, g es la aceleración gravitacional, K es el coeficiente de intercambio de momento entre fases, m es la masa transferida entre fases, p es la presión del sistema, v es la velocidad y los subíndices LS, SL indican la dirección de transferencia entre fases.
Todas las superficies metálicas del interior del sedimentador, incluyendo los accesorios tales como: termopozos y boquillas de entrada fueron modeladas como fronteras estacionarias tipo pared. La superficie superior del fluido de forma casi circular (ver Figura 2a ) que representa la interfase entre el líquido y la atmosfera de gas inerte, se simuló como una frontera con un esfuerzo de corte constante e igual a cero, para representar la ausencia de transferencia de cantidad de movimiento entre el hidrocarburo y el gas. Las áreas de flujo de las boquillas de entrada se consideraron como entradas con velocidad conocida correspondiente a la relación entre el caudal y el área de flujo. Las salidas de cimas y de fondos se simularon mediante la asignación de una fracción del flujo total (73,5 y 26,5% respectivamente).
Corrida en planta piloto Los resultados del modelo se contrastaron con los resultados de una corrida en planta piloto de 65 horas. En esta corrida el carga inicialmente con solvente previamente calentado a la temperatura de operación hasta la altura del rebose de cima. Posteriormente el sedimentador recibe gas inerte hasta alcanzar la presión de operación seleccionada. El crudo, previamente deshidratado, circula junto con solvente a través de mezcladores estáticos hasta obtener la relación volumétrica solvente:crudo escogida para la corrida. Esta mezcla pasa por un intercambiador de calor hasta alcanzar la temperatura de operación seleccionada y finalmente entra al sedimentador a través de la boquilla de carga. Solvente adicional calentado a la temperatura de operación entra al equipo a través de las boquillas de lavado ubicadas en la parte inferior. La salida inferior, conformada por una mezcla de solvente, DAO y fase pesada fluye establemente mediante la acción de una bomba de tornillo, mientras el flujo restante rebosa por la salida de cima y consistente en una mezcla de solvente y DAO con bajo contenido de fase pesada. La corrida en planta piloto incluye evaluación de las corrientes de cima y de fondos del sedimentador a lo largo del periodo de 65 horas para determinar el contenido de fase pesada mediante filtración. Esta evaluación se realizó a 25 muestras de cada corriente en las cuales se encontró la fracción másica de la fase pesada. El promedio del contenido de fase pesada en las corrientes se muestra en la Tabla 4.
El software de FDC utilizado en la construcción del modelo permite seleccionar diferentes tipos de elementos constitutivos. Con el fin de configurar la simulación para obtener una representación lo más cercana posible del desempeño del sedimentador, se realizaron 59 corridas con diferentes combinaciones de dichas opciones con el fin de descartar o seleccionar diferentes componentes y parametros a utilizar. Las características del modelo que fueron incluidas en el proceso de selección fueron:
Modelo de las 2 fases. El software permite escoger entre modelo de volumen de fluido, modelo de mezcla y modelo euleriano. El esquema de volumen de fluido (VOF) es recomendado en los casos en los cuales se desea conocer la forma y distribución de una interface claramente definida, utiliza un solo conjunto de ecuaciones de movimiento suponiendo que la velocidad es igual en todas las fases. El modelo de mezcla utiliza un solo conjunto de ecuaciones de movimiento, pero se puede suponer que la velocidad es diferente en todas las fases mediante el uso de factores de deslizamiento. El modelo euleriano es el más completo pues utiliza un conjunto de ecuaciones independientes para cada fase, pero como consecuencia, el cálculo se hace más largo.
Modelo de fase dispersa. En los modelos de Mezcla y Euleriano es posible plantear que la segunda fase es un sólido granular y estimar los parámetros de interacción con una fase fluida, la otra opción es suponer que la fase densa es un liquido pesado.
Ecuación de Energía. En el caso de operación isotérmica del equipo, puede ser importante el uso de la ecuación de energía para cuantificar las pérdidas de energía por la interacción entre las fases. Por otra parte ese término puede ser muy pequeño y no requiera ser evaluado.
Tipo de Condiciones de frontera. Podemos escoger entre fijar un flujo másico de entrada o una velocidad de entrada. Aunque aparentemente el resultado del cálculo no debería ser afectado si se selecciona una u otra opción, los algoritmos internos que relacionan flujos de entrada y flujos de salida hacen que se obtengan soluciones ligeramente diferentes al cambiar la condición de la entrada de las cargas.
Cálculo del equilibrio entre las fases. El cálculo de la composición de las fases se puede hacer de manera constante (determinado por las condiciones de la carga) o variable (calculado a partir de las condiciones en el interior del equipo). Esta última opción requiere mucho más tiempo de computo.
Valor inicial en la concentración de sólidos. El algoritmo de solución que utiliza el software utilizado, requiere asignacion de un valor inicial de las velocidades dentro del equipo y de las fracciones volumetricas de la fase pesada. Se encontró que la convergencia del modelo y el resultado final del cálculo depende fuertemente de los valores iniciales asignados a la fracción de la fase pesada.
La variable que se utilizó para hacer el seguimiento del desempeño del modelo fue el promedio del error relativo respecto al contenido de fase pesada en las corrientes de cima y de fondo del sedimentador mostrados en la Tabla 4. Adicionalmente se realizó seguimiento al cumplimiento en el balance de masa para la fase pesada. La Tabla 5 muestra el resumen de condiciones y resultados de las 59 corridas realizadas.
Para efectos de la simulación, la cantidad de sólidos entrante al sistema se fija dentro de la condición de frontera de carga. La fracción de la fase pesada considerada en el flujo de entrada en la simulación es consistente con los cálculos de equilibrio y con los balances realizados en la planta. Debido a desviaciones presentes en el cálculo de la ecuación de continuidad, la cantidad de fase pesada en los efluentes no siempre es consistente con la cantidad que entra. La desviación en este balance se calcula para cada simulación y se incluye dentro los resultados en la Tabla 5.
Después de realizar la configuración y sintonización del modelo, la mejor simulación fue la corrida 20, en la cual el error relativo respecto al contenido de fase pesada en las corrientes de cima y de fondo fue inferior al 3,21% y la desviación en el cumplimiento del balance de masa para la fase pesada fue inferior al 10,53%. Esta simulación utiliza el modelo euleriano para representar las dos fases, en donde la segunda fase se calcula como si fuera un líquido pesado.
En la corrida 20 no se realizó balance de energía, por lo cual el sistema se consideró isotérmico, además la condición de frontera utilizada para representar la entrada al sistema fue una condición con velocidad conocida. En dicha corrida se considera que el equilibrio entre fases estaba determinado por la condición de la carga y no se considera variable dentro del sedimentador. Para realizar la simulación el valor inicial en la fracción volumétrica de sólidos se fija en 21% en todo el equipo.
Además de la corrida 20, los mejores resultados son los de las corridas 12, 24, 30, 32 y 38. En estas simulaciones el promedio de error relativo en el cálculo de la fracción de fase pesada en los efluentes es inferior al 15%. El factor común en las seis simulaciones que dan mejor resultado, es la inclusión del modelo euleriano para representar las fases del sistema. Solo una de las mencionadas simulaciones, la corrida 32, incluye el cálculo de la condición de equilibrio dentro del equipo, mientras que en las otras cinco este cálculo solo se hace para la carga.
De las cinco simulaciones que incluyeron el uso del modelo de volumen de fluido para representar las fases, tres de ellas no lograron dar convergencia, lo cual nos muestra lo poco viable que puede ser este método para utilizarse en el sistema estudiado.
El cálculo variable del equilibrio de fases se utilizó en 17 de las simulaciones, dos de ellas no dieron convergencia, 14 tuvieron error relativo respecto al contenido de fase pesada en las corrientes de cima y de fondo superior al 43% y solo una dio un valor inferior al 15%.
La simulación conseguida con la corrida 20, generó patrones de flujo y de concentración de fase pesada en el interior del equipo. Se identificaron 3 zonas de retromezcla: una alrededor de la boquilla de entrada de la carga; otra justo abajo de la conexión de salida del DAO y el solvente y otra justo encima de las boquillas de ingreso de solvente. Esta última zona de retromezcla es la de mayor tamaño y se muestra en la gráfica de vectores de la Figura 3. En esta figura se observa el contorno de la zona de carga y un conjunto de vectores que indican la dirección del fluido en cada punto. En la figura se marca la zona a, en la cual se localiza un remolino alrededor del tubo de carga, los centros de los remolinos son regiones con velocidad igual a cero que puede generar acumulación de la fase dispersa. Se marcan también las zonas b y c que indican la máxima y mínima altura de la región de retromezcla. Entre estos dos niveles hay vectores de velocidad de ascenso y de descenso, por tanto hay fluido bajando y fluido subiendo que están en contacto y puede ocasionar arrastre de la fase pesada hacia arriba. La retromezcla es un inconveniente en los sedimentadores ya que reduce la eficiencia en la separación de la fase pesada. La identificación de estas tres zonas puede permitir mejorar el diseño de los accesorios, de manera que se reduzca o elimine las regiones con retromezcla y así se pueda incrementar la eficiencia en el desasfaltado.
Las Figuras 4 y 5 muestran los contornos y perfiles de fracción volumétrica, en ellas se puede observar además de la acumulación de fase pesada en la zona inferior del sedimentador, una región de alta concentración en la parte intermedia del sedimentador, sobre la zona de carga, consistente con observaciones hechas a través de tomamuestras ubicados a lo largo del equipo.
Se observa que en el fondo cónico del equipo, en la zona de carga y en la zona de salida de cimas los perfiles de distribución de la fase pesada presentan poca diferencia en sus valores tomados a diferentes posiciones radiales. Por otra parte, en la zona inferior a la boquilla de carga se puede ver un comportamiento diferente, ya que en los puntos cercanos a la pared las fracciones volumétricas de la fase pesada es considerablemente inferior a la calculada en la zona central. El mismo comportamiento, pero de forma más notoria se aprecia en la zona inmediatamente superior a la boquilla de carga, en donde se observan diferencias de más de 6% en las valores calculados entre los cálculos de la fracción volumétrica de la fase pesada en el centro del equipo y cerca a la pared.
En la misma figura se observa que la acumulación de la fase pesada se presenta de manera casi uniforme, con valores por encima del 12% en volumen en la zona inferior del equipo, hasta un nivel cercano al 20% de la altura total del equipo.
A partir de este punto, los valores decaen casi hasta el 3% en la zona inmediatamente superior. Esta acumulación es la que permite la salida de la fase pesada como un lodo, por el fondo del equipo.
El amplio conjunto de simulaciones hidrodinámicas realizadas, permitió seleccionar las características del modelo que mejor representó el funcionamiento del sedimentador 3401A que hace parte de la planta piloto ubicada en las instalaciones del ECOPETROL-ICP en Piedecuesta, Colombia. Los resultados de las corridas indican que este tipo de equipos es representado de mejor manera por un modelo hidrodinámico euleriano considerando la fase pesada como una fase líquida.
Los resultados muestran que para las condiciones evaluadas, no se requiere calcular de forma variable el equilibrio entre las fases, basta con calcularlo en la carga y mantenerlo constante en el equipo, esto puede indicar que en este tipo de sedimentador y bajo las condiciones de operación consideradas, la fase pesada entra al equipo completamente separada de la fase liviana.
Los cálculos realizados permiten identificar a lo largo del equipo cuatro zonas diferenciadas: una zona inferior hasta un 20% de la altura, donde se encuentra la mayor concentración de sólidos, superior al 12% y que permite la salida de los fondos concentrados en fase pesada; una segunda zona entre el 20% y el 45% de la altura del equipo en la cual las fracciones de la fase pesada decaen; una tercera zona entre el 45% y el 80% de la altura del sedimentador, en donde se presenta un aumento no uniforme de la fracción volumétrica de la fase pesada y una zona final por encima del 80% de la altura del equipo, en la cual las fracciones volumétricas de la fase pesada decaen casi hasta 0%.
El modelo obtenido para el sedimentador ha permitido obtener patrones de flujo y de distribución de fases consistentes con los datos observados en planta piloto. Por otra parte, la identificación de regiones de retromezcla existentes en zonas específicos en el interior del sedimentador es un elemento que no podría haberse conseguido mediante la instrumentación tradicional existente en la planta piloto y permite plantear mejoras al diseño del equipo.
[1] ROSE© Residuum Oil Supercritical Extraction (sitio de internet), KBR inc. Disponible en: http://www.kbr.com/Technologies/Process-Technologies/Residuum-Oil-Supercritical-Extraction/. Acceso el 10 de Diciembre 2011. [ Links ]
[2] Hedrick BW, Micklich FT, Johnson BH, Meier DG, Whitsura FR, Engelman BR, inventors; UOP, titular, Phase separator apparatus. US Patent 5.340.470. 1994 Ago 23. [ Links ]
[3] Bunas BI, inventor; UOP, titular, Solvent deasphalting apparatus. US Patent 4.088.540. 1978 may 9. [ Links ]
[4] Hombourger T, Gouzien L, Mikitenko P, Bonfils, P. Extraction in the oil industry. En: Petroleum refining, 2. Separation Processes. Editor. Wauquier JP. Francia: Éditions Technip, 1995, p. 359-456. [ Links ]
[5] Akbarzadeh K, Dhillon A, Svrcek WY, Yarranton HW. Methodology for the characterization and modeling of asphaltene precipitation from heavy oils diluted with n-Alkanes. Energy Fuels. 2004;18(5):1434-41. [ Links ]
[6] Mofidi AM, Edalat M. A simplified thermodynamic modeling procedure for predicting asphaltene precipitation. Fuel. 2006;85:2616-21. [ Links ]
[7] Riazi MR. Characterization and properties of petroleum fractions. U.S.A.: ASTM; 2005. [ Links ]
[8] Tharanivasan AK, Svrcek WY, Yarranton AH. Measurement and modeling of asphaltene precipitation from crude oil blends. Energy Fuels. 2009;23:3971-80. [ Links ]
[9] Valloulls IA, List EJ. Numerical simulation of a sedimentation basin. 1. Model development. Environ. Sci. Technol. 1984;18:242-7. [ Links ]
[10] Valloulls IA, List EJ. Numerical simulation of a sedimentation basin. 2. Design application. Environ. Sci. Technol. 1984;18:248-53. [ Links ]
[11] Kirpalani DM, Matsuoka A. CFD approach for simulation of bitumen froth settling process - Part I: Hindered settling of aggregates. Fuel. 2008;87:380-7. [ Links ]
[12] Jingcai C, Chao Y, Zai-Sha M, Chengjun Z. CFD Modeling of nucleation, growth, aggregation, and breakage in continuous precipitation of barium sulfate in a stirred tank. Ind. Eng. Chem. Res. 2009;48:6992-7003. [ Links ]
[13] Mohanarangam K, Stephens DW. CFD Modeling of floating and settling phases in settling tanks. En: Seventh International Conference on CFD in the Minerals and Process Industries; 2009 dic 9-11; Melbourne, Australia. CSIRO, 2009. [ Links ]
[14] Neurock M, Nigam A, Trauth DM, Klein MT. Molecular representation of complex hydrocarbon feedstocks through efficient characterization and stochastic algorithms. Chem. Eng. Sci. 1994;49(24):4153-77. [ Links ]
[15] Poling BE, Prausnitz JM, O'Conell, JP. U.S.A.: The properties of gases and liquids. McGraw- Hill; 2000. [ Links ]
[16] Syamlal M, Rogers W, O'Brien TJ. MFIX Documentation: Volume 1, Theory Guide. USA, U.S. Department of Energy;1993. [ Links ]





























