Introducción
Comprender lo sexual en la historia de la humanidad, lo normal y lo desviado, ha generado debate, fascinación, admiración, rechazo y proscripción. Son muchos los documentos históricos que hacen referencia al esfuerzo por explicar la "naturaleza" femenina y masculina, el cuerpo y el placer (Laqueur, 1990), pero también el pecado, la generación de la culpa, la transgresión. Foucault (2002), en Historia de la sexualidad, identifica los procesos sociales que permiten comprender la configuración de un cuerpo sexuado y la emergencia de una sexualidad verdadera en la modernidad, que traza nuevas coordenadas para aproximarse a lo normal y lo patológico.
El sujeto desviado, la calificación de quién era el transgresor, la valoración social de aquellos que se apartan de la norma sexual y de género, y las prácticas sexuales entre personas del mismo sexo no siempre han recibido el mismo tratamiento por parte de las sociedades de la cultura occidental. En principio, puede hallarse un predominio moral hasta el siglo XIX, en el cual se fomenta la primera regulación normativa (eclesiástico-penal) de la diferencia sexual.
Luego, a mediados del siglo XIX, surgen visiones científicas (especialmente médicas, psíquicas y criminales), que nominan la homosexualidad y las perversiones, y la asociación entre desviación y criminalidad. Finalmente, desde los años sesenta del siglo XX se evidencia la irrupción en el espacio público de un discurso de afirmación autorreferencial (Llamas, 1998), basado en las identidades que gais, lesbianas, bisexuales y transgeneristas sostienen y que se han politizado en una agenda de reivindicaciones que van desde el derecho al matrimonio igualitario, pasando por la adopción, hasta llegar a cuestionar la identidad misma. Estos tres grandes momentos discursivos coexisten en el momento de escribir este artículo y dan cuenta de las diferentes posturas que actores institucionales, religiosos, políticos, académicos y personas del común tienen acerca de la sexualidad como conjunto complejo de prácticas y representaciones sociales sobre el sexo, pero también sobre el género, el cuerpo, el deseo y el placer, en aristas que se desplazan entre la norma y la disidencia, entre lo hetero-homoerótico y bisexual, en identidades de género cada vez más distanciadas de las prácticas sexuales, en fin, un trama compleja y rizomática de categorías, nominaciones y representaciones.
La comprensión del homoerotismo en Colombia y muchos países de América Latina constituye un campo problemático de indagación, que no se reduce al binarismo hetero- homosexual, activo-pasivo o de identidad gay, lésbica o transgénero1. Partir de estas categorías implica reducir todo el espectro de una sexualidad diversa a los grupos más visibles de la sociedad, olvidándose que buena parte de los hombres y las mujeres que se relacionan erótica y afectivamente con alguien de su mismo sexo lo hacen sin portar una identidad que denote homosexualidad, no se definen como un tipo particular de persona, y las prácticas sexuales no constituyen un desestabilizador de su identidad masculina o femenina y, por lo tanto, no dejan huella biográfica (De Moya y García, 1996; Madrigal, 1998; Gallego, 2010). Aunque para otros lo sexual si genera identidad, ser gay o lesbiana en el Eje Cafetero colombiano no necesariamente coincide con las mismas nominaciones y representaciones del gay europeo o norteamericano. El homoerotismo, sus discursos -y silencios- y sus relaciones constituyen categorías históricas y espaciales permeadas por situaciones de género, generación, clase, ubicación espacial y, referentes de nación y etnicidad2.
La anterior discusión remite a uno de los pilares teóricos que sustenta el artículo: el enfoque construccionista para comprender la sexualidad (Weeks, 1998; Vance, 1997; Llamas, 1998). Esta perspectiva sostiene que la homo/sexualidad es un dispositivo histórico desarrollado como parte de una compleja red de regulaciones sociales que organizan y vigilan los comportamientos y los cuerpos sexuados. Esta aproximación sostiene que el deseo homo/sexual es construido desde las más polimorfas posibilidades y se desarrolla en el individuo en función de su entorno familiar y socio-cultural; es un fenómeno histórico tanto en lo personal como en lo social.
Una perspectiva construccionista de la homo/sexualidad implica reconocer que las relaciones de pareja y las formas de relación íntima también son históricas y dinámicas, de ahí que se postule como tesis que el emparejamiento entre personas del mismo sexo en América Latina no pueda ser hallado, como fenómeno colectivo y público, antes de los años setenta del siglo XX (Gallego, 2010; Gallego et al., 2013). La anterior afirmación no niega la existencia de lazos de afecto e intimidad antes de esta época, sino que recalca dos características que hacen al fenómeno un hecho sociológico: por un lado, la visibilización pública y su colectivización; y por otro, el establecimiento de unidades domésticas diferenciadas, con su correspondiente regulación civil, que va desde el matrimonio igualitario en algunos países hasta la equiparación a la unión marital.
La experiencia del emparejamiento entre personas del mismo sexo obedece a complejos procesos socio-culturales y a sistemas de regulación y permisividad en torno al afecto, el placer, el cuidado y la intimidad entre personas del mismo sexo/género, así como la forma como cada sociedad define y recrea el parentesco, la filiación, la familia, el matrimonio y el orden de género.
Los anteriores párrafos bordean los objetos de indagación sobre los que se formularon las preguntas y los objetivos de investigación, las hipótesis de trabajo, la discusión y el referente empírico del artículo: el homoerotismo y el emparejamiento entre personas del mismo sexo desde una perspectiva biográfica. Para el desarrollo del artículo se presenta, en un primer momento, un panorama sobre el tratamiento a la homosexualidad en la región a lo largo del siglo XX y sus procesos de institucionalizaron. Posteriormente se detalla la configuración del emparejamiento en personas con prácticas homoeróticas, y finalmente se presentan unas reflexiones que pretenden contribuir a la discusión sobre el homoerotismo en Colombia.
El enfoque biográfico en el estudio de la sexualidad y algunas precisiones metodológicas que soportaron la investigación
La aproximación biográfica en el estudio de la sexualidad permite la comprensión compleja y dinámica de ciertos eventos acaecidos en el curso de vida de un individuo, la definición de la intensidad, el calendario y la duración de los mismos, y la concreción de cierto tipo de vivencias en trayectorias: debut sexual, primera unión, primer embarazo e inicio de la pater- maternidad, identificándose diferentes tipos de trayectorias o carreras sexuales (Heilborn et al., 2006; Bozon, 1998; Juárez y Castro, 2004; Welti, 2005). La novedad en esta investigación es el estudio de las biografías sexuales bajo el marco del homoerotismo, en un esfuerzo por validar el método biográfico en la comprensión de estas poblaciones. La .צ aproximación seleccionada es el enfoque de curso de vida, método que privilegia el uso de encuestas retrospectivas y el tratamiento estadístico de la información.
Desde el enfoque de curso de vida, una biografía sexual conforma una trayectoria, entendida como un proceso acumulativo de eventos y vivencias sexuales (Heilborn et al., 2006; Plummer, 1995), que tiene como punto de partida la primera relación sexual, hetero u homoerótica y, se complejiza a partir de las múltiples interacciones socio-sexuales que un individuo establece a lo largo de su vida. Estas interacciones están permeadas por la matriz sexo/género, la posición socioeconómica y la etnia, en contextos de mayor o menor homofobia tanto interna como externalizada (Gallego, 2010).
Apostar por una lectura biográfica del homoerotismo y el emparejamiento entre personas del mismo sexo implica reconocer las configuraciones de ambos fenómenos en el tiempo individual y ponerlos en coordenadas de tiempo social y tiempo histórico. De hecho, las biografías resaltan la perspectiva del individuo como punto de observación de lo general, en un intento de lectura de lo social desde los sujetos; pero también, como lo plantean Ferrarotti (1991) y Bertaux (1997), el individuo es un universal singular y, es posible conocer lo social a partir de su especificidad.
Las biografías, en el marco de esta investigación, están ubicadas en coordenadas precisas de memoria, espacio, tiempo social y tiempo histórico; están permeadas por la matriz sexo/género y una adscripción geográfica y cultural del Eje Cafetero de finales del siglo XX y primera década del siglo XXI. Estas son, al mismo tiempo, herederas y agentes de los cambios acaecidos en la cultura sexual producidos por las demandas del feminismo, de la visibilización y politización de las identidades, el arribo del discurso gay-lésbico y la epidemia del VIH-SIDA.
El proyecto de investigación se adelantó entre el 2010 y el 2013 y fue aprobado por el Comité de Etica de la Universidad de Caldas. El estudio contó con el respaldo financiero de la Universidad de Caldas, con cofinanciación de Colciencias y el municipio de Cartago (Valle del Cauca). El proyecto contempló tres aproximaciones metodológicas en diferentes momentos del proceso investigativo: una cualitativa, mediante la cual se hicieron ocho entrevistas en profundidad a cuatro hombres y cuatro mujeres. Con la identificación de giros y transiciones en sus relatos se diseñó la encuesta biográfica, la cual fue sometida a una prueba piloto m para su aplicación definitiva entre abril y agosto del 2012. Como tercera fuente de información se adelantó una revisión en prensa y literatura que contempló el periodo 1921-1985, que corresponde al tiempo histórico de la investigación.
Para la aplicación de la encuesta se utilizó el método RDS (Respondent-Driving Sampling); no obstante, en campo fue necesario utilizar otros dos métodos para ajustar el tamaño de muestra deseado: la bola de nieve y la aproximación directa en sitios conocidos de ligue o de socialización gay-lésbica. Se encuestaron 709 personas: 401 hombres (56,6 %) y 308 mujeres (43,4 %) en las áreas metropolitanas de Manizales (28,7 %), Pereira (24,7 %), Armenia (20,3 %) y Cartago (26,2 %). En el anáfisis de la información se definieron cohortes de nacimiento y de emparejamiento que constituyen dos elementos nodales para interpretar la información. La cohorte de nacimiento se vincula con el tiempo biográfico (o tiempo individual) y corresponde a grupos de encuestados por generaciones. La primera cohorte corresponde a los nacidos antes de 1970, es decir, personas mayores de 41 años; la segunda se definió para los encuestados nacidos entre 1971 y 1983, cuyas edades están entre los 28 y 40 años; y la tercera cohorte abarca los nacidos entre 1984 y 1993, con edades que oscilan entre los 18 y 27 años, rango que concentró la mayor parte de la muestra: 35,9 % en hombres y 47,1 % de las mujeres.
Con las cohortes de emparejamiento se analiza el tiempo social, la unidad de análisis son las relaciones de pareja que los encuestados reportaron en su biografía (1936 en total), las cuales ocurrieron entre 1970-20113. La agrupación de las coordenadas temporales se hizo tomando al VIH-SIDA como catalizador del tiempo social y, abarca dos grandes momentos: el primero fue denominado antes de la epidemia, es decir, antes de 1985, y el segundo transcurre entre 1985 y 2011, periodo de emergencia, desarrollo y control del VIH-SIDA. Este último se subdivide en tres submomentos: 1985-1996,1997-2004 y 2005-2011. La delimitación temporal se hizo en función de los datos epidemiológicos, el avance en la legislación y la respuesta institucional frente a la epidemia. El procesamiento de la base de datos cuantitativa se hizo utilizando el paquete SPSS versión 20.0.
Homoerotismo en prensa y Literatura en el Eje Cafetero entre 1921 y 1985: silencio, ocultamiento, marginación y criminalidad
Las coordenadas de tiempo propuestas (1921-1985) se corresponden con el esquema metodológico de rastrear el tiempo histórico de la investigación. El tiempo histórico, según Braudel (1970), se asocia con eventos de larga duración, los cuales se sedimentan, en este caso particular, en representaciones sociales que tiene una población específica sobre la sexualidad; estas constituyen la herencia, a modo de estereotipos, prejuicios, categorías y nominaciones para designar y calificar las prácticas sexuales4. Se seleccionó este periodo, ya que en 1921 entró en circulación el periódico La Patria, impreso en Manizales, ciudad que para la época actuaba como central para el Eje Cafetero, y finaliza en 1985, año en el cual el diario publica la primera noticia relacionada con "la llegada" del VIH-SIDA a la región. En total se hallaron 42 artículos noticiosos con claras referencias a la sexualidad, concentrados especialmente en los últimos veinte años del periodo seleccionado.
En términos documentales se evidenció que desde los años veinte hasta los sesenta del siglo XX se hacían pocas referencias explícitas a la sexualidad. Se nominan los matrimonios, los nacimientos y los bautizos, es decir, las formas institucionales en las que la Iglesia permitía la sexualidad; lo "demás", lo que no estuviera en esa estrecha franja de posibilidades, estaba al margen de las buenas costumbres y, por ende, fuera de la delimitación del campo de acción y pensamiento de la sexualidad en la vida de las personas. El periódico La Patria, como prensa institucional, representa fielmente la concepción de la época, el silencio como estrategia de ocultamiento del homoerotismo para preservar el orden social y la moral colectiva (ver la figura 1).

Fuente: archivos del diario La Patria, 1921-1985.
Figura 1 Titulares de prensa asociados con la sexualidad
Cuando en los años sesenta emergen las noticias sobre homosexuales, estas se ubican en las páginas de sucesos sociales y judiciales, siempre asociando la homosexualidad con la criminalidad y con la transgresión del orden natural de las cosas, en otras palabras, haciendo referencia explícita a la degeneración y la depravación5. Estas visiones, según Walter Bustamante (2009), estaban presentes desde los años treinta del siglo XX en el ordenamiento jurídico, cuando "el Dr. Parmenio Cárdenas en la Comisión de Asuntos Penales y Penitenciarios preparatoria del nuevo Código Penal (1935) afirmaba que el homosexualismo ataca en sus bases fundamentales 'la moral pública y social'" (Bustamante, 2009, p. 5). De acuerdo con Bustamante, los juristas plantearon que esa era la víctima: la moral pública y social, traducida en argumentos como los "valores ideales", las "buenas costumbres", la "pública honestidad", el "buen orden de las familias", la "libertad y honor sexuales".
A pesar del llamado que hacía la prensa a la moral y las buenas costumbres, apoyada en los dictámenes judiciales, debe destacarse que una de las primeras obras completamente homoeróticas escritas en Colombia -Por los caminos de Sodoma, de autoría de Sir Edgar Dixon (Bernardo Arias Trujillo) y publicada en 1932- fue concebida en Manizales, una ciudad que para la época contaba con menos de cien mil habitantes6. Por los caminos de Sodoma y otras obras escritas durante los años setenta y ochenta del siglo XX indican que las relaciones erótico-afectivas entre hombres sí fueron problematizadas en el Eje Cafetero, como también ocurrió en México (Gallego, 2010; Núñez, 1999), Estados Unidos (Chauncey, 1994) y Europa (Foucault, 2002). En casi todas las situaciones, las relaciones eróticas y afectivas entre varones suceden de manera sórdida y en ambientes cuyas características desprestigian tanto a los actores como a las prácticas sexuales. Se trata de espacios físicamente miserables y abyectos, actores lúgubres y realidades cicateras.
Las alusiones directas al safismo, lesbianismo o amor erótico entre mujeres fueron situaciones que no se nombraron en el Eje Cafetero, y constituyen una representación ausente. Algo similar ocurrió con el transgenerismo, que hizo su presencia en la prensa de la región hasta mediados de los años setenta del siglo XX. El cuerpo "travesti" emerge conrelatos de suplantación de mujeres, historias del tercer sexo y crímenes en las "zonas de tolerancia" (ver la figura 2). Las narraciones de lo "travesti" en la prensa, siempre de varones feminizados, reiteran la constante confusión entre prácticas homoeróticas e identidades de género, asociando la homosexualidad con quiebres a la identidad de género: el homosexual es el travesti, el que quiere ser o actúa como una mujer, el amanerado.

Fuente: archivos de el diario La Patria, edición 17155, 13 de marzo de 1972.
Figura 2 Artículo de prensa, “El tercer sexo”
El emparejamiento entre personas del mismo sexo no aparece en este recorrido. Si nominar lo homosexual y lo travesti fue complejo para la sociedad del Gran Caldas, el emparejamiento es lo abyecto, lo impensable, lo irrepresentable. Si bien en México y otras sociedades latinoamericanas existía, desde los años sesenta, una literatura que enunciaba el emparejamiento (Gallego, 2010), en la zona cafetera colombiana, y tal vez en el país en general, se hacía poca referencia al asunto, aparece como una situación narrada de los años ochenta en adelante.
El corte temporal que se ha definido coincide con la muerte violenta en 1981 del travesti más famoso de Manizales (Estrella) y la irrupción del VIH-SIDA (1984), antecedentes que inauguran otras coordenadas para leer la sexualidad, en lo que se ha denominado el tiempo social de la investigación, periodo en el cual fue posible identificar los cambios que la pandemia promovió en las formas cotidianas de la sexualidad, especialmente en las prácticas de interacción y en el emparejamiento entre varones.
La institucionalización de la vida gay-lésbica en el tiempo social 1985-2011: el bar gay, la internet, la pareja y la familia
La existencia de espacios de encuentro para el ligue o cortejo, sean reales o virtuales, refleja la construcción histórica de una geografía del deseo en un contexto determinado, constituyendo marcos prohibitivos o laxativos que niegan o permiten la circulación de cuerpos deseantes y el desarrollo de códigos compartidos por un colectivo social, en este caso, hombres y mujeres con prácticas homoeróticas. Los lugares, desde el punto de vista de los sujetos, tienen contenidos simbólicos diferentes y son causantes del éxito o el fracaso en la construcción de relaciones de pareja, puesto que en muchas ocasiones la transformación de un simple ligue es atribuible, en parte, al lugar donde se conoció a la otra persona.
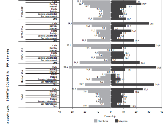
Los lugares también pueden estar indicando un proceso de institucionalización en las formas de interacción sexual. En los últimos veinticinco años se evidencia en el Eje Cafetero una mayor institucionalización de la vida erótica y afectiva entre personas con prácticas homoeróticas concentrada en los contextos urbanos7, con mayor predominio en los hombres y expresada en la preponderancia de los bares gais y la internet, en detrimento de la calle, como escenarios que posibilitan el surgimiento de relaciones de pareja. En las mujeres aún existe un predominio de los escenarios de interacción socio-sexual "cara a cara" (ver la figura 3).

Fuente: elaboración propia con base en la encuesta de biográfias sexuales. Eje Cafetero, 2012.
Figura 3 Distribución porcentual de los lugares de ligue, por cohortes de emparejamiento. Eje Cafetero, 2012
En la historia reciente, el bar actúa como el lugar de confluencia y motor generador de identidad en la subcultura gay (Laguarda, 2004; List, 2005). La asistencia a los bares es un ritual de paso importante dentro del homoerotismo, una manifestación del proceso de aceptación personal de las preferencias sexuales y de la "salida del clóset", y se instituye, como ha sido descrito en otras investigaciones, en el escenario propicio para la creación de redes socio-sexuales que permiten conocer nuevas personas y, por esta vía, ampliar las posibilidades de parejas potenciales. En una trayectoria sexual de un hombre de clase media con prácticas homoeróticas en el Eje Cafetero, el bar gay es pieza ordenadora y elemento común en la urdimbre biográfica (en las mujeres, por su parte, el bar también tiene importancia, pero no tan central como en los varones). El bar gay, al concentrar una población con ciertas preferencias sexuales, permite una mayor asertividad en el ligue y una mayor economía del deseo, circunstancia que es distinta, por ejemplo, en la calle y en otros lugares que no reúnen un tipo particular de personas.
Ligarse alguien en la calle y reconocerlo como potencial pareja requiere pericia y experiencia. En la calle, la mirada y su decodificación conforman lo Parrini denomina el "régimen de la mirada" (que Parrini, 2007). Mirar y saber interpretar cuándo se es mirado son piezas centrales del ligue; el problema, como lo plantea Guasch (1995), es cómo hacer explícito el sistema de signos y señas para reconocerse entre sí; tal reconocimiento, a su juicio, se realiza de un modo semirracional e intuitivo que considera tres variables fundamentales: el contexto, la apariencia y la actitud. No puede olvidarse, además, que la pérdida de centralidad del ligue callejero puede estar asociada con la sensación de inseguridad que representa este espacio en las ciudades colombianas.
Por otra parte, el uso de la internet con fines socio-sexuales ha ganado importancia, aunque con ligeras diferencias por grupos de edad y género, asociadas con la mayor oferta de aplicaciones y páginas de encuentro para varones que para mujeres, a las normas de género y las formas diferenciadas como hombres y mujeres construyen el deseo. En general, la institucionalización del ligue conlleva una resignificación y un uso de los espacios.
Entre el bar y la internet se concentra el 36% del ligue entre personas del mismo sexo en el último periodo, toda una revolución en materia de desarrollo institucional con fines socio-sexuales. Un segundo elemento del proceso de institucionalización está relacionado con la extensión del emparejamiento entre personas del mismo sexo como "modelo" de resolución erótica- afectiva, que incluye la normalización y regulación de la afectividad gay-lésbica con la afectividad heterosexual. El 95 % de los hombres encuestados y el 90 % de las mujeres manifestaron que alguna vez en su vida habían tenido una relación de pareja con alguien de su mismo sexo.
El conocimiento por parte de la familia del emparejamiento entre personas del mismo sexo y la orientación sexual de alguno de sus miembros implica una revelación del individuo frente a sí mismo y a su entorno de la condición de su sexualidad (ver la figura 4).

Fuente: elaboración propia con base en la encuesta de biográfias sexuales. Eje Cafetero, 2012.
Figura 4 Conocimiento de la relación de pareja por parte de la familia del encuestado, según cohorte de emparejamiento. Eje Cafetero, 2012
La figura 4 revela un incremento paulatino del conocimiento de la relación de pareja por parte de la familia. Para los hombres, pasa del 32 % al 65,9 %, y para las mujeres, empieza en un 53,6 % hasta llegar a un 60,8 % en la última cohorte. El proceso de coming out8, como experiencia colectiva propia de la cultura gay-lésbica y, la estructura familística de la sociedad colombiana tienden a derivar en una articulación no antagónica del emparejamiento entre personas del mismo sexo en el esquema de la "gran familia parental" y, por 10 tanto, en su institucionalización como una forma alternativa de proveer afecto y cuidado a alguno(s) de su miembros.
Amor y emparejamiento en la era del VIH-SIDA. Más apertura, menor duración
En cuanto a la duración de las relaciones de pareja en los últimos 35 años, se halló que los emparejamientos entre varones y mujeres, con y sin corresidencia (ver la tabla 1), duraron más en los momentos de mayor crecimiento de la epidemia del VIH-SIDA y tienden a disminuir en el último periodo analizado. La presencia de la epidemia es un factor por considerar en el establecimiento de relaciones de pareja de mayor duración que apostaron por la corresidencia o cohabitación, aunado al tipo de acuerdo sexual cerrado que ha predominado en la construcción de este tipo de emparejamiento.
Tabla 1 Duración mediana (en meses) del cortejo, de la relación de pareja con y sin corresidencia y de la corresidencia en cada cohorte de emparejamiento. Eje Cafetero, 2012

Fuente: elaboración propia a partir de la encuesta de biografías sexuales. Eje Cafetero, 2012.
Al parecer, los mensajes informativos y educativos de las campañas de prevención frente al VIH-SIDA que resaltan el hecho de tener pareja estable y que promueven la exclusividad sexual han tenido efecto. Esto se observa en el aumento del número de relaciones de pareja que cumplen estos requisitos en las cuatro cohortes de emparejamiento.
A pesar de la mayor disponibilidad discursiva del emparejamiento entre personas del mismo sexo durante la primera década del siglo XXI , se advierte una tendencia hacia la menor duración de dicho emparejamiento, situación que pone de manifiesto el establecimiento de relaciones de parejas monogámicas sucesivas de poca duración, fenómeno que se ha denominado efecto de monogamia serial (Gallego, 2010). Para las mujeres, este hecho comienza a manifestarse en las más jóvenes y, es evidente en la cohorte de emparejamiento 2005-2011. De igual forma, se evidencia un cambio generacional en los varones: los mayores de 40 años apostaron, y tal vez aún apuestan, por relaciones de pareja más duraderas en el tiempo, con respecto a los más jóvenes.
Trayectorias de emparejamiento en personas con prácticas homoeróticas: un rizoma complejo en la construcción de vínculos erótico-afectivos
A partir del análisis de las biografías asociadas con el establecimiento de relaciones de pareja fue posible construir tipos de trayectorias o formas de interacción sexual que reflejan las preferencias o las oportunidades que las personas tienen para construir la afectividad y el enamoramiento con otros/as. En principio se identifican siete patrones de emparejamiento (ver la tabla 2); los tres primeros señalan la exclusividad o la preferencia por un sexo/género en la construcción erótico-afectiva: trayectorias exclusivas con hombres (H-H-H), con mujeres (M-M-M) o con personas transgéneros (T-T-T). En el primer tipo se ubica el 57,4 % de los encuestados, valor un poco más bajo en las cohortes adulta e intermedia, y 10 puntos porcentuales más alto entre los más jóvenes encuestados. Estos hallazgos son consistentes con resultados de otras investigaciones adelantadas, especialmente en México9.
Tabla 2 Distribución porcentual de las trayectorias de emparejamiento de las y los encuestados, por cohorte de nacimiento. Eje Cafetero, 2012

Fuente: elaboración propia a partir de la encuesta de biografías sexuales. Eje Cafetero, 2012.
Para las mujeres, este tipo de trayectoria erótico-afectivo (solo con hombres) es relativamente bajo ocupando el 3,3 % del total; como era de esperarse, este patrón está menos presente en la biografía sexual de las mujeres adultas, más permeadas por relaciones mixtas. Las mujeres de la cohorte intermedia y joven tienen un poco más de participación porcentual, pero se asume que a medida que avanza el curso biográfico dicho patrón de relaciones tiende a disminuir. De acuerdo con los resultados de esta investigación, este tipo particular de trayectoria tiende a ocurrir durante la juventud, en pleno proceso de construcción del deseo sexual y, se desplaza hacia trayectorias transitivas o mixtas, dependiendo de las características particulares de las mujeres y del medio social, que puede ser restrictivo o indiferente frente a la construcción de la experiencia sexual.
El patrón de emparejamiento exclusivo con mujeres está presente en el 36,8 % de las encuestadas, tipología ascendente entre cohortes, situándose en el 42,8 % para las mujeres jóvenes. Para el caso de los varones, este tipo de trayectoria tiene una baja participación (2,0 %), la cual es constante entre generaciones.
Si se comparan los dos primeros patrones de construir pareja que denotan la total exclusividad hacia personas del mismo sexo, hallamos diferencias importantes por género y cohorte: en los hombres es más alta la exclusividad que en las mujeres, pues entre unos y otros existe una diferencia de 20 puntos porcentuales. Entre los más jóvenes, las diferencias se disparan 25 puntos a favor de los hombres. Este patrón, que no pudo ser constatado con otras investigaciones, llama profundamente la atención para futuros estudios, por cuanto recalca cómo la heterosexualidad permea la construcción biográfica en mujeres con prácticas homoeróticas; asunto que ha sido señalado por diversos estudios (Pinto et al., 2005; Barbosa y Hará, 2006). Lo anterior puede tener dos vértices explicativos: por un lado, ser ejemplo de la cultura patriarcal y de mandatos más fuertes hacia las mujeres en torno a la unión y la maternidad y, por otro, ser el reflejo de la tendencia hacia prácticas bisexuales, más luidas y plásticas, las cuales las mujeres han usado y seguirán usando a su favor. Entre los varones más jóvenes existe una tendencia más clara hacia la relación exclusiva con otros hombres, tal vez como un reflejo del posicionamiento de la cultura gay en el Eje Cafetero, de los movimientos sociales en torno a la diversidad sexual y del reconocimiento de derechos que en Colombia ha promovido, principalmente, la Corte Constitucional desde 2006.
El cuarto y quinto tipos de trayectorias pueden ser considerados transitivos (M-M-H-H O H-H-M-M), en la que, en la biografía de la persona, aparecen inicialmente relaciones de pareja con personas del "sexo opuesto" y luego se "transita", especialmente entre los 25 y 30 años, hacia relaciones de pareja con personas del mismo sexo. Este patrón abarca el 19,8 % de los encuestados, permaneciendo relativamente constante entre cohortes. Para las mujeres, este tipo de trayectoria está presente en una de tres, acercándose al 39 % en las cohortes intermedias y adultas, y al 27 % entre las mujeres jóvenes.
El sexto tipo de trayectoria se ha denominado alternada o mixta10 (H-M-H-T-M...), que puede tomar múltiples combinaciones en cuanto al sexo o la identidad genérica de la pareja estable; este tipo de trayectorias abarca el 16,9 % de los hombres y el 20,8 % de las mujeres, y tiende a incrementarse entre los grupos de edad, dándose la más alta participación en los encuestados mayores de 40 años. Este patrón de emparejamiento refleja cuán permeable y fluida puede ser la construcción erótica-afectiva en los sujetos, independientemente del sexo o el género de las personas. Por último se identificaron sujetos que reportaron no tener historias de pareja estable con otros varones ni con mujeres (2,7 % hombres y 4,8 % mujeres). Esta situación permanece relativamente constante entre cohortes de varones encuestados; en las mujeres se nota un patrón más consistente relacionado con la disminución entre generaciones tendiendo casi a desaparecer en el curso de vida. De nuevo, la pertenencia generacional cumple un papel central para comprender la forma como se construye o perfila un patrón determinado de relaciones. En este sentido, los tipos de trayectorias propuestos constituyen modos de entender la interacción sexual de un conjunto poblacional, pero no niegan el dinamismo y la fluidez que el mismo sujeto puede imprimirle a este constructo, transitando entre uno y otro dependiendo de las historias que construya en un futuro.
Algunos apuntes para la discusión sobre el homoerotismo en Colombia
Las formas en las que se organiza el tiempo social en la presente investigación -que permite comprender los cursos de vida de los hombres y las mujeres con prácticas homoeróticas- son problemáticas, pues tomar el VIH-SIDA como línea divisoria en la cultura sexual contemporánea tiene sus limitaciones para el caso de las mujeres, por cuanto las prácticas sexuales entre ellas no han estado tan marcadas por la epidemia. Lo anterior es una limitación de los estudios comparativos por género, por tanto, para las mujeres se debe buscar otras coordenadas que permitan organizar/ agrupar la información y así desestimar la idea de considerar la sexualidad femenina como un terreno de menor interés y que solo llama la atención en su carácter reproductivo (Careaga, 2004).
La ruta teórica y metodológica basada en el enfoque biográfico permite inferir que se asiste a un periodo de institucionalización de la vida erótica y afectiva en personas con prácticas homoeróticas, tal vez como señal de un proceso político más general. Este proceso instala unos marcos de posibilidad, pero a la vez conlleva un disciplinamiento que demarca nuevas fronteras de moralidad sexual. El hecho de que estos temas se hayan emplazado en la vida política de los Estados, y en la agenda de los organismos multilaterales y de cooperación internacional, genera discusiones en torno al concepto Ciudadanía sexual (Fassin, 2009) y sobre un régimen sexual tecnocrático y neoliberal (De la Dehesa, 2010; Gil, 2013; Giraldo y Pazos, 2015 en prensa), que tiene sus implicaciones concretas en las interacciones socio-sexuales de personas con prácticas homoeróticas.
Por otra parte, el homoerotismo en Colombia no puede comprenderse como categoría independiente de la heterosexualidad. Más de la mitad de los encuestados tienen en sus trayectorias biográficas prácticas sexuales con varones y mujeres. Se debe reconocer que la sexualidad es un entramado complejo y dinámico, que imbrica el hetero- y homoerotismo; por tanto, no puede reducirse a prácticas sexuales, orientaciones o identidades específicas. Es perentorio, entonces, hacer un llamado a las políticas públicas sobre sexualidad y a la agenda sobre diversidad sexual, que, a grandes rasgos, presumen un comportamiento lineal e institucionalizado de sus destinatarios.
Por último, los relatos sobre identidad y prácticas sexuales contienen desplazamientos y fracturas en el sujeto. Para muchos de los encuestados, una práctica sexual con alguien de su mismo sexo no deja huella o impronta biográfica, asunto que ha sido señalado por diversos estudios en América Latina (Almaguer, 1995; Parker, 1998; Gallego, 2010) y, particularmente en Colombia, por Urrea et al. (2007; 2008). De ahí que suga la pregunta: ¿Las prácticas sexuales constituyen un elemento central en el discurso que nombra las identidades sexo-genéricas en la región? ¿Qué elementos serían centrales en la definición contemporánea de la identidad en el contexto del homoerotismo? A partir del presente estudio se puede afirmar que la conformación de trayectorias sexuales tiene poca correspondencia con la forma como la academia latinoamericana ha construido y entendido el erotismo y la afectividad entre personas del mismo sexo, que se soporta, principalmente, en el modelo anglosajón de elección del objeto. Por tal motivo, se requieren marcos explicativos propios que tengan en cuenta que los procesos bajo las cuales se configura el homerotismo en la región no se corresponden estrictamente con las nominaciones sexuales e identitarias que se importan; existen fisuras, desplazamientos e hibridaciones en los discursos sexuales particulares del contexto colombiano.













