Services on Demand
Journal
Article
Indicators
-
Cited by SciELO -
Access statistics
Related links
-
Cited by Google -
Similars in
SciELO -
Similars in Google
Share
Lecturas de Economía
Print version ISSN 0120-2596
Lect. Econ. no.68 Medellín Jan./June 2008
Cronología de los ciclos de negocios recientes en Colombia
Business Cycles Chronology for Colombia
Chronologie des cycles d'affaires récents en Colombie
Luis Eduardo ArangoI; Fernando AriasI; Luz Adriana FlórezI y Munir JalilI
I Luis Eduardo Arango: integrante de la Unidad de Investigaciones Económicas del Banco de la República. Dirección electrónica: larangth@banrep.gov.co. Dirección postal: Banco de la República, Carrera 7a No. 14-78, Piso 11, Bogotá, Colombia. Fernando Arias: estudiante de economía de la Universidad Nacional quien se desempeña como asistente de investigación en el Banco de la República. Dirección electrónica. fariasr@gmail.com. Dirección postal: Banco de la República, Carrera 7a No. 14-78, Piso 11. Bogotá, Colombia. Luz Adriana Flórez: profesional de la Unidad de Programación e Inflación en el Banco de la República. Dirección electrónica: lflorefl@banrep.gov.co. Dirección postal: Banco de la República, Carrera 7a No. 14-78, Piso 11. Bogotá, Colombia. Munir Jalil: integrante de la Unidad de Investigaciones Económicas del Banco de la República. Dirección electrónica: mjalilba@banrep.gov. co. Dirección postal: Banco de la República, Carrera 7a No. 14-78, Piso 11. Bogotá, Colombia. Las opiniones expresadas en este documento son responsabilidad exclusiva de los autores y no comprometen al Banco de la República ni a su Junta Directiva. Se agradecen los comentarios y sugerencias de Andrés Langebaek.
–Introducción. –I. La metodología de Bry y Boschan (1971). –II. El caso de Estados Unidos. –III. Estimación de una cronología para Colombia. –IV. Usos de la cronología de los ciclos de negocios. –Comentarios finales. –Bibliografía. –Anexo Estadístico.
Resumen: Utilizando la metodología de Bry y Boschan (1971), este trabajo propone fechas precisas para los ciclos de negocios ocurridos en Colombia entre 1980 y 2007 identificando las fases de auge y recesión. Durante el período de análisis se presentaron cinco ciclos de negocios completos, los cuales, al igual que en el caso de Estados Unidos son asimétricos en el sentido que, las fases de expansión duran más que las de recesión. En promedio, los ciclos en Colombia entre 1983 y 2007, según el IPI (índice de la producción industrial) fueron de 45,6 meses, es decir, 3,8 años aproximadamente. Los ciclos más largos de la muestra se dieron a finales de los años ochenta y mediados de los años 90, con duraciones promedio de 68 meses.
Palabras clave: ciclo de negocios, fases del ciclo, hechos estilizados, probabilidades. Clasificación JEL: E32, E23.
Abstract: By using the methodology of Bry and Boschan (1971), this work proposes precise dates for the business cycles occurred in Colombia between 1980 and 2007 identifying the phases of boom and slump. During the sample period, five complete cycles were detected, which happened to be asymmetric such as those of the United States. This means that expansions are longer than recessions. On average, the cycles in Colombia between 1983 and 2007, according to IPI (Industrial Production Index), were of 45.6 months (3.8 years) approximately. The longer cycles occurred at the end of eighties and mid nineties with average durations of 68 months.
Keywords: business cycles, phases, stylized facts, probabilities. JEL Classification: E32, E23.
Résumé: Cet article propose des dates précises pour les cycles d'affaires produits en Colombie entre 1980 et 2007. Nous identifions les phases d'essor et de récession en utilisant la méthodologie Bry et Boschan (1971). Pendant la période d'analyse nous avons identifié cinq cycles d'affaires complets lesquels sont asymétriques dans le sens que les phases d'expansion durent plus que celles de récession, tout comme dans le cas des Etats-Unis. En moyenne, les cycles en Colombie entre 1983 et 2007 ont été de 45,6 mois, c'est-à-dire 3,8 années environ d'après l'IPI (indice de la production industrielle). Les cycles plus longs ont été constatés à la fin des années quatre-vingt et pendant la moitié des années quatre-vingt-dix avec des durées moyenne de 68 mois.
Mots clef: cycle d'affaires, phases du cycle, faits stylisés, probabilités. Classification JEL: E32, E23.
Introducción
Históricamente, las economías de mercado han tenido épocas de prosperidad y de depresión. Esta alternación constante de estados y sus períodos de transición, sumada a la dificultad que enfrentan las economías para mantener una senda de crecimiento estable y sostenible en el largo plazo, ha despertado el constante interés de los economistas, quienes han presentado diversas teorías sobre el ciclo económico, teorias que han tratado siempre de caracterizar la duración y las propiedades de los períodos de auge y depresión.
Según Burns y Mitchell (1946) los ciclos económicos son un tipo de fluctuación que se encuentra en la actividad económica agregada de las economías que organizan su trabajo principalmente mediante empresas. Un ciclo consta de expansiones que ocurren aproximadamente al mismo tiempo en muchas actividades económicas, seguidas de recesiones igualmente generales, contracciones y recuperaciones que se mezclan con la fase de expansión del siguiente ciclo. La secuencia de las fases es recurrente, pero no periódica. En cuanto a su duración, los ciclos varían entre un año y diez o doce años (Burns y Mitchell, 1946, p. 3).
Para Lucas (1977) los movimientos cíclicos no exhiben uniformidad ni en periodo ni en amplitud, lo cual significa que ellos no reproducen los movimientos determinísticos en olas que algunas veces se observan en las ciencias naturales. Esas regularidades que se observan están en los co-movimientos entre diferentes series de tiempo agregadas (Lucas, 1977, p. 9).
The National Bureau of Economic Research (NBER) se ha dedicado al estudio de los ciclos en Estados Unidos. Dicha institución se encarga, entre otras cosas, de anunciar la ocurrencia de las distintas fases de los ciclos de negocios, mostrar las características de la economía a lo largo de los mismos y justificar los anuncios.
En cumplimiento de sus tareas, el NBER ha acudido a una forma particular de definición y medición de las fluctuaciones. Según el NBER, los ciclos de negocios se definen como las subidas y caídas absolutas de algunas variables representativas de la actividad económica; por ello, es necesario estimar los períodos de fluctuación a partir de su comportamiento en niveles. El análisis del NBER se apoya en el ciclo de referencia, el cual se basa en un conjunto de indicadores de la actividad económica, y en el juicio e intuición de los integrantes del Comité al momento de determinar un punto de quiebre (turning point). La no exclusión del componente de tendencia es fundamental en la construcción de los indicadores y en los pronunciamientos del grupo de expertos.
En la determinación de los ciclos, el NBER no sólo considera la duración de la caída (subida) en el PIB, sino también la magnitud de la misma. Para realizar este análisis, además del PIB, se utilizan otras variables en frecuencia mensual entre las que se encuentran el ingreso personal neto de transferencia, el empleo, la producción industrial, el volumen de ventas de productos manufacturados y de productos al por menor.
El objetivo de este artículo es estimar las fechas en que se han presentado ciclos de negocios en Colombia a partir del método de Bry y Boschan (1971), el cual, según verificamos más delante, logra acercarse con relativo éxito a la cronología del NBER para Estados Unidos. Los puntos de quiebre se determinan con base en el Índice de Producción Industrial (IPI) y el PIB de cada uno de los dos países. Con base en la cronología resultante, se realizan dos aplicaciones; en primer lugar, se construye una función de probabilidad de las fases de expansión y recesión definidas con base en la metodología de Bry y Boschan (1971); en segundo lugar, se analizan las regularidades de dichos ciclos, especialmente de las fases de recesión. Esto es importante en la medida que las autoridades económicas pueden anticiparse a estos eventos y tomar medidas que les permitan moderar los efectos de las recesiones.
El presente trabajo sigue la línea marcada por artículos como el de Melo, French y Langebaek (1988), quienes utilizaron las variables en niveles para determinar la cronología de los ciclos de negocios en Colombia. Estos autores, utilizando 73 series, construyeron el ciclo de referencia basado en un Índice de Difusión definido como la diferencia entre la proporción de las series que tenían un comportamiento al alza y a la baja. En esta misma línea, Maurer y Uribe (1996), para calcular el ciclo de referencia, construyeron además del Índice de Difusión, definido como la proporción de variables que tuvieron un comportamiento al alza entre el total de variables consideradas, un Índice Compuesto y un Índice Compuesto Restringido; el primero con base en 54 series, el segundo como un promedio no ponderado de las tasas de crecimiento de las distintas variables, y el tercero, calculado como el anterior pero con un menor número de variables.
Nuestro trabajo se divide en cinco secciones: en la primera sección, se exponen los principales elementos de la metodología de Bry y Boschan (1971); en la segunda, se aplica dicha metodología a las series en niveles del IPI y el PIB de los Estados Unidos y, con el propósito de mostrar la bondad del enfoque, los resultados son contrastados con la cronología anunciada por el NBER; en la tercera sección, se hace el ejercicio para el caso colombiano y se propone una cronología para los ciclos de negocios recientes; la cuarta sección incluye dos aplicaciones de la cronología encontrada en la tercera sección: se hace un análisis bayesiano de la probabilidad de tener recesiones dependiendo de los estados anteriores de la economía y, posteriormente, se hace una caracterización de las fases de recesión de los ciclos recientes, recurriendo básicamente a las correlaciones del componente transitorio del PIB con los de otras variables tradicionales.
I. La metodología de Bry y Boschan (1971)
Este procedimiento tiene como propósito estimar los puntos de quiebre que resultan de aplicar la metodología y los principios de Burns y Mitchell (1946). A pesar de no incluir el análisis complementario y la intuición que se agrega en el NBER, esta metodología captura de manera relativamente eficiente los puntos de quiebre definidos por esta institución. En un ejercicio realizado por Bry y Boschan sobre 50 series desde 1947 hasta 1966 para Estados Unidos, los autores encontraron que su técnica capturaba el 95% de los puntos de quiebre identificados por el NBER, 90% de los cuales se ajustaban a la cronología oficial. Siguiendo a King y Plosser (1994), los principales pasos de dicha metodología son:
1. Determinación y suavización de los valores extremos.1
2. Determinación de los ciclos en un promedio móvil de orden 12 (con los extremos reemplazados).
i) Identificación de los puntos más altos (o bajos) tomando como rango cinco meses de cada lado del punto analizado.
ii) Imposición de la alternación de los quiebres (turnings), seleccionando sólo los picos más altos (de todos los picos) y los valles más bajos de la serie.
3. Determinación de los quiebres correspondientes en la curva de Spencer (los extremos reemplazados).2
i) Identificación de los valores más altos o más bajos dentro de un rango de +/- cinco meses.
ii) Imposición de la restricción de que la duración mínima del ciclo sea de 15 meses mediante la eliminación de los picos bajos y los grandes valles de los ciclos más pequeños.
4. Determinación de los cambios correspondientes a los promedios móviles de corto plazo de tres a seis meses, dependiendo de los meses de dominancia cíclica (MDC).3
i) Identificación de los valores más altos (bajos) dentro de +/- cinco meses de los cambios de dirección seleccionados en la Curva de Spencer.
5. Determinación de los puntos de quiebre en la serie sin suavizar.
i) Identificación de los valores más altos (bajos) dentro de un rango de [-4, 4] meses, o la amplitud asociada al MDC o el cambio seleccionado en el promedio móvil de corto plazo (tres a seis meses).
ii) Eliminación de los cambios de dirección dentro de los seis primeros y seis últimos meses de la serie.
iii) Eliminación de los picos (valles) en ambos extremos de las series que sean más pequeños (más grandes) que los valores cercanos al final.
iv) Eliminación de los ciclos cuya duración sea menor a 15 meses.
v) Eliminación de las fases cuya duración sea menor a cinco meses.
6. Presentación de los puntos de quiebre finales.
El objetivo de este procedimiento es encontrar los máximos y mínimos locales de una serie dada, recurriendo a un proceso de suavización de la misma a través de la aplicación de promedios móviles sucesivos de distinto orden. En cada instancia es necesario aplicar dos reglas fundamentales, las cuales constituyen el punto central de la técnica. Primero, un punto cualquiera es máximo (mínimo) local si es el más grande (pequeño) que los cinco meses predecesores y antecesores a su posición.4 Segundo, se condiciona a que siempre se complete un ciclo, es decir, un pico siempre es seguido de un valle y viceversa. Una vez la serie se ha depurado, se imponen los puntos de quiebre a la serie original. El resultado final se construye a partir del refinamiento de tales puntos sobre el conjunto de observaciones sin suavizar.
II. El caso de Estados Unidos
En la tabla 1 se presenta la cronología de los ciclos económicos de Estados Unidos con base en la aplicación de la metodología de Bry y Boschan (1971) al Índice de Producción Industrial, IPI-US, durante el período 1960:01 – 2007:07.5 Las fuentes de las variables se encuentran en el Anexo.
Tabla 1. Cronología de puntos de quiebre en la serie de IPI-US

De nuestras estimaciones se destacan varios hechos:
i) Durante el período de análisis se han presentado siete ciclos de los negocios completos.
ii) En general, las fases de expansión de la economía norteamericana son más largas que sus correspondientes recesiones, lo cual refleja el carácter asimétrico del ciclo de negocios, caracterizado por amplias fases de prosperidad económica detenidas por recesiones relativamente cortas.6
iii) La duración promedio de los ciclos de Estados Unidos, vistos a través del IPI, en el período de análisis es 70 meses, es decir, 5,8 años.7
iv) El ciclo más extenso de esta serie duró casi una década (de septiembre de 1990 a junio de 2000), mientras que el más corto se extendió tan sólo 18 meses (febrero de 1980 a agosto de 1981).
Para verificar la consistencia de este ejercicio, a continuación comparamos los resultados de la tabla 1 con la cronología oficial del NBER de las fases de expansión y recesión de la economía norteamericana. Los resultados son, en general, bastante similares a los de la tabla 2, aunque los segundos difieren en uno o máximo dos meses en relación con los primeros. Además, en nuestras estimaciones aparece una fase adicional que no se contempla como tal en la cronología del NBER, la cual va de enero de 1989 a julio de 1989.8
Tabla 2. Cronologí de puntos de quiebre anunciados por el NBER

Los gráficos 1 y 2 presentan nuestras estimaciones y la cronología del NBER, respectivamente. En cada una, los puntos de quiebre son marcados por líneas verticales, las zonas de auge están en blanco y las zonas de recesión en gris. Con el ánimo de hacer un análisis un poco más robusto, se realizó el mismo ejercicio para el PIB de Estados Unidos entre 1960:01 y 2007:02 en frecuencia trimestral. Los resultados de la aplicación de la metodología aparecen en la tabla 3.
Gráfico 1. Fases de auge y recesión del IPI-US con base en la metodología de Bry y Boschan
Gráfico 2. Fases de auge y recesión según NBER y el IPI-US
Tabla 3. Cronología de puntos de quiebre para el PIB-US

En términos generales, estos resultados son consistentes con los resultados de la tabla 2.9 Muchos de los puntos coinciden con la cronología del NBER (el mes dado por el NBER se encuentra dentro del trimestre correspondiente), salvo algunos que se desfasan por uno o máximo dos trimestres. Las diferencias más importante son las dos fases de recesión comprendidas entre diciembre de 1969 y noviembre de 1970 y marzo de 2001 a noviembre de 2001, las cuales son definidas por el NBER, pero no son detectadas por la metodología cuando se aplica a la serie del PIB trimestral.10 A pesar de lo anterior, la técnica de Bry y Boschan (1971) sí permite capturar estas fases utilizando el IPI. En general, esta variable, para el caso de Estados Unidos, ofrece más información sobre los ciclos de negocios determinados por el NBER.
Gráfico 3. Fases de auge y recesión en el PIB de Estados Unidos con base en la metodología de Bry y Boschan
Gráfico 4. Fases de auge y recesión en Estados Unidos según NBER
III. Estimación de una cronología para Colombia
Replicando el ejercicio anterior, la tabla 4 muestra los puntos de quiebre encontrados en el Índice de Producción Industrial de Colombia, IPI-Col, entre 1980:01 y 2007:03. Los resultados muestran:
- Durante el período de análisis se presentaron cinco ciclos de negocios completos.
- De forma análoga al caso estadounidense puede evidenciarse una asimetría en el ciclo colombiano identificada con la mayor duración de las fases de expansión comparadas con las de recesión.
- En promedio, los ciclos en Colombia entre 1983 y 2007, según el IPI, fueron de 45,6 meses, es decir, 3,8 años.
- Los ciclos más largos de la muestra se dieron a finales de los años ochenta y mediados de los años 90, con duraciones promedio de 68 meses.
- La serie comienza en un período de recesión, cuyo origen no puede establecerse a partir de la información disponible. Su punto más bajo es alcanzado en marzo de 1983 (por ello demarcamos este período con gris en el gráfico 5).
- Analizando los cambios porcentuales entre los valles y los picos encontrados: se observa que el máximo crecimiento fue 46%, mientras que el mínimo fue 15%.11 En promedio, los cambios porcentuales de las expansiones son iguales a 25% (tabla 5).
- El decrecimiento más pronunciado de picos a valles es 24%, mientras que el más suave fue 7%.12 La tasa de decrecimiento promedio fue 11% en todo el período de análisis
Tabla 4. Cronología de puntos de quiebre según IPI

Tabla 5. Características del ciclo de negocios basado en el IPI

Gráfico 5. Fases de auge y recesión en Colombia determinadas con base en la metodología de Bry y Boschan aplicada al IPI
Es importante señalar cómo la metodología captura algunos hechos históricos del desempeño reciente de la economía colombiana. Entre ellos, las crisis de comienzos de los años 80, 1999 y la bonanza de comienzos de los 90. Los puntos de quiebre de la serie del PIB colombiano entre 1977:01 y 2007:01 se presentan en la tabla 6 y en el gráfico 6.
Tabla 6. Cronología de puntos de quiebre basados en el PIB

Gráfico 6. Fases de auge y recesión en Colombia determinadas con base en la metodología de Bry y Boschan aplicada al PIB trimestral
Cuando se utiliza la serie del PIB no es posible determinar el mismo número de puntos de quiebre que en el caso del IPI, ya que solamente se marcan las dos épocas de crisis, incluyendo la de 1999. Según el NBER, la utilización exclusiva del PIB en la determinación de los puntos de quiebre no es la más adecuada, dado que esta serie es objeto de revisiones. Adicionalmente, la utilización de series mensuales permiten una mejor aproximación cronológica a la determinación de los puntos de quiebre. Como se pudo observar para el caso de Estados Unidos, la utilización exclusiva del PIB no permitió capturar todas las fases definidas por el NBER y, por el contrario, el IPI-US resultó más informativo.13
En cuanto a las fases de recesión (junio de 1988 a noviembre de 1988, abril de 1990 a marzo 1991, octubre de 1995 a noviembre 1996 y agosto de 2000 a marzo 2002) el IPI ofrece más información que el PIB trimestral. Por esta razón, creemos que la primera variable de actividad económica es más rica para el análisis de los ciclos de negocios recientes en Colombia. Desafortunadamente, la cronología de los ciclos económicos estimada en este trabajo no coincide ni con la de Melo, French y Langebaek (1988) ni con la de Maurer y Uribe (1996), las cuales tampoco coinciden entre sí.14 Sin embargo, la nuestra tiene la ventaja de tener un buen comportamiento estimando la cronología reportada por el NBER para los Estados Unidos y partimos de la base que dicho desempeño se mantiene para el caso colombiano.
Contar con una cronología de los ciclos de negocios permite realizar distintos ejercicios empíricos, aunque en la sección siguiente solamente se realizan dos de ellos. En primer lugar se estiman las distribuciones de probabilidad de las recesiones y expansiones y, en segundo lugar, la correlación del componente transitorio del PIB con los componentes similares de otras variables representativas de la actividad económica.15
IV. Usos de la cronología de los ciclos de negocios
A. Análisis de las distribuciones de recesiones y expansiones
En este aparte se construye una función de probabilidad para las fases de expansión y recesión de la economía colombiana con base en la cronología encontrada en la sección III. Para esto se toman el PIB trimestral desde 1978 hasta 2007 y las fechas arrojadas por la metodología de Bry y Boschan. Con estos insumos las funciones de distribución de probabilidad de las fases son caracterizadas, tanto para las fases de expansión como para la de recesión, a través de un Kernel no paramétrico (Pagan y Ullah, 1999). Posteriormente, se calculan las probabilidades de estar o no en dichas fases.
Con la información disponible entre 1978:1 y 2007:1, se observa que 40 de los 117 trimestres fueron clasificados como recesión y los 77 restantes como expansión. Si los 40 trimestres de recesión se consideran representativos de una población particular,16 la tasa de crecimiento promedio es 1,56%, con una desviación estándar de 2,8.
El panel superior del gráfico 7 muestra un estimador Kernel no paramétrico de la densidad de estos 40 trimestres.17 Se observa allí que, aunque hay datos negativos que hacen parte de las fases de recesión, la mayoría de las observaciones corresponden a crecimientos positivos (31 de los 40 trimestres clasificados como recesión desde 1978, presentaron crecimientos positivos).
Gráfico 7. Densidades de recesiones y expansiones
El panel inferior del gráfico 7 muestra la densidad correspondiente a los 77 trimestres clasificados como expansiones. Estos se caracterizan por una tasa promedio de crecimiento de 4,6% y una desviación estándar de 1,9%. Esta distribución se encuentra dominada en su totalidad por tasas de crecimiento positivas, por lo cual existe una probabilidad mínima de observar un crecimiento algo negativo durante una expansión.
Si se selecciona una tasa de crecimiento al azar, existe 34% de probabilidad de que pertenezca a uno de los 40 trimestres clasificados como recesión y un 66% de que haga parte de los trimestres de expansión, lo cual refleja la asimetría propia de los ciclos de negocios. La distribución no condicional de las tasas de crecimiento del PIB se puede ver (gráfico 8) como una combinación de las dos distribuciones del gráfico 7.
Gráfico 8. Densidad conjunta de crecimiento del PIB y probabilidad de recesión dado un crecimiento del PIB en t.
Esta combinación se muestra en el panel superior del gráfico 8, en el cual la altura de la línea punteada larga es el resultado de multiplicar la curva del panel superior del gráfico 7 por 0,34. La línea punteada corta representa 0,66 veces la curva inferior del gráfico 7. La suma de estas dos curvas (la línea sólida en el panel superior del gráfico 8) representa la densidad no condicional de la tasa de crecimiento trimestral sin saber si el trimestre fue clasificado o no como una recesión.
Del panel superior del gráfico 8 es posible hacer una predicción acerca de cómo la metodología de Bry y Boschan clasificará una variación dada. Si el PIB cae más de 2%, la mayoría de la altura de la línea sólida proviene de la línea punteada larga, sugiriendo que es muy probable que ese trimestre sea clasificado como una recesión. Si el producto se incrementa más de 7%, muy poco de la densidad viene de la línea punteada larga, esperaremos que la metodología clasifique ese trimestre como una expansión.
Es posible utilizar la razón entre el alto de la línea punteada larga y el alto de la línea sólida como una medida de la probabilidad de que la metodología de Bry y Boschan clasifique un trimestre, con un crecimiento del PIB dado, como una recesión. Esta razón se encuentra en el panel inferior del gráfico 8.
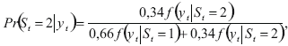
Utilizar dicha razón de esa manera resulta intuitivo; se trata de una aplicación de la ley de Bayes para este caso particular. Específicamente, sea St = 1 si la técnica de Bry y Boschan (1971) clasifica el trimestre t como una expansión, y St = 2 si lo hace como recesión. Sea yt la tasa de crecimiento del PIB; entonces f(yt|Sy = 2) es la densidad de las tasas del PIB en una recesión, cuyo estimador no paramétrico se presenta en el panel superior del gráfico 7, mientras que la densidad de la expansión f(yt|Sy = 1) corresponde al panel inferior. Por lo tanto, Pr(St = 2)= 0,34 es la probabilidad de que cualquier trimestre sea clasificado como una recesión.
La ley de Bayes sugiere que la probabilidad de que la metodología de Bry y Boschan, aplicada al PIB de Colombia, determine que hay una recesión dada una tasa de crecimiento para el trimestre puede calcularse como:

donde f(yt|Sy = 2) Pr(St = 2) es la altura de la línea punteada larga del gráfico 8, mientras que f(yt|Sy = 1) Pr(St =1) es la altura de la línea punteada corta. Así, la razón diagramada en el panel inferior del gráfico 8 es:

Esta expresión es en efecto la predicción óptima Pr(St = 2 |yt) sobre la que el enfoque de Bry y Boschan determinará si el crecimiento del PIB en el trimestre t es yt.
Predecir lo que la metodología dirá cuando utilizamos tasas extremas del -2% o del 7% es robusto y sensato. Desafortunadamente no es muy útil, dado que la gran mayoría de los crecimientos no se encuentran en estos extremos y para datos típicos la predicción sobre lo que el enfoque de Bry y Boschan estimará no es muy precisa. Felizmente, existe otra pieza de información sobre las clasificaciones que puede ser muy útil: que la metodología generalmente hace la misma declaración en t+1 y en t. En particular, de los 40 trimestres catalogados como recesión, 34 (85%) fueron seguidos por otro trimestre de recesión; mientras que, de los 77 trimestres de expansión, 70 (91%) fueron seguidos por otro trimestre de expansión.
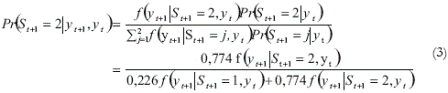
Supongamos que observamos un crecimiento particular del PIB en el trimestre t de yt; tal vez este es un valor como yt = - 2, el cual creemos con confianza que será descrito como una recesión. Dada esta información, la probabilidad de que el siguiente trimestre t+1 sea también clasificado como una recesión no es 0,34 sino mucho más alta. Específicamente:

donde suponemos que Pr(St+1 = 2|St = 2, yt) = Pr(St+1 =2|St = 2)= 0,85. Por ejemplo, si existe evidencia convincente de una recesión en el período t (digamos, Pr(St = 2 yt) = 0,9), entonces la probabilidad de que continuemos en recesión en t+1 sería (0,85)(0,9)+(1-0,9)(1-0,9)= 0,774. Si obtenemos información de la tasa de crecimiento en t+1, la inferencia sobre St+1 no se encuentra en la altura del panel superior del gráfico 8, sino, por el contrario, en una combinación cuya probabilidad de recesión es 0,774 en vez de 0,34. En otras palabras, la ecuación (1) sería reemplazada con:

Si suponemos que las recesiones son la única fuente de dinámica del PIB, de tal manera que f(yt+1|St+1, yt) = f(yt+1|St+1), podríamos utilizar la distribución dada en la parte superior del gráfico 7 para cualquier valor dado de yt+1 como nuestro estimador de f(yt+1|St+1, 2,yt), en cuyo caso estaríamos reemplazando la combinación del panel superior del gráfico 9 (la cual suponía un peso de la recesión de 34% y 66% para las expansiones) con una combinación que pone 77,4% en la densidad de recesión y 22,6% en la de expansión, lo cual se muestra en el gráfico 9. La razón entre la altura de la curva punteada larga y la curva sólida del panel superior del gráfico 9 es equivalente a la ecuación (3), la cual se muestra en el panel inferior de dicho gráfico.
Gráfico 9. Densidad conjunta de crecimiento del PIB dada la persistencia de recesiones y probabilidad asociada
Con suficiente certeza sobre la existencia de una recesión en el trimestre t, estamos más dispuestos a calificar el trimestre siguiente (t+1) también como una recesión.
El gráfico 10 compara, para los crecimientos dados en Colombia, los resultados de las ecuaciones (2) y (3). El panel superior calcula Pr(St+1 = 2|yt) es decir, la probabilidad de estar en una recesión en el trimestre t+1 dado un crecimiento del PIB en el trimestre t. El panel inferior calcula Pr(St+1 = 2|yt+1 yt), que es la probabilidad de estar en una recesión en t+1, dados los crecimientos del PIB en t y t+1. Las figuras son similares aunque, como es de esperar, cuando las probabilidades se actualizan con los datos de los crecimientos en t+1, sus niveles mejoran mucho más.
Gráfico 10. Probabilidad de recesión dado un crecimiento en t y conjunto en t y t+1 asociada
B. Caracterización de los ciclos
En este aparte se utiliza la cronología estimada de los ciclos de negocios para analizar algunas regularidades que se desprenden de los mismos, lo cual, además de ser interesante en sí mismo, nos ayuda a determinar si en Colombia ha existido similitud en los detonantes o causantes de las recesiones. Este ejercicio brinda, además, la oportunidad de anticipar una recesión y tomar decisiones que permitan moderar el impacto de la misma.
1. Regularidades del ciclo económico colombiano y evidencia internacional
Siguiendo la práctica usual se extrae el componente permanente de un grupo de variables de orden macroeconómico, para lo cual se utiliza el filtro de Hodrick y Prescott (1980); posteriormente, se estiman correlaciones entre el componente transitorio de cada una de ellas18 y el del PIB (tabla 7). Esto permite verificar si las variables son procíclicas, contracíclicas, acícilicas o líderes.19
Tabla 7. Regularidades de los ciclos de negocios en Colombia

Las variables utilizadas, en frecuencia trimestral entre 1977:01 y 2007:02,20 son: PIB, inversión, inversión privada, inversión privada en construcción, inversión privada en maquinaria y equipo, inversión pública, exportaciones, importaciones, consumo privado, consumo público, consumo de bienes no durables, consumo de bienes semidurables, consumo de servicios, consumo de durables, consumo de energía, pedidos de la industria, PIB agrario, PIB industrial, PIB de la construcción, PIB de transportes y comunicaciones, PIB de servicios financieros y otros, PIB de servicios comunales, sociales y personales, empleo, tasa de desempleo, términos de intercambio, tasa de cambio real, tasa de interés CDT real a 90 días, tasa de interés externa a 10 años, inflación, tasa de interés externa real a 90 días, precio del café en términos reales, precio real del petróleo, índice de la bolsa en términos reales, índice del precio de vivienda usada, base monetaria, M1, M3, cartera total, cartera de microcréditos, cartera de consumo, cartera comercial, cartera hipotecaria, gasto del gobierno nacional central, gasto del sector público no financiero, índice Dow Jones en términos reales, licencias de construcción, y PIB de Estados Unidos. En la tabla 7 se presentan los resultados que mostraron coeficientes de correlación mayores a 0,5.
En la primera columna de la tabla 7 aparecen las series clasificadas según el coeficiente de correlación encontrado, en la segunda columna se incluye el número de trimestres en los que cada variable lidera el PIB, y en la tercera columna el signo de la correlación. En este sentido, series como inversión privada y pública, importaciones, consumo, industria, comercio, agregados y cartera, presentaron coeficientes de correlación contemporáneos con el ciclo del PIB superiores a 0,5, por lo cual son calificadas como procíclicas. Resultados que coinciden con la evidencia observada a nivel internacional.21 La tasa de desempleo resultó ser contracíclica, lo cual está en línea con lo sugerido por la teoría de ciclos económicos reales. Las únicas variables líderes encontradas fueron el agregado M1 y el consumo público. La primera, lidera el PIB con signo positivo un trimestre y la segunda lo lidera 11 trimestres pero con signo negativo. Esto significa que un incremento del consumo público genera una caída del PIB 11 trimestres adelante.
2. ¿Son similares los detonantes de las recesiones en Colombia?
Un ejercicio complementario al anterior consiste en tratar de observar cuáles han sido los detonantes de las crisis colombianas y si estos se repiten en el tiempo. Este ejercicio sólo se realizó para el caso de las recesiones dado que, para las autoridades, es más relevante poder anticiparse a ellas y tomar decisiones de política con base en esta información. Para llevar a cabo este ejercicio se tomó la cronología encontrada en la sección III y se observó el comportamiento de las variables un año antes del inicio de la fase de recesión. Los períodos de recesión para los cuales se realizó este ejercicio son: abril de 1990 a marzo de 1991, octubre de 1995 a diciembre de 1996, marzo de 1998 a mayo de 1999 y agosto de 2000 a marzo de 2002.
En cada uno de los gráficos siguientes se muestran únicamente las variables que presentaron un deterioro significativo en el periodo anterior a la crisis. La mayoría de estas variables se encuentran en variaciones anuales pero los flujos de capital y la cuenta corriente se presentan en millones de dólares para facilitar su análisis, dada la volatilidad de las series.
Para la fase de recesión comprendida entre abril de 1990 y marzo de 1991 se observa que el consumo público, la inversión pública, la base monetaria, las licencias de construcción, los precios internacionales, especialmente del café, y el PIB de los Estados Unidos se deterioraron trimestres antes de que la economía comenzara a desacelerarse (tabla 8).
Tabla 8. Un año antes de la fase de recesión ocurrida entre abril de 1990 y marzo de 1991

En la fase de recesión comprendida entre octubre de 1995 y noviembre de 1996 se observa que la inversión privada (tanto de construcción como maquinaria y equipo), la construcción, las acciones, la base monetaria, la cartera, las licencias de construcción, los pedidos de la industria, los precios internacionales especialmente del café y el PIB de los Estados Unidos se deterioraron trimestres antes de la recesión (tabla 9).22 Tenjo et al. (2007), han resaltado la importancia de los capitales extranjeros en esta fase de expansión dado su papel como acelerador financiero.
Tabla 9. Un año antes de la fase de recesión ocurrida entre octubre de 1995 y noviembre de 1996

De manera análoga, en la fase de recesión comprendida entre marzo de 1998 y mayo de 1999, se observa que el consumo público, la base monetaria, los flujos de capital de corto y largo plazo, y el precio del petróleo, se deterioraron trimestres antes de que la economía comenzara a desacelerarse. El papel de los flujos de capital fue determinante en la crisis económica, como se observó en la fase anterior, (tabla 10).
Tabla 10. Un año antes de la fase de recesión ocurrida entre marzo de 1998 y mayo de 1999

Finalmente, para la fase de recesión comprendida entre agosto de 2000 y marzo de 2002 se observa que el consumo público, las acciones, el consumo de energía, la cartera total, los flujos de capital de corto plazo y el PIB de los Estados Unidos se deterioraron trimestres antes de que la economía comenzara a desacelerarse (tabla 11). Para esta fase de recesión es difícil definir el principal detonante de la crisis.
Tabla 11. Año antes a la fase de recesión ocurrida entre agosto de 2000 y marzo de 2002

Así, analizando las fases de desaceleración definidas por la metodología Bry y Boschan, se encuentra que el consumo público, los términos de intercambio, especialmente el precio del café y el petróleo, el PIB de los Estados Unidos, los flujos de capital y los agregados monetarios, en la mayoría de los periodos estudiados, se desaceleraron trimestres antes de la caída en el producto. Otras variables como las acciones, la cartera total y las licencias de construcción mostraron también caídas en dos de los cuatro períodos analizados, esto es también observado por Tenjo et al. (2007).
Como sabemos, las condiciones de cada recesión son muy diferentes, sin embargo, una economía pequeña y abierta como Colombia, está expuesta a cualquier cambio en las condiciones externas, de ahí que estos factores sean los que han jugado un papel más importante en la mayoría de las recesiones. Estos resultados van en línea con lo encontrado por otros autores como Fernández y González (1999), Tenjo et al. (2007) y Posada (1999). Sin embargo, es difícil ubicar estos resultados en un contexto histórico, pues esta cronología es la primera propuesta en Colombia.
Comentarios finales
El algoritmo de Bry y Boschan (1971) para determinar los puntos de quiebre y, con ello, las fases de auge, recesión y el ciclo de negocios en conjunto, tiene un desempeño altamente satisfactorio cuando se aplica a la producción industrial y al PIB de Estados Unidos y se compara con los resultados anunciados por el NBER.
Su aplicación para el caso colombiano, que según nuestro conocimiento es la primera vez que se intenta, sugiere la existencia de fases en fechas específicas. De acuerdo con los resultados, durante los últimos 26 años hemos tenido en Colombia cinco ciclos completos, cuya duración promedio se aproxima a cuatro años. Sin embargo, se alejan de otras estimaciones realizadas anteriormente en las investigaciones de Melo, French y Langebaek (1988) y Maurer y Uribe (1996).
Con los ciclos de negocios definidos para Colombia se construye una función que expresa la probabilidad de estar en recesión. De este ejercicio sobresale la asimetría de los ciclos en Colombia y se encuentra que la probabilidad de estar en recesión con un crecimiento menor al 2% es muy alta, al igual que la probabilidad de estar en expansión con un crecimiento de 7%.
Finalmente, se analizan las regularidades de los ciclos encontrados para el caso colombiano y se encuentra que el papel que juegan las variables externas, como términos de intercambio y flujos de capital, en las etapas de recesión es de vital importancia.
Bibliografía
1. Arango, Luis Eduardo y Castill o, Mauricio (1997). "¿Son estilizadas las regularidades del ciclo económico? Una breve revisión de literatura", Borradores de Economía, No. 115, pp. 1-46. [ Links ]
2. Michael J. Artis, Zenon G. Kontolem is and Denise R. Osborn (1997). "Business Cycles for G7 and European Countries", The Journal of Business, Vol. 70, No 2, pp. 249 – 279. [ Links ]
3. Bry, George y Boschan, Charlotte (1971). Cyclical analysis of time series: Selected procedures and computer programs, NBER, New York, NY. [ Links ]
4. Boldin, Michael D. (1994). "Dating Turning Points in the Business Cycle", The Journal of Business, Vol. 67, No 1, pp. 97 – 131. [ Links ]
5. Boschan, Charlotte y Ebanks, Walter (1978). "The Phase Average Trend: A New Way of Measuring Economic Growth", en Proceedings of the Business and Economic Statistics Section, American Statistics Association, pp. 332 – 335. [ Links ]
6. Burns, Arthur y Mitchel , Wesley (1946). Measuring Business Cycles, NBER Studies in Business Cycles, NBER, New York. [ Links ]
7. Chauvet, Marcelle y Hamilton, James (2006). "Dating Business Cycle Turning Points", en Nonlinear Time Series Analysis of Business Cycles, Costas Milas, Philip Rothman, y Dick van Dijk, Elsevier (eds.), North Holland. [ Links ]
8. Everts, Martin (2006). Duration of Business Cycles, University of Bern, Economics Department. [ Links ]
9. Fernández Mej ía, Cristina, Gonzále z, Andrés (2000). "Integración y Vulnerabilidad Externa en Colombia", Borradores de Economía, No 156, pp. 1-27 [ Links ]
10. Haberler, Gottfried (1946). Ensayos Sobre el Ciclo Económico, Editorial Siglo XXI. [ Links ]
11. Harding, Don y Pagan, Adrian (1999). "Dissecting the Cycle", Melbourne Institute Working Paper, No 13. [ Links ]
12. Inklaar, Robert; Jacobs, Jan y Romp , Ward (2003). "Business cycle indexes: Does a heap of data help?", Discussion Paper 200312, University of Groningen, CCSO Centre for Economic Research. [ Links ]
13. King, Robert y Plosser, Charles (1994). "Real Business Cycles and the Test of the Adelmans", Journal of Monetary Economics, No 33, pp. 405 – 438. [ Links ]
14. Lancaster, Tony (2004). An Introduction to Modern Bayesian Econometrics, Blackwell Publishing, USA. [ Links ]
15. Lucas, Robert Jr. (1977). "Understanding Business Cycles", en Stabilization of the Domestic and International Economy, K. Brunner y A.H. Metzler (eds.), Carnegie-Rochester Conference Series on Public Policy, 5, pp. 7-29. Amsterdam, North Holland. [ Links ]
16. Maurer, Martín. y Uribe , María (1996). "El Ciclo de Referencia de la Economía Colombiana", Archivos de Macroeconomía, No. 42, DNP, pp. 1-34. [ Links ]
17. Mel o, Giraldo; French, Collazos y Langeb aek , Rueda (1988). "El Ciclo de Referencia de la Economía Colombiana", Hacienda, 12, pp. 43-61. [ Links ]
18. Mönch, Emanuel y Uhlig, Harald (2005). "Towards a Monthly Business Cycle Chronology for the Euro Area", SFB Discussion Papers, No. 649, Humboldt- Universität zu Berlin. [ Links ]
19. Pagan, Adrian y Ull ah, Aman (1999). Non Parametric Econometrics, Cambridge University Press, USA. [ Links ]
20. Posada, Carlos Esteban (1999). "Los ciclos económicos colombianos en el siglo XX", Borradores de Economía, No. 126, pp. 1-73. [ Links ]
21. Tenjo Galarza, Fernando; Charry, Luisa Fernanda; Lópe z Piñeros, Martha Rosalba y Ramírez Cortés, Juan Mauricio (2007). "Acelerador Financiero y Ciclos Económicos en Colombia: Un ejercicio exploratorio", Borradores de Economía, No. 451, pp. 1-25. [ Links ]
22. Zarnowitz, Victor y Ozyildirim, Ataman (2006). "Time Series Decomposition and the Measurement of Business Cycles, Trends and Growth Cycles", Journal of Monetary Economics, No. 53, pp. 1717 – 1739. [ Links ]
Primera versión recibida en abril de 2008; versión final aceptada en junio de 2008
Anexo Estadístico
En la siguiente sección se muestran las variables usadas en el cálculo de todos los ejercicios aquí consignados. Cada variable viene acompañada de su tratamiento específico y su fuente asociada.
IPI USA desestacionalizada. fuente: Federal Reserve.
PIB de USA desestacionalizada. fuente: Bureau Economic Statistic
PIB de Colombia con ilícitos desestacionalizada. fuente: DANE
IPI Colombia, desestacionalizada por el método TRAMO controlando por días hábiles. fuente: DANE
Inversión. fuente: DANE
Inversión privada. fuente: DANE
Inversión privada en construcción. fuente: DANE
Inversión privada en maquinaria y equipo. fuente: DANE
Inversión pública. fuente: DANE
Exportaciones. fuente: DANE
Importaciones. fuente: DANE
Consumo privado. fuente: DANE
Consumo público. fuente: DANE
Consumo de bienes no durables. fuente: DANE
Consumo de bienes semidurables. fuente: DANE
Consumo de servicios. fuente: DANE
Consumo de durables. fuente: DANE
Consumo de energía. fuente: DANE
Pedidos de la industria. fuente: DANE
PIB agrario. fuente: DANE
PIB industrial. fuente: DANE
PIB de la construcción. fuente: DANE
PIB de transportes y comunicaciones. fuente: DANE
PIB de servicios financieros y otros. fuente: DANE
PIB de servicios comunales, sociales y personales. fuente: DANE
Empleo. fuente: DANE
Tasas de desempleo. fuente: DANE
Términos de intercambio. fuente: Banco de la República
Tasa de cambio real. fuente: Banco de la República
Tasa de interés CDT real a 90 días. fuente: Banco de la República
Tasa de interés externa a 10 años. fuente: Datastream
Inflación. fuente: Banco de la República
Tasa de interés externa real a 90 días. fuente: Datastream
Precio del café en términos reales. fuente: Datastream
Precio real del petróleo. fuente: Datastream
Índice de la bolsa en términos reales. fuente: Banco de la República
Índice del precio de vivienda usada. fuente: Banco de la República
Base monetaria. fuente: Banco de la República
M1. fuente: Banco de la República
M3. fuente: Banco de la República
Cartera total. fuente: Banco de la República
Cartera de microcréditos. fuente: Banco de la República
Cartera de consumo. fuente: Banco de la República
Cartera comercial. fuente: Banco de la República
Cartera hipotecaria. fuente: Banco de la República
Gasto del gobierno central. fuente: Sector público, Banco de la República
Gasto del sector público no financiero. fuente: Sector público, Banco de la República
Índice Dow Jones en términos reales. fuente: Datastream
Licencias de construcción. fuente: DANE.
Notas
1 Artis et al. (1997) para reemplazar los valores extremos, utilizan el siguiente algoritmo: el valor que se identifica como extremo, xt, es reemplazado por el promedio de las dos observaciones adyacentes, es decir, (xt-1 + xt+1)/2. Everts (2006) considera, por el contrario, que dichas observaciones extremas deben ser eliminadas y reemplazadas por su respectivo valor en la curva de Spencer, mientras que otros, como por ejemplo Inklaar (2003), consideran que no es necesario eliminar dichos outliers, ya que estos hacen parte del comportamiento de la serie analizada.
2 Una curva de Spencer es un promedio móvil ponderado de 15 meses, donde a las observaciones se les asignan las siguientes ponderaciones: [-3, -6, -5, 3, 21, 46, 67, 74, 67, 46, 21, 3, -5, -6, -3]/320.
3 Los MDC se definen como la relación entre el componente cíclico y el irregular en promedio. Es una medida que permite identificar el nivel de suavización de una serie, respecto a dichos componentes.
4 Para el caso de datos trimestrales, se pasa de cinco meses a dos trimestres.
5 Se agradece a Michael Inklaar de la Universidad de Groningen el préstamo de su código MATLAB sobre la metodología de Bry y Boschan, el cual a su vez se basa en el código GAUSS elaborado por Mark Watson.
6 Boschan y Ebanks (1978) aseguran que el ciclo económico adquirió tal comportamiento desde la época posterior a la segunda guerra mundial.
7 La duración de los ciclos de negocios anunciados por el NBER para este período es de 81,6 meses, es decir, 6,8 años en promedio.
8 Si obviamos esta fase del ciclo en el IPI estadounidense, la nueva duración promedio de los ciclos pasa de 5,8 años a 6,8, exactamente el mismo valor que se extrae de los datos oficiales del NBER.
9 Se debe tener en cuenta que los datos de la tabla 2 están en frecuencia mensual, mientras que los de la tabla 3 son trimestrales.
10 Este evento tiene grandes posibilidades de ocurrencia, ya que el comité del NBER analiza una amplia gama de series e indicadores antes de dar a conocer la fecha estimada de un turning point. En esa medida, puede suceder que esta fase del ciclo se haya detectado más en otras variables que en el PIB, o que la metodología de Bry y Boschan (1971) sea muy exigente en cuanto a ese periodo y el comité haya sido un poco más laxo.
11 El primer cambio ocurrió entre marzo de 1983 y junio de 1988, mientras que el segundo se presentó entre noviembre de 1996 y marzo de 1998.
12 El primero tuvo lugar entre marzo de 1998 y mayo de 1999, mientras que el segundo se presentó en tres puntos distintos: de junio de 1988 a noviembre de 1988; abril de 1990 a marzo de 1991 y de agosto de 2000 a marzo de 2002.
13 Las fases de recesión comprendidas entre diciembre de 1969 y noviembre de 1970 y entre marzo y noviembre de 2001 no pasaron las reglas impuestas por Bry y Boschan, o fueron detectadas por otras variables con excepción del PIB.
14 La cronología que se deriva de Maurer y Uribe (1996) permite estimar un ciclo promedio de 46 meses en tanto que la de Melo et al. (1988) es de 67 meses. Recordemos que el ciclo medio nuestro es de 45,6 meses.
15 Este último ejercicio está claramente más asociado al concepto de ciclos de crecimiento que de al ciclo de negocios (ver Arango, Arias y Flórez, 2007).
16 Esto es: cómo se ve el crecimiento cuando la economía está en recesión.
17 Este fue estimado utilizando la instrucción kdensity de Stata con un kernel Gaussiano.
18 Esto es, la diferencia entre la variable observada y el componente permanente.
19 Se dice que una serie es procíclica si su correlación contemporánea cruzada con el producto es positiva, es contracíclica si su correlación es negativa y acíclica si la correlación es no significativa. Adicionalmente, una serie es líder si la correlación cruzada con el producto futuro es mayor que la correlación contemporánea.
20 Algunas de las variables sólo se encuentran disponibles desde 1994 ó 1999, como es el caso de los bienes de consumo y la cartera por grupos. Las fuentes de estas series se encuentran en el anexo estadístico.
21 Según Arango y Castillo (1997) en algunos países la inversión y el consumo son procíclicas, aunque los agregados monetarios no presentan un patrón claro.
22 La serie pedidos de la industria es un balance de respuestas; por esta razón, se presenta el balance y su variación anual.























