Services on Demand
Journal
Article
Indicators
-
Cited by SciELO -
Access statistics
Related links
-
Cited by Google -
Similars in
SciELO -
Similars in Google
Share
Lecturas de Economía
Print version ISSN 0120-2596
Lect. Econ. no.68 Medellín Jan./June 2008
Versión real y versión monetaria de una economía de mercado artesanal
Real and Monetary Approach to the Handcraft Economy
Variation réelle et variation monétaire sur le thème d'une économie de marché de structure artisanale
Fabrice TricouI
I Fabrice Tricou: profesor de la Universidad Paris 10 Nanterre, Francia. Dirección electrónica: fabrice.tricou@u-paris10.fr. Dirección postal: EconomiX, Université Paris 10 Nanterre, 200. Avenue de la République, 92001 Nanterre Cedex, Francia. Este artículo constituye un resultado parcial derivado de un largo proyecto de investigación que está siendo desarrollado en el laboratorio Economix desde hace varios años. Agradezco a Paula Cristófalo y Jorge Sosa por sus correcciones lingüísticas.
–Introducción. –I. Dos opciones teóricas y cuatro infraestructuras de economía. –II. La estructura de economía artesanal como forma de economía de mercado. –Conclusiones. –Bibliografía.
Resumen: La economía artesanal representa específicamente la división social del trabajo porque trata de una economía de intercambio entre productores independientes; ella integra la producción (a diferencia de la economía de intercambio puro) pero descarta la división técnica del trabajo (a diferencia de la economía capitalista). Este texto presenta un modelo real y un modelo monetario de una economía artesanal en la cual cada productor especialista-consumidor generalista, pretende maximizar su utilidad. Mientras que en el primer modelo se dibuja una "economía del mercado general" asociada a los precios relativos de equilibrio, el segundo modelo monetario resume una "economía de los mercados particulares" conectada a precios absolutos de desequilibrio.
Palabras clave: precios, equilibrio, dinero, formación de precios, heterodoxia. Clasificación JEL: B30, B50, D46, D50, E23.
Abstract: The handcraft market represents the social division of work because it is referred to the exchange between separated producers; unlike pure exchange and capitalist economies, the handcraft economy integrates production but gets rid off the technical division of work. This paper displays both real and monetary models of the handcraft market where each consumer-producer generalist, maximizes his utility function. In the first model a "general market economy" arises, which is related to relative equilibrium prices, whereas in the second one, the monetary model, a "particular market economy" arises, which is linked to absolute disequilibrium prices.
Keywords: prices, equilibrium, money, pricing, heterodoxy. Classification JEL: B30, B50, D46, D50, E23.
Résumé: Comme économie d'échange entre producteurs indépendants, l'économie artisanale représente spécifiquement la division sociale du travail. Elle intègre la production (à la différence de l'économie d'échange pur), mais elle écarte la division technique du travail (à la différence de l'économie capitaliste). Ce texte présente un modèle réel et un modèle monétaire d'une économie artisanale dans laquelle chaque producteur spécialiste-consommateur généraliste cherche à maximiser son utilité. Alors que le premier modèle dessine une "économie du marché général" associée à des prix relatifs d'équilibre, le modèle monétaire esquisse une "économie des marchés particuliers" reliée à des prix absolus de déséquilibre.
Mots cléf: prix, équilibre, monnaie, formation des prix, hétérodoxie. Classification JEL: B30, B50, D46, D50, E23.
Introducción
Si se compara la economía política tradicional con la ciencia económica contemporánea, es evidente que esta última se caracteriza por su perfeccionamiento técnico y sus desarrollos analíticos. Por un lado, la generalización de un mismo tipo de modelización, la cual permite una clarificación de las hipótesis y un control de los resultados, es comúnmente interpretada como una marca del acceso del saber económico al rango de ciencia "dura". Por otro lado, la ciencia económica contemporánea ha profundizado y extendido sus campos de estudio, como lo muestran los desarrollos sobre la competencia imperfecta y las teorías de la organización.
A pesar de lo anterior, la misma ciencia económica contemporánea puede aparecer relegada a un plano de meras problemáticas y con una gran pobreza en materia de conceptos. Esta parte oscura de la evolución de la teoría económica podría estar expresada como una serie de tres tipos de retrocesos y de abandonos; se trata, en primer lugar, de la reducción teórica del estudio de una economía capitalista al estudio de una economía de mercado y luego, de la reducción de esta economía de mercado a un estado de equilibrio general; en segundo lugar, se trata del reemplazo paulatino de los modelos de equilibrio general por los modelos de equilibrio parcial y los modelos locales de la teoría de juegos; por último, del reemplazo del problema de la coordinación social, por el problema de la cooperación bilateral o la adopción del aislamiento al estilo de Robinson Crusoe.
Es evidente que aquellos economistas que persisten en interesarse en la actualidad por el problema de la coordinación social, problema fundador de la economía política, no pueden estar plenamente satisfecho de la ciencia económica contemporánea, la cual no acata el pliego de condiciones dejados por Smith, Marx, Walras y Keynes. Así, querer insistir en la pertinencia del problema de la coordinación social, implica retomar los grandes debates pasados, vigentes aún hoy, y movilizar de nuevo algunas nociones fundamentales olvidadas pero pertinentes.
En este escenario, el objetivo de este artículo es presentar un modelo de economía de mercado artesanal, el cual permite abordar el problema de los precios como piedra angular de una explicación teórica sobre el comportamiento de los individuos en los mercados. La determinación de los precios se lleva a cabo adoptando, en un primer momento, una estructura real (al estilo de una teoría del valor) y, en un segundo momento, una estructura monetaria. Una parte de las intuiciones desarrolladas en la estructura monetaria provienen de una corriente heterodoxa francesa, sobre las cuales existen algunos trabajos recientes que resultan ser complementarios del presente trabajo, tal es el caso por ejemplo, de Bolaños y Tobón (2001) y Julién (2003).
Para llevar a cabo este objetivo, el presente texto se divide en dos partes. La primera explica el origen de la adopción de una economía de mercado artesanal a partir de una clasificación de las infraestructuras de economía. En la segunda parte, se introducen las hipótesis básicas de la construcción de un modelo que pretende dar cuenta de la economía de mercado artesanal para luego presentar dos versiones de dicha economía: una versión real en la cual la economía se describe como relaciones entre bienes y una versión monetaria en la cual la economía se concibe como relaciones entre bienes y dinero. Al final se presenta un anexo que busca dar al lector una mejor comprensión del modelo.
I. Dos opciones teóricas y cuatro infraestructuras de economía
El punto de partida del análisis es el artículo de Benetti y Cartelier (1998), en el cual los autores plantean dos oposiciones mayores o dos distinciones estructurantes. Por un lado se tiene la siguiente pregunta: ¿Qué es lo que se trata de investigar? ¿Una economía de intercambio mercantil con agentes de igual status u homogéneos, o mejor una economía de producción capitalista con agentes cuyo status es jerarquizado o heterogéneo? Denominamos esta pregunta como la opción teórica A del objeto. Por otro lado se tiene la siguiente pregunta: ¿Sobre cuál base de objetividad social se funda lo que tratamos de pensar? ¿Sobre los bienes en el marco natural de una teoría del valor o mejor sobre el dinero en el marco institucionalista de la circulación? Denominamos esta pregunta como la opción teórica B del fundamento de las magnitudes económicas.
Para explicitar la arquitectura epistemológica conforme a las dos oposiciones mayores, las cuales entrelazan el objeto representado (una economía mercantil versus una economía capitalista) y la base teórica (el postulado de nomenclatura de bienes versus postulado monetario), es necesario articular tres nociones: los Modelos de Economía, los Modelos de Infraestructuras de Economía y de los Tipos de Economía. Por un lado, la mayoría de Modelos de Economía son especificaciones particulares y completas de estructuras más generales y contienen parcialmente estructuras especificadas analíticamente, que llamamos las Infraestructuras de Economía. De otro lado, estas Infraestructuras de Economía representan las nociones pre-analíticas generales, incompletas o informales que llamamos los Tipos de Economía.
Adoptando entonces las dos oposiciones mayores se tiene que, en términos del objeto tematizado, la economía política se ha interesado esencialmente en dos grandes tipos de economía diferentes: la Economía de Mercado, la cual denotaremos de ahora en adelante como (A1) y la Economía Capitalista, la cual denotaremos (A2). En términos teóricos, la economía política se apoya en dos fundamentos analíticos alternativos: el fundamento real, el cual denotaremos (B1) o el fundamento monetario que denominaremos como (B2). La combinación de los dos tipos de economía y de los dos fundamentos analíticos, permiten dibujar cuatro Infraestructuras de Economía:
- Economía Real de Intercambio Mercantil (combinación A1 y B1): el tipo de economía en cuestión es la economía de mercado, aunque el examen de esta infraestructura de economía represente paradójicamente una "economía real sin mercados". La corriente de pensamiento asociada a esta estructura es la economía política neoclásica, principalmente en la línea walrasiana de la microeconomía estándar que en los desarrollos contemporáneos de la nueva microeconomía.
- Economía Monetaria de Intercambio Mercantil (combinación A1 y B2): el tipo de economía en cuestión es también la economía de mercado, pero traducida en una "economía monetaria de los mercados". Esta estructura podría estar ilustrada por la concepción smithiana de una economía de artesanos especializados que intercambian sus excedentes gracias a un medio monetario, o también podría estar ilustrada por la concepción marxiana de la producción mercantil simple.
- Economía Real de Producción Capitalista (combinación A2 y B1): el tipo de economía en cuestión es en adelante la economía capitalista, especificada aquí como una "economía real de producción capitalista". La representación prototípica de esta infraestructura de economía está dada por la teoría ricardiana.
- Economía Monetaria de Producción Capitalista (combinación A2 y B2): el tipo de economía en cuestión es también la economía capitalista, presentada por esta infraestructura de economía con los rasgos de una "economía monetaria de producción capitalista". La corriente de pensamiento que se identifica con esta estructura es la economía keynesiana y poskeynesiana.
Todo modelo de economía, entendido como representación teórica completa de una sociedad económica mercantil o capitalista, adopta necesariamente una de las cuatro infraestructuras de economía distinguidas arriba, y donde cada modelo entrega una especificación detallada o una encarnación exhaustiva. Los modelos de economía asociados a agentes heterogéneos, es decir, aquellos agentes clasificados como (A2), introducen una fuerte diferenciación respecto a las decisiones económicas que se representan (al estilo de Keynes) o introducen una asimetría radical de tipo relación salarial (al estilo de Ricardo y Marx). Los agentes identificados como empresarios adoptan una lógica de búsqueda del beneficio y de acumulación de capital, en lugar de una lógica basada en la utilidad.
Nos vamos a consagrar ahora a los modelos de economía que describen una sociedad económica de individuos libres e iguales o de agentes homogéneos; es decir, aquellas economías clasificadas como (A1). Las versiones reales de estos modelos están estrictamente limitadas a la situación de equilibrio, mientras que sus versiones monetarias introducen la posibilidad de desequilibrios efectivos. Esto es lo que veremos en el momento de abordar el estudio de una estructura de economía artesanal, de la cual presentaremos un modelo real y un modelo monetario. Esta economía semejante, y especialmente en su variación monetaria, hace referencia al estado primitivo de Smith o a la producción mercantil marxiana precapitalista.
II. La estructura de economía artesanal como forma de economía de mercado
La noción general de economía de mercado puede enfocarse según varias modalidades; en particular, puede tomar dos formas: "economía de distribución" y "economía de intercambio puro". En una economía de distribución, cada individuo dispone inicialmente de un ingreso nominal exógeno, el cual le permite apropiarse de una cesta de bienes. En una economía de intercambio puro, cada individuo dispone inicialmente de una cesta exógena de bienes que intercambia contra otra cesta de bienes; en estos dos casos, el fenómeno de producción es ignorado.
En una economía artesanal, la producción es introducida como actividad independiente organizada en el marco de una división social del trabajo. Los individuos son especialistas en su producción, pero generalistas en sus consumos: cada uno produce un único bien y todos intercambian sus excedentes voluntarios de producción. El panadero produce pan y el agricultor produce vino: ambos auto-consumen una (pequeña) parte de su producción e intercambian la parte restante de la misma, logrando cada uno al final consumir tanto pan como vino; los individuos no son solamente consumidores sino también trabajadores independientes.
Consideremos una economía compuesta de un total de H individuos (representando un individuo con el subíndice h); de un único factor de producción (representado con el número 0 como subíndice) y de dos mercancías producidas y consumidas (subíndices 1 y 2). Los individuos disponen cada uno de un mismo recurso inicial en tiempo n, que es asignado ya sea al trabajo independiente (una cantidad xh0 positiva de input productiva) o ya sea el ocio (una cantidad nh0 positiva de bien con una utilidad intrínseca). Se tiene así que n = nh0 + xh0. La división social del trabajo se traduce por la especialización productiva: dentro del conjunto de H agentes, una parte de ellos, denotada I, se dedican a la producción del bien 1 y la parte J de estos agentes se dedican a la producción de bien 2. Tenemos así pues I + J = H. Si un agente h es productor de bien 1, lo identificamos por el subíndice i, y si es productor de bien 2, lo identificamos por el subíndice j.
El individuo i se caracteriza por: la producción de bien 1, la cual denotamos como (qi1), el autoconsumo de bien 1 denotada como (ci1 o también xi1), la oferta de bien 1 que se denota por la letra (oi1); y la demanda de bien 2 denotada por la letra (di2). El individuo j se caracteriza por la producción de bien 2 denotado como (qj3), el autoconsumo de bien 2 denotado como (cj2 ó xj2), la oferta de bien 2 denotado por la letra (oj2), y la demanda de bien 1 denotado por la letra (dj1). La producción está especificada por dos tipos de función de producción: fi1 y fj2, de donde se tiene, por un lado, que qi1 = fi1 (ni0) para todo i, y, por otro lado, que qj2 = fj2 (nj0) para todo j. Por simplicidad, dejamos de lado el capital. El consumo está especificado por una función de utilidad del tipo Uh = Uh (xh0; xh1; xh2) para todo h.
Los artesanos que componen nuestra economía de intercambio con producción no son artesanos capitalistas, en la medida en que ellos maximizan una utilidad y no un beneficio y que no contratan trabajadores asalariados.1 Dadas estas hipótesis, veamos ahora las versiones reales y monetarias de esta economía artesanal.
A. Una versión real de una economía artesanal
Una versión real de la economía artesanal consiste en suponer que los bienes 1 y 2 se intercambian directamente uno por el otro bajo una modalidad típicamente walrasiana. Para ello adoptamos tres etapas. La primera etapa consiste en establecer los cálculos de los proyectos individuales. En la tradición walrasiana, el secretario de mercado (subastador) grita el sistema de precios P = (p1; p2), expresados en un numerario convenido. Dados estos precios, los individuos proceden a una maximización de utilidad bajo cuatro restricciones:

La ecuación (1) es la restricción de asignación del tiempo disponible, la ecuación (2) es la restricción tecnológica, la ecuación (3) es la restricción de asignación del bien producido, y la ecuación (4) es la restricción presupuestal. Las dos condiciones de optimalidad son:

La condición (5) expresa la optimalidad del arbitraje entre el bien 0 y bien 1, mientras que la condición (6) expresa la optimalidad del arbitraje entre bien 1 y bien 2. En el programa de maximización bajo restricciones un agente i cualquiera2 permite establecer un sistema de 6 ecuaciones con 6 incógnitas, que determinan los valores óptimos de: ni0, xi0, qi1, ci1, oi1, di2.
Para el individuo j, el problema de maximización es análogo al del agente i. De esta manera, es posible escribir otras 6 ecuaciones que podemos denotar como (1 bis) hasta (6 bis). Así se determinan los valores óptimos de: nj0, xj0, qj2, cj2, oj2, dj1. En general, para todo h, los valores óptimos dependen del precio relativo (p2 / p1).
La segunda etapa consiste en la determinación del equilibrio general walrasiano. En razón de la ley de Walras (aplicada a esta economía en dos bienes intercambiados), el equilibrio general está dado por una u otra de las dos ecuaciones de equilibrio del mercado de bienes. Por ejemplo: Σi oi1 = Σj dj1 (equilibrio en el mercado del bien 1). Deducimos el valor del precio real de equilibrio (p2/p1)e y luego las cantidades de equilibrio.
La tercera etapa es la interpretación de la optimalidad del equilibrio. En el equilibrio general, los óptimos individuales constituyen un óptimo social. Por un lado, las condiciones de tipo (5) y (5 bis) garantizan la optimalidad del "intercambio consigo mismo" entre ocio y bien 1 para los individuos i, y entre ocio y bien 2 para los individuos j. Por otro lado, el equilibrio general walrasiano es una asignación realizable mientras que las tasas marginales de substitución entre los bienes 1 y 2 sean iguales (al precio relativo correspondiente) para todos los individuos h, lo que es garantizado por las condiciones (6) y (6 bis); "el intercambio con el prójimo" permite así una solución óptima en el sentido de Pareto.
Podemos, entonces, extraer tres conclusiones. En primer lugar, en este universo real las mercancías se intercambian subjetiva y objetivamente contra mercancías, éstas son doblemente conmensurables: por un lado, de manera privada a través de las preferencias individuales y, por otro lado, de manera social y directa por el intercambio de trueque. En segundo lugar, y sobre un plano institucional, este universo real permite estructurar una economía en conjunto sin "mercados particulares": no hay un mercado del pan y un mercado de vino que estarían en separación relativa, existe un único lugar de intercambio "pan contra vino". Tal interdependencia general es fuerte: no hay descentralización por mercados asociados a cada tipo de mercancía. En tercer lugar, y sobre un plano analítico, este universo real excluye el desequilibrio efectivo. El desequilibrio individual es imposible, y el desequilibrio social es prohibido (o solamente virtual en el marco de un tanteo walrasiano que suspende los intercambio "a precios falsos") o evacuado (por la imposición estricta de un postulado de equilibrio). Es la exclusión del dinero la que provoca la concentración exclusiva en las situaciones de equilibrio.
B. Una versión monetaria de una economía artesanal
Una versión monetaria de la economía artesanal consiste en reemplazar el postulado real por el postulado monetario, es decir, cambiar de infraestructura de economía, pero conservando la hipótesis de homogeneidad de los agentes. Los bienes 1 y 2 se intercambian ahora indirectamente, el trueque (Mercancía– Mercancía) se rompe y se fracciona en intercambios monetarios: las compras (Dinero-Mercancía) y las ventas (Mercancías-Dinero), las cuales se sitúan en un mercado de pan, por un lado, y en un mercado de vino, por el otro. El estudio de los intercambios monetarios puede hacerse en tres etapas.
La primera etapa tiene que ver con la formación de proyectos individuales y el monnayage (la acuñación del dinero). Para adaptar el universo real al universo monetario, conservaremos el marco de competencia perfecta, suponiendo particularmente que los agentes toman sus decisiones sobre la base paramétrica de un sistema de precios (gritados por un subastador o anticipados) P = (p1; p2). Estos precios se expresan en la unidad de cuenta prevaleciente, con estos precios, los individuos proceden a maximizar su utilidad bajo restricciones. La adopción de la teoría de la elección racional como una teoría de la proyección individual es cómoda3 y coherente con la hipótesis de competencia perfecta. Veamos entonces como puede representarse esta economía monetaria.
Para un individuo i, la maximización de su utilidad anticipada permite determinar los montos óptimos ni0, xi0, qi1, ci1, oi1, di2. La restricción presupuestal anticipada p2di2 = p1oi1, expresa la igualdad entre los ingresos esperados y los gastos esperados. Todo individuo i realiza entonces dos órdenes o pedidos; por un lado, expresa su oferta real oi1 en el mercado de pan (como volumen de mercancía llevada al mercado); del otro lado, expresa monetariamente su demanda p2di2 en el mercado de vino (como el valor del dinero comprometido en el mercado). Suponemos que cada agente i obtiene ante el Instituto de Emisión Monetaria una cantidad de dinero Mi necesaria y suficiente para cubrir sus gastos (Mi = p2di2), la cual el mismo agente se compromete a restituir al final del periodo mercantil.4 De manera simétrica, para todo individuo j, se determinan los valores óptimos de nj0, xj0, qj2, cj2, oj2, dj1. Todo individuo j pasa dos pedidos, por un lado, expresa su oferta real oj2 al mercado de vino y, por el otro, expresa monetariamente su demanda p1dj1 = Mj al mercado de pan.
En una economía estructuralmente monetaria, la forma de expresión de los proyectos mercantiles es diferenciada: la oferta se expresa en volumen (propuestas de venta) y la demanda se expresa en valor (compromiso de poder de compra). Esto revela un problema de cash in advance que obliga a precisar las modalidades de acceso al dinero por parte de los individuos.
La segunda etapa tiene que ver con la formación de magnitudes económicas y con la circulación monetaria. Tres aspectos deben ser señalados; en primer lugar, existen compromisos de ofertas en volumen y de demandas en valor, los individuos i aportan oi1 al mercado de pan y llevan Mi al mercado de vino, los individuos j aportan oj2 al mercado de vino y llevan Mj al mercado de pan; en segundo lugar, lo precios se forman en cada mercado, por ejemplo, según la regla de formación flexible5 que asegura la venta de todas las mercancías ofrecidas y el gasto total de todo el dinero comprometido para las compras. En el mercado de pan el precio de determina como:

En el mercado de vino, el precio se determina como:

Estos precios de mercado P*, pueden diferir de los precios anticipados P. En tercer lugar, gracias a esta ley de formación del precio, todas las cantidades ofrecidas son vendidas y los gastos comprometidos son todos realizados. La incertidumbre mercantil sistémica tiene que ver con los ingresos realizados y con las compras efectivas. Así, los agentes i registran un ingreso Vi1 = p1* oi1 y una compra ai2 = Mi / p2*, mientras que los agentes j registran un ingreso Vj2 = p2* oj2 y una compra aj1 = Mj / p1*. Los ingresos y las compras anticipadas coinciden con los ingresos y las compras realizadas sólo si los precios de cálculo individual y los precios efectivos se confunden.
La tercera etapa es la corrección de los intercambios y el pago de los saldos. Una vez determinados los ingresos y los gastos de los individuos, la situación mercantil que emerge es una asignación realizable, pero probamente no es un equilibrio general walrasiano, el cual correspondería aquí a una situación de anticipaciones perfectas o autorealizadoras (por todos los individuos). El error en las anticipaciones sobre los precios no es accidental, ya que se relaciona con la ignorancia posible que tienen los agentes sobre la regla de formación de los precios, pero especialmente, con la ignorancia esencial de cada agente sobre las características privadas de los otros agentes (sus funciones de utilidad y sus funciones de producción).
Consideremos un individuo i cualquiera, su asignación objetivo es: {xi0; qi1-oi1; (p1/p2) oi1} y su asignación realizada es {xj0; qj1-vj1; Mj / p*2}. No hay diferencia entre anticipación y realización del bien 0, ya que la asignación del tiempo es un asunto estrictamente privado. Tampoco hay diferencia entre anticipación y realización respecto al bien 1, ya que la cantidad llevada al mercado es integralmente vendida (oferta = venta) debido a la regla de formación de los precios que ha sido escogida. Pero hay diferencia entre anticipación y realización respecto al bien 2 si p*2 se revela diferente de p2. Además, si lo consideramos todavía un individuo i, se tiene que su saldo financiero anticipado era nulo: p1 oi1- Mi = 0 y su saldo financiero realizado es: p*1 vi1- Mi = p*1 oi1- p1 oi1= (p*1 - p1)oi1. El saldo financiero es no-nulo en cuanto p*1 se revela diferente de p1. Un análisis simétrico se establece para todo individuo j.
Para todo individuo, la obtención de la asignación objetivo y el respeto de la restricción presupuestal efectiva sólo depende de la perfecta anticipación de los precios (P* = P). La obtención de una canasta de bienes distinta de la que se esperaba es un desilusión individual; por el contrario, el registro de un saldo monetario no-nulo es un problema social, que implica hacer alusión a un "proceso pos-mercantil de pago de saldos monetarios", que consiste en disminuir el stock de riqueza de los agentes deficitarios y de argumentar este stock para los agentes excedentarios, al nivel de su desequilibrio financiero.7
Podemos entonces extraer tres conclusiones. En primer lugar, en este universo monetario, las mercancías se intercambian objetivamente contra el dinero, lo que las hace socialmente conmensurables; correlativamente, los precios de mercado formados son precios absolutos. En segundo lugar, y sobre el plan institucional, este universo monetario permite explicar una economía constituida en su conjunto de "mercados particulares": hay un mercado de pan y un mercado de vino que están en separación relativa. La interdependencia general aquí es débil: esta "economía monetaria de mercados" realiza una verdadera descentralización a través de los mercados asociados a cada tipo de mercancía. En tercer lugar, y sobre el plan analítico, este universo monetario autoriza el desequilibrio efectivo. El desequilibrio individual emerge espontáneamente y se manifiesta en términos reales (divergencia entre asignación objetivo y asignación realizada) y en términos monetarios (aparición de un saldo monetario no-nulo). El desequilibrio social es igualmente concebible bajo la forma de racionamiento, pero no aparece bajo la regla de formación flexible del precio (la cual asegura la venta de las ofertas en volumen y de los gastos en valor).
Conclusiones
La descentralización y la competencia son consideradas unánimemente como los atributos esenciales de la economía de mercado. La descentralización refleja la independencia de las decisiones económicas individuales, mientras que la competencia supone una cierta interdependencia de las transacciones económicas. Así, toda representación de una economía de mercado debe articular independencia e interdependencia.
La visión real asociada a Walras respeta la independencia individual, pero radicaliza la interdependencia interindividual agrupando todas las transacciones en el mismo lugar llamado "mercado general". El predominio de los precios relativos expresa el tratamiento simultáneo de todos los bienes y la focalización del análisis en el estado de equilibrio general revelando el tratamiento simultáneo de todas las transacciones previstas. Una antítesis real de la representación walrasiana es propuesta por la visión de Edgeworth. La hipercentralización del tanteo walrasiano es reemplazada por la hipocentralización del proceso de Edgeworth, que aísla completamente las transacciones interindividuales. La debilidad de esta visión provoca entonces la anulación de la competencia consecutiva de la pérdida de la interdependencia interindividual.7
La visión monetaria de la "economía de mercados" respeta la independencia individual y sus alternativas reales. Ella reagrupa en "mercados particulares" todas las transacciones que comprometen un mismo bien y separa relativamente estos mercados, de manera que esa economía pueda estructuralmente presentar un grado intermediario de centralización, dando lugar a la competencia sobre cada mercado.
La teoría económica ha desarrollado profundamente la representación de la economía de mercado como economía real de intercambio, mientras que la representación monetaria no ha recibido toda la atención que merece. Esta representación monetaria se inicia por la doble concepción de la economía de mercado: como "economía monetaria" (estructurada por un sistema de pago) y como "economía de mercados particulares" (constituida por lugares de intercambio propios a cada bien, lugares de intercambio de cada mercancía contra el equivalente general). En pocas palabras como una "economía monetaria de los mercados".
Bibliografía
1. Benetti, Carlo; Cartel ier, Jean (1998). "La economía política como ciencia: la permanencia de una convicción mal compartida", Lecturas de Economía, No. 48, pp. 7-32. [ Links ]
2. Bolaños, Eduardo; Tobón, Alexander (2001). "Un mecanismo de precios para la teoría del valor", Lecturas de Economía, No. 55, pp. 31-68. [ Links ]
3. Cartelier, Jean (1996). La monnaie, Dominos, Flammarion, Paris. [ Links ]
4. Julién, Ludovic (2003). "Moneda, intercambios efectivos y desempleo keynesiano", Lecturas de Economía, No. 59, pp. 149-176. [ Links ]
5. Tricou, Fabrice (2005). "Entre l'économie marchande et la transaction marchande: le concept de marché particulier", en Histoire des représentations du marché, Guy Bensimon, Michel Houdiard (Ed.), Paris, pp. 591-609. [ Links ]
Anexo
A continuación se presenta un ejemplo numérico sobre la versión real y la versión monetaria de una economía de mercado artesanal. Adoptamos la siguiente configuración de recursos en tiempo, funciones de producción y funciones de utilidad:

La solución se presenta en tres etapas.
A. Los proyectos individuales maximizadores de utilidad
Consideremos un individuo i cualquiera. Las restricciones a las cuales está sometido son las siguientes. Por un lado,

vA partir de las cuales se obtiene:

Por otro lado se tiene que:

A partir de las cuales se obtiene:

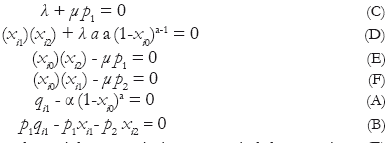
Para resolver el programa de maximización se utiliza un lagrangiano del tipo:

Al optimizar, las derivadas del lagrangiano se anulan, lo que da:

La solución puede seguir los pasos siguientes: a partir de las expresiones (E) y (F) se obtiene p1 xi1= p2 xi2 y a partir de las expresiones (A) y (B) se obtiene p1 α (1- xi0)a = p1xi1+ p2 xi2. Se deduce entonces que p1 α (1-xi0)a = 2 p1xi1, de donde:

Por otro lado, a partir de las expresiones (C) y (E) se obtiene λ = -(xi0)(xi2), por lo que la expresión (D) puede escribirse como (xi1)(xi2) = (xi0)(xi2) α a (1-xi0)a-1, de donde:

Finalmente, a partir de las ecuaciones (G) y (H) se obtiene α (1-xi0)a = 2 xi0 α a (1-xi0)a-1, de donde podemos extraer:
xi0 = 1 / (2a+1)
De allí se deduce para (G) ó (H), la expresión siguiente:
xi1 ó ci1 = (α/2) [(2a)/(2a+1)]a
Según las expresiones (E) y (F) se tiene xi2= (p1/p2) xi1, de donde:
xi2 ó di2 = (p1/p2) (α/2) [(2a)/(2a+1)]a
A partir de las expresiones (A) ó (B) se obtiene:
qi1 = α [(2a)/(2a+1)]a
Siguiendo la restricción (1), se obtiene:
ni0 = [(2a)/(2a+1)]
y siguiendo la restricción (3), se obtiene:
oi1 = (α/2) [(2a)/(2a+1)]a
El programa de optimización de un individuo i puede ser presentado de una manera más tradicional y más fácil de interpretar a través de la asociación de dos elementos:
1. La restricción general p1qi1 = p1xi1 + p2 xi2.
Se trata de la restricción (B), la cual sintetiza las restricciones (3) y (4), enunciando que el valor del bien producido (el pan) es igual a la suma del valor del autoconsumo y del valor de la demanda del otro bien (el vino).
2. Las condiciones de optimización [∂Ui/∂xi0]/{p1[∂fi1/∂ni0]} = [∂Ui/∂xi1]/ p1= [∂Ui/∂xi2]/p2.
Reconocemos aquí la igualdad tradicional de las utilidades marginales de los bienes relacionados con su precio respectivo. El precio de una unidad de ocio adicional está dado por el valor monetario de la pérdida de producción derivada de la utilización de una unidad menos de trabajo (es decir el precio del bien 1 multiplicado por la productividad marginal del trabajo). Las restricciones (1) y (2) se utilizan para el cálculo de [∂Ui/∂xi0]/{p1[∂fi1/∂ni0]}; la restricción (5) permite calcular la igualdad entre [∂Ui/∂xi0]/{p1[∂fi1/∂ni0]} y [∂Ui/∂xi1]/ p1; y, finalmente, la restricción (6) permite directamente calcular la igualdad entre [∂Ui/∂xi1]/p1 y [∂Ui/∂xi2]/p2.
Por simetría entre el agente i y el agente j, deducimos que:
xj0 = 1 / (2b+1)
xj0 ó dj1 = (p2/p1) (β/2) [(2b)/(2b+1)]b
xj2 ó cj2 = (β/2) [(2b)/(2b+1)]b
qj2 = β [(2b)/(2b+1)]b
nj0 = [(2b)/(2b+1)]
oj2 = (β/2) [(2b)/(2b+1)]b
B. Situación mercantil real y equilibrada.
El equilibrio general walrasiano es dado, por ejemplo, por el equilibrio en el mercado del bien 1:
Σi oi1 = Σj dj1
Es decir que:
I (α/2) [(2a)/(2a+1)]a = J (p2/p1) (β/2) [(2b)/(2b+1)]b
Que permite obtener:
(p2/p1)e = (I/J) (α/β) {[(2a)/(2a+1)]a / [(2b)/(2b+1)]b}
Lo que se puede verificar considerando la ecuación de equilibrio en el mercado del bien 2.
Para aligerar las notaciones, ponemos γ = [(2a)/(2a+1)]a y δ = [(2b)/(2b+1)]b; de tal manera que podemos rescribir el precio relativo de equilibrio como sigue:
(p2/p1)e = (I/J) (α/β) (γ/δ)
La asignación de equilibrio del agente i es:
(xi0)e = 1/(2a+1)
(xi1)e = (α/2) γ
(xi2)e = (J/I) (β/2) δ
De donde deducimos la satisfacción del agente i:
(Ui)e = [1/(2a+1)] (α/2) γ (J/I) (β/2) δ
Por simetría entre el agente i y el agente j, podemos deducir la asignación y la satisfacción de un agente j en el equilibrio:
(xj0)e = 1/(2b+1)
(xj1)e = (I/J) (α/2) γ
(xj2)e = (β/2) δ
De donde,
(Uj)e = [1/(2b+1)] (α/2) γ (I/J) (β/2) δ
El precio de equilibrio, las asignaciones de equilibrio y las utilidades de equilibrio dependen del número relativo de agentes (J/I), de los parámetros de dimensión de las producciones (α y β) y de los parámetros de productividad del trabajo (a y b, de los cuales dependen γ y δ).
C. Situación mercantil monetaria y desequilibrada
Para todo agente i y para todo agente j, la maximización de utilidad esperada es operada bajo los precios anticipados p1 y p2, lo que permite obtener los valores óptimos siguientes:
Para todo agente i:
xi0 = 1 / (2a+1)
ni0 = [(2a)/(2a+1)]
xi1 = (α/2) γ
qi1 = α γ
oi1 = (α/2) γ
di2 = (p1/p2) oi1 = (p1/p2) (α/2) γ
Para todo agente j:
xj0 = 1 / (2b+1)
nj0 = [(2b)/(2b+1)]
xj2 = (β/2) δ
qj2 = β δ
oj2 = (β/2) δ
dj1 = (p2/p1) oj2 = (p2/p1) (β/2) δ
Los individuos pasan entonces dos pedidos: para los agentes i, su orden de venta oi1 en el mercado de pan y su orden de gasto Mi = p2 di2 al mercado de vino. Para el agente j, su orden de venta oj2 en el mercado de vino y su orden de gasto Mj = p1 dj1 en el mercado de pan.
Los precios se forman en cada mercado
p1* = [Σj Mj] / [Σi oi1] = (J/I) p2 (β/α) (δ/γ) = p2 (p1/p2)e
p2* = [Σi Mi] / [Σj oj2] = (I/J) p1 (α/β) (γ/δ) = p1 (p2/p1)e
Si consideremos un individuo i cualquiera, su asignación objetivo era:
{1 / (2a+1) ; (α/2) γ ; (p1/p2) (α/2) γ}
y la asignación obtenida es:
{1 / (2a+1) ; (α/2) γ ; [p1 / p2*] (α/2) γ}
estas asignaciones sólo se identifican si p2 = p2*.
El saldo financiero anticipado es nulo; y su saldo financiero realizado es:
(p*1 - p1) (α/2) γ
Lo que significa que el balance monetario efectivo está equilibrado si p1 = p1*.
Para el agente j los cálculos son simétricos: este agente estará en equilibrio real si p1 = p1* y estará en equilibrio monetario si p2 = p2*. Para todo agente, sólo habrá obtención de la asignación objetivo y respeto de la restricción presupuestal efectiva si existe anticipación perfecta sobre los precios, es decir si (P* = P).
Respecto a la situación mercantil final, es necesario hacer dos anotaciones. Por una parte, la asignación mercantil que surge es, en efecto, una asignación realizable. La asignación final de los agente i en el bien 1 es I (α/2) γ. La asignación final de los agente j en bien 1 es J(p1dj1) / p1* = [J p2 (β/2) δ] / [(J/I) p2 (β/α) (δ/γ)] = I (α/2) γ. La asignación final total en bien 1 es, por lo tanto, I α γ, es decir, I qi1, que es la producción total del bien 1. Para el bien 2 se tiene que la asignación final de los agente i en bien 2 es I(p2di2) / p2* = [I p1 (α/2) γ] / [(I/J) p1 (α/β) (γ/δ)] = J (β/2) δ. La asignación final de los j en bien 2 es J (β/2) δ. La asignación final total en bien 2 es, por lo tanto, J β δ, es decir, J qj2 que es la producción total de bien 2.
Por otra parte, la posibilidad de desequilibrios financieros individuales va de la mano con la necesidad de un equilibrio financiero social. Toda compraventa engendra un mismo flujo de gastos para un agente y de ingresos para otro agente, de tal manera que los ingresos agregados y los gastos agregados deben ser iguales, y así el saldo monetario agregado debe ser nulo. En efecto, el saldo financiero social es I (p*1 - p1) (α/2) γ + J (p*2 - p2) (β/2) δ, es decir I [(J/I) p2(β/α)(δ/γ)] (α/2) γ - I p1 (α/2) γ + J [(I/J)p1(α/β)(γ/δ)] (β/2) δ + J p2 (β/2) δ, donde [J p2 β δ] (1/2) - I p1 (α/2) γ + [I p1 α γ] (1/2) + J p2 (β/2) δ = 0.
Respecto a la dinámica mercantil, dos observaciones se imponen. Por un lado, el equilibrio auto-realizador, es decir, el equilibrio de anticipaciones perfectas, corresponde al equilibrio walrasiano. Sabemos que p1* = p2 (p1/p2)e y que p2* = p1 (p2/p1)e. El equilibrio auto-realizador está definido por p1* = p1 y por p2* = p2. Las dos ecuaciones de formación de precio permiten en el equilibrio autorealizador que (p1 / p2) = (p1* / p2*) = (p1/p2)e.
Por otro lado, las situaciones de desequilibrio inician un mecanismo de apuestas al alza y a la baja. Supongamos, por ejemplo, una situación a priori de escasez del bien 1 y de excedente del bien 2, es decir que (p1 / p2) < (p1/p2) e o también (p2 / p1) > (p2/p1)e. La regla de formación del precio p1* permite (p1* / p2) = (p1/p2)e, de donde deducimos que (p1 / p2) < (p1* / p2), es decir que p1 < p1*, lo que significa un aumento emergente del precio del bien 1. La regla de formación del precio p2* permite (p2* / p1) = (p2/p1)e, de donde deducimos que (p2 / p1) > (p2* / p1), es decir que p2 > p2*, lo que se traduce como descenso emergente del precio del bien 2.
Primera versión recibida en noviembre de 2007; versión final aceptada en marzo de 2008
Notas
1 Si no se excluyera el trabajo asalariado habría una relación salarial y, por lo tanto, habría un tipo de economía capitalista (traducida por infraestructuras de economía con agentes heterogéneos).
2 Este sistema sintetiza dos arbitrajes elementales: un arbitraje trabajo/ocio del trabajador independiente (entre los bienes 0 y 1 para un individuo i) y el arbitraje estándar del consumidor (entre los bienes de consumo 1 y 2).
3 Esta adopción no es para nada necesaria en la medida en que, a diferencia de la versión real, la versión monetaria aquí desarrollada no llega a un resultado normativo análogo al primer teorema del bienestar.
4 Para mayor precisión sobre este proceso de monnayage, ver por ejemplo Cartelier (1996), p. 60-77.
5 Se trata de la regla de formación de los precios utilizada en los juegos estratégicos de mercado en Shapley-Shubik. Un tratamiento de esta regla de formación de precios para la teoría de Marx puede encontrarse en Bolaños y Tobón (2001) y su tratamiento para la teoría de Keynes puede encontrase en Julién (2003).
7 El lector encontrara en el Anexo un ejemplo numérico sencillo que le ayudará a mejorar la comprensión de los argumentos aquí presentados. Adicionalmente, este ejemplo introduce el problema de la dinámica del equilibrio.
7 En Tricou (2005) se opone la "economía monetaria de los mercados" de espíritu mashalliano a las "economías reales sin mercados" de espíritu walrasiano y edgeworhtiano.













