Services on Demand
Journal
Article
Indicators
-
Cited by SciELO -
Access statistics
Related links
-
Cited by Google -
Similars in
SciELO -
Similars in Google
Share
Lecturas de Economía
Print version ISSN 0120-2596
Lect. Econ. no.69 Medellín July/Dec. 2008
Una regla de Taylor óptima para Colombia, 1991–2006
An Optimal Taylor Rule for Colombia, 1991–2006
Une Règle de Taylor Optimale pour l.économie colombienne entre 1991 et 2006
Remberto Rhenals M.; Juan Pablo Saldarriaga*
* Remberto Rhenals M.: Economista. Profesor de la Facultad de Ciencias Económicas de la Universidad de Antioquia. Dirección electrónica: rrhenals@economicas.udea.edu.co. Dirección postal: Apartado Aéreo 1226. Juan Pablo Saldarriaga: Economista. Profesor de la Facultad de Ciencias Económicas y Administrativas de la Universidad Católica Popular de Risaralda. Dirección electrónica: jpsaldarriaga@ ucpr.edu.co. Dirección postal: Avenida Las Américas Cra. 21 No. 49–95. Este artículo es un producto derivado del proyecto ''Nuevo Régimen de Cambio y proceso generador de la tasa de cambio en Colombia'', financiado por el Comité de Apoyo a la Investigación –CODI– de la Universidad de Antioquia y desarrollado por el Grupo de Macroeconomía Aplicada de la Facultad de Ciencias Económicas de la Universidad de Antioquia. Se agradece la colaboración inicial de Diana Restrepo y Maria Isabel Restrepo. Agradecemos a Carlos Esteban Posada sus comentarios a una versión anterior.
–Introducción. –I. Reglas versus discrecionalidad: una breve síntesis del debate. –II. ¿Siguen los bancos centrales alguna regla de política monetaria? –III. La política monetaria en Colombia en los últimos años. –IV. Una regla monetaria óptima para Colombia. –Conclusiones. –Bibliografía.
Resumen: En este artículo se estima una regla monetaria óptima de una economía abierta para Colombia en el período 1991–2006, mediante el Método Generalizado de los Momentos (GMM). Los resultados muestran que, en el primer período (1991–1999), las autoridades monetarias tuvieron un objetivo de inflación y otro de tipo de cambio; mientras que en el segundo período (2000–2006), el tipo de cambio no parece ser objeto de preocupaciones para las autoridades o, por lo menos, no utilizaron la tasa de interés para este objetivo. La brecha del producto es estadísticamente significativa en ambos sub–períodos, pero la magnitud de su coeficiente es prácticamente despreciable.
Palabras claves: Reglas, discrecionalidad, función de reacción de la política monetaria, regla de Taylor óptima, tasa de inflación, tasa de interés Clasificación JEL: E43, E52, E58
Abstract: In this article, an open–economy optimal monetary rule is estimated for Colombia over the period 1991–2006 using the Generalized Method of Moments (GMM). The results show that in 1991–1999 the monetary authorities had two targets: one for the inflation rate and another for the exchange rate. In contrast, the exchange rate did not seem to be a concern for the monetary authorities during 2000–2006, or at least they did not use the interest rate to address such a goal. The output gap is statistically significant in both sub–periods, but the magnitude of its coefficient is practically negligible.
Keywords: Rules, Discretion, Monetary Policy Reaction Function, Optimal Taylor Rule, Inflation Rate, Interest Rate. JEL Classification: E43, E52, E58
Résumé: Cet article présente une estimation d.une règle monétaire optimale dans le cadre d'une économie ouverte appliquée à l.économie colombienne pour la période comprise entre 1991 et 2006, en utilisant la Méthode des Moments Généralisée (GMM). Les résultats montrent que, pour la première période (1991–1999), les autorités monétaires ont eu à la fois un objectif d'inflation et un objectif de taux de change; tandis que pour la seconde période (2000–2006), le taux de change ne semble pas être l'objet de préoccupations de la part des autorités monétaires, au moins, ils n'ont pas utilisé le taux d'intérêt pour atteint cet objectif. L'écart du produit est statistiquement significatif pour les deux périodes choisies, mais l'ampleur de son coefficient est pratiquement négligeable.
Mots Clef: Règles, caractère discrétionnaire, fonction de réaction de la politique monétaire, règle de Taylor optimale, taux d'inflation, taux d'intérêt.
Classification JEL: E43, E52, E58
Introducción
Este artículo centra su atención en la teoría y práctica de la política monetaria, pese al ''eslabón perdido'' que parece existir entre ambas.1 El debate sobre la conducción de la política monetaria mediante reglas o actuaciones discrecionales de las autoridades económicas es de larga tradición y ha estado relacionado con las posibilidades de la política monetaria de afectar transitoriamente variables reales, como la producción y el empleo.
Como se sabe, la mayoría de los bancos centrales han rechazado explícitamente que, en la administración de la política monetaria se siga una determinada regla; no obstante, la evidencia empírica parece mostrar otra cosa. Esta aparente paradoja puede explicarse porque los responsables de la política monetaria tienen ciertos objetivos y unos instrumentos para hacer frente a sus responsabilidades y generalmente deben enfrentarse a varias disyuntivas.2
El propósito de este artículo es estimar una probable regla en la conducción de la política monetaria colombiana entre 1991 y 2006. En la primera sección presenta una breve síntesis del debate regla versus discreción; su propósito, como el de las dos siguientes secciones, es estrictamente didáctico y carece de originalidad, excepto por el intento de mostrar en forma sencilla la historia de este debate y algunos de los principales desarrollos teóricos que lo sustentaron. La segunda sección está dedicada a mostrar que las actuaciones de los bancos centrales pueden ser modeladas mediante una forma funcional específica. En la tercera se describe brevemente la forma de conducción de la política monetaria en Colombia entre 1991 y 2006, de acuerdo con los propósitos de este artículo. En la cuarta sección se deriva y estima la regla monetaria. El valor agregado principal de este trabajo está en la penúltima sección.
I. Reglas versus discrecionalidad: una breve síntesis del debate
El debate sobre la conducción de la política monetaria mediante reglas o actuaciones discrecionales de las autoridades económicas es de larga tradición.3 De acuerdo con McCallum (1997), se inició con Thornton y Bagehot en el siglo XIX, continuando con Wicksell y Fisher a principios del siglo XX, para solo mencionar las primeras contribuciones más importantes. En consecuencia, no resulta extraño su presencia en los albores de la creación de la Reserva Federal de Estados Unidos en la segunda década del siglo XX.4 Sin embargo, adquirirá una mayor preponderancia desde la publicación del influyente artículo de Henry Simons en la década de 1930.
Simons (1936) distinguió dos tipos de régimen para la operación de la política monetaria: uno define el objetivo de las autoridades en términos de los medios (asignarles responsabilidades para ser cumplidas de acuerdo con ciertas reglas), mientras que el otro define el objetivo en términos de los fines (especificar una meta permitiendo a las autoridades discrecionalidad para lograrla). Sus preferencias se inclinaban a favor de reglas en términos de medios. El principio rector era conseguir la exclusión del gobierno de la actividad económica, delegándole la tarea de elaborar leyes que definiesen las reglas del juego; sin embargo, su propuesta también implicaba una intensa regulación financiera (Contreras, 1996).
Este dilema entre una concepción liberal y la necesidad práctica de intervención del gobierno, que derivó en su aceptación de un poco de discrecionalidad, fue resuelto por Milton Friedman a principios de los sesenta, dando su enfoque al problema: mientras los cambios no previstos en la velocidad del dinero podrían no ser tan nocivos, la verdadera fuente de inestabilidad estaría en la intervención del banco central en la economía (Contreras, 1996). En consecuencia, propuso una regla de crecimiento constante de la cantidad de dinero (entre 3% y 5% para la economía estadounidense) como garantía de estabilidad:5 la tasa de expansión de un cierto agregado monetario debe ser compatible con el crecimiento del producto real de largo plazo y la tasa de inflación deseada.
El predominio intelectual de la discrecionalidad fue socavado con el surgimiento de las expectativas racionales (Lucas, 1972 y 1973). En efecto, si los agentes utilizan toda la información disponible en la formación de sus expectativas, incluirán en dicha información la política del gobierno, lo que obliga a tener en cuenta la reacción de los agentes privados tanto en el diseño de la política económica, como en sus efectos. La potencialidad de las expectativas racionales radica, entonces, en el uso eficiente de la información y en la ausencia de errores sistemáticos en la formación de expectativas. Una implicación importante de las expectativas racionales fue la imposibilidad de la política monetaria anticipada de generar alteraciones en la producción y el empleo. En consecuencia, solo los cambios no previstos o sorpresivos en la cantidad de dinero tendrían efectos reales, aunque transitorios.6
El desarrollo natural de las expectativas racionales conduciría a lo que se ha denominado la Crítica de Lucas.7 Es probable que las expectativas influyan en muchas de las relaciones entre variables agregadas, y hay razones para pensar que los cambios de política afectan tales expectativas. En consecuencia, los cambios de política pueden modificar las relaciones agregadas. Entonces, si un gobierno intenta sacar partido de las relaciones estadísticas, puede ocurrir que el mecanismo de las expectativas invalide esas relaciones (Romer, 2006).
La revolución de las expectativas racionales fue sin duda trascendental, la idea de la optimalidad de las reglas de política fue uno de sus resultados.8 Estas reglas permiten predecir el comportamiento de los mercados; en consecuencia, deben tener objetivos claros y las políticas económicas deben estar sujetas a pautas institucionales precisas. Sus propuestas eran invariablemente de orden institucional, privilegiando las reglas sobre la discreción (Desormeaux, 2007).9 Y, además de fortalecer los fundamentos teóricos de la teoría monetarista, contribuyó también a realzar las limitaciones conceptuales y prácticas de las políticas ''activistas'' (Rosende, 2002).
En esta breve síntesis del debate regla versus discreción, el trabajo de Kydland y Prescott (1977) terminará de socavar teóricamente las supuestas ventajas de las políticas macroeconómicas discrecionales. Estos autores muestran que si el gobierno no puede comprometerse con una política de baja inflación, ésta puede aumentar considerablemente, pese a no existir una relación de largo plazo entre inflación y producción. Su observación básica es que, si la inflación esperada es baja, también lo será el costo marginal de la inflación adicional, de tal modo que el gobierno practicará políticas expansivas con el fin de situar temporalmente el producto por encima de su nivel potencial. Pero si los agentes son conscientes de que el gobierno tiene incentivos para elevar transitoriamente la producción, la inflación esperada no será baja. Una inflación baja es, entonces, dinámicamente inconsistente.10 En resumen, la actuación discrecional del gobierno generará inflación, pero no logrará incrementar el nivel de producto. La incapacidad de las autoridades monetarias de comprometerse, conduce a un resultado en el que la inflación es superior al óptimo o, en otras palabras, genera un sesgo inflacionario. La conclusión es inmediata: una forma obvia de enfrentar el problema de inconsistencia dinámica es adoptar una política monetaria sujeta a reglas vinculantes, previamente establecidas y conocidas (Romer, 2006).11
Por su parte, Barro y Gordon (1983a) mostraron que la inflación sigue una trayectoria variable en el tiempo, de acuerdo con la evaluación que realicen las autoridades monetarias sobre los beneficios netos de alterar el ritmo inflacionario. En consecuencia, la relación entre dinero e inflación depende críticamente del tipo de relación existente entre las autoridades y el público. En países donde la autoridad monetaria ha conquistado una reputación adversa a la inflación, la respuesta de la economía frente a un manejo monetario expansivo será más lenta que cuando este ''bono de credibilidad'' está ausente (Rosende, 2003).
No resulta extraño que este debate y sus implicaciones en el diseño de la política monetaria, conjuntamente con las altas inflaciones y el pobre desempeño económico que registraron los países industrializados en la década de 1970, hayan contribuido a la adopción de reglas monetarias sencillas como herramientas para alcanzar bajas tasas de inflación, principalmente en los ochenta: metas de agregados monetarios en economías desarrolladas y tipo de cambio fijo en países en desarrollo, fueron los ingredientes básicos.
La historia reciente puede resumirse en el abandono progresivo de las reglas monetarias descritas, debido, entre otras razones, a la supuesta inestabilidad de la demanda de dinero y a la no neutralidad de la política monetaria en el corto plazo, así como a los desarrollos teóricos que enfatizaban la necesidad de conciliar la estabilidad de precios con un cierto grado de activismo de la política monetaria;12 en particular, la constatación de que una política monetaria restrictiva tenía generalmente efectos negativos importantes sobre producción y empleo. Simultáneamente, una política restrictiva, como la desarrollada por Volcker en la Reserva Federal, produjo un violento aumento en las tasas de interés internacionales que condujeron al abandono generalizado de los tipos de cambio fijo en América Latina. Esta situación planteó la necesidad de establecer nuevas reglas e instituciones para la política monetaria, que impidieran el retorno a las altas tasas de inflación que habían caracterizado, por ejemplo, a América Latina (Rosende, 2002).
En resumen, aunque resulta difícil encontrar pruebas que puedan verificar las teorías que atribuyen la inflación a la incoherencia dinámica, lo cierto es que la política monetaria ha evolucionado en este marco. De hecho, el objetivo de las reglas es limitar o eliminar la discrecionalidad con el propósito de evitar dicha inconsistencia. El principio de que las reglas son mejores que la discrecionalidad continúa presente en la instrumentación de la política monetaria de un banco central. Muchos de los cambios registrados en los bancos centrales buscan promover la credibilidad, la transparencia y una mejor rendición de cuentas de la gestión monetaria. En este sentido, muchos bancos centrales han sido revestidos de mayor independencia y en sus cartas orgánicas se ha plasmado la estabilidad de precios como su objetivo fundamental.
Esta evolución también ha abierto el abanico de posibilidades de actuación de las autoridades monetarias. Como se sabe, en Kydland y Prescott (1977) son dos: una resultante de la adopción de una regla simple de comportamiento, y otra que resulta de sorpresas discrecionales de la autoridad monetaria, siendo esta última el equilibrio menos deseable. Este abanico se amplió recurriendo a una definición más sofisticada de reglas y discreción, que elimina la sutil frontera previamente establecida entre ambos conceptos (Barrera, 2000). La clasificación de las políticas de reglas entre rígidas y activistas, como resultado de los trabajos de Barro y Gordon (1983a y 1983b), es un ejemplo de esta orientación.
No obstante, los trabajos pioneros de Kydland y Prescott (1977) y Barro y Gordon (1983a) mostraron que la consecuencia de una extrema flexibilidad o discrecionalidad en el manejo monetario conducía a la pérdida de credibilidad, afectando directamente el objetivo de estabilización.13 Esto se debe a que el gobierno tiene objetivos que pueden ser contrapuestos y solo pueden ser logrados a través del cumplimiento de los anuncios en materia de inflación (Aboal y Lorenzo, 2004). Las reglas, en cambio, permiten que las decisiones tengan un referente sistemático; son un instrumento de comunicación muy eficaz y permiten explicar lo que se hace; constituyen un medio de comprometerse con un comportamiento claro, evitando presiones externas; y permiten alcanzar en menos tiempo mayor credibilidad (De La Dehesa, 2001).
Pese a estas ventajas, muchos bancos centrales prefieren utilizar la denominada ''ambigüedad creativa'' o discrecionalidad, que limitarse a una regla preanunciada.14 Una de las razones es que una política monetaria predecible tiene poco o ningún efecto en la economía y pueden presentarse muchas ocasiones en las cuales un banco central tiene que actuar discrecionalmente y sorprender. No obstante, tener una regla clara no excluye que se tomen decisiones discrecionales en ocasiones excepcionales, siempre que se expliquen adecuadamente a posteriori.15 Pero los riesgos de preferir la ambigüedad o incertidumbre estructural no son despreciables y supone que los bancos centrales tienen mayor información que los agentes económicos y los mercados. Además, las sorpresas generan problemas de credibilidad que tienden a producir efectos contrarios a los esperados y el comportamiento de los agentes económicos cambia cuando lo hace la política económica y su entorno (De La Dehesa, 2001).
Aunque el objetivo de la política monetaria es la estabilidad de precios, las autoridades monetarias suelen enfrentar el problema de cómo compatibilizar el propósito de lograr tasas de inflación cada vez menores en el largo plazo con el objetivo de corto plazo de evitar reducciones de bienestar, asociadas con las fluctuaciones económicas. Como se sabe, en teoría, bajo expectativas racionales, se presenta un problema de inconsistencia dinámica que elimina la posibilidad de políticas discrecionales para alcanzar ambos objetivos. Sin embargo, en la práctica se utilizan esquemas de política monetaria con este propósito. Entre estos pueden señalarse la discrecionalidad disciplinada o las reglas flexibles que, para lograr su objetivo, necesitan cumplir una serie de requerimientos (Barrera, 2000).
El predominio de la discrecionalidad en la práctica de la política monetaria pareció reforzarse en la era Greenspan y, en particular, cuando la FED enfrentó algunas crisis financieras en los últimos años. Según Blinder y Reis (2005), la política de la Reserva Federal en la era Greenspan ''[...] has been characterized by the exercise of pure, period–by–period discretion, with minimal strategic constraints of any kind, maximal tactical flexibility at all times, and not much in the way of explanation'' (Blinder y Reis, 2005, p. 4).16 Al respecto, Greenspan (2003) señala que la incertidumbre, la creciente interdependencia económica y financiera mundial, pese a los grandes avances, el inevitablemente incompleto conocimiento de las relaciones estructurales de la economía y sus cambios no predecibles en el tiempo, exigen que la política monetaria considere la más probable trayectoria futura para la economía y la distribución de posibles sucesos sobre esa trayectoria.17
En consecuencia, la administración del riesgo debe ser la base de la política monetaria. A la luz de estos riesgos, debe diseñarse una estrategia de política dirigida a maximizar las probabilidades de alcanzar, en el tiempo, la meta de estabilidad de precios y el máximo crecimiento económico sostenible.18 Los modelos de administración de riesgos deben ser usados como guía de la política monetaria, independientemente del cumplimiento de una regla formal de política. En la práctica, esto significa que el objetivo de la política monetaria durante su período en la Reserva Federal fue múltiple, donde el control de la inflación no era la prioridad.
Seguramente, con el actual presidente de la FED, Ben Bernanke, el manejo de la política monetaria en Estados Unidos retorne a un esquema de ''discrecionalidad restringida'', como el de inflation targeting. Este esquema constituye un marco analítico e institucional donde puede acomodarse una política monetaria flexible para hacer frente a problemas distintos a la inflación. Como señalan Bernanke y Mishkin (1997), una estrategia de metas inflacionarias es solo un marco de referencia para el diseño de la política monetaria, más que una regla de política propiamente dicha.
De todas formas, el abandono de las reglas monetarias tradicionales no significó el regreso a las prácticas activistas del pasado. La inestabilidad de la Curva de Phillips goza de un consenso importante. Pero, también, en los bancos centrales predomina la idea de que la política monetaria debe estar dirigida a lograr determinados objetivos inflacionarios y, simultáneamente, estar abierta a cooperar en la estabilidad de corto plazo de la economía.
II. ¿Siguen los bancos centrales alguna regla de política monetaria?
Como se sabe, la mayoría de los bancos centrales han rechazado explícitamente que en la administración de la política monetaria sigan una determinada regla;19 no obstante, la evidencia empírica tiende a mostrar otra cosa. Siguiendo a Blinder (1999), puede explicarse esta aparente paradoja partiendo del esquema de Tinbergen y Theil. Los responsables de la política monetaria tienen ciertos objetivos (baja inflación, estabilidad del producto y, quizás, equilibrio externo) y ciertos instrumentos para hacer frente a sus responsabilidades (la tasa de interés de corto plazo o un agregado monetario). A menos que tengan un objetivo único, el banco central debe encontrar un equilibrio entre los distintos objetivos o, en otras palabras, hacer frente a varias disyuntivas.
En teoría, se parte de un modelo macroeconómico que generalmente se expresa en forma estructural y reducida, donde unas variables endógenas son objetivos de las autoridades económicas y otras son instrumentos de política o variables exógenas.20 Además, se supone que el banco central tiene una función objetivo cuyo valor esperado intenta maximizar, sujeto a la restricción dada por el modelo macroeconómico. Este proceso permite obtener una regla óptima de política o, más exactamente, una función de reacción.21 Como señala Blinder (1999), los bancos centrales conciben en gran medida la política monetaria de esta forma, aunque normalmente de manera muy informal. Ciertamente, el mundo real es mucho más complejo, pero esta simplificación describe el comportamiento de las autoridades monetarias y su gestión es tanto arte como ciencia o una combinación entre reglas y cierto grado de discrecionalidad.22
Ahora bien, independientemente de lo que se entienda por ''regla'', lo cierto es que la concepción inicial en la tradición de Friedman, basada en instrumentos, dio paso a una ''regla'' basada en resultados.23 Barro y Gordon (1983a y 1983b) señalaron que la regla podía ser reactiva y analizaron el papel de la reputación como recurso para producir políticas monetarias menos inflacionistas en el contexto de lo que podría considerarse como un juego repetido (Blinder, 1999). En consecuencia, puede definirse una regla de política monetaria como una función que especifica, desde un punto de vista positivo o normativo, la respuesta de un banco central a los cambios que se producen en la economía (Galí, 1998). En términos de Taylor (1998 y 2000a), una regla describe en forma algebraica, numérica o gráfica los cambios de los instrumentos de política monetaria en respuesta a modificaciones en las variables económicas (Chuecos, 2006).
El diseño de una regla monetaria necesita elegir tanto el objetivo de política, como el instrumento cuyo manejo permite alcanzar dicho objetivo.24 Tres ejemplos de reglas monetarias instrumentales son la regla de Friedman, la regla de McCallum (1999) y las reglas de tasa de interés, entre las cuales pueden citarse la de Taylor (1993) y la de Clarida, Galí y Gertler (1998).25 Esta última es una modificación de Taylor (1993), de tipo Inflation Forecast Based (IFB): la tasa de interés nominal de corto plazo se ajusta tanto a la brecha entre la tasa de inflación esperada y su meta, como a la brecha del producto real esperado.26
Desde principios de la década de los noventa, la conducción de la política monetaria se ha orientado hacia lo que se conoce como ''Inflation Targeting''.27 Desde su formulación inicial, las características de este régimen se han ampliado incorporando la tasa de interés como instrumento y un objetivo real (la brecha del producto), régimen que se ha denominado en la literatura ''Flexible Inflation Targeting'' (Svensson, 1999b y 2007).28 En términos generales, puede afirmarse que se trata de un esquema intermedio entre las estrategias basadas en ''reglas'' y las ''discrecionales'', en la medida en que impone una importante disciplina monetaria, pero sin eliminar una conveniente flexibilidad (o discrecionalidad). Según Svensson (1999a), el esquema de metas de inflación puede ser interpretado como Targeting Rule. Las autoridades monetarias se comprometen a lograr ciertos objetivos, pero no a realizar acciones específicas. Aunque pueden existir objetivos secundarios, la estabilidad de precios constituye su objetivo primario.29
III. La política monetaria en Colombia en los últimos años
Desde principios de los noventa, la política monetaria en Colombia se orientó a reducir gradualmente la inflación, anunciando públicamente una meta puntual anual.30 Según Gómez (2006), estas metas en los noventa fueron más un pronóstico en un programa de consistencia macroeconómica, que un objetivo prioritario y preeminente de la política monetaria. La política monetaria en este decenio se basó en una meta monetaria intermedia y en un régimen de banda cambiaria deslizante, donde las metas de inflación se utilizaron para fijar la pendiente de la banda y la tasa de crecimiento esperada de la oferta de dinero (Gómez, 2006).31 Adicionalmente, en 1995, con el fin de reducir la volatilidad de la tasa de interés interbancaria y de las tasas de más largo plazo, la Junta Directiva del Banco de la República estableció una franja para las tasas de interés de intervención. Estos límites constituían el techo y el piso de la tasa interbancaria y permitían su control indirecto, para lo cual es de suma importancia determinar la cantidad de liquidez que necesitaba el mercado interbancario (Hernández y Tolosa, 2001).
Como puede observarse, la administración de la política monetaria en este período fue compleja, debido a la existencia de varios corredores: para un agregado monetario, para la tasa de interés interbancaria y para el tipo de cambio. Dado que en una economía abierta pueden existir conflictos a la hora de intentar controlar simultáneamente estas tres variables, la Junta definió unas prioridades según las cuales, en caso de conflicto, se sacrificaría en primer lugar el control sobre las tasas de interés, en tanto que el abandono del corredor monetario o de la banda cambiaria debería analizarse a la luz de las circunstancias de la economía, en particular, en lo relativo a su situación externa. Durante este período, nunca existió una meta monetaria estricta, bien sea la base monetaria o agregados más amplios (Hernández y Tolosa, 2001).
En términos de instrumentos y objetivos, esta estrategia tenía la tasa de interés como meta operativa, un agregado monetario como meta intermedia (Gómez, 2006) y, presumiblemente, la inflación como meta final. En consecuencia, puede afirmarse que se adoptó un régimen de manejo monetario intermedio o híbrido, con una cierta prioridad a los agregados monetarios. De hecho, la autoridad monetaria no escogió ninguna de las estrategias extremas o de esquina, más transparentes y fáciles de entender por el público (Hernández y Tolosa, 2001).32
En los últimos años, la política monetaria en Colombia ha sido conducida bajo el esquema de metas de inflación. Como se sabe, en este régimen la meta operativa es la tasa de interés y la meta intermedia es el pronóstico de inflación. La inflación se dirige a la meta, por medio de un mecanismo operativo orientado hacia el futuro y basado en los mecanismos de transmisión de la política monetaria (Gómez, 2006). Sin embargo, entre su anuncio en 1996 y su implementación formal en 2001, se adoptaron varias medidas tendientes a darle su base de operación.33
En la actualidad, el Banco de la República fija unas metas de inflación de corto plazo (uno y dos años) en un rango y tiene, además, una meta de inflación de largo plazo entre 2% y 4%, ambas definidas sobre el IPC. El mecanismo de transmisión a la inflación comienza con las tasas de intervención del banco (las tasas repos). La tasa de interés interbancaria fluctúa entre las tasas repos de expansión y contracción y transmite las decisiones de política a las otras tasas de interés de la economía. Finalmente, como en la mayoría de los países, el Banco de la República interviene en el mercado cambiario mediante decisiones discrecionales y reglas predeterminadas para modificar las reservas o controlar la volatilidad del tipo de cambio.34
IV. Una regla monetaria óptima para Colombia
Según Walsh (2003), una regla instrumental es aquella que expresa directamente (sin mediar un ejercicio de optimización) el instrumento de política monetaria en términos de otras variables del sistema. En cambio, las reglas óptimas son resultado de la solución de un problema de optimización dinámica del banco central (Rossi, 2006); no son más que la mejor reacción de la política monetaria, dadas las preferencias de las autoridades, ante movimientos en las variables predeterminadas. Grosso modo, una regla de política monetaria óptima está conformada por tres elementos centrales: una función objetivo, un modelo que describa las relaciones entre las principales variables macroeconómicas y una hipótesis en torno a los impactos de las acciones de política monetaria sobre aquellas variables. Estos elementos determinan la forma específica de la regla óptima (Galí, 1998).
Debido a las dificultades prácticas para formalizar el problema de un banco central y la necesaria incertidumbre sobre muchos de sus detalles,35 buena parte de los esfuerzos de muchos investigadores se ha centrado en la búsqueda de reglas simples de política monetaria que muestren propiedades deseables para una variedad de modelos, aunque no coincidan con las reglas óptimas seguidas por los bancos centrales (Galí, 1998). Estas reglas tratan de aproximar el comportamiento de las autoridades monetarias. Si las decisiones de estas autoridades son observacionalmente similares a las tomadas aplicando una regla, su forma funcional y las estimaciones de sus coeficientes pueden dar información sobre el modo en que responden a las situaciones pasada, presente o esperada de la economía (López, 2002).
En Colombia se han realizado varios trabajos tendientes a caracterizar la función de reacción del Banco de la República, bien sea mediante reglas instrumentales o a través de reglas óptimas. La mayoría de estos trabajos utilizan una regla de política monetaria en el contexto de un modelo macroeconómico, donde se especifican los mecanismos de transmisión de la política monetaria y una función de pérdida del banco central. En la literatura, estas reglas se denominan Targeting Rules (Rudebush y Svensson, 1998 y Svensson, 1999a) y son óptimas, puesto que las autoridades monetarias buscan minimizar una función de pérdida, condicionada a la dinámica del modelo. Otros trabajos, en cambio, estiman directamente una regla monetaria (óptima o instrumental). Los trabajos que estiman una regla instrumental son aquellos que no realizan, por lo menos, en forma explícita una solución formal del problema de la autoridad monetaria y, en consecuencia, imponen su forma funcional.36
La tabla 1 muestra las principales características de trabajos realizados para Colombia, siguiendo la presentación de Julio (2006) con algunas modificaciones. Como puede observarse, estos modelos son dominantemente Inflation Forecast Based (IFB) o forward–looking y suponen que las autoridades monetarias intentan estabilizar tanto la inflación como el producto, donde la tasa de interés es el instrumento de política. Explícita o implícitamente, suponen que la economía es pequeña y abierta con movilidad imperfecta de capitales (es decir, son del tipo MMT para los que tienen su forma estructural explícita), exceptuando a Julio y Gómez (1999) donde es una economía cerrada.
En particular, aquellos trabajos que estiman directamente la regla de política monetaria se basan en Clarida, Gali y Gertler (1998 y 2000). Además, solamente Restrepo (1998) y Bernal (2002) incluyen, en forma separada, el tipo de cambio en algunas estimaciones de la regla. La razón de su exclusión en los otros trabajos se debe posiblemente a que, en la medida en que el tipo de cambio afecta la proyección de inflación o la inflación observada,37 estará implícitamente afectando la evolución de la tasa de interés de intervención. En estas condiciones, no habría razones para incluirlo como variable separada.
A. El modelo
Como es usual en la literatura, se parte de una función de pérdida intertemporal de las autoridades monetarias que depende de las desviaciones del producto y de la inflación.38 Siguiendo el procedimiento de De Gregorio (2007), para una economía abierta, el problema consiste en:
: Función de pérdida del banco central, donde ξ es la tasa subjetiva de descuento intertemporal, ξ
( 0, 1) .39 s.a
Curva de Phillips de economía abierta
La función de pérdida refleja el objetivo del banco central de mantener la estabilidad macroeconómica, donde λ representa la aversión a las desviaciones del producto respecto de las desviaciones de la inflación. Tanto θ como δ son mayores que cero y t ε es un shock inflacionario ruido blanco. Por su parte, y, p, y q son el producto, la inflación y el tipo de cambio real actuales respectivamente, la variable x indica el valor meta o de equilibrio de largo plazo. La curva de demanda agregada (IS) de una economía abierta tiene la siguiente forma:
Donde φ y α son positivos y t μ es un shock de demanda ruido blanco. Despejando de la Curva de Phillips (y – y ) y reemplazando en la función de pérdida del banco central, el problema de optimización resultante es el siguiente:
Sustituyendo (3) en la curva IS y despejando it se tiene:

Pero, de la curva IS de estado estacionario,41 sabemos (De Gregorio, 2007) que: 
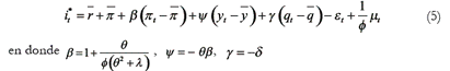
Despejando de la Curva de Phillips e πt y sustituyendo en (4), obtenemos una expresión para la regla de Taylor de una economía abierta:

Puede observarse que esta regla óptima (ecuación 5) cumple el principio de Taylor respecto de la inflación contemporánea, dado que su coeficiente (β) es mayor que uno.
De acuerdo con Clarida, Gali y Gertler (1998), con el fin de capturar el propósito de suavizamiento de los bancos centrales, asumimos que la tasa de interés se ajusta parcialmente a su objetivo:

Reemplazando (5) en (6) se tiene que:

Como puede observarse, esta regla de Taylor (suavizada y modificada) es óptima, aunque no forward looking que, en principio, puede constituir una limitación. La inclusión explícita del tipo de cambio real en la regla puede reflejar un propósito de equilibrio externo de las autoridades económicas. Ciertamente, el tipo de cambio juega un rol importante tanto en la inflación contemporánea, como en su proyección. Y, en este sentido, los ajustes de la tasa de interés de política incorporarán sus movimientos en la medida en que afecten la inflación. Sin embargo, particularmente en los países en desarrollo, los bancos centrales suelen también tener como objetivo preservar la estabilidad externa de la economía y un desalineamiento prolongado del tipo de cambio real puede tener efectos negativos sobre el desempeño económico.42
La ecuación a estimar es una leve modificación de (7):

La razón de esta modificación es que, en la mayor parte del período utilizado para la estimación de la regla, las metas de inflación fueron más un pronóstico en un programa de consistencia macroeconómica, que un objetivo prioritario y preeminente de la política monetaria (Gómez, 2006), en un contexto de reducción gradual de la inflación. En consecuencia, pese a los anuncios públicos de metas, la política monetaria puede enmarcarse en lo que la literatura denomina implicit inflation targeting.
B. Estimación de la regla óptima
La regla obtenida se estima entre 1991(I)–2006(IV). Debido a la presencia de un cambio estructural en la serie de tasa de interés, se incluyen dos variables dummy: d1 y d2 para los sub–períodos 1991(I)–1999(III) y 1999(IV)–2006(IV).43 Se estiman una regla general (ecuación 8), con las desviaciones tanto del tipo de cambio real como nominal, y otra excluyendo estas desviaciones. Las desviaciones se obtuvieron mediante el filtro de Hodrick–Prescott (HP).
Gráfico 1. Tasas de interés nominales (Promedio trimestral)
La tasa de interés nominal utilizada es el promedio trimestral de la DTF–90 días mensual reportada por el Banco de la República. Como puede observarse en el gráfico 1, esta tasa se mueve estrechamente con una tasa de intervención del Banco de la República. 44 El test de Perron de raíz unitaria con cambio estructural muestra que es estacionaria. De igual manera, según el test de raíz unitaria ADF, la inflación es estacionaria por niveles, las otras variables también son estacionarias. La estimación se realizó mediante el Método Generalizado de los Momentos (GMM), que suele ser más apropiado que otros métodos.45 Los resultados de los modelos se presentan en tabla 2.
Como puede observarse, los valores del coeficiente β resultaron mayores que 1. Además, en todas las especificaciones β1 < β2, lo que probablemente indique que el Banco de la República reaccionó con mayor fuerza a la inflación en el segundo período que en el primero. En cuanto a la brecha del producto, aunque estadísticamente significativa, su importancia cuantitativa (valor del coeficiente) es despreciable. Posiblemente este reducido valor se debe a que tanto la inflación como el producto se determinan conjuntamente, interacción que la autoridad monetaria conoce cuando fija su instrumento de política (De Gregorio, 2007).46

Otro resultado interesante es que las desviaciones del tipo de cambio resultaron importantes en la función de reacción únicamente en el primer período, es decir, durante el régimen de franja cambiaria (implícita o explícita).47 Cabe señalar que la no significancia estadística de una meta de tipo de cambio (nominal o real) en la regla monetaria durante el segundo período, probablemente se debe a la utilización de otros instrumentos para el logro de este objetivo.48 En todo caso, lo que parece cierto es que, de un lado, las preocupaciones y compromisos de las autoridades monetarias con respecto a esta variable son menores en un régimen de flotación y, de otro lado, la tasa de interés no ha sido utilizada con este propósito.
Puesto que el resultado de (1–р) η no fue estadísticamente diferente de cero y р ≠ 0, entonces η =0. Pero como [r +(1–β)π]= η es posible obtener la meta de inflación implícita (π ). Sin embargo, previamente es necesario estimar la tasa de interés real natural o de equilibrio de largo plazo (r). Para este propósito se eliminaron las observaciones extremas de la tasa de interés real trimestral en el período de estimación (menores o iguales a cero y superiores a 7,0%). Las observaciones seleccionadas representaron el 68,8% de los datos totales. La tasa de interés real promedio en el período 1991–2006 fue 3,14%.49 En consecuencia, las metas de inflación implícitas resultantes oscilaron, en el primer sub–período, entre 17,1% y 22,0%, rango razonable que incluye el promedio de las metas de inflación fijadas por el Banco de la República en la década de los noventa (18,8%).50 En el segundo sub–período, las metas implícitas se sitúan en 8,3% y 10,0% respectivamente, mientras que el valor promedio de las metas de inflación colombianas fue 6,4%.51 Sin embargo, puesto que es probable que la tasa de interés real natural haya descendido en la primera mitad de la década actual, como parece desprenderse de las estimaciones de Echavarría et al. (2006),52 se calculó la tasa de interés real promedio en el período 2000–2006. Esta tasa fue de 2,37% y, en consecuencia, las metas de inflación implícitas son 7,5% en la especificación general y 8,2% en la especificación base. En ambos casos, las diferentes especificaciones del modelo sobre–estiman el valor promedio de la metas de inflación de las autoridades monetarias colombianas en este segundo sub–período.53
Finalmente, en el gráfico 2 se presentan las tasas de interés observada y predichas por las tres especificaciones. Como puede observarse, las predicciones mejoran sensiblemente en el segundo período.54 En cambio, durante el primer período, la precisión de las estimaciones es un poco menor, debido, en parte, a la inferior calidad de la política monetaria. Como se señaló, su conducción se caracterizó por un esquema híbrido, complejo y de múltiples objetivos, por lo menos, en términos de prioridades, lo que se tradujo en poca transparencia y credibilidad.55 Su resultado fue un incumplimiento generalizado de las metas de inflación en la década de los noventa.
Gráfico 2. Tasas de interés observadas y estimadas
Conclusiones
Las reglas monetarias tratan de aproximar el comportamiento de los bancos centrales. En Colombia se han realizado varios trabajos tendientes a caracterizar la función de reacción del Banco de la República, bien sea mediante reglas instrumentales o a través de reglas óptimas; la mayoría de estos trabajos utilizan una regla de política monetaria en el contexto de un modelo macroeconómico, donde se especifican los mecanismos de transmisión de la política monetaria y una función de pérdida del banco central. Otros trabajos, en cambio, estiman directamente una regla monetaria (óptima o instrumental).
En este trabajo se estimó una regla de Taylor óptima de una economía abierta, aunque no forward looking, para el período 1991–2006. Debido a la presencia de un cambio estructural en la serie de tasa de interés, se incluyen dos variables dummy: d1 y d2 para los sub–períodos 1991(I)–1999(III) y 1999(IV)–2006(IV). En la estimación se utilizan tres especificaciones: una solamente incluye producto e inflación y las otras incorporan el tipo de cambio real y nominal, respectivamente.
Los resultados muestran que probablemente las autoridades monetarias reaccionaron con mayor fuerza a la inflación en el segundo período que en el primero. En cuanto a la brecha del producto, aunque estadísticamente significativa, su importancia cuantitativa es despreciable. Otro resultado interesante es que las desviaciones del tipo de cambio resultaron importantes en la función de reacción únicamente durante el régimen de franja cambiaria (implícita o explícita).
Además, las predicciones son sensiblemente mejores en el segundo que en el primer período. Este segundo período se caracteriza por la implementación cabal del esquema de metas de inflación. En cambio, en el primer período, la menor precisión de las estimaciones probablemente se debe, en parte, a la adopción de un esquema híbrido, complejo y de múltiples objetivos, por lo menos, en términos de prioridades, de poca transparencia y credibilidad. Su resultado fue un incumplimiento generalizado de las metas de inflación en los noventa.
Bibliografía
1. Abel, Andrew y Bernanke, Ben (2004). Macroeconomía, Madrid, Pearson Educación. [ Links ]
2. Aboal, Diego y Lorenzo, Fernando (2004). ''Regla monetaria óptima para una economía pequeña, abierta y dolarizada'', CSIC, Universidad de la República, Marzo 2004, pp. 1–28. [ Links ]
3. Amaya, Carlos Andrés (2005). ''Interest Rate Setting and the Colombian Monetary Transmission Mechanism'', Borradores de Economía, No. 352, Septiembre 2005, pp. 1–35. [ Links ]
4. Arango, Luís Eduardo; González, Andrés; León, Jairo y Melo, Luís Fernando (2006). ''Cambios en la tasa de intervención y su efecto en la estructura a plazo de Colombia'', Borradores de Economía, No. 424, Diciembre 2006, pp. 1–35. [ Links ]
5. Argandoña, Antonio; Gómez, Consuelo y Mochón, Francisco (1996). Macroeconomía Avanzada I, Madrid, McGraw–Hill. [ Links ]
6. Barrera, Carlos (2000). ''Mecanismos de Transmisión y Reglas de Política Monetaria: La posición de la política monetaria como variable de estado'', Estudios Económicos, No. 6, Banco Central de Reserva del Perú, Noviembre 2000, pp. 1–51. [ Links ]
7. Barro, Robert y Gordon, David (1983a). ''Rules, Discretion and Reputation in a Model of Monetary Policy'', Journal of Monetary Economics, Vol. 12, No. 1, Julio 1983, pp. 101–121. [ Links ]
8. Barro, Robert y Gordon, David (1983b). ''A Positive Theory of Monetary Policy in a Natural–Rate Model'', Journal of Political Economy, Vol. 91, No. 4, Agosto 1983, pp. 589–610. [ Links ]
9. Baum, Christopher; Schaffer, Mark y Stillman, Steven (2003). ''Instrumental Variables and GMM: Estimation and Testing'', The Stata Journal, Vol. 3, No. 1, Marzo 2003, pp. 1–31. [ Links ]
10. Bernhardsen, Tom y Gerdrup, Karsten (2007). ''The Neutral Real Interest Rate'', Economic Bulletin, No. 2, Junio 2007, Norges Bank, pp. 52–64. [ Links ]
11. Bernal, Raquel (2002). ''Monetary Policy Rules in Colombia'', Documento CEDE, No. 2002–18, Noviembre 2002, pp. 1–15. [ Links ]
12. Bernanke, Ben y Mishkin, Frederic (1997). ''Inflation Targeting: A New framework for Monetary Policy?'', Journal of Economic Perspectives, Vol. 11, No. 2, Primavera 1997, pp. 97–116. [ Links ]
13. Blinder, Alan (1997). ''Distinguished Lecture on Economics in Government: What Central Bankers Could Learn from Academics and Vice Versa'', Journal of Economic Perspectives, Vol. 11, No. 2, Primavera 1997, pp. 3–19. [ Links ]
14. Blinder, Alan (1999). El Banco Central: Teoría y Práctica, Barcelona, Antoni Bosch. [ Links ]
15. Blinder, Alan y Reis, Ricardo (2005). ''Understanding the Greenspan Standard, in Economic Performance in the Greenspan Era: The Evolution of Events and Ideas'', Federal Reserve Bank of Kansas City symposium, Jackson Hole, Wyoming, Agosto 25–27. Disponible en: www.kansascityfed.org/publicat/ sympos/2005/sym05prg.htm. [ Links ]
16. Calvo, Guillermo (1978). ''On the Time Consistency of Optimal Policy in a Monetary Economy'', Econometrica, Vol. 46, No. 6. Noviembre 1978, pp. 1411–1428. [ Links ]
17. Clarida, Richard; Galí, Jordi y Gertler, Mark (1998). ''Monetary Policy Rules in Practice: Some International Evidence'', European Economic Review, No 42, Junio 1998, pp. 1033–1067. [ Links ]
18. Clarida, Richard; Galí, Jordi y Gertler, Mark (1999).''The Science of Monetary Policy: A New Keynesian Perspective'', Journal of Economic Literature, Vol. XXXXVII, Diciembre 1999, pp. 1661–1707. [ Links ]
19. Clarida, Richard; Galí, Jordi y Gertler, Mark (2000). ''Monetary Policy Rules and macroeconomic Stability: Evidence and Some Theory'', The Quarterly Journal of Economics, Vol. 115, No. 1, Febrero 2000, pp. 147–180. [ Links ]
20. Chuecos, Alicia (2006). ''Orientación de la política monetaria en Venezuela'', Revista Venezolana de Análisis de Coyuntura, Vol. 12, No. 1, Enero 2006, pp. 85–110. [ Links ]
21. Contreras , Hugo (1996). ''Reglas versus discrecionalidad en las políticas públicas. Un enfoque macroeconómico'', Revista Política y Cultura, No. 7, UAM. Disponible en: http://polcul.xoc.uam.mx/~polcul/pyc07/155–174.pdf [ Links ]
22. De Gregorio, José (2007). Macroeconomía: Teoría y Políticas, México D.F., Pearson Educación. [ Links ]
23. De La Dehesa , Guillermo (2001). ''La credibilidad del Banco Central Europeo'', El País, Madrid, Mayo 2001. [ Links ]
24. Desormeaux, Jorge (2007). Comentarios al Libro ''La Escuela de Chicago'', editado por Francisco Rosende. Disponible en: www.bcentral.cl/politicas/presentaciones/consejeros/pdf/2007/jdj23082007.pdf. [ Links ]
25. Echavarría, Juan José; López, Enrique; Misas , Martha; Téllez, Juana y Parra, Juan Carlos (2006). ''La tasa de interés natural en Colombia'', Borradores de Economía, No. 412, Octubre 2006, pp. 1–51. [ Links ]
26. Echeverry, Juan Carlos (1999). ''La recesión actual en Colombia: flujos, balances y política contracíclica'', Archivos de Economía, No. 113, Junio 1999, pp. 1–36. [ Links ]
27. Galí, Jordi (1998). ''La política monetaria europea y sus posibles repercusiones sobre la economía española'', Estudios sobre la Economía Española, FEDEA, EEE 8, Diciembre 1998, pp. 1–51. [ Links ]
28. Goldstein, Morris (2002). Managed Floating Plus, Washington D.C., Institute for International Economics. [ Links ]
29. Gómez, Javier (2006). ''La política monetaria en Colombia'', Borradores de Economía, No. 394, Abril 2006, pp. 1–36. [ Links ]
30. Gómez, Javier; Uribe, José Darío y Vargas , Hernando (2002). ''The Implementation of Inflation Targeting in Colombia'', Borradores de Economía, No. 202, Marzo 2002, pp. 1–62. [ Links ]
31. Giraldo, Andrés Felipe (2007). ''Aversión a la inflación y regla de Taylor en Colombia: 1994–2005'', Pontificia Universidad Javeriana, Julio 2007, pp. 1–27. [ Links ]
32. Greenspan, Alan (2003). ''Opening Remarks, in Monetary Policy and Uncertainty: Adapting to a Changing Economy'', Federal Reserve Bank of Kansas City symposium, Jackson Hole, Wyoming, Agosto 28–30. Disponible en: http:// kansascityfed.org/publicat/sympos/2003/sym03prg.htm. [ Links ]
33. Hernández, Antonio y Tolosa , José (2001). ''La política monetaria en Colombia en la segunda mitad de los años noventa'', Borradores de Economía, No. 172, Febrero 2001, pp. 1–45. [ Links ]
34. Ho, Corrinne y McCauley, Robert (2003). ''Living With Flexible Exchange Rates: Issues and Recent Experience in Inflation Targeting Economies'', Bank for International Settlements (BIS) Working Papers, No. 130, Febrero 2003, pp. 1–55. [ Links ]
35. Huertas , Carlos; Munir, Jalil; Olarte, Sergio y Romero, José Vicente (2005). ''Algunas consideraciones sobre el canal del crédito y la transmisión de tasas de interés en Colombia'', Borradores de Economía, No. 351, Septiembre 2005, pp. 1–38. [ Links ]
36. Julio, Juan Manuel (2001). ''Relación entre la tasa de intervención del Banco de la República y las tasas del mercado: Una exploración empírica'', Borradores de Economía, No. 188, Septiembre 2001, pp. 1–11. [ Links ]
37. Julio, Juan Manuel (2006). ''The Monetary Policy Rule During the Transition to a Stable Level of Inflation: The Case of Colombia'', Borradores de Economía, No. 404, Septiembre 2006, pp. 1–12. [ Links ]
38. Julio, Juan Manuel y Gómez, Javier (1999). ''Output Gap Estimation, Estimation Uncertainty and its Effect on Policy Rules'', Borradores de Economía, No. 125, Junio 1999, pp. 2–26. [ Links ]
39. Kalmanovitz, Salomón (2002). ''El Banco de la República y el régimen de meta de inflación'', Banco de la República, Febrero 2002. Disponible en: www.banrep.gov.co/junta/publicaciones/salomon/banca31.pdf. [ Links ]
40. Kydland, Finn y Prescott, Edward, (1977). ''Rules rather than discretion: The inconsistency of optimal plans'', Journal of Political Economy, Vol. 85, No. 3, Junio 2002, pp. 473–492. [ Links ]
41. López, Víctor (2002). ''¿Ha seguido el Banco de España una regla de Taylor con información en tiempo real?'', Investigaciones Económicas, Vol. 26, No. 3, Septiembre 2002, pp. 475–496. [ Links ]
42. Lucas , Robert (1972). ''Expectations and the Neutrality of Money'', Journal of Economic Theory, Vol. 4, No. 2, Abril 1972, pp. 103–124. [ Links ]
43. Lucas , Robert (1973). ''Some International Evidence on Output–Inflation Tradeoffs'', American Economic Review, Vol. 63, No. 3, Junio 1973, pp. 326– 334. [ Links ]
44. Mas on, Paul; Savas tano, Miguel y Sharma, Sunil (1997). ''The Scope for Inflation Targeting in Developing Countries'', IMF Working Paper, No. 97/130, Octubre 1997, pp. 1–53. [ Links ]
45. McCallum, Bennett (1997). ''Issues in the Design of Monetary Policy Rules'', NBER Working Paper, No. 6016, Abril 1997, pp. 1–76. [ Links ]
46. McCallum, Bennett (1999). ''Recent Developments in the Analysis of Monetary Rules'', Federal Reserve Bank of St. Louis Review, Noviembre–Dicienbre 1999, pp. 1–10. [ Links ]
47. Melo, Luis Fernando y Becerra, Oscar Reinaldo (2006). ''Una aproximación a la dinámica de las tasas de interés de corto plazo en Colombia a través de modelos GARCH multivariados'', Borradores de Economía, No. 366, Febrero 2006, pp. 1–29. [ Links ]
48. Mishkin, Frederic y Schmidt–Hebbel, Klaus (2001). ''One Decade of Inflation Targeting In the World: What Do We Know and What Do We Need to Know'', NBER Workin Paper, No. 8397, Julio 2001, pp. 1–48. [ Links ]
49. Morandé, Felipe (2001). ''A Decade of Inflation Targeting in Chile: Developments, Lessons and Challenges'', Journal Economía Chilena, Vol. 4, No. 1, Abril 2001, pp. 35–62. [ Links ]
50. Pagnotta, Emiliano (2002). ''Elementos de análisis para la adopción de metas inflacionarias como estrategia monetaria'', Universidad de Buenos Aires y FLACSO, Julio 2002, pp. 1–26. [ Links ]
51. Pérez, Julián (2005). ''Evaluación de reglas de tasa de interés en un modelo de pequeña economía abierta'', Borradores de Economía, No. 385, Diciembre 2005, pp. 1–40. [ Links ]
52. Posada, Carlos Esteban (1999). ''La tasa de interés en una economía pequeña con movilidad imperfecta de capitales: el caso colombiano del siglo XX'', Borradores de Economía, No. 113, Febrero 1999, pp. 1–61. [ Links ]
53. Posada, Carlos Esteban y GARCÍA, Andrés Felipe (2006). ''¿No importa la cantidad de dinero?: Inflation Targeting y la teoría cuantitativa'', Borradores de Economía, No. 403, Septiembre 2006, pp. 1–20. [ Links ]
54. Restrepo, Jorge Enrique (1998). ''Reglas monetarias en una economía pequeña y abierta'', Ensayos sobre política económica. No. 33. Junio 1998, pp. 61–84. [ Links ]
55. Restrepo, Jorge Enrique (1999). ''Reglas monetarias en Colombia y Chile'', Archivos de Economía (DNP), No. 99. Enero 1999, pp. 1–30. [ Links ]
56. Romer, David (2006). Macroeconomía Avanzada, Madrid, McGraw–Hill. [ Links ]
57. Rosende, Francisco (2002). ''La Nueva Síntesis Keynesiana: Análisis e Implicancias de Política Monetaria'', Cuadernos de Economía, Año 39, No. 117, Agosto 2002, pp. 203–233. [ Links ]
58. Rosende, Francisco (2003). ''¿El fin del monetarismo?'', Cuadernos de Economía, año 40, No. 121, Diciembre 2003, pp. 681–689. [ Links ]
59. Ross i, María Fernanda (2006). ''Evaluación de reglas alternativas de política monetaria cuando el instrumento es un agregado monetario: el caso de Uruguay'', Universidad de la República, XXI Jornadas Anuales de Economía, Febrero 2006, pp. 1–32. [ Links ]
60. Rubli, Federico (2004). ''¿Grados óptimos de comunicación para un banco central?'', CEMLA, IX Reunión de Comunicación y Banca Central, México D.F., 10–12 de noviembre 2004, pp. 1–25. [ Links ]
61. Rudebush, Glenn y Svenss on, Lars (1998). ''Policy Rules for Inflation Targeting'', NBER Working Paper, No. 6512, Abril 1998, pp. 1–54. [ Links ]
62. Simons, Henry (1936). ''Rules versus Authorities in Monetary Policy'', Journal of Political Economy, Vol. 44, No. 1, Febrero 1936, pp. 1–30. [ Links ]
63. Solís, Oscar Gustavo (2005). ''Modelos estructurales de pronósticos de inflación en Latinoamérica'', Banco de Guatemala, Notas Monetarias, No. 72, Marzo 2005, pp. 1–6. [ Links ]
64. Svenss on, Lars (1999a). ''Inflation Targeting as a Monetary Policy Rule'', Journal of Monetary Economics, Vol. 43, No. 3, Junio 1999, pp. 607–654. [ Links ]
65. Svenss on, Lars (1999b). ''Inflation Targeting: Some Extensions'', Scandinavian Journal of Economics, Vol. 101, No, 3, Septiembre 1999, pp. 337–361. [ Links ]
66. Svenss on, Lars (2003). ''The Inflation Forecast and the Loss Function'', Enero 2003. Disponible en: http://www.princeton.edu/svensson/papers/if.pdf (Octubre 16 de 2007). [ Links ]
67. Svenss on, Lars (2007). ''Optimal Inflation Targeting: Further Developments of Inflation Targeting'', en MISHKIN, Frederic y SCHMIDT–HEBBEL, Klaus (eds.), (2007), Monetary Policy under Inflation Targeting, Santiago de Chile, Banco Central de Chile, pp. 187–225. [ Links ]
68. Taylor, John (1993). ''Discretion versus Policy Rules in Practice'', Carnegie– Rochester Conference Series on Public Policy, Vol. 39, Diciembre 1993, pp. 195–214. [ Links ]
69. Taylor, John (1998). ''An Historical Analysis of Monetary Policy Rules'', NBER Working Paper, No. 6768, Octubre 1998, pp. 1–54. [ Links ]
70. Taylor, John (2000a). ''Recent Developments in the Use of Monetary Policy Rules'', Documento presentado en la Conferencia: Inflation Targeting and Monetary Policies in Emerging Economies, Banco Central de la República de Indonesia, Julio 13–14, Jakarta. [ Links ]
71. Taylor, John (2000b). ''Uso de reglas de política monetaria en economías de mercado emergentes'', pp. 497–515. Disponible en: www.banxico.org.mx/tipo/publicaciones/seminarios/John%20Taylor.pdf (Diciembre 18 de 2006). [ Links ]
72. Taylor, John (2005). ''Los objetivos de la política monetaria y su contribución al crecimiento sostenido'', Conferencia en conmemoración del 70 aniversario del Banco Central de la República Argentina, Buenos Aires, Mayo 30 de 2005. [ Links ]
73. Villar, Leonardo (1996). ''¿Deben bajar las tasas de interés? ¿Cómo lograrlo?'', Debates de Coyuntura Económica, No. 37, Marzo 1996, pp. Walsh, Carl (2003). Monetary Theory and Policy, Cambridge, Massachusetts, MIT Press. [ Links ]
Primera versión recibida en febrero 2008; versión final aceptada en agosto de 2008
Notas
1 Esta expresión es utilizada por Barrera (2000) a partir del artículo de Blinder (1997). Sin embargo, Barrera considera que la versión light del esquema de inflation targeting constituye el eslabón perdido entre las literaturas sobre la teoría y la práctica de la política monetaria. Rhenals – Saldarriaga: Una regla de Taylor óptima para Colombia, 1991–2006.
2 Los instrumentos son relativamente pocos en relación con los objetivos.
3 Además, está asociado con las posibilidades de la política monetaria de afectar transitoriamente la producción y el empleo o, en otras palabras, con la discusión en torno a la neutralidad del dinero en el corto plazo, lo que remite a las características y estabilidad de la Curva de Phillips. Este artículo tiene como base la existencia de rigideces que impiden el ajuste de precios o salarios en el corto plazo, otorgándole un espacio a la política monetaria para intentar algún tipo de políticas de estabilización del producto o de otra variable real o, en otras palabras, se sitúa en el contexto de la Nueva síntesis keynesiana.
4 Como se sabe, el Sistema de Reserva Federal (FED) fue creado en diciembre de 1913 y se optó, contrariamente a lo recomendado por Simons, por una oferta monetaria flexible.
5 Una síntesis de la crítica monetarista a la política económica discrecional, así como sus argumentos a favor de las reglas, puede verse tanto en Argandoña, Gámez y Mochón (1996), como en Abel y Bernanke (2000).
6 Estos cambios deben ser aleatorios y no pueden considerarse como política monetaria, dado que las autoridades deben comportarse erráticamente, lo que transmitiría señales confusas que podrían empeorar el funcionamiento normal de la economía. Cabe señalar que, desde finales de la década de 1960, Milton Friedman y Edmund Phelps habían mostrado la existencia de un trade off entre desempleo y tasa de crecimiento de la inflación y no entre inflación y desempleo. Este hallazgo, conocido en la literatura como hipótesis aceleracionista, afirma que las autoridades económicas solo pueden reducir el desempleo en el período corriente si manipulan la demanda agregada de forma que la inflación corriente exceda a la inflación pasada. Sostuvieron también que la idea de que variables nominales pudieran afectar de manera permanente a variables reales no era razonable, puesto que el comportamiento de largo plazo de estas últimas viene determinado por fuerzas de naturaleza igualmente real (Romer, 2006).
7 La Curva de Phillips es la aplicación más famosa de esta crítica.
8 Una regla monetaria óptima es simplemente la mejor reacción de la política monetaria, dadas las preferencias del policy maker, ante movimientos en las variables predeterminadas (Aboal y Lorenzo, 2004).
9 La cuestión de reglas versus discreción se refiere al proceso de cambio de las variables claves usadas como instrumentos de política. Una política discrecional es aquella que reacciona a cada nueva información, adaptando los valores de los instrumentos sin ninguna restricción previa. Por definición es siempre activista. En cambio, en una política de reglas la reacción de las autoridades monetarias está predeterminada y puede ser activista o no activista (Argandoña, Gámez y Mochón, 1996).
10 Calvo (1978) muestra los problemas de inconsistencia temporal de la política monetaria en un modelo donde la inflación tiene un origen fiscal.
11 En la literatura existen otras formas de evitar el problema de inconsistencia dinámica que no implican el recurso a compromisos vinculantes como, por ejemplo, las basadas en la reputación y la delegación.
12 La oferta agregada con expectativas racionales y en presencia de algún grado de inflexibilidad de precios en el corto plazo.
13 Los trabajos teóricos de estos autores contribuyeron también a sentar los fundamentos de la conducción de la política monetaria por parte de un banco central moderno y examinaron las bases para forjar su credibilidad (Rubli, 2004).
14 La discrecionalidad disciplinada o restringida que practican dominantemente los bancos centrales es un reconocimiento de la mayor eficiencia de conducción de la política monetaria basada en reglas que, mediante acciones discrecionales se vayan adaptando a las circunstancias particulares del momento. Aunque se ha desechado la estricta aplicación de reglas inamovibles, la forma en que actuarían las autoridades monetarias es altamente conocida y predecible. Desde hace algún tiempo, parece no ser posible que un banquero central afirme lo que decía Maisel, un gobernador de la Reserva Federal, en 1965: ''Después de concurrir a 12 reuniones del FOMC (Federal Open Market Committee), empecé a darme cuenta de lo lejos que estaba de entender la teoría de la FED'' (citado por Taylor, 2005).
15 Existe un relativamente amplio consenso de que una buena política monetaria es aquella que es predecible y goza, por tanto, de una mayor credibilidad. El público y los mercados necesitan comprender lo que los bancos centrales han decidido y ejecutarán (credibilidad). Y la mejor manera de clasificar las acciones como normales o excepcionales es tener una regla básica de comportamiento y ajustarse a ella.
16 Este artículo realiza un análisis detallado de la conducción de la política monetaria en Estados Unidos durante el período de Alan Greenspan.
17 La política monetaria de Greenspan parece coherente con la teoría de la Inflación de equilibrio de Barro y Gordon (1983a). En efecto, después de un período de alta inflación, este modelo predice que el banco central aprovechará un ciclo expansivo favorable, en el caso de Estados Unidos probablemente impulsado por un shock tecnológico, para sostener una inflación baja (Rosende, 2002).
18 Según Greenspan (2003), la política monetaria basada en la administración del riesgo parece ser el sistema más útil para la gestión monetaria.
19 En Svensson (1999a) Blinder (1999) y Pagnotta (2002), por ejemplo, se presentan una serie de razones de la negativa de los bancos centrales a seguir una regla monetaria (instrumental) determinada.
20 Para simplificar el esquema se supone que las perturbaciones estocásticas no son importantes.
21 Para Blinder (1999) una función de reacción es una representación matemática y algo alegórica de la política discrecional. Es la forma en que un economista, que teoriza siguiendo la tradición de Tinbergen– Theil, imagina cómo debe hacerse la política monetaria. Para calificarla de regla, la ecuación de la política monetaria debe ser simple y no reactiva, o casi no serlo. En Taylor (2000b) también se discute el significado del término ''regla'' de política monetaria.
22 En la práctica, cualquier banco central que se encuentre en la necesidad de definir una estrategia óptima de política monetaria se enfrenta a un problema mucho más complejo. Además, debido a esta complejidad es difícil imaginar a los responsables de la política monetaria resolviendo en forma explícita un determinado modelo y derivando una regla óptima que implementarían de forma mecánica. Sin embargo, resulta menos fácil imaginarlos tomando decisiones a ciegas, sin una idea (por vaga o implícita que sea) de los elementos que la conforman (Galí, 1998) y que se señalan más adelante.
23 Esta clasificación se encuentra en Svensson (1999a): reglas instrumentales (explícitas e implícitas o forward looking) y reglas objetivos. Las instrumentales definen la trayectoria deseada del instrumento de política monetaria como una función predeterminada de información pasada, proyectada o una combinación de ambas. Las reglas instrumentales consideran que los bancos centrales definen la política monetaria minimizando una función de pérdida social creciente en la desviación entre los valores de las variables objetivo y observado.
24 En cuanto al primero, las variables más usadas son la inflación, el crecimiento del producto nominal o una combinación de la desviación entre los valores meta y observado de ambas. En relación con los instrumentos, se han utilizado un agregado monetario o la tasa de interés. Según Taylor (2000b), la discusión del instrumento de política monetaria es esencialmente la misma que señaló William Poole en 1970. Por ejemplo, la preferencia por la tasa de interés refleja precisamente la incertidumbre en cuanto a la velocidad de circulación del dinero.
25 Mientras que la primera es una regla pasiva (regla del k por ciento), las otras son reglas activas. Otras reglas pasivas son el tipo de cambio fijo y mantener la tasa de interés real de corto plazo en su nivel neutral, que puede entenderse como aquel nivel que iguala el producto a lo largo de la curva IS de estado estacionario con el producto potencial (Blinder, 1999).
26 Las reglas de política monetaria suponen, como se señaló, la no neutralidad del dinero en el corto plazo originada en algún tipo de rigidez nominal (Chuecos, 2006).
27 Hacia mediados de la década actual, aproximadamente 50 países tenían tipo de cambio flexible, metas de inflación e instrumentos de política monetaria (tasa de interés o base monetaria) orientados a dichas metas (Taylor, 2005).
28 Aunque estos regímenes han sido caracterizados de diferentes maneras en la literatura académica, sus elementos centrales pueden verse en Svensson (1999a y 2007), Mishkin y Schmidt–Hebbel (2001) y Morandé, (2001), aunque muchos países lo adoptaron sin cumplir una o varias de estas condiciones. La formulación inicial correspondería a lo que se ha denominado strict inflation targeting.
29 Las razones de este papel central se asocian con el mayor escepticismo sobre la efectividad de la política monetaria para morigerar las fluctuaciones económicas, la mayor preocupación por los efectos negativos de la inflación y la necesidad de un ancla nominal en un sistema de dinero fiduciario, que obliga a fijar restricciones a la política monetaria (Pagnotta, 2002).
30 La nueva Constitución Política de Colombia, expedida en 1991, otorgó a la Junta Directiva del Banco de la República la función de autoridad monetaria, cambiaria y crediticia y el papel principal de velar por el mantenimiento de la capacidad adquisitiva de la moneda, en coordinación con la política económica general.
31 Las estrategias de conducción de la política monetaria están relacionadas con el régimen cambiario. Según Gómez (2006), la estabilidad de precios puede conseguirse mediante tres estrategias de política monetaria diferentes: monetaria, cambiaria e inflación objetivo, cada una con su respectiva ancla nominal: la cantidad de dinero, el tipo de cambio y la meta de inflación, respectivamente. Como puede observarse, las diferencias son aparentes. De hecho, un tipo de cambio fijo solo puede mantenerse si la cantidad de dinero es relativamente constante. Además, como muestran Posada y García (2006), en los modelos de inflación y de política monetaria anti–inflacionaria del tipo Inflation Targeting, la cantidad de dinero importa y, en general, no son incompatibles con la teoría cuantitativa del dinero.
32 En Kalmanovitz (2002) se presenta también un análisis de la política monetaria colombiana desde principios de los noventa hasta la adopción del esquema de metas de inflación.
33 Según Gómez, Uribe y Vargas (2002), los primeros elementos de esta estrategia fueron introducidos en 1995. Sobre la gradualidad o no en la adopción de este esquema, los desarrollos en los noventa y los factores que precipitaron su adopción a principios de la década actual pueden verse en Kalmanovitz (2002) y Gómez (2006). Según Kalmanovitz (2002), el régimen de inflación objetivo colombiano contempla la vigilancia de un agregado monetario. Entre las medidas más importantes pueden señalarse la flotación de la tasa de cambio desde septiembre de 1999; el abandono de la base monetaria como meta intermedia en 2001 (que en adelante sería solamente un indicador de referencia); la reducción del ancho de la franja de intervención de las tasas de interés y su determinación de acuerdo con el pronóstico de inflación.
34 La estrategia de inflación objetivo con intervenciones cambiarias es bastante generalizada y ha sido fuertemente defendida por algunos economistas (Ho y McCauley, 2003 y Goldstein, 2002, por ejemplo, citados por Gómez, 2006).
35 Los valores de determinados parámetros y los retardos en los efectos de la política monetaria, por ejemplo.
36 Las reglas instrumentales y óptimas pueden basarse en pronósticos de inflación (forward looking o IFB) o en inflación contemporánea. Una regla instrumental forward looking es la de Clarida, Galí y Gertler (1998). En cambio, la regla de Taylor (1993) es una regla instrumental simple: las variables (inflación y producto) son contemporáneas. Estas reglas fueron posteriormente micro–fundamentadas como, por ejemplo, en Clarida, Galí y Gertler (1999).
37 Como se sabe, el tipo de cambio afecta la inflación a través de dos canales: el canal directo, dado que una parte de los bienes y servicios en el IPC son importados, y el canal indirecto, puesto que produce desplazamientos entre la demanda de bienes domésticos e importados y, por tanto, genera cambios en la demanda agregada, afectando la tasa de inflación.
38 Puede incluirse también un objetivo de tipo de cambio (real o nominal). Sin embargo, se obtiene una regla monetaria similar a la que se presenta más adelante, excepto por los parámetros que acompañan a las variables regresoras. De hecho, en el caso colombiano parece que la prioridad de las autoridades monetarias variara en el tiempo (Masson, Savastano y Sharma, 1997) o, en otras palabras, parecen existir otros objetivos en su función de pérdida, como el tipo de cambio real, por ejemplo. Aún más, en algunos momentos parecieron tener igual o mayor importancia que la reducción de la inflación (Restrepo, 1999).
39 Esta función de pérdida se presenta en Svensson (2003).
40 La matriz Hessiana asociada con este problema de optimización es estrictamente definida positiva, dados los rangos de los parámetros, por lo cual el óptimo garantiza que se minimice la función de pérdida.
41 La curva IS de estado estacionario sería la curva IS a la que se llega una vez cumplidos todos los retardos y siempre que todas las perturbaciones aleatorias sean iguales a cero. Con base en esta curva se define la tasa de interés real natural o neutral. Esto significa que las perturbaciones duraderas o permanentes de la curva IS pueden alterar esta tasa de interés (Blinder, 1999).
42 Un tipo de cambio inferior al de equilibrio conduciría a una disminución de la tasa de interés con el fin de evitar un déficit externo; y un tipo de cambio superior al de equilibrio llevaría a un aumento de la tasa de interés con el propósito de frenar presiones inflacionarias.
43 Aunque el test sugirió un cambio estructural desde finales de 1998, se procedió a situarlo en 1999 (IV) en virtud del régimen de flotación adoptado en septiembre de dicho año.
44 Se eligió la DTF como instrumento de política monetaria porque está altamente correlacionada con otras tasas de interés controladas por el Banco de la República y reacciona rápidamente a los cambios en estas últimas, como muestran por ejemplo Julio (2001), Amaya (2006) y Melo y Becerra (2006). Huertas, Munir, Olarte y Romero (2005) muestran, en particular, que un cambio de un punto porcentual en las tasas de intervención del Banco de la República se transmite en la primera semana a la DTF en un cuarto de punto (0,26) y, posteriormente, en un plazo más largo, en cerca de la mitad (0,57). En el caso de la tasa de interés interbancaria (TIB), el pass–through es casi completo durante la primera semana (0,93). Aún más, recientemente, Arango, González, León y Melo (2006) muestran, con datos de frecuencia semanal entre 2 de enero de 2002 y 31 de enero de 2007, una reacción anticipada (una y tres semanas antes) en la curva de rendimientos, ante modificaciones en la tasa de subastas de expansión del Banco de la República. Además, los ejercicios realizados por Restrepo (1999) con la tasa de interés de las OMAS muestran que no hay diferencias importantes en relación con los resultados de las estimaciones con la DTF. En todo caso, cualquier esquema de política monetaria cuyo instrumento sea la tasa de interés, incluyendo inflation targeting, se apoya en el supuesto crucial de que el banco central (mediante sus tasas de intervención) ejerce una influencia importante sobre el conjunto de tasas de interés activas y pasivas (Arango et al., 2006).
45 Sobre los problemas de estos métodos y la bondad del GMM puede verse Restrepo (1999), Bernal (2002) y Baum, Schaffer y Stillman (2003). Se utilizó el software Stata 9.2 con el algoritmo ivreg2.
46 Algunos resultados están en línea con los obtenidos en otros trabajos para períodos o reglas algo diferentes. Por ejemplo, los coeficientes de respuesta a la inflación (β) son similares a los de Bernal (2002) y mayores al de Galindo (2007). Restrepo (1999) muestra, en cambio, un coeficiente negativo. En cuanto a la brecha del producto, en Restrepo (1999) el coeficiente asociado es alto y en Giraldo (2007) no es significativo estadísticamente; mientras Bernal (2002) arroja unos resultados parecidos a los obtenidos en este artículo. El grado de inercia de las tasas de interés es más alto que en Restrepo (1999) y Giraldo (2007). Al igual que en este trabajo, el tipo de cambio real es significativo en Bernal (2002), pero su importancia cuantitativa es baja.
47 Entre 1992 y 1994, por ejemplo, el objetivo prioritario fue la tasa de cambio real. De hecho, las bajas tasas de interés en estos años fueron resultado del propósito de las autoridades monetarias de desestimular las entradas de capital y evitar una mayor apreciación del tipo de cambio real (Villar, 1996). Por su parte, Echeverry (1999) señala que, como respuesta a la fuerte desaceleración del producto desde 1996, el Banco de la República promovió una burbuja de actividad económica entre mediados de 1996 y principios de 1998, lo que precipitó el ataque cambiario subsecuente. Nuevamente, las autoridades monetarias respondieron defendiendo, sin éxito, la franja cambiaria, con efectos transitorios, pero sustanciales, sobre las tasas de interés que aumentaron hasta niveles sin precedentes.
48 El sistema de opciones y las intervenciones discrecionales en el mercado cambiario.
49 Esta tasa es similar al valor medio de la tasa de interés natural entre 1994 y 2005 (3,28%) estimada en Echavarría et al. (2006). Además, la mediana de la tasa de interés (activa) real interna en el período 1925– 1997 fue 3,9% anual (Posada, 1999).
50 Las metas implícitas corresponden a las especificaciones base y general con desviaciones del tipo de cambio real.
51 Cabe resaltar que, como señalan Bernhardsen y Gerdrup (2007), la tasa de interés real natural probablemente continuó cayendo en los últimos años debido a la menor tasa de interés real mundial en lo corrido de la década actual, pero también a la reducción de la prima de riesgo como consecuencia de tasas de inflación más bajas. Según Posada (1999), la tasa de interés real colombiana ha seguido, en términos generales, la evolución de la tasa de Estados Unidos, que sería representativa de la externa. En estas condiciones, las metas de inflación implícitas serían menores.
52 Al respecto, puede verse el promedio móvil de 7 años de la tasa de interés natural presentado en Echavarría et al. (2006), gráfico 8, p. 35.
53 Como puede observarse, la meta de inflación implícita depende del valor de la tasa de interés real natural que se suponga, la cual cambia en el tiempo. En este ejercicio se han supuesto dos posibles valores que razonablemente podría tener en este sub–período. En consecuencia, la sobre–estimación parece deberse a que se pasó de un proceso de des–inflación gradual en el período 1991–1998, a una des–inflación abrupta e imprevista en dos trimestres (la inflación anual cayó de 16,7% en el último trimestre de 1998 a 9,0% en el segundo trimestre de 1999, cuando la meta de inflación en 1999 se fijó en 15,0%). Esto obligó al banco central a reducir drásticamente la meta de inflación en 2000 a 10,0%, cinco puntos porcentuales que contrasta con su reducción de 7 puntos porcentuales entre 1991 y 1999.
54 Julio (2001), Huertas, Munir, Olarte y Romero (2005) y Melo y Becerra (2005), por ejemplo, muestran que la relación entre la tasa de interés de intervención y las tasas de interés del mercado es más fuerte en este período. No obstante, este cambio no significó el abandono de los agregados monetarios, cuyos corredores fueron sustituidos por una línea de referencia de la base monetaria que debía ser compatible con la meta de inflación, la proyección del crecimiento del PIB real y las alteraciones previsibles en la velocidad de circulación (Huertas, Munir, Olarte y Romero, 2005).
55 Aunque la meta operativa era un agregado monetario, desde principios de 1995 la decisión de controlar las tasas de interés, por lo menos la variabilidad de la TIB, fue ganando progresivamente fuerza (Huertas, Munir, Olarte y Romero, 2005; Hernández y Tolosa, 2002).

















