Services on Demand
Journal
Article
Indicators
-
Cited by SciELO -
Access statistics
Related links
-
Cited by Google -
Similars in
SciELO -
Similars in Google
Share
Lecturas de Economía
Print version ISSN 0120-2596
Lect. Econ. no.69 Medellín July/Dec. 2008
Nueva Geografía Económica: evidencia empírica de la estimación de la ecuación nominal de salarios
New Economic Geography: Empirical Evidence of the Estimation of the Nominal Wage Equation
Nouvelle Géographie Économique: Des preuves empiriques de l'estimation de l'équation nominale des salaires
Jesús López-Rodríguez y Andrés Faiña*
* Jesús López-Rodríguez: Grupo Jean Monnet de Competencia y Desarrollo, (C+D Research Group), Department of Economic Analysis and Business Administration, University of A Coruña, Campus de Elviña s/n, 15071 (A Coruña) España. Dirección electrónica: jelopez@udc.es. Dirección postal: University of A Coruña, Campus de Elviña s/n, 15071 (A Coruña) España. Andrés Faiña: Grupo Jean Monnet de Competencia y Desarrollo (C+D Research Group), Department of Economic Analysis and Business Administration, University of A Coruña, Campus de Elviña s/n, 15071 (A Coruña) España. Dirección electrónica: fai@udc.es. Dirección postal: University of A Coruña, Campus de Elviña s/n, 15071 (A Coruña) España.
Los autores agradecen el apoyo proporcionado por la Xunta de Galicia al proyecto PGIDIT05 PXIB10001PR sobre estructura espacial y convergencia regional en Europa. Parte de este trabajo se realizó durante la estancia de investigación de Jesús López-Rodríguez en el Departamento de Economía de la Universidad de Harvard en el curso académico 2007-2008. Jesús López-Rodríguez agradece la invitación del profesor Pol Antras, así como la financiación recibida del Ministerio de Educación y Ciencia (referencia beca PR2007-0347) para llevar a cabo su estancia. Asimismo agradece la beca concedida por el Real Colegio Complutense asociado a la Universidad de Harvard por proporcionarle los medios materiales necesarios para realizar parte de esta investigación.
–Introducción. –I. Elementos fundamentales de los modelos de Nueva Geografía Económica. –II. Un modelo canónico de Nueva Geografía Económica. –III. Principales resultados empíricos de la estimación de la ecuación nominal de salarios en los modelos de Nueva Geografía Económica. –Conclusiones. –Bibliografía.
Resumen: En este trabajo se analizan los desarrollos empíricos que han abordado la estimación de la ecuación nominal de salarios dentro de los modelos de Nueva Geografía Económica. Los resultados de los trabajos empíricos realizados para una muestra mundial de países y al interior de la Unión Europea confirman las predicciones teóricas de los modelos, mostrando que las variables de geografía económica son clave para explicar la estructura espacial de salarios, observada en las distintas áreas geográficas mencionadas.
Palabras Clave: Nueva Geografía Económica, Aglomeración, Comercio Internacional, Costes de Transporte, Potencial de Mercado Clasificación JEL: R11, R12, R13, R14, F12
Abstract: In this paper we analyze the empirical developments concerning the estimation of the nominal wage equation proposed in the context of the New Economic Geography models. Results from the empirical works carried out for a sample of countries and for the European Union confirm the theoretical predictions of the models, showing that economic geography variables are key in order to explain the spatial wage structure observed in the different geographical areas mentioned.
Keywords: New Economic Geography, Agglomeration, International Trade, Transport Costs, Market Potential JEL Classification: R11, R12, R13, R14, F12
Résumé : Dans ce travail nous analysons les développements empiriques qui ont été pris en compte dans l'estimation de l'équation nominale des salaires dans les modèles de Nouvelle Géographie Économique. Pour un échantillon des pays et pour l'Union Européenne, les résultats des travaux empiriques confirment les prévisions théoriques des modèles puisque les variables de la Géographie Economique expliquent, en effet, la structure spatiale des salaires, laquelle a été observée dans les différentes zones géographiques mentionnées ci-dessus.
Mots Clef: Nouvelle Géographie Économique, agglomération, commerce international, coûts de transport, potentiel de marché. Classification JEL: R11, R12, R13, R14, F12
Introducción
Es un hecho bien conocido que la actividad económica se concentra en el espacio (Porter, 2000). De hecho, algunos geógrafos como Dicken, manifiestan que la concentración de las actividades económicas a nivel local y dentro de un país son la norma y no la excepción (Dicken 1998).
La concentración de la actividad económica puede visualizarse a diferentes escalas: siguiendo a Fujita y Thisse (1996), en el nivel más bajo de la escala podemos observar cómo pequeñas tiendas, cines, restaurantes se concentran en unos pocos barrios o distritos dentro de una ciudad, con la peculiaridad de que ofrecen servicios que son casi idénticos. Pueden encontrarse ejemplos en la mayor parte de nuestras ciudades, pero entre los ejemplos internacionales más conocidos se encuentran los casos de los restaurantes del este asiático en la zona de Soho en Londres, las tiendas de ropa en Oxford Street, tiendas de alta costura en la 5 Avenida en Manhatan (New York), Montparnasse en París y Ginza en Tokio.
Si subimos un nivel, podemos observar otros fenómenos de aglomeración como por ejemplo los distritos industriales compuestos por empresas con lazos fuertes desde el punto de vista tecnológico, informacional o ambos. Así, entre otros ejemplos conocidos a nivel nacional, pueden citarse los ejemplos históricos de la Industria Textil Algodonera en Cataluña o la siderurgia en el País Vasco. En el Reino Unido encontramos la industria de cuchillos/cubiertos en Sheffiel, la industria de vehículos a motor a lo largo del rio Támesis. En Estados Unidos son conocidos los casos de la industria del mueble en la parte oeste de Carolina del Norte y sus proximidades, quizás porque la industria del mueble hace un uso intensivo de la madera y Carolina del Norte tiene una industria forestal muy importante.
Otro caso bien conocido internacionalmente de aglomeración a escala regional, es el paso desde la localización de la industria electrónica y de semiconductores a la más reciente instalación de productores de software en las cercanías de San Francisco.
A un nivel más agregado podríamos hablar en el caso de Europa de la comúnmente conocida Blue Banana, un conjunto de regiones ricas que se extiende desde el sureste de Inglaterra a través de los países del Benelux, norte de Francia, suroeste de Alemania y noreste de Italia. Esta área representaba en la anterior Unión Europea de los 15 antiguos Estados Miembros, (UE15), aproximadamente el 20% de la superficie, más del 40% del PIB y alrededor del 50% de la población. Gracias a la Unión Europea se han eliminado en gran parte las fronteras y las divisiones políticas del espacio económico, pero se constata de una forma bastante diáfana el patrón centro-periferia y la aglomeración de la actividad económica en el espacio europeo.1 Una Imagen similar podría observarse para el caso del cinturón manufacturero en los EEUU (The US manufacturing belt) formado por el paralelogramo Green Bay – Saint Louis – Baltimore – Portland.
En el nivel más alto de la escala podríamos hablar de los patrones de divergencia en los niveles de desarrollo entre el Norte y el Sur, que encajan claramente en una estructura centro-periferia donde el Norte representaría el centro, compuesto por los países industrializados, y el Sur, la periferia, compuesta por países en vías de desarrollo. Por ejemplo, Hall y Jones (1999) observaron que las naciones de renta alta están concentradas en pequeños centros industriales en el hemisferio norte y que la productividad per cápita decrece a un ritmo constante a medida que nos alejamos de estos centros. Otro dato que corrobora este dualismo histórico norte-sur es el hecho de que en 1995 los países de la Organización para la Cooperación y el Desarrollo Económico (OCDE), aportaban aproximadamente el 78% de la producción manufacturera a nivel mundial, aunque representaban poco más del 15% de la población.
A la vista de estos ejemplos, nos planteamos presentar las líneas principales de la explicación proporcionada por la economía, y en particular los modelos de la Nueva Geografía Económica -NGE- a la pregunta de cuáles son las fuerzas y las fuentes que conducen a la concentración de las actividades económicas en el espacio; ya sea a nivel sectorial, la concentración de industrias en clusters; a un nivel general, la concentración de la actividad económica en las ciudades, o a un nivel estructural agregado, los patrones centro-periferia y la división Norte-Sur.
Las secciones del trabajo se estructuran de la siguiente manera: en la sección I introducimos los ingredientes esenciales de los modelos de Nueva Geografía Económica; en la sección II presentamos un modelo estándar que nos permite, por un lado, dar fundamento microeconómico al concepto de potencial de mercado de Harris (1954) y, por otro, establecer algunas de las implicaciones que se derivan del modelo, en la sección III resumimos las principales contribuciones empíricas que apoyan los resultados teóricos del modelo.
I. Elementos fundamentales de los modelos de la ía Económica
A. Rendimientos crecientes a escala a nivel de empresa
Esto se materializa en la existencia de unos costes fijos que son necesarios para la producción de los bienes o para la prestación de servicios por parte de la empresa. Una consecuencia se deriva de esta característica, es que define la forma en que deben competir las empresas, lo cual constituye el segundo elemento esencial
B. Competencia Imperfecta
Bajo el supuesto de rendimientos crecientes a escala a nivel de empresa, los costes marginales son menores que los costes medios; esto hace que sea inviable un esquema de competencia perfecta, en el cual las empresas al fijar los precios, al nivel de los costes marginales, estarían incurriendo en pérdidas. La gran mayoría de los modelos de Nueva Geografía Económica se guían por un esquema de competencia á la Chamberlin (1931), siendo bastante recurrente en la literatura el uso de la estructura del modelo de diferenciación y variedades de producto de Dixit y Stiglitz (1977) debido a las buenas propiedades de las funciones con elasticidad de substitución constante entre variedades para la derivación de la demanda.
C. Costes derivados del comercio de mercancías
El comercio, ya sea de inputs usados por las empresas como factores para la producción de sus bienes finales (outputs), o de bienes finales destinados a los consumidores, tienen que ser transportados a través del espacio, por lo cual se incurre en costes. La existencia de esta fricción en el comercio de mercancías induce a las empresas a localizarse en regiones con un buen acceso a los mercados de consumidores y suministradores de inputs, lo que en la terminología de los modelos de Nueva Geografía Económica se conoce como market access y supply access. Una fórmula recurrente y bastante sencilla en la modelización de los costes de transporte es el esquema de costes de transporte tipo iceberg introducidos por Samuelson (1952), en este esquema se supone que una fracción del input o output que es transportado de una localización a otra se ''derrite'' en el camino, de ahí que, para que una unidad de bien llegue a su destino debemos enviar una cantidad superior y la diferencia entre esa cantidad que enviamos y la unidad que llega al destino representa el coste de transporte.
La combinación del primer y del tercer elemento nos permite derivar los otros dos elementos esenciales que conforman los cimientos de los modelos de Nueva Geografía Económica. Estos modelos se refieren a las decisiones de localización, tanto por parte de las empresas, como por parte de los consumidores. Estas decisiones de localización no constituyen un inconveniente importante, por ejemplo en las teorías del comercio internacional de Heckscher-Ohlin, donde como consecuencia de la igualación de los precios de los factores a nivel internacional, resulta redundante el movimiento internacional de factores.
D. Localización endógena de las empresas
La existencia de costes de comercio de mercancías, unido al hecho de la existencia de rendimientos crecientes a escala, da lugar a que las empresas prefieran aquellas regiones que tienen un mercado más amplio. Adicionalmente, las empresas tienen incentivos a elegir una única localización para su producción y servir desde ahí al resto de localizaciones. Las decisiones de localización de las empresas constituyen un proceso circular, porque las regiones que tienen un mayor número de empresas y producen un mayor tipo de variedades del bien industrial son también las que tienen los mercados más amplios.
E. Localización endógena de la demanda.
La capacidad de gasto de una localización depende de la localización de las empresas y de la movilidad de los trabajadores en la industria. Básicamente se proponen dos mecanismos sobre la movilidad de la demanda: i) la existencia de una fracción de trabajadores móviles que se desplazan a las áreas con más empresas y variedades de productos por las ventajas de precios y salarios reales que ofrecen, un vínculo hacia delante que incentiva a los trabajadores a desplazarse a los centros productores de bienes de consumo, con el efecto inducido de reforzar la demanda de consumo en la localización en la cual trabajan (Krugman, 1991a); el incremento en el número de consumidores amplía el mercado con respecto a otras regiones y genera a su vez el efecto de mercado propio (home market effect) descubierto por Krugman (1980) para el comercio internacional; ii) las empresas que utilizan los outputs de su sector como inputs intermedios (Krugman y Venables, 1995).
En los modelos de NGE no existe necesidad de la existencia de ventajas o desventajas de localización exógenas para explicar las decisiones de localización por parte de las empresas. La distribución uniforme de un sector agrícola tradicional inmóvil en el espacio, recoge la fuerza centrífuga del modelo, puesto que los agricultores también consumen bienes industriales. La fuerza centrípeta es más compleja y resulta del proceso de causación circular generado a través de los incentivos de los productores a concentrarse donde el mercado es más amplio (backward linkages) y de los trabajadores y empresas a situarse en la proximidad de los centros productores de bienes y de insumos (forward linkages).
Si los encadenamientos hacia atrás son suficientemente poderosos para superar la fuerza centrífuga generada por la inmovilidad del sector agrícola, la economía se organizará con una estructura de centro-periferia. Esto es tanto más probable que ocurra cuando los costes de transporte de los bienes industriales son suficientemente bajos, cuando las variedades de los bienes industriales están suficientemente diferenciadas o cuando el gasto destinado a la adquisición de productos industriales es bastante elevado. No obstante, la dinámica del modelo es complicada y puede ocurrir que, pequeños cambios en los parámetros generen variaciones importantes en los resultados.
II. Un modelo canónico de Nueva Geografía EconómicaLa literatura estándar de la Nueva Geografía Económica se articula en torno a la contribución seminal del modelo Centro-Periferia introducido por Krugman (1991a,b), al modelo de competencia monopolística de Dixit y Stiglitz (1977) y al esquema de costes de transporte tipo iceberg de Samuelson (1952). Las monografías The Spatial Economy de Fujita, Krugman y Venables (1999) y Economics of Agglomeration: Cities, Industrial Location and Regional Growth de Fujita y Thisse (2002) contribuyen a cimentar estos logros.
El siguiente modelo estándar de Nueva Geografía Económica incorpora los elementos esenciales que hemos reseñado en la sección I, nos permite la derivación de la función de potencial de mercado y establece algunas de las ecuaciones estructurales que se utilizan en las estimaciones empíricas de estos modelos.
El modelo es un modelo 2x2x2 que considera un espacio compuesto por R regiones ( j =1,2 .R), dos sectores productivos: el sector tradicional y el sector industrial; dos bienes: el bien homogéneo -bien agrícola- (H) y el bien diferenciado -bien manufacturero- (D); y dos factores de producción: fuerza de trabajo industrial (que tiene movilidad perfecta) y agricultores (que no tiene movilidad). El bien homogéneo (H) se produce en condiciones de competencia perfecta y rendimientos constantes a escala en el sector tradicional, y es intercambiado a coste cero entre las distintas regiones (este bien en el modelo funciona como numeraire). El bien diferenciado (D) se produce en el sector industrial en condiciones de competencia imperfecta (competencia monopolística) y está sujeto a rendimientos crecientes de escala. Los bienes diferenciados están sujetos a costes de transporte de tipo iceberg; para que una unidad del bien llegue a la región j desde la región i, Ti, j > 1 unidades deben ser enviadas desde la región i, por tanto Ti, j −1 mide la fracción del bien que se pierde en el transporte entre i y j (melt-away).
El sector industrial puede producir en distintas localizaciones (footloose), mientras que el sector tradicional es inmóvil. Los factores de producción son específicos para cada sector: la fuerza de trabajo industrial se emplea únicamente en el sector industrial y los agricultores en el sector tradicional. El país tiene una oferta fija de LA agricultores y cada región está dotada con una proporción idéntica de fuerza agrícola del país. La fuerza de trabajo industrial la representamos por LD , y λrrepresenta la proporción en la región r en la oferta de trabajadores industriales ( LD ). Escogemos unidades de manera que la fuerza de trabajo industrial LD = µ y la fuerza de trabajo agrícola sea igual a LA = 1− µ , 0< µ < 1. Por tanto, el tamaño de la fuerza de trabajo industrial en cada región es
A. Consumidores
En el modelo todos los individuos de la economía comparten la siguiente función de utilidad con preferencias del tipo Cobb-Douglas. Para el caso de la región j la función de utilidad vendría dada por:

Donde Hj y Dj representan el consumo del bien homogéneo y del bien diferenciado en la región j , y µ (1 – µ) representa la parte de la renta que los consumidores gastan en bienes diferenciados-manufacturados (bien homogéneo)
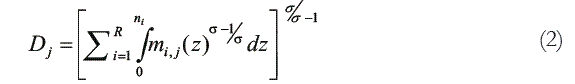
donde 0 < µ < 1. D es un agregado de variedades industriales definido por una función CES a la Dixit y Stiglitz (1977):

Donde mi, j (z) denota el consumo de cada variedad z disponible en la región j y producida en la región i y ni es el número de variedades producidas en la región i . σ representa la elasticidad de sustitución entre las distintas variedades del bien diferenciado, donde σ > 1. Si los productos son homogéneos, σ tiende a infinito, y si las variedades son muy diferenciadas, σ toma un valor próximo a 1. Los consumidores maximizan su utilidad función (1) sujetos a la siguiente restricción presupuestaria:

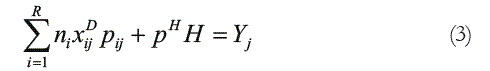
La solución del problema del consumidor permite obtener la demanda final en la localización j de una variedad producida en la localización i.

Donde pij (pij = pi Tij es el precio de las variedades producidas en la región i y vendidas en j , Yj representa la renta total de la región j .
Si definimos el índice de precios para los bienes diferenciados como2
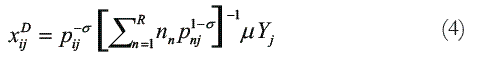
y reescribimos el gasto de consumo como Ej = Yj , la demanda final en la localización j vendría dada por
Sin embargo para que xij consD unidades de consumo lleguen a la localización j , tienen que enviarse Ti, jxij consD . De esta manera la demanda efectiva a la que se enfrenta una empresa ubicada en la localización i desde la localización j es

B. Productores
La tecnología del sector con rendimientos crecientes a escala está dada por la usual función lineal de costes:
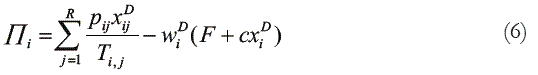
donde lDij representa la fuerza de trabajo industrial que se usa para la producción de una variedad en i y vendida en la región j ; F son las unidades de coste fijo que se necesitan para la producción del bien manufacturado; c es el coste variable unitario y xij D es la cantidad de la variedad demandada en la región j y producida en la región i . Como consecuencia de la existencia de rendimientos crecientes a escala, la preferencia por la variedad de los consumidores y la existencia de un número ilimitado de variedades potenciales del bien manufacturado, cada variedad es producida por una única empresa especializada y localizada sólo en una región. De esta manera el número de empresas manufactureras coincide con el número disponible de variedades. Una empresa característica de la localización i maximiza la siguiente función de beneficios

Donde
representa el output total producido por la empresa en la localización i y vendido a las diferentes localizaciones j , y wi es el salario nominal dado a los trabajadores industriales en la localización i .
Cada empresa maximiza su beneficio comportándose como un monopolista de su propia variedad de bien diferenciado. Las condiciones de primer orden de maximización de beneficios nos permiten obtener el resultado estándar según el cual los precios se fijan con un margen constante sobre los costes marginales

donde σ/σ −1 representa el ratioprecio-coste de Marshall-Lerner. Si sustituimos la regla de precios en la ecuación de beneficios, obtenemos la siguiente expresión para la función de beneficios en equilibrio:

C. Equilibrio
A corto plazo la distribución de trabajadores industriales entre las regiones está dada. El equilibrio en el lado de la producción requiere que los beneficios de la empresa sean iguales a cero en cada región, de modo que ninguna empresa tenga interés en desplazarse a la otra región. La condición de libertad de entrada, asegura que los beneficios son iguales a cero y esto implica que la producción de equilibrio es la siguiente:

Si Li es el número de trabajadores industriales en la región i, el equilibrio en el mercado de trabajadores industriales en la región i requiere que:
Utilizando la ecuación (9) obtenemos la siguiente expresión para ni , el número de trabajadores industriales (y variedades) en la región i :

Finalmente el equilibrio en el Mercado de trabajo requiere que se igualen la oferta y la demanda del bien manufacturado en la región i , de modo que utilizando la función de demanda (5) se tiene que cumplir que:

Combinando esta expresión con el hecho de que en equilibrio los precios son un margen constante sobre los costes marginales, obtenemos la siguiente expresión:

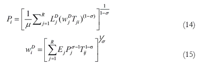
Esta ecuación se denomina ecuación nominal de salarios en la literatura de la Nueva Geografía Económica y constituye el caballo de batalla de un gran número de trabajos empíricos. De acuerdo con la ecuación (13) el nivel de salario nominal en la región i depende de una suma ponderada de la capacidad de compra de todas las regiones j, donde el factor de ponderación es una función de distancia que decrece a medida que la distancia entre dos localizaciones cualesquiera i y j aumenta. El significado de esta ecuación es que aquellas localizaciones con un buen acceso a mercados grandes tenderán a remunerar mejor a sus trabajadores debido al ahorro en costes de transporte.
Si normalizamos la medición de la producción, eligiendo las unidades de manera que
y fijamos el requerimiento de input fijo
, podemos reescribir el índice de precios y la ecuación nominal de salarios de la siguiente manera:

Redding y Venables (2001, 2004) denominan el lado derecho de la ecuación (15) como market access. Alternativamente Head y Mayer (2004) lo denominan Real Market Potential.
D. Ecuación nominal de salarios y efecto demanda
La ecuación nominal de salarios, ecuación (15), nos da el salario industrial para que las empresas en cada localización cubran sus costes teniendo en cuenta niveles de renta, índices de precios y costes de transporte en las distintas localizaciones.

Según la ecuación (16), el salario en cada localización depende positivamente del nivel de renta de cada uno de los mercados que la empresa suministra Ej , negativamente de los costes de transporte entre las distintas localizaciones Tij , y positivamente del nivel de precios en los distintos mercados Pj . El índice de precios disminuye con el número de variedades (empresas) y por tanto lo podemos interpretar como una medida inversa del grado de competencia.
Podemos ver que el modelo tiene dos tipos de fuerzas que afectan a la localización de las empresas: fuerzas centrípetas (que atraen las empresas para las localizaciones centrales) y fuerzas centrífugas (que las separan de las localizaciones centrales). El primer tipo de fuerzas vendría dado por el índice de precios que crea vinculaciones por el lado de la demanda y de los costes a través de la movilidad interregional de los trabajadores industriales. El segundo tipo de fuerzas viene dado por los efectos de la competencia, tanto en el mercado de productos como en el mercado de factores que canibalizan los beneficios de las empresas.
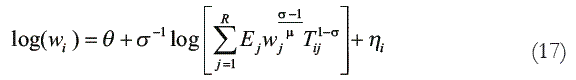
E. Ecuación a estimar
La estimación del modelo de Krugman (1991b) presenta un problema porque habitualmente no se dispone de datos sobre el índice de precios de los productos manufacturados ( Pi ) a ningún nivel de agregación regional. Aplicando logaritmos a la ecuación (15) se obtiene la siguiente expresión:

Donde ηi representa el término de error, el resto de variables fueron definidas en las secciones anteriores. Esta ecuación relaciona el salario nominal en la región i con la renta en otras regiones, ponderada por la distancia y por los salarios. Por tanto, de acuerdo con las predicciones de la teoría, cuanto mayores sean los niveles de renta y los niveles de salarios y menor la distancia entre las distintas localizaciones, mayor será el nivel de salario local. Esta especificación capta la noción de una estructura espacial de salarios y nos permite verificar la existencia de la vinculación hacia atrás o efecto demanda, es decir, la relación directa existente entre el salario nominal de una región y su market Access, lo cual constituye una condición importante para que podamos observar dinámicas de aglomeración.
La estimación de la ecuación nominal de salarios tiene dos problemas econométricos importantes. Dado que la ecuación (17) es altamente no lineal, se debe emplear técnicas de estimación no lineales; también es frecuente encontrarse con problemas de endogeneidad que puede sesgar la estimación de los parámetros. En la ecuación (17) la renta se determina simultáneamente junto con los salarios, y los salarios entran tanto en el lado derecho como en el lado izquierdo de la expresión. Para solventar este problema se acude a distintas técnicas de estimación, entre las más populares se encuentran la estimación mediante variables instrumentales y las estimaciones en diferencias.
En la siguiente sección damos cuenta de los principales resultados empíricos de la estimación de la ecuación nominal de salarios.
III. Principales resultados empíricos de la estimación de la ecuación nominal de salarios en los modelos de Nueva Geografía Económica
Aunque la Nueva Geografía Económica ha experimentado un proceso de avance teórico bastante rápido, autores como Head y Mayer (2004), Neary (2001) y Ottaviano (2002), señalan que la investigación empírica en Nueva Geografía Económica es deficiente. Una de las formas más exitosas de testar la validez de las fuerzas que operan en los modelos de Nueva Geografía Económica, es a través del análisis de los efectos provocados por la distancia de los mercados de consumidores en los niveles de renta, es decir, a través de la verificación (o no) de la denominada ecuación nominal de salarios, ecuación (15), que se obtiene de la derivación de un modelo estándar de Nueva Geografía Económica. La estimación de esta ecuación ha constituido y sigue constituyendo uno de los caballos de batalla de las estimaciones empíricas que se hacen sobre los modelos de Nueva Geografía Económica, dando lugar a una gran cantidad de trabajos que tratan de validar las hipótesis del modelo para diferentes ámbitos geográficos y utilizando distintas técnicas y procedimientos econométricos.
Este trabajo se centra en la estimación de la ecuación nominal de salarios a nivel internacional o en grandes áreas geográficas, donde se asume que el factor trabajo es inmóvil y por tanto los salarios reales están afectados por los factores de producción intermedios.
A. Nueva Geografía Económica, desigualdades internacionales y desigualdades en grandes áreas comerciales
A nivel internacional el único estudio que existe, o al menos el conocido por los autores de este trabajo, es el de Redding y Venables (2001, 2004), inicialmente se publica como documentos de trabajo del Center for Economic Performance (CEP) de la London School of Economics (LSE) y posteriormente como artículo en el Journal of International Economics. También puede interpretarse como el primer trabajo que intenta verificar la validez de la ecuación de salarios que se deriva de un modelo estándar de Nueva Geografía Económica; además constituye la punta de lanza de muchos trabajos posteriores a nivel empírico sobre el tema.
En el trabajo de Redding y Venables, el marco teórico del que parten, es el de un modelo estándar de la nueva teoría del comercio, con la peculiaridad de que asumen la existencia de costes de transporte en el comercio de bienes y la necesidad de bienes intermedios para la producción de bienes finales. El enfoque teórico del trabajo es sobre el sector manufacturero, donde asumen la existencia de competencia imperfecta entre las empresas, rendimientos crecientes a escala y cada empresa produce bienes diferenciados.3
La resolución del modelo permite obtener una expresión para el valor máximo de los salarios que puede pagar cada empresa teniendo en cuenta su localización. Los salarios dependen de la capacidad de gasto de las localizaciones colindantes ponderadas en función de la distancia. Se trata, por tanto, de una expresión que adopta una forma funcional parecida a la función de potencial de mercado de Harris (1954), esta expresión la denomina market access y constituye el punto central de su análisis.
Como paso previo a la estimación de la ecuación de salarios, los autores estiman una ecuación de gravedad con base en los flujos de comercio bilaterales de una muestra mundial de 101 países, obtenidos de la base de datos del Banco Mundial (COMTRADE).4 Los resultados de esta estimación previa les permiten obtener las estimaciones de los parámetros necesarios para construir la variable que ellos denominan market access, es decir, los costes de transporte y las variables que representan la capacidad de gasto de cada localización y que ellos denominan market capacity. En la estimación de los costes de transporte bilaterales, no sólo consideran la distancia física entre las distintas localizaciones, sino que también tienen en cuenta si las regiones poseen o no una frontera común. Para capturar el resto de factores que componen el market access, es decir, los factores que afectan al market capacity, utilizan variables dummy que capturan las características de sus socios comerciales.
Una vez que obtienen los parámetros básicos para el cálculo del market access desdoblan éste en dos componentes, el componente doméstico (domestic market access) y el componente exterior (foreign market access) y dentro del componente doméstico ensayan tres tipos de distancias internas dentro de un país: i) en la primera medida consideran que los costes internos de comercio son equivalentes a los costes de comerciar con un país extranjero que está a 100 Km y que comparte una frontera común, ii) la segunda medida combina información sobre distancias internas con el coeficiente sobre la distancia que obtienen de la ecuación de gravedad; de esta manera una medida que tiene en cuenta las diferencias que hay entre países, considerando las diferencias en sus superficies, iii) la tercera medida usa también información sobre la superficie del país, pero permite que el coeficiente de la distancia al interior del país sea menor que el coeficiente de la distancia externa que se obtiene de la ecuación de gravedad.
Los resultados que obtienen apoyan las predicciones del modelo. En los resultados del modelo de base, entre un 34% y un 73% de la variación espacial en el nivel de salarios a nivel internacional vendría explicada por el market access,5 siendo la especificación que da mejores resultados la que considera los dos componentes del market access (doméstico y externo) y utiliza como medida de la distancia interna la tercera que ellos proponen.
Para comprobar y examinar otros posibles determinantes del nivel de renta per cápita introducen una serie de controles en las estimaciones de base, básicamente tres conjuntos de controles: el primer conjunto está formado por la dotación de recursos naturales de los países, calificados de primarios (Hidrocarburos per cápita, porcentaje de tierra cultivable y cantidad de minerales); el segundo conjunto de controles lo constituyen el porcentaje de tierra en los trópicos y la prevalencia de malaria, y finalmente, el tercer conjunto de controles lo constituyen variables de naturaleza política e institucional (riesgo de expropiación, si el país fue socialista y la existencia de guerras).
Los resultados que obtienen son robustos a la inclusión de todos estos controles, y los efectos que el market access, en sentido estricto, o la geografía económica, en un sentido amplio, tienen sobre el nivel de renta per cápita de los países, son estadísticamente significativos y cuantitativamente importantes.
B. La geografía económica de las regiones de la Unión Europea
El segundo conjunto de trabajos, en los cuales el modelo de Nueva Geografía Económica subyacente asume inmovilidad de la mano de obra, lo constituyen aquellos que se centran en el estudio y estimación de la ecuación de salarios en la Unión Europea. Entre este conjunto de trabajos, por orden de publicación, se destacan los de Niebuhr (2006),6 Breinlich (2006), Head y Mayer (2006) y López-Rodríguez y Faíña (2007).
Aunque el objetivo fundamental de este grupo de trabajos es el mismo, es decir, ver el papel que desempeña el market access en la determinación de los salarios regionales, existen diferencias importantes tanto en el ámbito temporal y geográfico como en el metodológico; por ejemplo, las variaciones en la construcción de la variable market access y la explicación de los canales alternativos que podrían afectar la estructura espacial de salarios en la Unión Europea. A la luz de estas consideraciones previas comentaremos lo más relevante de los aportes de cada uno de estos trabajos.
Niebuhr (2006) estima varias especificaciones de la ecuación nominal de salarios (Krugman , 1991, función de potencial de mercado) para 158 regiones NUTS27 en la UE a lo largo del período 1985-2000, concretamente estudia los períodos 1985, 1990, 1995 y 2000. En su trabajo utiliza dos estrategias para estimar una ecuación de salarios sin tener en cuenta los datos sobre precios a nivel regional, los cuales, por otro lado, no están disponibles. La primera estrategia consiste en asumir movilidad de la mano de obra; la segunda estrategia consiste en estimar la función de potencial de mercado de Harris (1954). El punto crítico de esta aproximación es que, en contraposición a la medida de market access que se deriva del modelo teórico, no estamos tomando en cuenta los efectos de la competencia al excluir en el cálculo las diferencias de precios entre las distintas localizaciones (por ejemplo, dentro del esquema de un modelo de Nueva Geografía Económica, un índice de precios bajo indicaría que muchas variedades del bien manufacturado se producen en localizaciones cercanas; lo cual sería indicativo de la existencia de una competencia intensa por parte de las empresas manufactureras ubicadas en localizaciones próximas). Sin embargo, debido a limitaciones de los datos, la función de potencial de mercado de Harris (1954) o en términos de Head y Mayer (2004) el nominal market potential se usa con frecuencia en las estimaciones empíricas (véase López-Rodríguez y Faíña, 2007) pudiendo interpretarse como una forma reducida de la estimación de varios modelos de Nueva Geografía Económica.
Al igual que el caso de Redding y Venables (2001, 2004), aparte de la estimación de base, Niebubr (2006) tiene en consideración otros posibles determinantes de las diferencias de salarios a nivel regional, añadiendo una serie de controles a la estimación de base (densidad de población, indicadores de composición sectorial de cada una de las regiones, servicios adicionales con los que cuente una localización –Horas de sol, concentración de sitios culturales, si la región tiene mar o no etc.–, dummies de país y dummies para diferenciar si una región es o no periférica). Por otro lado, también incorporan la posibilidad de fricciones en el comercio de bienes entre distintos países8 incorporando una variable dummy en el cálculo del market access que toma el valor 0 si las regiones pertenecen al mismo país o 1 si no pertenecen. El cálculo de la distancia entre regiones se aproxima por el tiempo expresado en minutos, entre los centros de cada región. La distancia interna se modeliza de la forma usual en estos modelos, es decir, proporcional a la raíz cuadrada de la superficie de la región pero la expresan también en minutos de viaje.
Los resultados de Nieburh (2006) sobre la estimación de la ecuación nominal de salarios derivada a partir del modelo de Krugman (1991b), no están del todo en línea con las predicciones teóricas del modelo.9 Como bien apunta la propia autora, el posible motivo vendría dado por el supuesto de movilidad de la mano de obra, que no es del todo apropiado para el análisis del contexto europeo. Sin embargo, sus estimaciones de la ecuación nominal de salarios a partir de la función de potencial de mercado, se muestran estadísticamente significativas y los signos están de acuerdo con los fundamentos teóricos. Aproximadamente, un 50% de la variación espacial de la renta vendría explicada por el potencial de mercado. Por otro lado, su análisis confirma que el potencial de mercado es cada vez menos importante en la determinación del nivel regional de salarios10 en la Unión Europea. Finalmente, sus resultados también concluyen que el nivel de salarios depende de la densidad de población, de la composición sectorial de las distintas regiones, de la cualificación de la mano de obra y de los servicios que pueda proporcionar la región.
En el trabajo de Breinlich (2006) se parte del modelo de Redding y Venables (2004) para la estimación de la ecuación nominal de salarios. No obstante, el número de regiones consideradas se amplía a una muestra de 193 regiones NUTS2 de la UE15 y también el período temporal de análisis, abarcando desde 1975 a 1997. El trabajo de Breinlich (2006) incorpora aportaciones novedosas desde el punto de vista metodológico para la construcción de la variable market access. Existen dos factores importantes a tener en cuenta cuando se intenta construir la variable market access que se deriva del modelo teórico: una es la obtención del índice de precios de cada localización (en este caso, de cada una de las regiones de la Unión Europea consideradas en el análisis), y la otra es una medida adecuada de los costes de comercio. Los efectos que se derivan de la no inclusión de un indicador de precios de cada localización es que, de esta manera no estamos evaluando el efecto crowding out que se genera, por ejemplo, cuando un amplio número de competidores está operando en una determinada localización; lo cual supone un menor precio para los productos que se venden en ella y, por tanto, la pérdida de atractivo para las empresas que quieran exportar. En este caso estaríamos sobreevaluando el market access de esa localización.
Respecto a los costes de comercio, la teoría sugiere que dependen de más factores, no simplemente de las distancias bilaterales entre las distintas localizaciones (efectos frontera, idioma, etc.). La inclusión de estas consideraciones es difícil en el ámbito de la UE básicamente porque no disponemos de indicadores de precios a nivel regional ni de flujos de comercio interregional.
Breinlich (2006) sortea este problema aplicando la aproximación metodológica de Redding y Venables (2004) al contexto europeo. Por un lado, estima una ecuación de gravedad para utilizar la información contenida en los flujos de comercio y obtener estimaciones de los índices de precios y de los costes de comercio. Dado que no tenemos datos de flujos de comercio interregional para la UE, Breinlich (2006) parte del supuesto de que las fuerzas que rigen estos flujos pueden considerarse análogas a las que existen en los flujos de comercio a nivel internacional, y por tanto, estima la ecuación de gravedad considerando los flujos de comercio entre los países de la EU15, y desde la UE15 al resto del mundo. En esta ecuación de gravedad los índices de precios se capturan a través de variables dummy de país; y respecto a los costes de comercio incluye, además de la distancia bilateral, otros factores que afectan a los flujos de comercio bilateral, como son el hecho de si las exportaciones sobrepasan las fronteras del país (McCallum, 1995) y compartir idioma. Estas consideraciones también se capturan a través de variables dummy específicas para cada país.
Los resultados de Breinlich (2006) apoyan también la hipótesis de la ecuación nominal de salarios. El market access explica entre el 30% y el 40% de las variaciones de renta entre las 193 EU15 regiones NUTS2 usadas en su estimación. Una aportación adicional de su trabajo demuestra que existen dos posibles canales alternativos a través de los cuales el market access puede estar afectando a los niveles de renta: el nivel de capital humano y el capital físico de cada región.
El trabajo de Head y Mayer (2006) sigue el mismo esquema metodológico que el de Breinlich (2006), sin embargo, el período de análisis cubre de 1985 hasta el año 2001, consideran una desagregación sectorial en 13 industrias en lugar de datos agregados, pero sólo cubre 57 regiones NUTS1 en nueve países de la UE. De su muestra quedan excluidos Suecia y Finlandia, lo cual puede suponer un sesgo importante al tratarse de países geográficamente periféricos, sin embargo, contrariamente a su posición geográfica, disfrutan de altos niveles de renta. En su trabajo también concluyen que el market access (Real Market Potential en su notación) afecta a la determinación de los salarios regionales en cada una de las industrias consideradas. Adicionalmente corroboran que el nivel de capital humano ejerce una influencia significativa en la determinación de los salarios.
En el trabajo de López-Rodríguez y Faíña (2007) se estima la ecuación de salarios para una muestra de 167 regiones NUTS2 de la UE15 para el año 2000. Las novedades más importantes que incorpora su análisis se basan, por un lado, en la construcción de una variable que ellos denominan compensation per employee, a partir de los datos del total de sueldos y salarios que se pagan a nivel regional y las cifras regionales de empleo. La ventaja de esta variable es ser una proxy para los salarios regionales mejor que el PIB per cápita –El PIB per cápita dividir el PIB generado en la región por el número de residentes en esa localización– esto genera una sobrestimación de los salarios regionales en aquellas regiones que poseen una amplia proporción de trabajadores no residentes (commuting), circunstancia común a muchas regiones de la UE (Londres, París, Madrid, Bruselas, etc). Por otro lado, si dividimos la totalidad de sueldos y salarios pagados a nivel regional por el número de empleados, obtenemos el salario medio por empleado que constituye un mejor indicador de los salarios regionales. Los resultados de López-Rodríguez y Faíña (2007) están en consonancia con los hallazgos de los anteriores autores. Se corrobora la hipótesis de la estructura espacial de salarios para las regiones de la Unión Europea. El market access explica más del 30% de la variación espacial de salarios en las 167 regiones NUTS2 de la UE15. La otra aportación novedosa, siguiendo el esquema de Breinlich (2006), se basa en el descubrimiento de canales adicionales para la influencia del market access sobre los niveles de renta en las regiones de la Unión Europea y que operan a través del market access. López-Rodríguez y Faíña (2007) corroboran que tanto el capital humano, como las actividades de innovación de las distintas regiones, afectan al nivel de los salarios regionales.
Conclusiones
En este trabajo se ha presentado un modelo estándar y se ha revisado la literatura existente hasta el momento, sobre la estimación empírica de uno de los caballos de batalla de los modelos de Nueva Geografía Económica, la ecuación de salarios, tanto en su forma ampliada –estimación del modelo de Krugman (1991) o estimación del modelo de Helpman (1998)–, como en su forma reducida, estimación de la función de potencial de mercado de Harris (1954). La ecuación de salarios establece que los salarios en una determinada localización dependen de la suma ponderada por la distancia y por los precios11 de la actividad económica de las localizaciones colindantes, es decir, los modelos de Nueva Geografía Económica predicen una estructura espacial donde los salarios tienden a ser mayores en aquellas localizaciones que están cerca de mercados más grandes.
Los resultados de los trabajos revisados, tanto a nivel internacional como a nivel de grandes bloques comerciales (UE) son consistentes con las predicciones teóricas de los modelos de Nueva Geografía Económica. Puede concluirse que este tipo de modelos estructurales proporcionan una herramienta muy útil para el estudio empírico de los efectos del espacio en la actividad económica.
Bibliografía
1. Breinlich, Holger (2006). ''The Spatial Income Structure in the European Union -What Role for Economic Geography?'', Journal of Economic Geography, Vol. 6, pp. 593–617. [ Links ]
2. Bröcker, Johanes (1998). ''How would an EU-membership of the Visegrádcountries affect Europe's economic geography?'', Annals of Regional Science, Vol. 32, pp. 91–114. [ Links ]
3. Dixit, Avanish y Stiglitz, Joseph (1977). ''Monopolistic competition and optimum product diversity'', American Economic Review, Vol. 67, 297-308. [ Links ]
4. Dicken, Paul (1998). Global Shift: Transforming the World Economy, Chapman, London. [ Links ]
5. Fujita Masa y thiSSe Jean-Francois (2002). Economics of Agglomeration: Cities, Industrial Location and Regional Growth, Cambridge University Press, Cambridge, UK. [ Links ]
6. Fujita Masa, krugman, Paul y VenaBleS, Tony (1999). The Spatial Economy, MIT Press, Cambridge MA. [ Links ]
7. Fujita, Masa y thiSSe, Jean-Francois (1996). ''Economics of agglomeration'', Journal of the Japanese and International Economies, Vol. 10, pp. 339-78. [ Links ]
8. hall, Robert y joneS, Charles (1999). ''Why do some countries produce so much more output per worker than others?'', Quarterly Journal of Economics, Vol. 114, pp. 83-116. [ Links ]
9. harriS, Chauncy (1954). ''The market as a factor in the localization of industry in the United States'', Annals of the Association of American Geographers, Vol. 64, pp. 315–348. [ Links ]
10. heaD, Keith y mayer, Tierry. (2004). ''The Empirics of Agglomeration and Trade'', Handbook of Urban and Regional Economics, Vol. 4, Chapter 59 edited by V. Henderson and J.F. Thisse. [ Links ]
11. heaD, Keith y mayer, Tierry (2006). ''Regional Wage and employment responses to Market Potential in the EU'', Regional Science and Urban Economics, Vol. 36, pp. 573-594. [ Links ]
12. heaD, Keith y mayer, Tierry (2000). ''Non-Europe: The Magnitude and Causes of Market Fragmentation in the EU'', Weltwirtschaftliches Archiv, Vol. 136, pp. 284-314. [ Links ]
13. krugman, Paul (1991a). Geography and Trade, MIT Press, Cambridge MA. [ Links ]
14. krugman, Paul (1991b). ''Increasing returns and economic geography'', Journal of Political Economy, Vol. 99, pp. 483-99. [ Links ]
15. krugman, Paul y VenaBleS, Tony (1995), ''Globalization and the Inequality of Nations'', Quarterly Journal of Economics, Vol. 110, No. 4, pp. 857–880. [ Links ]
16. krugman, Paul (1980), ''Scale economies, product differentiation, and the pattern of trade,'' American Economic Review, Vol. 70, pp. 950-959. [ Links ]
17. lópez-roDríguez. Jesus y Faiña, Andres (2007). ''Regional Wage Disparities in the European Union: What role for Market Access'', Investigaciones Regionales, No. 11, pp.5-23. [ Links ]
18. lópez-roDríguez, Jesus y Faiña, Andres (2004). ''The Economic Geography of EU Income: Evolution since the Eighties'', Research papers in Environmental and Spatial Analysis, LSE. [ Links ]
19. lópez-roDríguez Jesus, Faiña, Andres. y garcía lorenzo, Antonio (2007). ''The Geographic Concentration of Population and Income in Europe: Results for the Period 1984-1999'', Economics Bulletin, Vol. 18, No.7, pp.1-7. [ Links ]
20. mc callum, John (1995). ''National Borders Matter: Canada – U.S. Regional Trade Patterns'', American Economic Review, Vol. 85, pp. 615-623. [ Links ]
21. neary, Peter (2001). ''Of Hype and Hyperbolas: Introducing the New Economic Geography'', Journal of Economic Literature, Vol. 39, pp. 536-61. [ Links ]
22. nieBuhr, Annekatrin (2006). ''Market Access and Regional Disparities. New Economic Geography in Europe'', Annals of Regional Science, 40, 313-334. [ Links ]
23. ottaViano, Gianmarco (2002). ''National Borders and International Trade: Evidence from the European Union'', Canadian Journal of Economics, Vol. 22, pp. 1091-105 [ Links ]
24. porter, Michael (2000). ''Location, Competition, and Economic Development: Local Clusters in a Global Economy'', Economic Development Quarterly, Vol. 14, No. 1, pp. 15-34. [ Links ]
25. reDDing, Stephen y VenaBleS, Tony (2001). ''Economic geography and international inequality'', CEP discussion paper 495, London School of Economics. [ Links ]
26. reDDing, Stephen y VenaBleS, Tony (2004). ''Economic geography and international inequality'', Journal of International Economics, Vo. 62, No. 1, pp. 53-82. [ Links ]
27. SamuelSon, Paul (1952). ''The transfer problem and transport costs: The terms of trade when impediments are absent'', Economic Journal, Vol. 62, pp. 278-304. [ Links ]
Primera versión recibida en octubre de 2008; versión final aceptada en diciembre de 2008
Notas
1 Para una descripción detallada de la estructura espacial de la UE y de este patrón centro-periferia véase López-Rodríguez et al. (2007).
2 Este índice de precios industrial de la región j, mide el coste mínimo de comprar una unidad del índice compuesto M de bienes manufacturados, de manera que puede interpretarse como una función de gasto.
3 Vemos que tres de los elementos esenciales de un modelo de NGE están presentes, costes de transporte, competencia imperfecta y rendimientos crecientes a escala.
4 Los autores también utilizan la ecuación de gravedad para construir una medida de acceso de las localizaciones a los suministradores de inputs (supply access). No obstante en la mayor parte de sus estimaciones utilizan el market access ya que la correlación entre ambas medidas es muy alta (0,88).
5 Redding y Venables también estiman el modelo con la tradicional función de potencial de mercado de Harris (1954) pero los resultados que obtienen son peores. El coeficiente del market access aumenta considerablemente, de 0,476 a 0,958 y el error estándar también, de 0,066 a 0,177.6 El trabajo de Niebuhr (2006) es el único realizado a nivel europeo que asume movilidad de la mano de obra.
7 NUTS2 es un sistema de clasificación geográfica que usa Eurostat donde se divide un país en diferentes niveles de agregación: NUTS0 se correspondería con los países, NUTS1 con grandes áreas (por ejemplo la región noroeste en el caso de España), NUTS2 se corresponde con las CC.AA en el caso de España y NUTS3 con las provincias.
8 Para un análisis de este fenómeno véase Brocker (1998), Head y Mayer (2000), Mc Callum (1995).
9 Aunque en la estimación de base se muestran significativas, una vez que se incluyen variables de control, desaparece la significatividad de las variables.
10 Un resultado de naturaleza similar ha sido obtenido por López-Rodríguez y Faíña (2004) para los años 1982, 1989, 1994 y 1997.
11 Sólo en el caso de la estimación de la ecuación de salarios en su forma ampliada.













