Services on Demand
Journal
Article
Indicators
-
Cited by SciELO -
Access statistics
Related links
-
Cited by Google -
Similars in
SciELO -
Similars in Google
Share
Lecturas de Economía
Print version ISSN 0120-2596
Lect. Econ. no.69 Medellín July/Dec. 2008
Empleo, desempleo y salario real: análisis del mercado laboral de la ciudad de Medellín (1995–2006)
Employment, Unemployment and Real Wage: An analysis of the Labor Market in Medellín City (1995-2006)
Emploi, chômage et salaire réel: Un analyse du marché de travail pour la ville de Medellín (1995-2006)
Carlos Andrés Cano* y Adriana María Ochoa**
* Economista de la Universidad EAFIT. Magíster de Economía de la Universidad de Antioquia. Dirección electrónica: ccanogam@eafit.edu.co. Dirección postal: Calle 17 No.40B 185 apto 505.
** Estudiante de Ingeniería Matemática. Universidad EAFIT. Dirección electrónica: aochoaye@eafit.edu.co. Dirección postal: calle 43 sur no. 47–36 apto 420 (Milán Condominio 1), Medellín–Colombia.
Este artículo surge del interés del Grupo de Estudios en Economía y Empresa de la Universidad EAFIT en el estudio del mercado laboral urbano, a partir de la línea de coyuntura de la empresa.
–Introducción. –I. Revisión de la literatura. –II. El Modelo econométrico. –III. Discusión de los resultados.–Conclusiones. –Bibliografía. –Anexo.
Resumen: En este artículo se estima un modelo que determina el comportamiento de las variables del mercado laboral, con el fin de establecer la dinámica del empleo transitorio y el salario real en Medellín y el Valle de Aburrá entre 1995 y 2006. La caracterización de este mercado se realizó mediante el modelo neoclásico de mercado laboral con ecuaciones simultáneas; a partir del cual se encontró que en el largo plazo las personas estarían dispuestas a aceptar un trabajo a cualquier nivel de ingreso y que tenderá a aumentar la sensibilidad de los salarios y el empleo respecto al producto.
Palabras clave: Mercado laboral urbano, salario real, costo del uso de capital. Clasificación JEL: C5, J4, J6.
Abstract: The purpose of this article is to estimate a model determining the behavior of the variables of the labor market in order to ascertain the dynamics of transitory employment and real wage in Medellín and Valle de Aburrá between 1995 and 2006. The labor market was characterized by means of the neoclassical model of the labor market with simultaneous equations. It was found that people would be willing to accept a job at any income level and that the sensitivity of wages and employment with respect to output tends to increase in the long run.
Keywords: Urban labor market, real wage, cost of capital, simultaneous equations. JEL Classification: C5, E22, J20, L0.
Résumé : Cet article présent un modèle qui permet de déterminer certaines variables du marché du travail, afin d'établir la dynamique de l'emploi temporaire et le salaire réel dans la ville Medellín et le Valle de Aburrá entre 1995 et 2006. La caractérisation de ce marché a été faite à partir d.un modèle néoclassique appliqué au marché du travail avec des équations simultanées. On montre que dans le long terme les travailleurs peuvent accepter un emploi à n.import quel niveau de revenu alors que la sensibilité des salaires et de l'emploi par rapport au produit tend vers le haut.
Mots Clef: Marché de travail urbain, salaire réel, coût d'utilisation du capital. Classification JEL: C5, J4, J6.
Introducción
Este artículo surge del trabajo realizado por Posada y González (1997), en el cual se estimó un modelo Neoclásico del mercado laboral, con respuestas lentas o ajustes parciales para el caso de la evolución del empleo, el desempleo transitorio y el salario real en el conjunto de las siete principales ciudades colombianas entre 1985 y 1996. El presente documento tiene como objetivo estimar un modelo del mercado laboral para establecer el comportamiento del empleo, el desempleo transitorio y el salario real, para el caso particular de Medellín, en el período 1995–2006.
El objetivo del modelo es establecer los niveles de salario real que serán pagados y la cantidad de empleo contratada efectivamente, valores que se definirán en el momento en que la oferta laboral sea igual a la demanda laboral, es decir, cuando se presente el equilibrio del mercado laboral (pleno empleo) o cuando los planes de empleo de las empresas y de los trabajadores se cumplan. Un desequilibrio de los salarios reales será compensado mediante los precios. Así, si el salario real es superior al que haría compatible oferta y demanda, es decir, hay exceso de oferta, este se ajustará mediante la reducción de los salarios por la mayor competencia entre los oferentes de trabajo, incrementándose la cantidad demandada y llegando al nivel de equilibrio. De igual forma, si el salario real es inferior al de equilibrio, se provocaría un exceso de demanda que sería eliminado por el incremento de salarios.
El trabajo describe la evolución de la tasa de desempleo urbano en Medellín en el período 1996–2006 y establece evidencias, a partir de un modelo de ecuaciones simultáneas, sobre algunas relaciones entre las tasas de desempleo, el salario real y el costo del uso del capital. El modelo a utilizar en este trabajo es de corte Neoclásico con dos agentes: el empresario o demandante de trabajadores, y el trabajador u oferente de fuerza laboral. Una fracción de esta fuerza laboral se lanza al mercado, dado un nivel de salario real, el objetivo del mercado es lograr un equilibrio entre la oferta y la demanda laboral, es decir, lograr que la tasa de desempleo se ajuste a su nivel estructural.
De acuerdo con los resultados del modelo, la elasticidad de largo plazo de la demanda de trabajo ante cambios en el salario real es –0,032; es decir, si el salario real se incrementa en un 1% se generaría una disminución en el empleo de 0,032%. También se encuentra que un incremento del costo de uso de capital en un 1% generaría un incremento en el empleo de 0,032%. Para la oferta laboral, se encuentra que la elasticidad de la relación trabajo–ocio ante cambios en el salario real es –0,70. Además, el ajuste del salario real a su nivel óptimo se lograría, dado el nivel de la demanda de trabajo, con un rezago medio de 1,17. Otro hallazgo interesante es que en el largo plazo, el aumento del empleo y el salario
al equilibrio son muy flexibles a cambios en el producto. De acuerdo con el modelo, se asegura que con el aumento del producto, el empleo se incrementará; lo que no ocurrirá con el salario, el cual tenderá a disminuir.
El documento está organizado de la siguiente forma: la sección I presenta la revisión de la literatura, en la sección II se presenta el modelo econométrico y en la sección III se discuten los resultados.
I. Revisión de la literatura
El mercado laboral conjuga los aspectos coyunturales y estructurales desde la relación existente con el salario, con la productividad marginal del trabajo y con la eficiencia marginal del capital. En este mercado se genera la interacción entre la oferta laboral correspondiente a los trabajadores que ofrecen su fuerza de trabajo, y la demanda laboral correspondiente a los empresarios que requieren explotación de este factor. De esta forma, la interacción generada en el mercado laboral determina el salario del trabajador.
En caso que el trabajo esté plenamente ocupado, las empresas contratan tanto trabajo como el que es ofrecido por los trabajadores al salario real establecido en el mercado. El estudio de la oferta y la demanda laboral mediante el modelo Neoclásico constituye una forma básica de entender o darle explicación al funcionamiento de este tipo de mercado.
El modelo de mercado laboral Neoclásico parte de los siguientes supuestos: i) salarios y precios flexibles, ii) no existen costos para los trabajadores en la búsqueda de trabajo ni para las empresas al aumentar o reducir sus plantillas, iii) las empresas actúan competitivamente y confían en vender toda su producción al precio vigente en el mercado para sus bienes, y iv) se considera la existencia de un comportamiento racional por parte de los individuos y de las empresas en el mercado, quienes tratan de maximizar su utilidad.
El modelo combina tres elementos: i) la función de producción neoclásica, ii) la demanda de trabajo, y iii) la oferta de trabajo neoclásica por medio del ajuste de los salarios. Inicialmente, en la función de producción se supone la existencia de rendimientos decrecientes del trabajo, que indica la relación de naturaleza tecnológica entre la utilización de los factores de capital y trabajo y la producción, de tal forma que cuando se presenten incrementos en la utilización del factor trabajo (factor productivo variable) en combinación con el capital (factor productivo fijo), el producto marginal y el producto medio del factor variable acabará decreciendo.
Se considera que el capital es fijo en el corto plazo, es decir, que no es posible aumentar la cantidad utilizada del mismo en un período corto de tiempo, por lo tanto sólo es posible aumentar la cantidad producida del bien mediante el incremento en la utilización del factor trabajo. ''A medida que aumenta la contratación de trabajadores el producto adicional que aporta cada uno de ellos disminuye, al tiempo,
que se reduce, asimismo, el rendimiento o producto medio por trabajador'' (Costa Vallés, 1999, p. 7).
Por otro lado, la función de demanda se considera en función de precios y de cantidades deseadas o demandadas de un bien; en este caso, el salario real o precio del trabajo y el trabajo, serán sus equivalentes. Como el objetivo de la empresa es la maximización de sus beneficios, ésta contratará a un trabajador adicional siempre que el producto marginal que ese trabajador aporte a la empresa sea superior al costo laboral adicional que conlleva su contratación. De esta forma, dado un nivel de salarios reales determinados, la empresa contratará trabajadores hasta que la productividad marginal de ellos se iguale al salario real existente.
La oferta laboral, entendiendo por ésta la cantidad de trabajo (fuerza laboral) que es ofrecida a las empresas por una población determinada, dado un nivel de salarios, establece una relación entre los salarios pagados y la cantidad de trabajo ofrecida. Esta última dependerá de las decisiones tomadas por los miembros de una población del país que esté dispuesta a trabajar con base en las preferencias establecidas entre la renta (salario obtenido mediante el trabajo) y el ocio.
De acuerdo con los modelos convencionales, el mercado laboral tiene tres componentes: oferta, demanda y salario; el salario incide de manera diferente en la oferta y demanda. El trabajador o el oferente está interesado en la cantidad de bienes que puede consumir, es decir, está interesado en el poder adquisitivo del salario remunerado en términos de su canasta de consumo (W / IPC) , donde W es el salario nominal y el IPC es el Índice de Precios al Consumidor.
Para el empresario, el salario de interés es (W / IPP) , donde el IPP es el Índice de Precios al Productor. De esta forma, la oferta y la demanda están determinadas por parámetros diferentes, que hacen que el ajuste entre estos no se presente fácilmente, además que no se logra satisfacer ninguna de las dos partes; salvo en el caso hipotético en el que ambos índices sean iguales, podría darse un equilibrio, ya que los salarios de interés, tanto para la oferta como para la demanda, serían equivalentes.
En un entorno en el que se presenten impactos diferenciales entre el IPC y el IPP , es posible hablar del subempleo de equilibrio (equilibrio subóptimo), situación en la cual las fluctuaciones libres del salario permiten alcanzar el equilibrio, aunque la flexibilización del empleo no lo garantice. Patinkin (1956) señala que el mercado laboral está en desequilibrio dinámico, aún bajo condiciones de perfecta movilidad salarial; además, el aumento del empleo puede ser compatible con rigideces salariales.4
Según González (2002), a nivel macro, la flexibilización de los salarios no garantiza un mayor empleo, porque la demanda agregada es el motor último del empleo; en el agregado, el empleo está en función de la demanda agregada y no de los bajos salarios. Por el contrario, cuando los salarios aumentan, se
incrementa la demanda y con ella la inversión y el empleo. En el corto plazo, al empresario le interesa que los salarios bajen porque la ganancia aumenta; pero desde un horizonte más global, los bajos salarios bajan la demanda.
Posada y González (1997) encontraron que, debido a que el salario real y el empleo no se ajustan de manera instantánea a su nivel de equilibrio, los cambios intensos en las variables exógenas (producto, costo de uso de capital y población en edad de trabajar) tienden a ocasionar con rezago, desempleo o subempleo transitorio. Según el modelo considerado, las tendencias ascendentes del empleo y del salario real en el largo período son explicadas por los factores causantes de un crecimiento permanente en el producto global, superior al crecimiento de la población en edad de trabajar; y el aumento del costo de uso de capital contribuyó a los incrementos del empleo y del salario.
Gracia y Urdolina (2000) esclarecen las principales características del mercado laboral colombiano fundamentado en la evidencia empírica. Por una parte, señalan que se han presentado cambios en la demanda de trabajo en cuanto a la cualificación laboral debido a la apertura económica; además, constatan que los incrementos en los costos laborales a partir de 1991, se han transferido al salario de los trabajadores afectando su competitividad. Por tanto, las reformas laborales de la última década han solucionado problemas estructurales del mercado laboral al permitirle mayor flexibilidad.
Vélez (2001) identificó los determinantes de la oferta de mano de obra en el mercado laboral de Medellín y el Valle de Aburrá, estimando un modelo de oferta y demanda y un modelo probabilístico de participación de los determinantes socioeconómicos e intrafamilariares. Se encuentra que un equilibrio con mayores niveles de empleo necesita, en comparación con las siete áreas en conjunto, un mayor crecimiento en la producción acompañado de una mayor productividad de los individuos; además, se refleja la necesidad de un mayor dinamismo en el sector productivo y mayor inversión de capital humano.
II. El modelo econométrico
El objetivo del modelo es analizar el equilibrio entre la oferta y la demanda laboral (pleno empleo). Este ajuste es posible debido a la incidencia del salario real en la demanda y en la oferta laboral y su flexibilidad en plazos largos; lo cual se facilita, ya que se supone que el empleo y el salario real se determinan de forma simultánea en el mercado laboral.
El empresario al intentar minimizar sus costos se somete a una restricción tecnológica o función de producción. Para la solución de este problema se utiliza una tecnología tipo Cobb–Douglas con rendimientos constantes a escala de la siguiente forma:

Donde:
K : Constante. W : Salario real. R : Costo de uso de capital.
Zt : Nivel del producto real.α : Elasticidad del costo al salario ( 0 ≤ α ≤ 1).
La demanda de trabajo de esta función se construye teniendo presente el Lema de Shepard, que dice que al diferenciar la función de costos con respecto al precio de un insumo se obtiene la función de demanda por ese insumo, y al diferenciar la función de costos con respecto al nivel de producción se obtiene el multiplicador de Lagrange, donde el precio del insumo corresponde al trabajo, así:

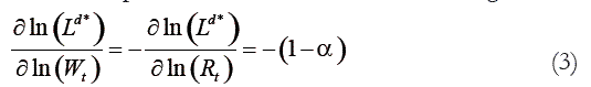
La ecuación (2) indica que, en cuanto el cociente entre el salario y el costo de uso de capital sea más pequeño, es decir, entre más grande sea el costo de uso de capital y más pequeño sea el salario, más grande será la demanda de trabajo por parte del empresario. En caso que α = 1, la demanda de trabajo dependerá solamente del producto y de la constante K .
Con la finalidad de conocer la sensibilidad del salario real y del costo de uso de capital por parte del empresario a la demanda de trabajo, se expresa la demanda de trabajo en términos de elasticidades; para ello se trabaja con logaritmos a ambos lados de la ecuación (2) y posteriormente se deriva, inicialmente con respecto al logaritmo del salario real, y luego con respecto al logaritmo del costo de uso de capital. De esta forma se obtiene lo siguiente:

De acuerdo con la ecuación (3), se puede decir que el incremento en un 1% en los salarios, considerando las demás variables constantes, generaría una disminución en el empleo de (1−α)%. Asimismo, un incremento del 1% del costo de uso del capital generaría un aumento de la cantidad demandada de trabajo de (1−α)%.
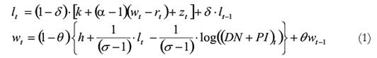
La demanda de trabajo no se ajusta de manera instantánea a su nivel óptimo, ya que los empresarios no cuentan con los costos de contratación y con la información que estos requieren de manera instantánea para la toma de decisiones.5 Mediante un mecanismo de ajuste parcial, se puede expresar lo anterior de la siguiente forma:

Donde t u es el término de error que se distribuye como una normal con media cero y varianza constante. Usando la demanda de empleo óptima con el proceso de ajuste parcial, es decir la ecuación (2) y (4) se obtiene que:

Tomando logaritmo a ambos lados de la expresión anterior, se obtiene:

Siendo, 
De acuerdo con la ecuación (5), la variación total del empleo en una unidad de los precios relativos
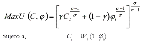
o del producto (zt) hace que los empresarios ajusten en el mismo período el empleo en una proporción (1– δ). Por su parte, la oferta laboral, que representa el comportamiento del consumidor–trabajador, tiene como objetivo maximizar su función de utilidad como se indicó anteriormente, donde ésta depende del consumo y del ocio y se encuentra sujeta a la restricción estándar. La función de utilidad del agente se representa mediante una función CES (Constant Elasticity of Substitution) con retornos a escala constantes, de la siguiente manera:

Donde σ (σ ≥ 0) es la elasticidad de sustitución entre el ocio (φt ) y el consumo
es un parámetro de distribución. La oferta de trabajo depende entonces de la solución al siguiente problema de optimización:

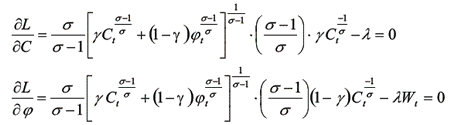
Para resolver este problema, se utiliza la función de Lagrange, donde las condiciones de primer orden son:

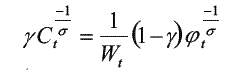
Igualando el multiplicador λ de las ecuaciones anteriores se obtiene:

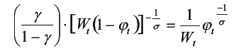
Como Ct = Wt (1 –φt ), entonces:

y, elevando σ a ambos lados, se tiene lo siguiente:

De lo anterior, se puede ver que cuando
; lo que indica que si la elasticidad de sustitución entre ocio y consumo es constante e igual a uno, la relación entre trabajo (1 – φt ) y ocio φt es constante e igual a
. Se hará también la suposición que la relación entre trabajo y ocio corresponde a la siguiente igualdad:

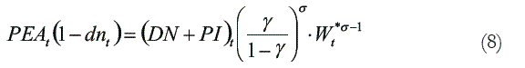
Donde O es el número de ocupados, D el número de desocupados, DN es el desempleo natural, PI es la población inactiva y dnt es la tasa natural de desempleo. De acuerdo con la anterior hipótesis y con la ecuación (7):

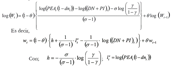
La ecuación (8) implica que la oferta laboral (suma del número total de los empleados y desempleados transitorios) depende del salario real, dada la suma de desempleados permanentes y la población inactiva. Esta suma permite capturar indirectamente el componente exógeno de la oferta laboral, ya que la suma del desempleo permanente, más la población inactiva, es igual a la población en edad de trabajar, menos la oferta laboral. Al igual que en el caso del empresario demandante de fuerza laboral, se supone que el consumidor–oferente de fuerza laboral recibe la información con rezago y, por lo tanto, su ajuste al equilibrio del mercado laboral es lento ante cambios en el salario real. De esta forma se obtiene que:

Siendo θ el parámetro de ajuste y t v el término error, éste podría no ser igual a δ, ya que los oferentes y los demandantes no tienen acceso a la misma información, o no de forma simétrica. Relacionando la ecuación de oferta total y la de ajuste, ecuaciones (8) y (9) respectivamente, mediante
se obtiene lo siguiente

Finalmente, la forma estructural del modelo es expresada como sigue:

A. Variables del modelo
Las variables que se tienen en cuenta en la construcción del modelo son la tasa de desempleo, el salario real y el costo del uso del capital, variables que se elaboran para el caso de Medellín.
El desempleo total puede ser desagregado en el desempleo estructural o permanente y en desempleo cíclico o transitorio.6 El desempleo permanente depende de las características tecnológicas de la economía, es decir, de las características relacionadas con las capacidades y vocaciones de la fuerza laboral, de los costos de búsqueda de trabajo y del grado de información sobre las oportunidades de trabajo. En el desempleo permanente, se encuentra el desempleo friccional y voluntario. El desempleo estructural puede entenderse como un desempleo de equilibrio o un desempleo natural de la economía, ocasionado por el comportamiento flexible de los salarios y precios. Por otro lado, el desempleo transitorio o cíclico definido como la diferencia entre el desempleo total y el desempleo transitorio dependen de factores variables a corto plazo.
El salario real (W) indica la cantidad de bienes de consumo y servicios que puede comprar la persona remunerada con el salario nominal recibido. El salario real es el salario nominal deflactado por el IPC para el consumidor y por el IPP para el productor.7 Las series del IPP y el IPC se obtuvieron del DANE y para la serie del salario nominal se utilizaron los ingresos medios de la industria. En este caso, el salario real se tomó como el salario nominal deflactado por la ponderación del IPC y el IPP nominal.

El Producto Interno Bruto es el valor total de los bienes producidos en un determinado país y período. Para el modelo, se utiliza el PIB a precios constantes, que equivale al PIB medido a precios de un año base, que se obtiene en cada ejercicio eliminando las variaciones de los precios al valorarse cada uno de los productos y servicios prestados por el precio del año base. La serie del PIB se obtuvo de las estadísticas presentadas por el Banco de la República, con base 2004.
El costo de uso de capital, según Rhenals (2005), es el costo en el que se incurre por utilizar una unidad de capital que será incorporada en un determinado proceso productivo, en un período de tiempo dado. El costo de uso de capital puede reflejar el precio del bien de capital, ya que es influenciado por la tasa de interés, la depreciación, los impuestos y subsidios a que son sujetas las inversiones en activos productivos. En definitiva el costo de uso de capital puede ser entendido como el costo de oportunidad que se utiliza para evaluar un proyecto de inversión.8
La Población en edad de trabajar (PET)9 es la población apta, en cuanto a edad, para ejercer funciones productivas. En Colombia la PET está constituida por las personas mayores de 12 años en las zonas urbanas y mayores de 10 años en las zonas rurales. La serie se construye a partir de la información del DANE.
B. Formulación del modelo
De acuerdo con el equilibrio de mercado laboral planteado en la formulación matemática, la metodología parte de un modelo de ecuaciones simultáneas, el cual permite hacer un análisis adecuado para el tipo de datos que se observan.10
En estos modelos hay más de una ecuación (una para cada una de las variables mutuamente dependientes o endógenas), y la estimación de los parámetros de la ecuación no puede realizarse aisladamente de las otras ecuaciones mediante el método de Mínimos Cuadrados Ordinarios –MCO–, ya que se violarían los supuestos del método que propone que las variables explicativas no sean estocásticas, o de serlo, no estén correlacionadas con el término de error; de esta forma, los estimadores obtenidos mediante este método serían sesgados e inconsistentes (a medida que la muestra aumente indefinidamente, los estimadores no convergerán hacia sus valores poblaciones). Consideremos el siguiente sistema de ecuaciones:

El sistema así expresado, se denomina Modelo en forma estructural. En este sistema se puede identificar a Y como variables endógenas del modelo y a X como variables predeterminadas, donde estas últimas se dividen en variables exógenas y variables endógenas rezagadas.
Para probar la simultaneidad de un sistema de ecuaciones se utiliza la prueba de Hausman, que consiste en realizar una regresión por MCO de una de las ecuaciones y hallar los residuales de la estimación. Con los residuales se realiza una regresión sobre la variable endógena (de la otra ecuación) incluyendo como variables explicativas la variable endógena de la primera ecuación y los residuales de la anterior regresión. Si los coeficientes de los residuales son significativos, no debe rechazarse la hipótesis de simultaneidad.11
Como la estimación del modelo no es adecuada mediante el método de MCO, se utilizan otros métodos que tienen en cuenta las características de simultaneidad del modelo, como el Método de Mínimos Cuadrados en Dos Etapas (MC2E) y el Método de Momentos Generalizados (MGM). El MC2E es un método que permite estimar de manera consistente parámetros estadísticos, utilizado en ecuaciones simultáneas que están sobreidentificadas. La estimación se realiza a partir de variables instrumentales, que son variables aproximadas o proxy de las variables explicativas estocásticas, de tal forma que se parecen a la variable, pero no están correlacionadas con el término de error. El método comprende dos aplicaciones sucesivas de MCO.
El MGM permite la estimación de parámetros estadísticos, donde la estimación es consistente bajo supuestos no muy restrictivos, además de que las funciones de distribución son fácilmente calculables. La estimación se realiza combinando diversos instrumentos en torno a un único vector de coeficientes, logrando que las correlaciones muestrales entre el término de error y cada uno de los instrumentos sea mínima. La elección de los instrumentos se realiza mediante la información de las teorías económicas o el proceso generador de datos subyacente.12
C. Hechos estilizados
El gráfico 1 muestra como el PIB de Medellín, Valle de Aburrá presenta un comportamiento creciente con pequeñas fluctuaciones. Hasta el año 1999, la tendencia es más o menos estable, pero a partir de este año, se presenta un crecimiento casi sostenido.

Gráfico 1. Comportamiento del PIB regional de Medellín–Valle de Aburrá
Con respecto a la tasa de desempleo en Medellín, Valle de Aburrá, se presentó un comportamiento creciente a partir de 1995, registrando el valor más alto en 1999, lo que indica una acción contractiva con respecto al PIB. A partir de este año, la tasa de desempleo mostró un comportamiento decreciente casi sostenido hasta el año 2006, período de crecimiento para el PIB. El gráfico 2 muestra que la tasa de desempleo permanente ha fluctuado entre el 10% y el 19%, mientras que el desempleo transitorio fluctúa entre –5% y 5. El comportamiento del desempleo transitorio es explicado por eventuales cambios de las variables exógenas que afectan el mercado laboral y de la velocidad de ajuste de este mercado ante desequilibrios.

Gráfico 2. Tasa de desempleo desagregada en sus dos componentes (Tendencial y cíclico)
Con respecto al costo de uso del capital, es clara la volatilidad en Colombia en el período de análisis, especialmente con un alto crecimiento entre 1997 y 1998 y una caída constante a partir de 1999, momento a partir del cual la variable se estabiliza, con pequeñas oscilaciones.
Esta reducción en el costo de uso de capital ha sido el resultado de la disminución en las tasas de interés de colocación, teniendo en cuenta que tanto la tarifa de renta como la de IVA se han mantenido constantes durante el período de estudio. Por otra parte, la reducción de la inflación también ha contribuido de manera marginal a su reducción, al pasar de 17,7% en 1997 a 6,5% en 2003. (Rhenals, 2005, p. 13)
Además, Rhenals encuentra que: ''el factor determinante para la reducción en el costo de uso del capital es la tasa de interés, vía la tasa de descuento r y su relación con la inflación, más que la política tributaria''.

Gráfico 3. Comportamiento del costo de uso de capital en el período 1995–2006
El descenso del costo del uso de capital en Colombia se explicaría por la reducción de la tasa de interés real, y por la disminución de los precios relativos desde el año 2000, gracias al fenómeno revaluacionista en el país. Otro aspecto que incidió en la reducción del costo de uso de capital fue la disminución del impuesto de la renta. Durante los últimos siete años las tasas de interés y la inflación se han disminuido drásticamente luego de la crisis de finales de los noventa, lo cual ha repercutido sobre el costo de uso del capital en Colombia.
III. Discusión de los Resultados
De acuerdo con las condiciones del modelo de equilibrio de mercado laboral ya planteado, se siguió la estimación del mismo modelo realizado por Posada y González (1997). Se realizó la prueba de Hausman para determinar la simultaneidad del modelo, encontrando que el coeficiente de los residuales es significativo y por tanto no es posible rechazar la hipótesis de simultaneidad, es decir, el sistema de ecuaciones presenta simultaneidad con un nivel de significancia del 5%. Posteriormente se realizó un análisis de identificación del modelo a través de las condiciones de orden y rango, encontrando que tanto la ecuación de oferta como la ecuación de salario real, están sobreidentificadas, y por tanto, es posible estimar los parámetros estructurales del modelo.
Inicialmente se utilizó el método de Mínimos Cuadrados en Dos Etapas (MC2E) con seis variables instrumentales, pero se detectó un problema de autocorrelación. Este problema se corrigió mediante el uso del Método de Momentos Generalizados (MGM), usando de igual manera seis variables instrumentales, no pudiendo rechazar la hipótesis que no hay autocorrelación de acuerdo al t estadístico.13
De acuerdo con los resultados que se presentan en la tabla 1, la estimación
del modelo es la siguiente;


Los parámetros del modelo estructural de ecuaciones simultáneas se presentan en la tabla 2.

De acuerdo con los resultados presentados en la tabla 2, la elasticidad de largo plazo de la demanda de trabajo ante cambios en el salario real, considerando las demás variables constantes es correspondiente a –(1–α), es –0,032, es decir, si el salario real se incrementa en un 1%, se generaría una disminución en el empleo de 3,2%. De igual forma, un incremento del costo de uso de capital en un 1% generaría un incremento en el empleo de 3,2%. Para la oferta laboral, se encuentra que la elasticidad de la relación trabajo–ocio ante cambios en el salario real, correspondiente a σ – 1 σ −1 es – 0,70. El rezago medio de la demanda laboral a su nivel óptimo, dado por el precio relativo (δ/(1–δ)) es 2,53. Además, el ajuste del salario real a su nivelóptimo se lograría, dado el nivel de la demanda de trabajo, con un rezago medio (θ/(1– θ)) de 1,17. Los efectos sobre las variables endógenas por cambios en las variables exógenas muestran las reacciones del mercado ante cambios en las exógenas, que resultan de la velocidad de ajuste de las variables endógenas a sus niveles de equilibrio como de las elasticidades de largo plazo de éstas ante cambios en las variables exógenas. Estos efectos pueden presentarse, si se expresa el modelo de equilibrio de mercado laboral en su forma matricial, de la siguiente manera:

Si Γ es invertible, el modelo puede ser expresado en la forma reducida:

Donde Π = – BΓ–1 es la matriz de multiplicadores de corto plazo o de impactos durante el primer trimestre, y Δ = – ΘΓ–1. Si los valores propios de Δ cumplen con la condición | |< 1 i λ , la solución de largo plazo del modelo estará dada por: [ ]−1
Para Medellín–Valle de Aburrá, se encontraron los siguientes resultados:

De acuerdo con los resultados obtenidos, las elasticidades del empleo y del salario de equilibrio al producto (cuando éste tiene una variación exógena) serían de 1,0485 y –1,5084, respectivamente. Mientras que las elasticidades de empleo y del salario de equilibrio al costo de uso de capital serían de 0,037 y –0,0485, respectivamente.
Conclusiónes
En este trabajo se estimaron las etapas de equilibrio del mercado laboral y se estableció el período para el cual es válida la hipótesis de igualdad entre el componente de tendencia de la tasa de desempleo y la tasa natural. En este sentido, según los resultados del modelo, la elasticidad de largo plazo de la demanda de trabajo ante cambios en el salario real, considerando las demás variables constantes, correspondiente a –(1–α) es –0,032; es decir, si el salario real se incrementa en un 1% se generaría una disminución en el empleo de 0,032%.
De igual forma, un incremento del costo de uso de capital en un 1%, generaría un incremento en el empleo de 0,032%. Para la oferta laboral, se encuentra que la elasticidad de la relación trabajo–ocio ante cambios en el salario real, correspondiente a σ –1, es – 0,70. El rezago medio de la demanda laboral a su nivel óptimo, dado por el precio relativo (δ/(– δ)), es 2,53. Además, el ajuste del salario real a su nivel óptimo se lograría, dado el nivel de la demanda de trabajo, con un rezago medio (θ/(1–θ)) de 1,17.
En el largo plazo, el aumento del empleo y el salario al equilibrio son muy flexibles a cambios en el producto. De acuerdo con los resultados, se asegura que con el aumento del producto, el empleo se incrementará, lo que no ocurrirá con el salario, el cual tenderá a disminuir, esto puede no ser cierto, lo que indica que el salario presentará leves cambios; es decir, las personas estarían dispuestas a aceptar un trabajo a cualquier nivel de ingreso. La variación en el largo plazo con respecto al corto plazo, es amplia, siendo menor la variación a corto plazo, lo que indica el aumento de la sensibilidad de los salarios y el empleo al producto.
Bibliografía1. Costa–Vallés, Manuel (1999). ''Introducción a la economía laboral''. Textos docentes. Departamento de Teoría Económica. Universidad de Barcelona. España. [ Links ]
2. González, Jorge (2002). ''El desempleo y la flexibilización del Mercado Laboral'', Revista Javeriana, Vol. 138, No. 682, marzo, pp.32–42. [ Links ]
3. García, Orlando y Urdolina, Piedad (2000). ''Una mirada al mercado laboral colombiano'', Mercado Laboral, Boletines de divulgación económica, Departamento Nacional de Planeación. [ Links ]
4. Grupo de Coyuntura Económica (2007). ''El costo de uso del capital y la inversión en Colombia 1990–2007'', mimeo, Medellín. [ Links ]
5. Patinkin, Don (1956). Money, Interest and Prices: An Integration of Monetary and Value Theory, Evanston, Row Peterson (2a. ed., 1965). [ Links ]
6. Posada, Carlos Esteban y González, Andrés (1997). ''El mercado laboral urbano: empleo, desempleo y salario real en Colombia entre 1985 y 1996'', Borradores de Economía, No. 84. Banco de la República, Bogotá. [ Links ]
7. Rhenals, Leonardo (2005). ''Costo de uso de capital en Colombia: 1997–2003'', Archivos de Economía, No. 276, Departamento Nacional de Planeación. Bogotá. [ Links ]
8. Vélez, Rodrigo (2001). Determinantes de la Oferta Laboral en Medellín y el Valle del
Aburrá'', Medellín, Universidad EAFIT. [ Links ]
Primera versión recibida en febrero 2008; versión final aceptada en agosto de 2008
Notas
4. De acuerdo con lo señalado anteriormente, la flexibilización del mercado laboral no impide que se llegue a una situación de desempleo de desequilibrio. Así que la flexibilización no conduce al pleno empleo y, peor aún, no evita el desempleo de desequilibrio. Una rigidez como el salario mínimo favorece el empleo.
5 Los empresarios consideran que los movimientos en los precios relativos son constantes. En los modelos no se tiene en cuenta las expectativas de cambios transitorios y permanentes. Los empresarios pueden reducir el empleo ante aumentos en el salario real.
6 La tasa de desempleo es definida por el DANE como la relación porcentual entre el número de personas que están buscando trabajo (DS) y el número de personas que integran la fuerza laboral, es decir, la Población Económicamente Activa (PEA). La tasa de desempleo depende de tres componentes, uno de ellos es el componente cíclico, relacionado con la evolución del ciclo económico a corto plazo, el componente estructural que refleja los desajustes por niveles de calificación o características entre oferta y demanda laboral a largo plazo, y el componente friccional generado por la información asimétrica en el mercado laboral, también a largo plazo.
7 El salario real calculado mediante el IPC corresponde al salario real de interés para los consumidores, ya que mide la cantidad de bienes que pueden adquirir de la canasta familiar; mientras que el salario real calculado mediante el IPP, es de gran interés para los productores, puesto que determina la cantidad de bienes de producción que pueden comprar para su proceso productivo y de esta manera limitar su producción.
8 Para este trabajo se utilizó la serie del costo de uso del capital construida por el Grupo de Coyuntura
Económica de la Universidad EAFIT. ''El costo de uso del capital y la inversión en Colombia 1990– 2007'', Medellín, 2007.
9 La PET se divide en Población económicamente activa (PEA) y la Población económicamente inactiva
(PEI).
10 Un modelo de ecuaciones simultáneas se caracteriza por ser un sistema de ecuaciones, donde cada una de ellas representa un modelo de regresión lineal, y donde se presenta una relación en dos sentidos, o simultánea, que hace que la distinción entre las variables dependientes y explicativas del modelo tenga valor dudoso, es decir, la variable dependiente en una ecuación es explicativa de otra u otras ecuaciones, y donde alguna de las variables explicativas son de igual manera variables dependientes en otra ecuación.
11 Además de la prueba de Hausman, se debe señalar si el modelo está subidentificado, identificado o
sobreidentificado, de acuerdo a las condiciones de orden y rango de ecuaciones simultáneas. Sólo es posible realizar la estimación del sistema si está identificado o sobreidentificado, ya que los coeficientes de las variables existirían.
12 La estimación a través de variables instrumentales permite interpretar fácilmente el MGM de sistemas de ecuaciones sobreidentificados. Debido a que la estimación de un parámetro requiere más de una restricción de momentos (condiciones de ortogonalidad), el estimador MGM puede entenderse como una combinación lineal de todos los estimadores obtenidos con una de esas condiciones, debidamente ponderados por la precisión de cada uno de ellos.
13 Teorema: Cambio R2 cuando una variable se adiciona a la regresión ''En una regresión múltiple, R2
disminuirá (aumentará) cuando la variable X se elimina de la regresión si el t estadístico asociado con
esta variable es mayor (menor) que 1''.
Anexos
I. Prueba de simultaneidad
Para probar la simultaneidad del modelo de equilibrio de mercado laboral se realizó la prueba de Haussman de la siguiente manera:

Se distinguieron las variables endógenas y predeterminadas del modelo en su forma estructural (ecuación 1), donde se tomaron a lt y wt , como variables endógenas, a rt , zt , lex como variables exógenas (variables predeterminadas) y a t−1 l , t−1 w como variables endógenas rezagadas (variables predeterminadas).
Posteriormente se realizaron los siguientes pasos:
i. Se expresa una variable endógena en términos de las variables predeterminadas, a esta ecuación se le denomina ecuación de la forma reducida.

ii. Se corre la regresión por MCO de la ecuación en la forma reducida.
Dependent Variable: LOG(L)
Method: Least Squares
Date: 11/17/07 Time: 10:08
Sample (adjusted): 1995Q2 2006Q4
Included observations: 47 after adjustments

iii. De la regresion se obtiene lo siguiente:
siendo vt el término de error.
iv. Se corre la regresión de la segunda ecuación, con la siguiente variación:


v. Finalmente, considerando como hipótesis nula la no simultaneidad, se compara el t–estadístico teórico con el t–estadístico de la regresión, del coeficiente (–0,309085) del residual ( t v ).
Como t–estadístico de la regresión = –0,614696 < t–estadístico teórico, se rechaza la hipótesis de no simultaneidad, es decir, las ecuaciones presentan simultaneidad, dado un nivel de significancia del 5%. Ahora, recordando que el sistema de ecuaciones sólo se puede estimar si el modelo está identificado o sobreidentificado, se utilizan las condiciones de orden y de rango para su determinación.
Sean, m : Número de variables endógenas en el modelo=2.
1 m : Número de variables endógenas en la primera ecuación=2.
2 m : Número de variables endógenas en la primera ecuación=2.
K : Número de variables predeterminadas del modelo=5.
1 k : Número de variables predeterminadas en la primera ecuación=3.
2 k : Número de variables predeterminadas en la primera ecuación=2.
La matriz que se obtiene siempre es 1*1 y en cualquier caso es diferente de
cero. Además,

Por tanto, se cumplen tanto las condiciones de orden como de rango para la identificación. Finalmente, se puede decir que el modelo de ecuaciones simultáneas está sobreidentificado.














