Services on Demand
Journal
Article
Indicators
-
Cited by SciELO -
Access statistics
Related links
-
Cited by Google -
Similars in
SciELO -
Similars in Google
Share
Lecturas de Economía
Print version ISSN 0120-2596
Lect. Econ. no.70 Medellín Jan./June 2009
Eficiencia del mercado accionario chileno: un enfoque dinámico usando test de volatilidad
Efficiency of Chilean stock market: A diynamic approach using volatility tests
Efificience du marché actionnarie chilien: une analyse dynamique en utilisant des test de volatilité
Andrés Acuña1; Cristián Pinto2;
1 Msc. Economía, académico del Departamento de Economía y Finanzas, Universidad del Bío–Bío. Dirección electrónica: aacunad@ubiobio.cl. Dirección postal: Casilla 5–C, Concepción, Chile.
2 Msc. Finanzas, académico del Departamento de Economía y Finanzas, Universidad del Bío–Bío. Dirección electrónica: cpinto@ubiobio.cl. Dirección postal: Casilla 5–C, Concepción, Chile.
Resumen
En este artículo estudiamos la eficiencia del Mercado Accionario Chileno (MAC). Para su comprobación usamos un modelo de equilibrio parcial que representa la manera como se forma el precio de los activos financieros. Contrastamos la volatilidad observada en los precios de las acciones y la volatilidad esperada en un modelo de mercado accionario eficiente. El análisis estadístico comprende datos de frecuencia mensual de títulos transados en la Bolsa de Comercio de Santiago de Chile en el periodo 1987–2007. Utilizando tests de volatilidad, encontramos evidencia de exceso de volatilidad en los precios del mercado accionario chileno; no podemos vincular el exceso de volatilidad a la existencia de una burbuja especulativa racional, y tampoco a un exceso de volatilidad en la tasa de descuento
Palabras clave: eficiencia, mercado accionario, valoración de activos, CAPM. Clasificación JEL: D53, G14
Abstract
This article studies the Chilean Stock Market's efficiency. To corroborate efficiency, we use a partial equilibrium model for financial asset pricing. We contrast between observed and expected Chilean stock price volatility under an efficient stock market framework. For the statistical analysis, we use monthly data for Chilean Stock Market prices from 1987 to 2007. Performing volatility tests, we find evidence of excess volatility in Chilean stock market prices. We cannot link this stock price excess volatility to the existence of a rational speculative bubble, nor to discount rate's excess volatility.
Keywords: efficiency, stock market, asset pricing, CAPM. JEL Classification: D53, G14
Résumé
Dans cet article nous étudions l'efficience du marché actionnaire chilien (MAC). Pour ce faire, nous utilisons un modèle d'équilibre partiel qui représente la manière dont le prix des actifs financiers est déterminé. Nous contrastons la volatilité observée dans les prix des actions et la volatilité attendue à l'intérieur d'un modèle de marché actionnaire efficient. L'analyse statistique comprend un ensemble de données de fréquence mensuelle des titres échangés à la Bourse de Commerce de Santiago du Chili pour la période 1987–2007. En utilisant des tests de volatilité, nous montrons qu'il existe un excès de volatilité dans les prix du marché actionnaire chilien; sans qu'il soit posible lier cet excès de volatilité ni à l'existence d'une bulle spéculative rationnelle, ni au taux d'escompte.
Mots clé: efficience, marché actionnaire, évaluation d'actifs, CAPM. Classification JEL : D53, G14
INTRODUCCIÓN
El problema de la eficiencia de los mercados financieros, y en particular, de los mercados accionarios, ha sido ampliamente tratado en la literatura financiera desde la década de 1960, aunque los primeros intentos de realizar modelos matemáticos del comportamiento de los precios bursátiles data de principios del siglo XX con el trabajo pionero Bachelier (1900). En este trabajo se aborda el comportamiento aleatorio de las series de tiempo de precios de activos bursátiles, introduciendo el cálculo de probabilidades para intentar verificar si existía alguna forma de predecir movimientos futuros en los precios, dada la información disponible, en las series de tiempo conocidas.
El concepto de eficiencia1 de un mercado de capitales según Fama (1970), se definiría según la capacidad de difusión de la información relativa al valor de un título entre los inversionistas, lo que permitiría una negociación instantánea del precio del mismo. En condiciones de equilibrio, ningún comprador estaría en condiciones de obtener una rentabilidad extraordinaria, puesto que no tiene la capacidad de anticiparse en la negociación del título (eficiencia en forma fuerte y semi fuerte). En estas condiciones de transparencia en el funcionamiento del mercado, los precios de las acciones de una secuencia temporal no presentan correlaciones significativas entre sí, puesto que las variaciones de los precios no pueden ser predichas, al no existir nueva información relevante que no haya sido incorporada en el precio vigente (eficiencia en forma débil).
El concepto de eficiencia desarrollado por Fama, referido a la capacidad del mercado para reflejar instantáneamente la información relevante en el precio del mismo, se construye a partir de las condiciones de competencia entre los inversionistas, estableciendo una hipótesis de ''juego justo''. La eficiencia de Fama se limita por tanto a asegurar la transparencia en la operación del mercado, manifestada en la impredecibilidad de las variaciones de precios, dado que éstos siguen un recorrido aleatorio a través del tiempo, y en la imposibilidad para los inversionistas de obtener retornos sistemáticamente superiores al promedio del mercado, no siendo un factor relevante, por tanto, la calidad de la estrategia de inversión. Por esta razón, los métodos de comprobación de eficiencia en forma débil se centran en determinar la ausencia de correlación serial de los retornos de un conjunto de títulos, descartando así la posibilidad de seleccionar carteras con rendimientos superiores al promedio de mercado.
Las definiciones de eficiencia utilizadas por Fama han sido discutidas por cuanto la eficiencia en la información no es suficiente para asegurar una correcta valoración de los activos de las empresas. Así, distintos autores como LeRoy y Porter (1981) y Shiller (1981) han enfocado su trabajo hacia la validación de modelos de valoración de activos, que incorporan explícitamente insumos de información disponibles en el mercado para la determinación de precios eficientes, sus fundamentos económicos,2 entendiéndose por tales aquellos que reflejan las expectativas de los inversionistas acerca de los flujos financieros que reportará el activo a lo largo de un horizonte de inversión. Los modelos de valoración constituyen el llamado Enfoque fundamental y se elaboran a partir del análisis del equilibrio en el mercado de activos financieros, el cual captura el carácter intertemporal de la dualidad consumo–inversión. Un corolario de la eficiencia así definida, es aquella relacionada con el propósito intrínseco del mercado. En esta línea, el mercado eficiente asegura el bienestar social e individual a partir de decisiones de consumo e inversión intertemporal óptimas. En consecuencia, es razonable esperar que un mercado que funciona de manera eficiente según un enfoque fundamental haga un buen trabajo como asignador de recursos, puesto que la adopción de decisiones de inversión óptimas implicarán en definitiva la maximización del bienestar social.
El enfoque fundamental es el que aplicaremos en el presente trabajo en orden a evaluar la eficiencia del mercado chileno de acciones. Para ello determinaremos las condiciones de equilibrio de un modelo de valoración de activos de capital enfocado desde el consumo de los inversionistas (Lucas, 1978) para luego poner a prueba el cumplimiento de dichas condiciones para el mercado accionario chileno (MAC), aplicando métodos de comprobación estadística desarrollados para este propósito por distintos autores.
En el enfoque de eficiencia hacia la valoración, en el contexto del mercado accionario chileno, Johnson (1992) utilizando test de volatilidad reporta la existencia de una burbuja especulativa en los periodos 1981–1983 y entre mediados de 1988 y 1989. El término ''burbuja especulativa'' hace referencia a la sobrevaloración indefinida3 del precio esperado de los activos transados en el mercado, respecto del valor racional derivado de sus fundamentos económicos, actuando por tanto de manera ineficiente en el rol de asignador de recursos. Basch y Budnevic (1993) por su parte, utilizando también tests de volatilidad, encuentran evidencia de exceso de volatilidad durante todo el periodo 1986– 1991. Fernández (1995) da cuenta de la existencia de una burbuja en el comienzo de la década de 1980, en el cual se produjo un crecimiento explosivo de la demanda por acciones, pues los inversionistas tenían una expectativa de crecimiento en los precios mucho mayor; pero con la crisis financiera que afectó al mercado chileno en 1982, el valor de los títulos comenzó a caer mientras las tasas de interés se mantenían altas, por lo cual la burbuja terminó por reventar.
Al momento de enfrentarnos a la elaboración de un modelo de decisiones de consumo–inversión intertemporales, necesariamente tenemos que lidiar con el problema de las expectativas. Al respecto suponemos que los agentes económicos guían su conducta no sólo en función de variables y eventos pasados, sino también en función de sus expectativas con respecto al valor de algunas variables en el futuro. Para abordar este problema podemos adoptar tres hipótesis: la primera es suponer que los agentes tienen expectativas adaptativas o extrapolativas; bajo este supuesto, los agentes proyectan hacia el futuro los valores realizados de las variables y toman sus decisiones actuales con base en esas predicciones. La segunda alternativa es establecer supuestos ad–hoc; los valores esperados de las variables que se realizarán en el futuro se determinan con un supuesto arbitrario, específico para esa variable. La tercera opción es asumir que los agentes económicos son enteramente racionales, es decir, que no cometen errores sistemáticos en su formación de expectativas, utilizando la información disponible del mejor modo posible (hipótesis de expectativas racionales).4
Al suponer expectativas racionales, consideramos que las variables económicas no son puramente aleatorias sino que, al contrario, siguen un cierto patrón de conducta. Los agentes tratan de identificar ese patrón al momento de formar sus expectativas. Cuanta mayor información se tenga del patrón, más fácil será formar las expectativas, disminuyendo de esta forma la probabilidad de cometer errores. Por esta razón, suponemos que los agentes disponen de todo el set de información existente al momento de tomar decisiones y este set es utilizado eficientemente; es decir, no se cometen errores sistemáticos en la formación de expectativas, lo cual implica que las desviaciones respecto del patrón conocido de comportamiento de la variable son corregidos constantemente para no repetir los errores.
El funcionamiento de mercados financieros eficientes supone que las entidades participantes son agentes económicos enteramente racionales, es decir, que tienen conocimiento de los métodos correctos de evaluación del precio del activo y disponen de la información pertinente acerca de sus fundamentos económicos.
El presente artículo aborda la eficiencia en el mercado chileno de acciones desde una perspectiva fundamental, analizando las propiedades de las series de precios de los títulos y de otras variables del mercado accionario, con el fin de encontrar evidencias de eventuales diferencias en la valoración del mercado accionario respecto de su valor de fundamentos. En particular, seguiremos el enfoque de expectativas racionales para la elaboración del modelo de precios de las acciones y aplicaremos tests de volatilidad en diversas variantes para validar el funcionamiento del mercado accionario chileno de acuerdo con el modelo planteado.
El trabajo se desarrolla de la siguiente forma: en la primera sección presentamos el modelo de valor presente para la valorización de los títulos del mercado accionario, derivado de sus supuestos económicos básicos; en la segunda sección se exponen los fundamentos metodológicos de las diferentes pruebas estadísticas que se han de aplicar para evaluar la eficiencia del mercado accionario y se presentan los resultados asociados a tales pruebas.
I. Modelación del equilibrio en el mercado accionario
El método de valoración de activos que utilizamos en el presente estudio consiste en un modelo de equilibrio parcial, en el cual se representa un problema de maximización de la utilidad en el consumo de los agentes económicos, asumiendo los supuestos y restricciones convenientes para asegurar la existencia de una solución única y factible de dicho problema. La derivación de estas condiciones de equilibrio entrega información respecto de los parámetros de operación del mercado a partir de los cuales es posible elaborar hipótesis de comprobación acerca de su funcionamiento.
El siguiente es un modelo conocido como CCAPM (Consumption Capital Asset Pricing Model)5 que representa el proceso de decisión de consumo intertemporal de un agente económico representativo. El hecho de aplicar un enfoque dinámico de elecciones intertemporales bajo condiciones de incertidumbre, nos impone ciertas restricciones respecto del consumo individual a través del tiempo, y determina la forma de la función de precios de activos que usemos para valorar una corriente de ingresos aleatorios; al ser además un modelo de preferencias, reflejará las actitudes frente al riesgo, éstas afectan los precios de equilibrio de los activos, así como la naturaleza de la asignación de equilibrio.
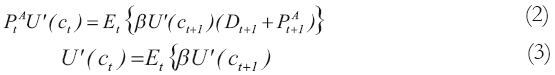
El modelo se construye a partir de un proceso de maximización de utilidad en el consumo de un agente representativo,6 en el cual la función de utilidad U(ct) cumple las condiciones de Inada.7 Por otra parte, el agente tiene la posibilidad de invertir fondos en un bono libre de riesgo a un precio, o de comprar un activo riesgoso (acciones) por un precio de PA. Por ende, el ingreso del agente proviene exclusivamente de su acción en el mercado de acciones y de bonos, dado que la producción se asume exógena al sistema.8 Todas las variables representan valores económicos reales y no se consideran los aspectos monetarios.9 El agente representativo enfrenta el siguiente problema:

Donde Et es el operador de la Esperanza matemática de una variable aleatoria x, condicional a la información disponible en el momento t, Et(x¦It); ct es el consumo real en el periodo t; PtA es el precio de la acción (activo riesgoso) en el periodo t; Pt B el precio del bono (activo libre de riesgo) en t; At es la cantidad de acciones (en términos de producción) mantenida en el momento t; Bt es la cantidad de bonos (también en términos reales) mantenida en t; Dt es el dividendo pagado por la acción en el periodo t; β representa la tasa de descuento subjetiva en la utilidad de corrientes futuras de consumo.10
La restricción impuesta en este problema significa que debe mantenerse en cada periodo un balance entre la riqueza actual y el gasto planeado; la riqueza actual está representada por el valor de los activos mantenidos hoy; el gasto planeado es el monto consumido en el periodo, más la inversión en activos representada por la cantidad planeada para el próximo periodo, valorada a los precios vigentes en el periodo corriente.
La solución del modelo implica que el agente debe decidir la cantidad de activos, At y Bt, que debe mantener en cada periodo a fin de maximizar su consumo intertemporal. Luego, las condiciones necesarias de primer orden11 para la solución de este problema son:

Donde U' = dU/dc. Como el activo libre de riesgo tiene un retorno seguro, rf (tasa libre de riesgo), entonces, sabemos de antemano que PBt+1 / PBt =1 + rf. Luego, reescribiendo (2) y (3):

Si adoptamos la siguiente notación:
donde St+1 representa el inverso de la tasa marginal de sustitución entre consumo presente y consumo futuro, y Rt+1 representa el retorno de la acción, o mejor, uno más la rentabilidad de la acción realizada en t+1 (véase Grossman y Shiller, 1981),12 entonces, al resolver el sistema de ecuaciones (4 y 5) es posible obtener el retorno del activo riesgoso representado por la siguiente expresión:

Analicemos el término 1–βCov(St+1, Rt+1). Cov(St+1,Rt+1) es habitualmente referida como un coeficiente que mide el riesgo implícito de un activo. En efecto, la relación entre la tasa marginal de sustitución de consumo intertemporal y la rentabilidad de un activo debe ser alta y positiva, simplemente porque la exigencia que el inversionista tiene sobre un activo riesgoso es más alta que sobre un activo con menor riesgo. Siendo St+1 el inverso de dicha tasa marginal de sustitución intertemporal, entonces la covarianza es negativa. El término –βCov(St+1, Rt+1) –el cual podemos asumir como constante para simplificar el análisis, sin pérdida de generalidad, y que lo escribiremos como α– representa en consecuencia la tasa de premio al riesgo,13 donde β, recordemos, es la tasa de descuento subjetiva de corrientes de consumo futuras, que llamamos por comodidad tasa de preferencia subjetiva intertemporal. La tasa libre de riesgo y la tasa de premio al riesgo conforman en conjunto la tasa de descuento de los flujos de ingreso futuros, y es la tasa relevante para el inversionista. En suma, podemos expresar (6) como:

La relación (9) es conocida como la ecuación de arbitraje del modelo fundamental, y nos dice que el precio actual de la acción debe ser igual14 al valor esperado, descontado de la suma del precio de la acción en el próximo periodo más el valor de los dividendos del próximo periodo. Nuestro siguiente paso es encontrar una solución dinámica que nos entregue información del valor de las variables en toda la secuencia del problema. En este sentido, si aplicamos a la ecuación (9) la ley de proyecciones iterativas15 podemos obtener la solución del precio de la acción en función de la corriente de dividendos futuros.

La ecuación (10) se denomina solución fundamental del modelo de valor presente de valoración de activos, la cual es ampliamente conocida en teoría financiera. Esta solución define el precio de equilibrio de mercado de la acción, como el valor descontado de sus dividendos futuros, tomando un periodo de mantención infinito.16 Podemos, sin embargo, expresar esta relación para un periodo de inversión finito como:

En esta ecuación se capturan ambos componentes de la rentabilidad de la acción, la corriente de dividendos17 y la variación en el precio del título.18 A partir del modelo desarrollado, la siguiente sección expone los fundamentos metodológicos de las diferentes pruebas estadísticas que se han de aplicar para evaluar la eficiencia del mercado accionario y se presentan los resultados asociados a tales pruebas.
II. Corroboración de la eficiencia del mercado accionario: tests de volatilidad y contraste empírico
En esta sección se exponen los diversos tests presentes en la literatura que comprueban el grado de eficiencia del mercado accionario, para luego presentar el contraste empírico a partir de datos obtenidos de la Bolsa de Comercio de Santiago de Chile para el periodo entre julio de 1987 y junio de 2007.
A. Tests de volatilidad
Los tests de volatilidad, también conocidos como tests de límite de varianza, se derivan comúnmente de una relación de valor presente que vincula el precio de las acciones y los dividendos pagados por ésta. Se asume una distribución conjunta para los dividendos y cualesquiera otras variables que puedan ser útiles en la predicción de los dividendos; así, se define la predicción perfecta, precio teórico, o precio racional ex–post, por la relación.

El precio racional ex–post P*t corresponde a aquel que debiera ser predicho por el agente económico en perfecto conocimiento de los dividendos futuros. Si combinamos las expresiones para el precio teórico (12) y el precio de equilibrio del modelo fundamental (10) podemos establecer la relación (13).

Donde nt representa la suma descontada de los errores de predicción, de los futuros dividendos, incurridos por los agentes, utilizando la información disponible en el momento t. De la relación (13) se deriva el límite de varianza superior para una serie de precios reales de acciones observadas Pt, el cual no debe ser superior a la varianza de una serie de precios racionales ex post Pt*. Si se violase el límite de varianza, la volatilidad de los precios observados sería impactada por factores que no provienen de los fundamentos económicos perceptibles al momento de la formación de expectativas o de los precios dada la información disponible, o más bien que no son racionales de acuerdo con el modelo planteado.
El test básico de volatilidad corresponde al desarrollado por Shiller (1981), el cual consiste en contrastar la varianza que presenta el precio teórico de la acción, Pt*, dado por la expresión (12), y la varianza manifestada por el precio observado en el mercado accionario, Pt. Esto es:

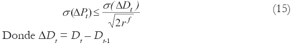
Por lo tanto, el mercado accionario sería eficiente si la volatilidad experimentada por el precio teórico fuese superior a la observada en el precio efectivo. Con el objeto de garantizar la confiabilidad del test, Shiller propone un límite inferior para la desviación estándar (σ) de la variación en el precio de la acción, ΔPt = Pt – Pt–1, el cual está dado por la siguiente expresión:

No obstante, la relación (20) no es válida cuando se utiliza una tasa de descuento variable en la determinación del precio teórico de la acción; en cuyo caso, para determinar la variabilidad mínima requerida para aceptar la hipótesis de eficiencia se debe utilizar la siguiente variante de la relación (15).

Donde E(rf) es la esperanza de la tasa de descuento libre de riesgo; E(D) es la esperanza de la serie de dividendos; σ(ΔP) es la desviación estándar de la serie ΔP; σ(ΔD) es la desviación estándar de la serie ΔD; y σ(rf) es la desviación estándar de la serie rf.
Respecto a los tests de volatilidad se distinguen los de segunda generación, entre los cuales identificamos los siguientes:
1. Cochrane (1991)
El test implica salvar el hecho de la no estacionariedad de la serie de precios de las acciones; para ello, el autor propone una modificación a la solución fundamental del modelo, que consiste en dividir la expresión (10) por Dt. En concreto, la serie del precio teórico de la acción debe ser calculada empleando la formulación (17).

Donde n = Dt / Dt–1 corresponde al factor de crecimiento de los dividendos. Dado esto, el test, al igual que en Shiller, pretende probar que VAR(Pt)≤ VAR(P*t).
2. LeRoy y Parke19
El test consiste en calcular las varianzas de la serie Pt/Dt al igual que en Cochrane, pero en este caso la relación teórica precio/dividendo se determina dividiendo la serie del precio teórico obtenida a la Shiller por la serie de dividendos observada. El contraste de varianzas resultante, que indicaría la presencia de un mercado eficiente, es el siguiente:
VAR(Pt/Dt) /VAR(Pt*/Dt) ≤ 1 (18)
3. Kleidon20
El método desarrollado por Kleidon consiste en contrastar las varianzas del factor de crecimiento del precio de la acción observado y de la razón P*t+n/Pt, donde n toma los valores 1, 2, 5 y 10. En concreto el test contrasta lo siguiente.
VAR(Pt+n/Pt )/VAR( P*t+n/Pt )≤ 1 (19)
4. West (1988)
La ventaja de este test es la no exclusión de los dos supuestos más fuertes del test de Shiller: precios y dividendos tienen una varianza finita (condición necesaria para la estacionariedad) y una serie de datos finita proporciona una perfecta predicción de precios.
West plantea la existencia de un límite superior para la varianza de la perturbación de los precios al utilizar un subconjunto Ht , de toda la información disponible en el mercado It, para la perfecta predicción de los precios de las acciones. La relación planteada es la siguiente:

Donde
, lo cual implica que la varianza de las perturbaciones será mayor mientras menor sea la información utilizada en la estimación de los precios de los acciones.
De manera operativa, el test implica, en primer lugar, estimar por mínimos cuadrados ordinarios la siguiente relación:
Pt = θ(Pt+1+Dt+1)+μt (21)
Aplicando el operador varianza a la ecuación (21) obtenemos:
VAR(μt )=θ2 E[Pt+1+Dt+1E(Pt+1+Dt+1|It )]2 (22)
Con lo cual, podemos obtener el lado derecho de la ecuación (20):
E[Pt+1–E(Pt+1|It )]2 =VAR(ut )/θ2 (23)
Para obtener el lado izquierdo de la expresión (25) debemos estimar la siguiente relación para el cambio en los dividendos, ΔDt :

Una vez estimada (24) se procede a calcular la varianza de las innovaciones vt , lo cual permite obtener el lado izquierdo de (20):

Con la información anterior, el paso final es construir el estadístico West (WS):

Si el estadístico es significativamente negativo, entonces estamos en condiciones de rechazar la hipótesis del modelo fundamental y, con ello, la eficiencia del MAC.
B. Contraste Empírico
Previa aplicación de la batería de tests de volatilidad, es imperativo construir una serie de precios y dividendos reales para el MAC. Para ello, conformamos una cartera de inversión constituida por 22 títulos bursátiles para el periodo comprendido desde julio de 1987 a junio de 2007. Las acciones incluidas en el portfolio de acuerdo con su nemotécnico son las siguientes: Andina–B, Campos, Cap, Carozzi, Ccu (Ex Cervezas), Chile, Chilectra, Cholguan, Conchatoro, Copec, Endesa, Enersis, Entel, Eperva–A, Gasco (Ex Gas Santiago), Habitat, Inforsa, Madeco, Lafarge (Ex Melon), Minera, Provida y Vapores. El criterio de inclusión de tales títulos en la cartera considera tanto su presencia al interior de todo el periodo muestral como el grado de representatividad de la cartera con respecto a la evolución general del MAC.21
El precio de cada acción está dado por el precio de cierre del último día del mes en que ésta se transó en el mercado. Por su parte, los dividendos están constituidos por todos los valores distribuidos por la sociedad anónima a cada uno de los tenedores de acciones, sean éstos provisorios, definitivos o adicionales. El criterio de selección de los títulos que conforman la cartera está dado en primer término por la representatividad del valor para los distintos sectores de la economía chilena, en segundo término se considera la permanencia del título a lo largo del periodo comprendido en la muestra. El peso relativo de cada uno de los títulos que conforman la cartera, para la determinación de las series precio y dividendo, está dado por la participación del patrimonio bursátil (número de acciones por precio de cierre) de la sociedad en el patrimonio bursátil de la cartera.
Una vez obtenidas las series precio y dividendo, se procede a deflactar cada observación por el índice de precios al consumidor (IPC) del mes respectivo, obteniendo de esta forma la versión real de las variables claves del análisis. Las series obtenidas son resumidas en los gráficos 1 y 2.


El gráfico 1 da cuenta no sólo de la evolución del precio de mercado, sino también del grado de representatividad de la cartera seleccionada para el periodo muestral de veinte años, dada la sincronía entre el precio real y el Índice general de precios de acciones (IGPA) chileno. El gráfico 2, por su parte, captura la evolución de los dividendos repartidos entre los títulos que integran la cartera seleccionada. Dada las características de esta última, la serie de dividendos tiene la particularidad de contar con observaciones distintas de cero para cada uno de los meses considerados en el análisis. Adicionalmente, es posible construir la serie de la razón precio/dividendo (Pt/Dt), cuya evolución se muestra en el gráfico 3.

En la determinación del factor de descuento utilizamos, en primer lugar, la tasa de interés de los Pagarés reajustables del Banco Central (PRBC) a 90 días para el periodo que comprende desde julio de 1987 a julio de 2001. En cambio, para el periodo entre agosto de 2001 y junio de 2007 empleamos la Tasa de política monetaria (TPM) real, debido a la insuficiencia de información respecto de los PRBC en este periodo.
En concreto, los resultados de la aplicación de los tests de volatilidad de Shiller, Cochrane, LeRoy y Parke, y Kleidon se reportan en la tabla 1. Por otra parte, los estadísticos necesarios para la aplicación del test de West se recopilan en la tabla 2. Del análisis de éstos es posible afirmar lo siguiente:
– En todos los tests es posible rechazar la hipótesis de eficiencia en el mercado accionario chileno. En efecto, las razones de desviaciones estándar superan la unidad en todos los tests de volatilidad aplicados, e.g., 9,4 en Shiller, 2,3 en Cochrane, 11,4 en LeRoy y Parke.
– El mercado accionario exhibe claros episodios de exceso de volatilidad, e.g., periodo 1991–1997 de acuerdo con Shiller, periodo 1994–1996 según Cochrane, 1991–1998 según LeRoy y Parke, 1993–1997 según Kleidon.
– La evidencia anterior es reafirmada mediante el estadístico WS, el cual es significativamente menor de cero (véase tabla 2), lo cual indica la violación de la hipótesis de mercado eficiente para datos chilenos.


Una de las potenciales causas del exceso de volatilidad que exhibe el MAC es la presencia de burbujas especulativas (bubbles), materia ya tratada por Johnson (1992) y Basch y Budnevich (1993). Fernández (1995) sugiere la existencia de una burbuja en el periodo de comienzos de los ochenta, en el cual se produjo un crecimiento explosivo de la demanda de acciones, pues se esperaban precios mucho mayores, pero con la consecuente crisis financiera, los precios de las acciones comenzaron a descender, mientras las tasas de interés se mantenían altas, ante lo cual la burbuja finalmente reventó. No obstante, la presente investigación objeta la presencia de burbujas racionales, siguiendo la metodología planteada por Cochrane (1991), al rechazar la hipótesis de existencia de raíz unitaria en la serie log(Pt/Dt), a partir de los antecedentes recopilados de los tests Dickey y Fuller (1981) y Phillips–Perron (ver tabla 3).


De la literatura emerge una segunda causa: cambios en la tasa de descuento. En este sentido, Shiller plantea un límite inferior para la variabilidad en la tasa de descuento que permita aceptar el test de volatilidad planteado, explicitado en la relación (14). La tabla 4 compila el cálculo del citado límite, así como la variabilidad de la tasa de descuento empleada. Del análisis de la tabla 4 se concluye que las tasas de descuento empleadas exhiben volatilidades muy inferiores a la requerida para aceptar la hipótesis de eficiencia. En tan sólo dos subperiodos muestrales, 2001 y 2004, la volatilidad observada supera a la requerida.

Conclusiones
El presente trabajo entregó evaluación de un modelo de valoración de activos financieros CCAPM, aplicado en particular al mercado accionario chileno, en el periodo comprendido entre el mes de julio de 1987 a junio de 2007. Esta evaluación buscaba encontrar evidencia de desviaciones entre el valor de mercado de los títulos accionarios, determinado de acuerdo con sus fundamentos económicos, y el valor observado durante el periodo en estudio. Dicho fenómeno se conoce con el nombre de ''burbujas especulativas'' asociándose el exceso de volatilidad de los precios a fenómenos propios de las transacciones de mercado como ruido especulativo, modas u otro fenómeno que se aleja de la valoración racional que considera el set de información y el método de determinación económico de los precios.
En función de lo anterior, es factible enunciar los principales hallazgos del estudio:
i. Se encuentra evidencia de exceso de volatilidad en los precios del mercado accionario como un todo, considerando el total de datos de la muestra analizada, de acuerdo con todos los análisis estadísticos de la serie analizada, i.e. tests de Shiller, Cochrane, LeRoy & Parker, y Kleidon.
ii. El exceso de volatilidad encontrado en los precios del mercado accionario chileno constituye una violación de la hipótesis de los mercados eficientes, por cuanto revela que el proceso formación del precio de los títulos, falla en reflejar su valor económico fundamental, derivado racionalmente de la información disponible en el momento de la transacción.
iii. Entre las causas del exceso de volatilidad, descartamos la existencia de una burbuja especulativa racional, por cuanto ésta no se condice con la estacionariedad de la serie log(Pt/Dt) por lo que el crecimiento de los precios no sería insostenible ni indeterminado. En otras palabras, el precio se desvía habitualmente de su valor de fundamentos, pero la trayectoria a largo plazo es convergente en un valor finito, lo que revela la acción del dividendo como factor estabilizador.
iv. Descartamos también que el exceso de volatilidad se deba al exceso de volatilidad de la tasa de descuento, por cuanto hemos demostrado que durante el periodo en estudio ésta se mantuvo por debajo de los límites de variación requeridos para aceptar esta proposición. No obstante, al no incorporar en el modelo una función de utilidad explícita no es posible descartar que el exceso de volatilidad sea causado por la volatilidad de la prima por riesgo.
v. La irracionalidad del mercado, entendiendo por esta última la incapacidad del sistema de precios para reflejar en forma consistente el set de información fundamental disponible, explicado por la operación de métodos de valoración relacionados al comportamiento y psiquis de los agentes económicos, podría ser una explicación plausible para el exceso de volatilidad en el precio. La constatación de la presencia de estos criterios no está probada en el análisis realizado, así como el grado de predecibilidad de los precios.
Bibliografía
1. Altug, Sumru y Labadie, Pamela (1994). Dynamic choice and asset markets, San Diego, Academic Press, Capítulos 1–3. [ Links ]
2. Bachelier, Louis (1900). ''Théorie de la spéculation'', Annales Scientifiques de L'École Normale Supérieure, 3er série. Tome 17, pp. 21–86. [ Links ]
3. Basch, Manuel y Budnevich, Carlos (1993). ''Comportamiento reciente del mercado accionario chileno: una aplicación de tests de volatilidad y eficiencia''. Notas Técnicas CIEPLAN, No. 153. [ Links ]
4. Berglund, Tom; Wahlroos, Björn y Örnmark, Anders (1983). ''The weak–form efficiency of the finnish and scandinavian stock exchanges: A comparative note on thin trading'', The Scandinavian Journal of Economics, Vol. LXXXV, No. 4, pp. 521–530. [ Links ]
5. Brown, Robert L. y Easton, Stephen (1989). ''Weak–form efficiency in the nineteenth century: A study of daily prices in the london market for 3 per cent consols, 1821–1860'', Economica, New Series, Vol. LVI, No. 221, febrero, pp.61–70. [ Links ]
6. Campbell, John Y. y Shiller, Robert (1987). ''Cointegration and tests of present value models'', The Journal of Political Economy, Vol. XCV, No. 5, octubre, pp. 1062–1088. [ Links ]
7. Campbell, John Y. y Shiller, Robert (1988). ''Stock prices, earnings, and expected dividends'', The Journal of Finance, Vol. XLIII, No. 3, julio, pp. 661–676. [ Links ]
8. Cochrane, John (1991). ''Volatility tests and efficient markets'', Journal of Monetary Economics, No. 27, pp. 463–485. [ Links ]
9. Dickey, David A. y Fuller, Wayne (1981). ''Likelihood ratio statistics for autoregressive time series with a unit root'', Econometrica, Vol. XLIX, No. 4, julio, pp. 1057–1072. [ Links ]
10. Engle, Robert F. y Granger, Clive W. J. (1987). ''Co–integration and error correction: representation, estimation, and testing'', Econometrica, Vol. LV, No. 2, marzo, pp. 251–276. [ Links ]
11. Fama, Eugene (1970). ''Efficient capital markets: a review of theory and empirical work'', The Journal of Finance, Vol. XXV, pp. 383–417. [ Links ]
12. Fama, Eugene F. (1991). ''Efficient capital markets: II'', The Journal of Finance, Vol. XLVI, No. 5, pp. 1575–1617. [ Links ]
13. Fama, Eugene F. (1998). ''Market efficiency, long–term returns, and behavioral finance'', Journal of Financial Economics, Vol. XLIX, pp. 283–306. [ Links ]
14. Fernández, Jennifer (1995). ''Mercado accionario y los ciclos económicos en chile: Un análisis de cointegración'', Economía y Administración (U. de Concepción), No. 45, diciembre, pp. 48–69. [ Links ]
15. French, Kenneth R. (1988). ''Crash–testing the efficient market hypothesis'', NBER Macroeconomics Annual, Vol. III, pp. 277–285. [ Links ]
16. Gode, Dhananjay K. y SUNDER, Shyam (1997). ''What makes markets allocationally efficient?'', The Quarterly Journal of Economics, Vol. CXII, No. 2, mayo, pp. 603–630. [ Links ]
17. Grossman, Sandford J. y Shiller, Robert J. (1981). ''The determinants of the variability of stock market prices'', The American Economic Review, Vol. LXXI, No. 2, mayo, pp. 222–227. [ Links ]
18. Hamilton, James D. y LIN, Gang (1996). ''Stock market volatility and the business cycle'', Journal of Applied Econometrics, Vol. XI, No. 5, pp. 573–593. [ Links ]
19. Johnson, Christian (1992). ''Burbujas especulativas y mercado accionario'', Economía y Administración (U. de Concepción), No. 38, junio, pp. 43–61. [ Links ]
20. Leroy, Stephen F. (1984). ''Efficiency and the variability of asset prices'', The American Economic Review, Vol. LXXIV, No. 2, mayo, pp. 183–187. [ Links ]
21. Leroy, Stephen F. (1989). ''Efficient capital markets and martingales'', Journal of Economic Literature, Vol. XXVII, No. 4, diciembre, pp. 1583–1621. [ Links ]
22. Leroy, Stephen F. y Porter, Richard D. (1981). ''The present value relation: Tests based on implied variance bounds'', Econometrica, Vol. XLIX, No. 3, mayo, pp. 555–574. [ Links ]
23. Lucas, Robert E. (1978). ''Asset prices in an exchange economy'', Econometrica, Vol. XLVI, No. 6, noviembre, pp.1429–1445. [ Links ]
24. Malkiel, Burton G. (2003). ''The efficient market hypothesis and its critics'', The Journal of Economic Perspectives, Vol. XVII, No. 1, pp. 59–82. [ Links ]
25. Mishkin, Frederic S. (1978). ''Efficient–markets theory: Implications for monetary policy'', Brookings Papers on Economic Activity, Vol. MCMLXXVIII, No. 3, pp. 707–752. [ Links ]
26. Muth, John F. (1961). ''Rational expectations and the theory of price movements'', Econometrica, Vol. XXIX, pp. 1–23. [ Links ]
27. Pasour, E. C. (1980). ''A semi–strong form evaluation of the efficiency of the hog futures market: Comment'', American Journal of Agricultural Economics, Vol. LXII, No. 3, agosto, pp. 581–583. [ Links ]
28. Shiller, Robert J. (1981). ''The use of volatility measures in assessing market efficiency'', The Journal of Finance, Vol. XXXVI, No. 2, pp. 291–304. [ Links ]
29. Stiglitz, Joseph E. (1982). ''The inefficiency of the stock market equilibrium'', The Review of Economic Studies, Vol. XLIX, No. 2, abril, pp. 241–261. [ Links ]
30. Svensson, Lars E. (1977). ''The stock market, the objective function of the firm, and intertemporal pareto efficiency–the certainty case'', The Bell Journal of Economics, Vol. VIII, No. 1, pp. 207–216. [ Links ]
31. Timmermann, Allan G. (1993). ''Learning, specification search and market efficiency. With an application to the Danish stock market'', The Scandinavian Journal of Economics, Vol. XCV, No. 2, junio, pp. 157–173. [ Links ]
32. West, Kenneth D. (1988). ''Bubbles, fads and stock price volatility tests: A partial evaluation'', The Journal of Finance, Vol. XLIII, No. 3, julio, pp. 639–656. [ Links ]
NOTAS
1. Para una buena discusión de los principales enfoques de la eficiencia del mercado accionario véase Malkiel (2003).
2. No existe precisión respecto de qué variables constituyen los fundamentos para determinar el precio de un acción. En general, se le reconoce como un set de información relevante de la empresa, entre los cuales el principal es el flujo descontado de dividendos esperados y el precio terminal, la tasa de descuento, así como información de su entorno financiero, económico, político, etc.
3. La sobrevaloración es indefinida en el sentido que, la desviación del precio con respecto a los fundamentos crece a tasas tales que su proyección indefinida no converge hacia un valor finito.
4. El concepto de expectativas racionales fue introducido por Muth (1961), y difundido por Lucas, Breeden y otros mediante su aplicación en diversos modelos económicos (ver Fama, 1991).
5. Véase Altug y Labadie (1994).
6. El agente representativo es una construcción teórica para significar la existencia de un conjunto de agentes económicos con preferencias homogéneas, e iguales características de acceso a información, actitud frente al riesgo, funciones de utilidad, etc. Implícitamente se asume que su proceso de formación de expectativas (procesamiento de la información disponible) también es homogéneo. Las condiciones bajo las cuales esta desagregación es suficiente para obtener conclusiones a nivel general son las llamadas condiciones de homogeneidad, las cuales se derivan de la estructura de preferencias HARA (Hyperbolic Absulute Risk Aversion), y a su vez constituyen la base de muchos test de las relaciones de precios de activos como los que desarrollaremos en este trabajo (Altug y Labadie, 1994).
7. Las condiciones de Inada configuran una función de utilidad estrictamente cóncava y creciente, de la siguiente forma: 
8. Este supuesto implica que la producción varía producto de shocks independientes de los resultados obtenidos en el modelo, es decir, es independiente de las decisiones de los agentes representados en éste. Asumir lo anterior no es tan irreal si acotamos el estudio al mercado de valores. Modelos con producción endógena también pueden ser desarrollados.
9. Para verificar el resto de los supuestos del modelo, así como sus fundamentos matemáticos, ver Altug & Labadie (1994) o Lucas (1978) quienes utilizan programación dinámica para obtener el equilibrio en sistemas dinámicos. Básicamente, es un enfoque de decisiones recursivas, donde los valores de las variables se encuentran independientemente para cada periodo específico.
10. Se asume que β = 1 / (1+p), donde p es la tasa subjetiva de preferencias en el tiempo.
11. También llamadas Condiciones de Euler o Ecuaciones de Euler.
12. Shiller (1981) incorpora β a St+1.
13. El sentido que le damos a este término es el mismo que tiene en el modelo CAPM.
14. La relación puede plantearse como desigualdad,
en el caso que el número de acciones a mantener en t+1 sea igual a 0.
15. Según esta ley, el valor esperado de una variable en un instante t es igual al valor esperado en t de la esperanza de la misma variable en un periodo posterior. Más claramente: 
16. Este modelo tiene el supuesto que el agente representativo tiene vida infinita, este supuesto implica en los hechos que la continuidad del mercado en el futuro no está acotada o es indefinida.
17. Este modelo no contempla la reinversión de las ganancias, es un modelo de consumo; por lo tanto, no cabe distinguir entre dividendos y utilidades. En el análisis empírico debe considerarse una definición de dividendos más amplia que el simple reparto de utilidades.
18. Cuando el periodo de inversión es indefinido, la condición de equilibrio expresada en (11) tiene la siguiente condición de transversalidad:
puede notarse que la condición de transversalidad nos dice simplemente que el valor esperado descontado del precio de la acción en un periodo infinitamente posterior debe ser igual a cero. Si asumimos la tasa de descuento como una constante positiva menor que 1, entonces la condición de transversalidad se restringe a exigir un precio de la acción cuya trayectoria converge a un valor definido.
19. Ver West (1988).
20. Ver West (1988).
21. La evolución del mercado accionario chileno es capturada por el Índice general de precios de acciones (IGPA), el cual es elaborado por la Bolsa de Comercio de Santiago de Chile y considera, en su cálculo, a toda aquella sociedad con presencia bursátil superior al 5% y cuyo monto transado anual supere las 10.000 unidades de fomento (alrededor de USD 350.000).
Primera versión recibida en marzo de 2009; versión final aceptada en mayo de 2009













