Services on Demand
Journal
Article
Indicators
-
Cited by SciELO -
Access statistics
Related links
-
Cited by Google -
Similars in
SciELO -
Similars in Google
Share
Lecturas de Economía
Print version ISSN 0120-2596
Lect. Econ. no.70 Medellín Jan./June 2009
Gasto público en salud, crecimiento económico y elasticidad de sustitución: resultados para la economía española 1985-2003
Public expenditure on health, economic and elasticity of substitution: Results for Spanish economy, 1985-2003
Dépenses publiques en santé, croissane économique et élasticité de substitition: Résultats pour l'économie espagnole entre 1985 et 2003
Jesús lópez Rodríguez1; Miguel Muñoz2; Pablo Cesar Muñoz3;
1 Profesor del Departamento de Análisis Económico y Administración de Empresas de la Universidad de A Coruña. Dirección electrónica: jelopez@udc.es. Dirección postal: Facultad de Ciencias Económicas y Empresariales, Campus de Elviña, s/n. Código Postal 15071, A Coruña, España.
2 Economista, Doctorando del Departamento de Análisis Económico y Administración de Empresas de la Universidad de A Coruña. Dirección electrónica: mmunoz@udc.es. Dirección postal: Facultad de Ciencias Económicas y Empresariales, Campus de Elviña, s/n. Código Postal 15071, A Coruña, España.
3 Profesor-consultor de la Universitat Oberta de Catalunya. Dirección electrónica: pmunozc@uoc.edu. Dirección postal: Facultad de Ciencias Económicas y Empresariales, Campus de Elviña, s/n. Código Postal 15071, A Coruña, España.
Este trabajo ha sido parcialmente terminado durante una estancia de investigación de Jesús López-Rodríguez en el departamento de economía de la Universidad de Harvard en el curso académico 2007/08. Jesús López-Rodríguez agradece al Ministerio de Educación y Ciencia de España y al Real Colegio Complutense las becas concedidas para realizar su estancia (referencias PR-2007-0347 y beca Plaza de Investigación respectivamente).
Resumen
Este artículo estudia el efecto que el gasto público en salud tiene en el crecimiento económico, mediante la estimación de la elasticidad de sustitución en una función de producción CES para la economía española en el periodo 1985-2003. Los resultados del trabajo demuestran que cuanto mayor sea el esfuerzo de la Administración Pública en proveer una mayor cobertura social en salud, mayor será la elasticidad de sustitución entre los factores de producción, lo que permitirá un mayor crecimiento económico.
Palabras Clave: crecimiento económico, elasticidad de sustitución, función de producción CES, gasto público en salud. Clasificación JEL: I12, O11
Abstract
This paper analyzes the effect that government expenditure on health has on economic growth by estimating the elasticity of substitution for a CES production function in the Spanish economy during the period 1985-2003. Our results show that the higher the efforts of public administrations in providing greater public health coverage the higher the elasticity of substitution between production factors will be, and consequently this will benefit economic growth.
Keywords: Economic Growth, Elasticity of Substitution, CES Production Function, Public Expenditure on Health. JEL Classification: I12, O11.
Résumé
Cet article étudie l'effet que les dépenses publiques en santé ont eu sur la croissance économique espagnole dans la période 1985-2003. Pour ce faire, nous faisons une estimation de l'élasticité de substitution d'une fonction de production CES. Les résultats démontrent que plus l'Etat élargie la couverture sociale en santé, plus sera l'élasticité de substitution entre les facteurs de production, ce qui se traduit dans une croissance économique plus élevée.
Mots clé: croissance économique, élasticité de substitution, fonction de production CES, dépenses publiques en santé. Classification JEL : I12, O11
INTRODUCCIÓN
La opinión de los académicos sobre el efecto que el gasto público, en un sentido amplio, tiene en el crecimiento económico de un país, no es unánime. Uno de los trabajos pioneros en esta dirección es el de Aschauer (1989), quien analiza el impacto del capital público sobre la productividad y el papel que juegan los diferentes tipos de capital público. Los resultados de este trabajo indican que el capital público juega un papel importante en la evolución de la productividad de los factores de producción. Ram (1986) en un análisis a nivel mundial para una muestra de 115 países encuentra un resultado positivo de los efectos del gasto del gobierno en el crecimiento económico. Otros autores, no obstante, concluyen que la relación entre capital público y crecimiento económico es negativa (Barro, 1989, 1990; Grier y Tullock, 1989; Landau, 1983) o existe una f alta de significatividad en los valores del capital público, al comprobar que el ritmo de convergencia de las economías se sitúa en torno al 2%, aún teniendo esfuerzos redistributivos distintos (Barro y Sala-i-Martín, 1991).
Los trabajos anteriormente mencionados analizan los efectos del gasto público en el crecimiento económico, incluyendo distintas variables en las regresiones de crecimiento que recogen diferentes tipos de gasto público (gasto en infraestructuras, gastos en sanidad, gastos en educación, etc.) y sorprendentemente muestran resultados poco concluyentes.
Nuestra aproximación a este debate la planteamos desde la óptica del papel crucial que desempeña la elasticidad de sustitución en los fenómenos de crecimiento. La elasticidad de sustitución entre capital y trabajo juega un papel central en la teoría económica, fundamentalmente en los campos de las teorías del crecimiento económico y de la hacienda pública. Desde la perspectiva del crecimiento económico se observa cómo economías con altas tasas de crecimiento tienen una tendencia a tener valores más altos para la elasticidad de sustitución entre el capital y el trabajo; la explicación intuitiva a este hecho se basa en que la magnitud de la elasticidad de sustitución determina el rango de tecnologías disponibles, es decir, se puede interpretar como un conjunto de elección a disposición de los empresarios. Cuanto mayor sea el valor de la elasticidad de sustitución, mayores serán las posibilidades de producir un nivel determinado de output con distinta combinación de factores. En definitiva, cuando los empresarios disponen de una amplia variedad de posibilidades, escogerán la que sea más eficiente.
De la Grandville (1989) basándose en un argumento geométrico1 demuestra que la elasticidad de sustitución es una variable explicativa muy importante del crecimiento económico; esto le llevó a afirmar que el notable desempeño económico de Japón y otros países asiáticos de reciente industrialización no se debía únicamente a sus altas tasas de ahorro, sino también a la alta elasticidad de sustitución entre capital y trabajo en sus sectores industriales. Ky-Hyang Yuhn (1991) confirma la relevancia de la hipótesis De la Grandville (1989), al comparar el crecimiento económico de un país de reciente industrialización (Corea del Sur) –con tasas de crecimiento medio anual en términos reales de su producto nacional bruto del 8,3% durante el periodo 1962-19812 – con el caso de EEUU donde sus magnitudes de crecimiento son muy inferiores a las experimentadas por Corea del Sur (2,74% entre 1964 y 1982). Ky-Hyang Yuhn (1991) estima una elasticidad de sustitución entre el capital y el trabajo para el caso de la economía coreana de 0,908, considerablemente superior a las estimaciones existentes en ese periodo para la economía americana que según los diferentes autores3 (Brown y De Cani, 1963; David y van de Klundert, 1965; Ferguson, 1965; Kalt, 1978; May y Denny, 1979; Panik, 1976; Sato, 1970 y Wilkinson, 1968) oscila entre 0,078 y 0,763.4 La hipótesis De la Grandville (1989) también fue contrastada con éxito por Cronin et al. (1997) en el caso de la industria de las telecomunicaciones de los Estados Unidos.
Desde el punto de vista de la hacienda pública, la elasticidad de sustitución juega un papel clave en la respuesta de la inversión a la política impositiva, donde menores elasticidades de sustitución entre capital y trabajo se asocian a una menor respuesta de la inversión a políticas de incentivos fiscales (Hall y Jorgenson, 1967; Eisner y Nadiri, 1968 y Chirinko, 2002).
Este trabajo lo abordamos desde la primera de las perspectivas comentadas, al centrarnos en el análisis de los efectos que el gasto público en salud tiene en el crecimiento económico para la economía española, viendo cómo varía la elasticidad de sustitución entre el capital y el trabajo, cuando descontamos del valor de la producción agregada de la economía, el montante del gasto público en salud.
El trabajo contiene una parte teórica y otra parte empírica; en la parte teórica se plantea una función de producción tipo CES y neutral de Solow, es decir, solamente consideramos la posibilidad de progreso técnico vinculado al factor capital, y definimos la elasticidad de sustitución asociada a este sesgo en el progreso técnico; posteriormente derivamos las relaciones fundamentales entre la elasticidad de sustitución y los valores de output per cápita y output por unidad de capital de la economía, estas relaciones constituyen el núcleo de nuestras estimaciones empíricas; la parte empírica del trabajo se aplica a los datos de la economía española para el periodo 1985-2003, tratando de determinar en qué medida el capital público en salud es relevante para el crecimiento económico a través de sus efectos sobre el valor de la elasticidad de sustitución.
Los resultados de nuestro análisis permiten comprobar que las estimaciones de la elasticidad de sustitución entre capital y trabajo son menores cuando descontamos el gasto público en salud del cómputo del output de la economía. Teniendo en cuenta que cuanto mayores sean los valores de la elasticidad de sustitución entre el capital y el trabajo en una economía, mayores serán los efectos sobre el crecimiento económico de la misma, nuestros resultados nos permiten afirmar que el gasto público en salud tiene un impacto positivo en el crecimiento de la economía española. Asimismo los resultados de nuestras estimaciones apoyarían la hipótesis de que la función de producción agregada de la economía española en el periodo 1985-2003 no es del tipo Cobb-Douglas, al estar los valores estimados de la elasticidad de sustitución (0,38) lejos del valor teórico correspondientes a una función tipo Cobb-Douglas.5
El trabajo se estructura de la siguiente manera: la sección I contiene el modelo teórico que usaremos para nuestra estimación empírica, en la sección II describimos la especificación econométrica del problema y el método de estimación, la sección III contiene las variables y fuentes de datos utilizadas y presenta los resultados de las estimaciones realizadas.
I. El modelo
El modelo que planteamos analiza cómo el gasto público en salud afecta el crecimiento económico a través de sus efectos sobre la elasticidad de sustitución, lo que justifica la introducción de una función de producción tipo CES. Acorde con el trabajo de Sato (1970) podemos expresar el output producido por una economía en cualquier momento del tiempo t a través de una función de producción lineal y homogénea de la siguiente manera:
Q(t)=F[A(t)L(t), B(t)K(t)] (1)
En donde Q(t) representa el output de la economía en términos reales en el momento t, K(t) representa los flujos de servicios asociados al stock de capital en términos reales en t, L(t) representa los flujos de servicios de los trabajadores en t, A(t) es un índice de eficiencia asociada al factor trabajo y B(t) es un índice de eficiencia asociada al factor capital. Además de los supuestos de linealidad y homogeneidad, suponemos que Q(t) es una función de clase n, es decir sus derivadas parciales con respecto a K, L, A, B y t son continuas hasta orden n, siendo n cualquier orden deseado. También partimos del supuesto de que tanto los mercados de factores como de bienes son competitivos, de forma que en equilibrio los factores de producción se remuneran por sus productos marginales, es decir;
y dado que se cumple
y
; en consecuencia tendremos
. Si suponemos que los índices de eficiencia asociados al factor capital y al factor trabajo varían con el tiempo, podemos expresar la tasa de crecimiento de los mismos como λL y λk respectivamente. Como en nuestro modelo una de las variables clave es la elasticidad de sustitución, esto nos obliga a imponer una estructura concreta a la forma del cambio tecnológico. Debido a esta peculiaridad, la elección de una función exponencial con tasas de crecimiento constantes del cambio tecnológico es el supuesto más natural. Por lo tanto, expresamos los índices de eficiencia asociados a los factores trabajo y capital como A(t) = AeλLty B(t) = BeλKt. Adicionalmente, suponemos que el progreso técnico de nuestro modelo es neutral en el sentido de Solow (no existe un incremento de la eficiencia en el tiempo asociada al factor trabajo (λk ≠λL = 0). Teniendo en cuenta los supuestos anteriormente planteados reescribimos (1) como Q(t) = F [L(t), A(t)K(t)]
La elasticidad de substitución se introduce en el campo de la economía a principios de los años 30, debido a la necesidad de una formalización de la sustituibilidad de los factores, para resolver de una manera formal los problemas de optimización del productor y los problemas de optimización de los consumidores (para una discusión más detallada, véase Garcia Molina, 2005). Como el concepto de elasticidad de substitución se requería para la resolución de problemas económicos de distinta naturaleza (producción y distribución), su descubrimiento tuvo lugar de forma simultánea por académicos que trabajaban en distintos campos de conocimiento. Podemos definir la elasticidad de sustitución entre los factores capital y trabajo (o) como el cociente entre la variación en el uso relativo de los factores capital y trabajo y la variación en la ratio de remuneración relativa de los mismos o, lo que es lo mismo, de la relación marginal de sustitución técnica entre el capital y el trabajo. Matemáticamente, la expresión para la elasticidad de sustitución viene dada por:

Si reescribimos la expresión (2) para relacionar la elasticidad de sustitución entre los factores, capital y trabajo, con la tasa de aumento de los mismos, tenemos que:

Donde λL=0 por considerar la función de producción neutral de Solow. Despejando en (3) obtenemos:

Sato (1970) demuestra la posibilidad de expresar (3) diferenciando en (1) como un modelo de ecuaciones simultáneas. Dado que partimos del supuesto de cambio tecnológico neutral en el sentido de Solow, podemos reformular la ecuación de Sato (1970) de forma que obtenemos:

Las ecuaciones (5) y (6) representan las productividades asociadas a los factores trabajo y capital. La forma como la elasticidad de sustitución afecta a estas ecuaciones varía dependiendo de la función de producción que utilicemos.
En este trabajo asumimos que la función de producción agregada de la economía española, puede representarse por medio de una función de producción con rendimientos constantes a escala y caracterizada por una elasticidad de sustitución constante entre los factores capital y trabajo. Para ello tomamos como referencia la función de producción introducida por Arrow et al. (1961)6 y modificada por Kalt (1978). Esta función la adaptamos a nuestra economía, en la cual suponemos que el cambio tecnológico es neutral en el sentido de Solow, lo que nos permite expresar el output producido por la economía en cada momento del tiempo de la siguiente forma:

Donde
; dado que estamos suponiendo que nos encontramos en un mercado perfectamente competitivo, en tales circunstancias el precio de los inputs debe igualarse a sus productividades marginales:7

Tomando logaritmos en (8) y en (9) y teniendo en cuenta que
. Obtenemos:8

Klump y De la Grandville (2000) demuestran que la relación entre el output per cápita de la economía y la elasticidad de sustitución entre el capital y el trabajo es positiva bajo los supuestos de una función de producción tipo CES normalizada, donde
denota el nivel de capital per cápita de la economía, consecuencia de normalizar la función de producción.
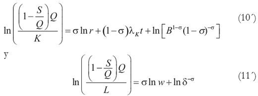
Las expresiones (10) y (11) demuestran teoricamente que la elasticidad de sustitución entre el capital y el trabajo es un instrumento importante para el estudio del crecimiento económico. De hecho, cuanto mayor sea el valor de la elasticidad de sustitución, ceteris paribus, mayor será el efecto que una variación en el precio de los factores tiene en el output per cápita y en la productividad del capital de la economía; teniendo en cuenta esto, en este trabajo nos planteamos en qué medida puede afectar el gasto público en salud al crecimiento económico o, alternativamente, cómo afecta el gasto público en salud a la elasticidad de sustitución entre el capital y el trabajo. Para ello, lo que hacemos es descontar al output de la economía el multiplicador del capital en salud, con lo que obtenemos las siguientes expresiones (10') y (11'):

El siguiente paso es comparar las estimaciones de los valores de la elasticidad de sustitución del sistema de ecuaciones (10) y (11) con el sistema de ecuaciones (10') y (11'). Si el valor de la elasticidad de sustitución que resulta de la estimación del sistema de ecuaciones (10') y (11') es menor que el que resulta de la estimación del sistema de ecuaciones (10) y (11), podremos afirmar que el gasto público en salud tiene un efecto positivo sobre el nivel de desarrollo económico, al aumentar los niveles de renta per cápita y productividad del capital de la economía.
En el siguiente apartado abordamos las especificaciones econométricas correspondientes a las expresiones (10), (11), (10') y (11') y hacemos una descripción de los datos utilizados en nuestro análisis. En el apartado III presentamos los resultados de las estimaciones realizadas.
II. Especificaciones econométricas y fuente de datos
Las expresiones (10), (11), (10') y (11') que representan la productividad del trabajo y del capital de la economía en dos escenarios distintos (con gasto público en salud y descontado éste de la producción agregada), constituyen la base de las estimaciones empíricas realizadas en este estudio para la economía española en el periodo 1985-2003.
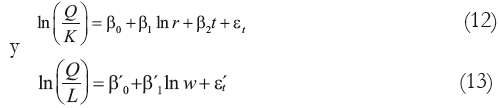
Las versiones estocásticas de las expresiones (10) y (11) son las siguientes:

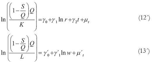
Donde e t y e t' representan los términos de error. Nuestros parámetros de interés son o =β1 y o =β1' que representan la elasticidad de sustitución entre el capital y el trabajo. De forma análoga obtenemos (12') y (13') a partir de (10') y (11') pero descontando de las mismas, los efectos del capital público en salud (S).

Ahora μt y μt' representan los términos de error. Nuestros parámetros de interés son o = r1 y o = r1' que representan la elasticidad de sustitución entre el capital y el trabajo.
Las ecuaciones (12) y (13) y (12') y (13') relacionan la productividad media del trabajo y del capital con la productividad marginal de los mismos. Es lógico pensar que en estos sistemas de ecuaciones, para cualquier periodo de tiempo, existen otras variables explicativas, además de las variables exógenas incluidas que estarían afectando a la productividad tanto del factor trabajo como del factor capital. Estos efectos inicialmente quedan recogidos en los términos de error de las ecuaciones. Si esas variables relevantes omitidas afectan a las ecuaciones (12) y (13) y (12') y (13'), cabe esperar que los términos de error de las ecuaciones (12) y (12') estén correlacionados con los términos de error de las ecuaciones (13) y (13') (correlación contemporánea). Cuando se plantea la posibilidad de correlación contemporánea, estamos en condiciones de suponer que nos encontramos ante un modelo SURE (Seemingly Unrelated Regresion Equations) que lo estimaremos siguiendo el método propuesto para estos modelos por Zellner (1962).9 Los coeficientes estimados serán los estimadores de Zellner, o lo que es lo mismo los estimadores mínimos cuadrados generalizados (MCG), y por lo tanto, no son los estimadores de menor varianza entre los insesgados y lineales, si bien cuanto mayor sea la correlación contemporánea entre las perturbaciones de las ecuaciones, mayor será la ganancia de eficiencia de los estimadores MCG del modelo SURE.
El vector de estimadores10 del modelo generalizado resultante para las ecuaciones (12) y (13) viene dado por:

Donde X e Y se definen de manera que representan las variables dependientes e independientes de las ecuaciones de productividad del capital y productividad del trabajo.
Con el objeto de hacer una interpretación adecuada de los resultados, tenemos que tener en cuenta que las ecuaciones (12), (13), (12') y (13') constituyen un sistema multiecuacional cuya estimación realizaremos bajo la restricción β1 = β1' y r1= r1' , debido a que estos parámetros que recogen la elasticidad de sustitución de factores en las ecuaciones de productividad del capital y productividad del trabajo, se refieren a la elasticidad de sustitución del trabajo con respecto al capital para la función de producción agregada de la economía española.
III. Resultados empíricos e interpretación
La estimación de las ecuaciones (12), (13), (12') y (13') requiere datos de producción agregada (Q), stock de capital (K), número de trabajadores (L), rentas del trabajo (w) y rentas del capital (r). Para la construcción de la variable Q/K de la ecuación (12) utilizamos los datos de producción agregada (Q) para la economía española, obtenidos del Instituto Nacional de Estadística (INE). Respecto a los datos de la variable stock de capital (K), hemos construido la serie de stock de capital utilizando como proxy el stock de capital físico y suponiendo una vida útil de diez años para dicho capital, y por lo tanto practicando una amortización lineal del 10% a la formación bruta de capital fijo. Tanto los datos de producción agregada (Q) como de stock de capital (K) están expresados en pesetas constantes de 1986 para el periodo 1985-2003. Respecto a las rentas del capital (r) se obtienen del INE y están expresadas en millones de pesetas constantes para el periodo (1985-2003). La variable (t) es el tiempo expresado en forma de variable discreta para el periodo analizado.
Para la estimación de la ecuación (13) necesitamos datos de Q/L que lo aproximamos por el PIB per cápita de la economía española para el periodo 1985-2003, expresado en pesetas constantes de 1986. Aunque en 1995 hubo un cambio de base, tomando como referencia el año 1995, los datos de la anterior serie (1986) llegan a 1997; no obstante, para los datos de 1998 en adelante se hizo un cambio de base para mantener la homogeneidad de la serie. En el computo del input trabajo dentro de la función de producción existen autores como Jorgenson y Ho (2000), que discuten la validez y la precisión de una medida agregada del factor trabajo al considerar que su calidad no es comparable en lasdiferentes ramas de actividad de la economía; sin embargo, una corrección del factor trabajo, teniendo en cuenta posibles diferencias de calidad asociadas al mismo, queda fuera del ámbito de nuestro análisis.
Para la construcción de la variable (w) nos basamos en los datos del INE de salarios en la industria y en los servicios de la economía española para el periodo 1985-2003; los datos están expresados en millones de pesetas constantes de 1986. En la estimación de las ecuaciones (12') y (13') para el computo del numerador de la variable del lado izquierdo de la expresión, se descuenta del valor total del PIB de la economía del periodo 1985-2003 el montante de gasto sanitario público (ambos datos expresados en millones de pesetas constantes de 1986). Los datos proceden del INE y del Ministerio de Sanidad y Consumo. El resto de variables de las ecuaciones (12') y (13') coinciden con las de las ecuaciones (12) y (13).
Uno de los problemas al efectuar las estimaciones es la existencia de autocorrelación dentro de cada una de las ecuaciones del modelo, esto impide que los estimadores sean eficientes; para evitarlo, utilizamos el método de Cochrane-Orcutt en (12) y (12'). Parks (1967) demostró que el método de Cochrane-Orcutt es compatible con la técnica de Zellner, los estimadores que obtenemos con este método son buenas aproximaciones a los Mínimos Cuadrados Generalizados, si bien cabe esperar una pérdida de eficiencia al no disponer de una muestra grande.
La tabla 1 presenta las estimaciones correspondientes a las ecuaciones de productividad de capital y de trabajo, (12) y (13), correspondientes a la economía española en el periodo 1985-2003.


El interés de nuestro análisis empírico se centra en los coeficientes del logaritmo de las rentas del capital y del logaritmo de las rentas del trabajo (salario), porque representan la elasticidad de sustitución entre el trabajo y el capital. Los coeficientes estimados del modelo SURE en las ecuaciones (12) y (13) son estadísticamente significativos y están de acuerdo con las predicciones teóricas del modelo. En promedio, un incremento en el precio de los factores de un 1%, permaneciendo todo lo demás constante, repercute en un aumento de la productividad del trabajo y del capital de un 0,38%. Por otro lado, como nuestra relación entre el output per cápita y el salario, se obtiene a partir de un proceso de maximización de beneficios sobre una función de producción con rendimientos constantes a escala, la elasticidad de la curva resultante coincide con la elasticidad de sustitución entre el capital y el trabajo.11 Bajo los supuestos anteriormente mencionados, podemos obtener información sobre s a partir de la observación de la variación conjunta del output por unidad de trabajo y el salario; por tanto, el coeficiente estimado 0,38 representa la elasticidad de sustitución entre el trabajo y el capital para la economía española en el periodo 1985-2003, lo que también nos viene a corroborar que la función de producción agregada para la economía española en este periodo que hemos analizado, no estaría representada por una función de producción tipo Cobb-Douglas al estar el valor estimado de la elasticidad de sustitución lejos del valor teórico correspondiente a este tipo de funciones, 1.
Ya sabemos por la hipótesis De la Grandville (1989) que cuanto mayor es la elasticidad de sustitución entre el trabajo y el capital, mayor es la facilidad para sustituir los factores productivos, y por tanto, esto favorece el crecimiento económico. Basándonos en esta hipótesis y con el fin de determinar (y cuantificar en caso afirmativo) si la inversión pública en salud (gasto público en salud) favorece el crecimiento de la economía española, el ejercicio empírico que proponemos consiste en ver los efectos que sobre la elasticidad de sustitución de nuestra economía se generan cuando omitimos del modelo el gasto público en salud.12 Para ello estimamos nuevamente las ecuaciones de productividad del capital y el trabajo (12') y (13') donde en el numerador de las variables dependientes del sistema de ecuaciones hemos descontado el gasto público en salud.13
Las estimaciones de la elasticidad de sustitución para la economía española en el periodo 1985-2003, sin el gasto público en salud se presentan en la tabla 2.

Nuevamente los resultados de las estimaciones de las ecuaciones (12') y (13') están en línea con las predicciones teóricas del modelo y los coeficientes de interés son positivos y estadísticamente significativos. Como podemos comprobar, cuando descontamos de la producción agregada de la economía española el gasto público en salud, un aumento del 1% en el precio de los factores repercute en un aumento en la productividad del capital y del trabajo de la economía del 0,30%, por tanto inferior al aumento que se estima cuando consideramos, dentro del modelo, el gasto público en salud (0,38%).
Como la estimación de este coeficiente representa la elasticidad de sustitución entre el trabajo y el capital, podemos afirmar que el valor de la elasticidad de sustitución para la economía española en el periodo 1985-2003 es menor cuando no tenemos en cuenta el gasto público en salud. Por tanto, podemos afirmar que el gasto público en salud influye de forma notable en la sustituibilidad de los factores, en concreto 0,076 puntos porcentuales del aumento de la productividad de los factores, ante un aumento de un 1% en el precio de los inputs. Teniendo en cuenta lo anterior podemos concluir que el gasto público en salud contribuye a un mayor crecimiento de la economía española.
Otra forma de argumentar el efecto positivo del gasto publico en salud en el crecimiento economico, distinta a la explicación dada a través de la elasticidad de sustitución, es a partir de las explicaciones por medio de los modelos de crecimiento endógeno, que incluyen la salud como variable independiente a la hora de explicar el desarrollo económico de los países. Es un hecho reconocido que un mejor estado de salud proporciona unas mayores capacidades de aprendizaje físico o psicológico, o un incremento en la productividad laboral; por tanto, cuantos más fondos pueda dedicarle un país a la provision de servicios sanitarios, esto redundará en una mayor productividad laboral y por tanto afectará de forma positiva al crecimiento económico. Rivera y Currais (1999) usando una regresion de convergencia condicional también analizan la relación de causalidad entre gasto público en salud y crecimiento económico, obteniendo resultados que demuestran que el gasto público en salud afecta la crecimiento económico de forma positiva y significativa.
Conclusiones
En este trabajo hemos analizado la relación entre gasto público en salud y crecimiento económico para la economía española en el periodo 1985-2003 a través de la elasticidad de sustitución. Partiendo de la hipótesis De la Grandville (1989) donde se conjeturaba que la mayor elasticidad de sustitución de las economías del sudeste asiático en relación con la economía americana estaba en la base del mejor desempeño económico de estos países, hemos construido un modelo para ver en qué medida el gasto público en salud afecta a la elasticidad de sustitución entre factores en la economía española.
Los resultados de las estimaciones llevadas a cabo para el periodo 1985-2003, permiten afirmar que el gasto público en salud aumenta el valor de la elasticidad de sustitución entre el trabajo y el capital, al pasar de un valor de 0,30 cuando descontamos del output de la economía española el valor del gasto público en salud a 0,38. Estos resultados reflejan que el gasto público en salud desempeña un papel relevante en el crecimiento de la economía española, al aumentar en promedio la productividad de los factores en 0,076 puntos porcentuales por cada 1% de aumento en el precio de los inputs.14 Estos resultados que relacionan de una forma positiva salud y crecimiento económico, no están exentos de debate.
Entre los trabajos recientes que están a favor del impacto positivo de la salud sobre el crecimiento económico, tenemos los de Li y Huand (2008), que analizan el impacto de la salud para el crecimiento económico de China en el periodo 1978-2005, a través de la estimación del modelo aumentado de Mankiw- Romer-Weil. Sus resultados concluyen que la salud tiene un efecto positivo y significativo sobre el crecimiento económico en China. Otros trabajos empíricos que demuestran este efecto positivo de la salud sobre el crecimiento económico en otros ámbitos geográficos son los de Mayer et al. (2001), McDonald y Roberts (2002).15 Entre los trabajos que alcanzan conclusiones contrarias merece la pena destacar el trabajo de Weber (2002), que en un análisis empírico de sección cruzada para 46 países sugiere que las políticas orientadas al crecimiento deben favorecer más la inversión en educación que la inversión en salud.
Por otro lado, y desde el punto de vista de las políticas públicas, nuestro resultado también es importante, ceteris paribus, cuanto mayor sea el esfuerzo de la Administración Pública en proveer una mayor cobertura social en salud, mayores serán los efectos sobre el crecimiento y el bienestar de la sociedad; no obstante, como estamos en un mundo en el que los recursos son limitados, desde la perspectiva de las políticas públicas, la cantidad de recursos dedicados a las diferentes políticas debe tener en cuenta la efectividad relativa de cada una de ellas.
Por otro lado, nuestro resultado también permite arrojar luz sobre la naturaleza de la función de producción de la economía española. Los resultados de nuestras estimaciones de la elasticidad de sustitución están muy lejos del valor teórico correspondiente a una función de producción Cobb-Douglas, cuya elasticidad de sustitución es 1, con lo cual podemos afirmar que la función de producción para la economía española en el periodo 1985-2003 no estaría representada por una función de producción del tipo Cobb-Douglas.
Bibliografía
1. Antras, Pol (2004). ''Is the U.S. Aggregate Production Function Cobb- Douglas? New Estimates of the Elasticity of Substitution'', Contributions to Macroeconomics, Vol. 4, No.1, pp. 1161-1161. [ Links ]
2. Arrow, Kenneth Joseph, Chenery, Hollis Burnley, Minhas, Bagicha Singh y Solow, Robert Merton (1961). ''Capital-Labor Substitution and Economic Efficiency'', Review of Economics and Statistics, Vol. 3, No. 43, pp. 225-250. [ Links ]
3. Aschauer, David (1989). ''Is Public Expenditure Productive?'', Journal of Monetary Economics, Vol. 23, pp. 177-200. [ Links ]
4. Barro, Robert Joseph (1989). ''A cross-country study of growth, saving, and government'', NBER Working Papers, National Bureau of Economic Research, No. W2855. [ Links ]
5. Barro, Robert Joseph (1990). ''Government spending in a simple model of endogenous growth'', Journal of Political Economy, Vol. 98, No. 5, pp. 102–125. [ Links ]
6. Barro, Robert Joseph y Sala i Martín, Xabier (1991). ''Convergence Across States and Regions'', Brookings Papers on Economic Activity, Vol. 22, No. 1, pp. 107-182. [ Links ]
7. Brown, Murray y de Cani, John (1963). ''Technological Change and the Distribution of Income'', International Economic Review, Vol. 4, pp. 289-309. [ Links ]
8. Berndt, Ernst (1976). ''Reconciling Alternative Estimates of the Elasticity of Substitution'', Review of Economics and Statistics, Vol. 58, No. 1, pp. 59-68. [ Links ]
9. Chirinko, Robert (2002). ''Corporate Taxation, Capital Formation, and the Substitution Elasticity between Labor and Capital'', National Tax Journal, Vol. 55, No. 2, pp. 339-355. [ Links ]
10. David, Paul A. y Van de Klundert, Theo (1965). ''Biased Efficiency Growth and Capital-Labor Substitution in the U.S., 1899-1960'', American Economic Review, No. 55, pp. 357-393. [ Links ]
11. Cronin, Francis D., Colleran, Elisabeth y Gold, Mark (1997). ''Telecomunications, Factor Substitution and Economic Growth'', Contemporary Economic Policy, Vol. 15, No. 2, pp.21-31. [ Links ]
12. De la Fuente, Angel (1994). Crecimiento y convergencia, en Joan Esteban y Xavier Vives, ed., Crecimiento y convergencia regional en Europa y España, volumen 2, Barcelona, Instituto de Análisis económico. Fundación de Economía analítica, pp. 199-245. [ Links ]
13. De la Grandville, Olivier (1989). ''In Quest of the Slutsky Diamond'', American Economic Review, Vol. 79, No. 3, pp. 468-481. [ Links ]
14. Eisner, Robert y Nadiri, M. Ishaq (1968). ''Investment Behaviour and the Neoclassical Theory'', Review of Economics and Statistics, Vol. 50, No. 3, pp. 369-382. [ Links ]
15. Felipe, Jesús y McComb ie, John S. L. (2001). ''The CES production function, the accounting indentity and Occan's razor'', Applied Economics, Vol.33, No. 10, pp. 1221-1232. [ Links ]
16. Ferguson, C.E. (1965). ''Substitution, Technical Progress and Returns to Scale'', American Economic Association Papers and Proceedings, Vol. 55, pp. 296-305. [ Links ]
17. Gallego, José (2003). ''El cambio tecnológico y la economía neoclásica'', DYNA, No. 138, pp. 67-78. [ Links ]
18. Garcia Molina, Mario (2005). ''Capital Theory and the Origins of the Elasticity of Substitution (1932-1935)'', Cambridge Journal of Economics, Vol. 29, No. 3, pp. 423-437. [ Links ]
19. Grier, Kevin, y Tullock, Gordon (1989). ''An empirical analysis of crossnational economic growth, 1951–80'', Journal of Monetary Economics, No. 24, pp. 259–276. [ Links ]
20. Hall, Robert E. y Jorgenson, Dale (1967). ''Tax Policy and Investment Behaviour'', American Economic Review, Vol. 57, pp. 391-414. Disponible en: INE: http://www.ine.es [ Links ]
21. Jorgenson, Dale y Ho, Mun (2000). ''The Quality of the U.S. Workforce 1948- 95'', Harvard University, mimeo. [ Links ]
22. Judd, Kenneth (1987). ''The Welfare Cost of Factor Taxation in and Perfect Foresight Model'', Journal of Political Economy, Vol. 95, No. 4, pp. 675-709. [ Links ]
23. Kalt, Joseph (1978). ''Technological change and factor substitution in the United States: 1929-1967'', International Economic Review, Vol. 19, No. 3, pp. 761-775. [ Links ]
24. Klump, Rainer y de la Grandville, Olivier (2000). ''Economic growth and elasticity of substitution: Two theorems and some suggestions'', American Economic Review, Vol. 90, pp. 282-291. [ Links ]
25. Knowles, Stephen y Owen, Dorian (1995). ''Health capital and cross-country variation in income per capita in the Mankiw–Romer–Weil model'', Economics Letters, Vol. 48, pp. 99-106. [ Links ]
26. Knowles, Stephen y Owen, Dorian (1997). ''Education and health in an effective labour empirical growth model'', Economic Record, Vol. 73. No. 3, pp. 14-28. [ Links ]
27. Landau, Daniel (1983). ''Government expenditure and economic growth: a crosscountry study'', Southern Economic Journal, Vol. 49, No. 4, pp. 783–792. [ Links ]
28. Li, Hongyi y Huang, Liang (2008). ''Health, education, and economic growth in China: Empirical findings and implications'', China Economic Review, Disponible en: doi:10.1016/j.chieco.2008.05.001 [ Links ]
29. May, J. Douglas y Denny, Michael (1979). ''Factor-Augmenting Technical Progress and Productivity in U.S. Manufacturing'', International Economic Review, Vol. 20, pp. 759-774. [ Links ]
30. Mayer, David, Mora, Humberto; Cermeño, Rodolfo; Barona, Ana Beatriz y Duryeau, Suzzane (2001). ''Health, growth and income distribution in Latin America and the Caribbean: A study of determinants and regional local behavior''. Investment in health: Social and economic returns Washington, DC: Pan American Health Organization. [ Links ]
31. McDonald, Scott y Roberts, Jennifer (2002). ''Growth and multiple forms of human capital in an augmented Solow model: A panel data investigation'', Economics Letters, Vol. 74, pp. 271-276. [ Links ]
32. Panik, Michael J. (1976). ''Factor Learning and Biased Factor-Efficiency Growth in the United States, 1929-1966'', International Economic Review, Vol. 17, No. 3, pp. 733-739. [ Links ]
33. Parks, Richard (1967). ''Efficient Estimation of a System of Regression Equations when Disturbances are Both Serially and Contemporaneously Correlated'', Journal of the American Statistical Association, No. 62, pp. 500-509. [ Links ]
34. Ram , Rati (1986). ''Government size and economic growth: a new framework and some evidence from cross section and time-series data'', American Economic Review, Vol. 76, No. 1, pp. 191–203. [ Links ]
35. Rivera, Berta y Currais, Luis (1999). ''Economic growth and health: direct impact or reverse causation?'', Applied Economics Letters, No. 6, pp. 761-764. [ Links ]
36. Sato, Ryuzo (1970). ''The Estimation of Biased Technical Progress and the Production Function'', International Economic Review, Vol. 11, No. 2, pp. 179- 208. [ Links ]
37. Simon, Herbert A (1979). ''On parsimonious explanations of production relations'', Scandinavian Journal of Economics, Vol. 81, pp. 459-74. [ Links ]
38. Trostel, Philip A. (1993). ''The Effect of Taxation on Human Capital'', Journal of Political Economy, Vol. 101, No. 2, pp. 327-350. [ Links ]
39. Yuhn, Ky-hyang (1991). ''Economic Growth, Technical Change Biases, and the Elasticity of Substitution: A Test of the de La Grandville Hypothesis'', Review of Economics and Statistics, Vol. 73, No. 2, pp. 340-346. [ Links ]
40. Webb er, Don J. (2002). ''Policies to stimulate growth: Should we invest in health or education'', Applied Economics, Vol. 34, pp. 1633-1643. [ Links ]
41. Wilkinson, Maurice (1968). ''Factor Supply and the Direction of Technical Change'', American Economic Review, Vol. 58, pp. 120-128. [ Links ]
42. Zellner, Arnold (1962). ''An efficient Method of Estimating Seemingly Unrelated Regressions and Tests for Aggregation Bias'', Journal of the American Statistical Associattion, Vol. 57, pp. 348-368. [ Links ]
Primera versión recibida en marzo de 2009; versión final aceptada en mayo de 2009
NOTAS
1. Klump y De la Grandville (2000) derivan analíticamente el argumento geométrico de De la Grandville (1989) proponiendo dos teoremas: i) Cuando dos países parten de las mismas condiciones iniciales, el país con mayor elasticidad de sustitución, ceteris paribus, tendrá siempre un mayor nivel de renta per cápita y ii) Los valores de equilibrio de la proporción capital/trabajo y renta per cápita son funciones crecientes de la elasticidad de sustitución
2. El crecimiento medio de las exportaciones entre 1962-1981 fue del 37,8%
3. Recientemente Antras (2004) realizó nuevas estimaciones de la elasticidad de sustitución entre el capital y el trabajo para la economía americana en el periodo 1948-1998 situado sus valores entre 0,55 y 0,94. Antras (2004) advierte que las estimaciones que dan resultados próximos a la unidad son consecuencia de ignorar la posibilidad de cambio tecnológico
4. Estimaciones de la elasticidad de sustitución para la economía americana consistentes con el supuesto de una función de producción Cobb-Douglas son las de Berndt (1976). Véase también Judd (1987) y Trostel (1993).
5. El valor teórico de la elasticidad de sustitución se considera 1 en funciones de producción de tipo Cobb- Douglas.
6. Para un análisis crítico del uso de funciones CES y de la estimación empírica llevada a cabo por Arrow et al. (1961) véase Felipe y McCombie (2001) y Simon (1979).
7. Véase apéndice matemático para las derivaciones de las expresiones 8 y 9.
8. Véase apéndice matemático para las derivaciones de las expresiones 10 y11.
9. El método de Zellner es una variante de la técnica de mínimos cuadrados generalizados de Aitken. Básicamente consiste en estimar el modelo por mínimos cuadrados ordinarios, obtener el vector de residuos que se utilizan para estimar los elementos de una matriz de covarianzas generalizada, (V-1 y W-1 en el texto) empleada en la técnica de Aitken.
10. Donde x es el producto de Kronecker y Σ-1 y Σ-2 representan las matrices de varianzas y covarianzas para las ecuaciones (12) y (13) y para las ecuaciones (12') y (13') respectivamente, e I la matriz identidad de orden N (número de observaciones del periodo muestral).
11. Vease Arrow et al. (1961).
12. Como no tenemos el valor del capital público en salud (variable stock) lo aproximamos por el gasto público en salud (variable flujo).
13. El gasto sanitario público en España consiste en la cobertura pública de la sanidad, y por tanto, es financiado principalmente mediante impuestos y tasas. En cambio, el gasto sanitario privado consiste básicamente en los pagos de aseguramiento privado de los agentes o primas de seguros complementarios, y en los copagos realizados por los pacientes en los servicios sanitarios y medicinas. En el caso de España, la descomposición del gasto sanitario total es un 72% gasto sanitario público y 38% gasto sanitario privado, lo cual está en línea con las proporciones para la mayoría de los países de la OCDE (media de gasto sanitario público 73%) y su peso en el PIB es del 8,1% (OECD Health data 2006) cuando la media de la OCDE es del 7% del PIB. Dado que existe una gran variabilidad entre los diferentes países tanto en peso del gasto sanitario en el PIB (EEUU 15,3%, Suiza, 11,6%, Alemania, 11%, España 8,1%) como en sistemas de financiación (EEUU como claro referente donde la mayor parte del gasto sanitario es privado) un análisis comparativo con los resultados para otras economías resultaría de gran interés aunque queda fuera del ámbito del presente trabajo.
14. El gasto público en salud es enormemente endógeno; por tanto, su crecimiento es función del propio crecimiento económico o bien puede ser a la inversa, lo cual invita a tener cautela en la interpretación de estos resultados.
15. Para un estudio teórico sobre el impacto positivo de la salud sobre el crecimiento, véase Knowles y Owen (1995, 1997)
Anexo
Para obtener las ecuaciones (8) y (9) del texto diferenciamos el output en relación con el capital, trabajamos con una función de producción que incluye cambio tecnológico neutral en el sentido de Harrod.

Para la obtención de la expresión (9) bajo cambio tecnológico neutral en el sentido de Harrod tenemos que:

Para la obtención de las ecuaciones (10) y (11) del texto tomamos logaritmos en (8) y (9), considerando que en un mercado perfectamente competitivo el producto marginal de los factores se iguala al precio de los mismos y considerando que en la función CES de la que partimos
, tenemos que:














