Services on Demand
Journal
Article
Indicators
-
Cited by SciELO -
Access statistics
Related links
-
Cited by Google -
Similars in
SciELO -
Similars in Google
Share
Lecturas de Economía
Print version ISSN 0120-2596
Lect. Econ. no.73 Medellín July/Dec. 2010
ARTÍCULOS
Una propuesta metodológica para estimar los cambios sobre el valor de la propiedad: estudio de caso para Bogotá aplicando Propensity Score Matching y Precios Hedónicos Espaciales
A Propensity Score Matching and Spatial Hedonic Prices Approach for Estimating Property Value Fluctuations in Bogotá
Une méthodologie pour estimer les changements sur la valeur des immeubles: Une étude pour la ville de Bogotà à partir des Propensity Score Matching et des prix hédoniques spatiaux
Jorge Andrés Perdomo*
* Facultad de Economía, Universidad de los Andes, Colombia. Dirección electrónica: jor-perd@uniandes.edu.co. Dirección postal: carrera 1 No. 18ª-10 Edificio W, piso siete, Bogotá, Colombia. Corresponde al autor: agradece las observaciones de Juan Carlos Mendieta López realizadas a la versión en inglés que actualmente se evalúa en el Journal Applied Economics Letters (AEL), pero aclara que para esta versión y la de AEL las ideas sobre las metodologías, estimaciones, conclusiones, recomendaciones y redacción del documento son propias del autor. Igualmente sucede con la versión publicada en inglés ''Study of the Effect of the TransMilenio Mass Transit Project on the Value of Properties in Bogotá (publicado por Lincoln Institute of Land Policy Working Paper WP07CA1)'', donde figuran adicionalmente como autores Camilo Mendoza, Juan C. Mendieta y Andrés Baquero.
–Introducción. –I. Literatura relacionada. –II. Metodología analítica. –Conclusiones y sugerencias. –Bibliografía.
RESUMEN
El objetivo principal de este estudio consiste en analizar y comparar los resultados obtenidos mediantes Propensity Score Matching y un modelo de precios hedónico espaciales para estimar el cambio en el valor de la propiedad en Bogotá, cuando un predio se encuentra ubicado cerca a una estación de TransMilenio. De esta forma, mediante el uso de ambas metodologías fue evidenciada la valorización de los predios habitacionales en la ciudad, dado que la construcción de la infraestructura de TransMilenio los favoreció en proximidad a un portal o estación del sistema.
Palabras clave: Evaluación de impacto, Propensity Score Matching, modelo de precio hedónico espacial, cambio en el valor de la propiedad, TransMilenio.
Clasificación JEL: L92, R11, C14, C25, C52.
ABSTRACT
The aim of this study is to analyze and compare the results from Propensity Score Matching (PSM) and Spatial Hedonic Prices (SHP) methodologies estimating value fluctuations on residential proprieties in Bogotá (Colombia). Specifically, this study examines value fluctuations on residential properties nearby stations of the Bus Rapid Transit (BRT) system–Transmilenio–. The PSM and SHP approaches suggest additional value increases for residential properties close to BRT stations.
Key words: Impact evaluation, Propensity Score Matching, Spatial Hedonic Prices, property value fluctuations, TransMilenio.
JEL Classification: L92, R11, C14, C25, C52.
RÉSUMÉ
Cet article présent une estimation du changement dans la valeur des immeubles à Bogotà lorsque ceux-ci se trouvent près d'une station de bus de TransMilenio (TM.). Cette étude analyse et ensuite compare les résultats obtenus à partir de la méthode des Propensity Score Matching (PSM) et d'un modèle de prix hédoniques spatiaux (PHE). Au moyen de ces deux méthodologies nous constatons en effet la valorisation des immeubles en raison des travaux d'aménagement de la ville issus de la construction du TM.
Mots clés: Évaluation d'impact, Propensity Score Matching, modèle de prix hédonique spatiaux, changement dans la valeur des immeubles, TransMilenio.
Classification JEL: L92, R11, C14, C25, C52.
Introducción
En Bogotá a principios de esta década (año 2000) se implementó el servicio de transporte masivo TransMilenio. Este proyecto, para su adecuado funcionamiento debe contar con infraestructura apropiada suministrada por el Estado, porque requiere inversiones significativas en construcción de vías, estaciones, portales, puentes vehiculares y peatonales. Así, cuando se mejoran las condiciones de transporte público, los individuos obtienen considerables ahorros en costos y tiempo, disminuyendo su pobreza de transporte.
Adicionalmente, la infraestructura genera impactos directos e indirectos para las poblaciones con menores ingresos. Dado que mejora las deficiencias en la oferta del servicio e integra la dinámica económica de los centros de actividad con las zonas de periferia de una ciudad (Banco Mundial, 2002). Por otra parte, en Bogotá además de implementarse el TransMilenio, fue ejecutado el Proyecto de Servicios Urbanos para Bogotá y Programa de Mejoramiento de Barrios, con los que se concibieron puentes peatonales y vehiculares, malla vial, ciclorutas, andenes y alamedas, entre otros.
Igualmente, estos programas también acondicionaron y mejoraron las redes para proveer servicios públicos como agua, alcantarillado, aseo, energía eléctrica y comunicación (redes telefónicas y de Internet), conduciendo a legalizar barrios informales creados en la ciudad. Asimismo, todas estas inversiones financiadas por el Estado contribuyeron a generar valor y cambios de uso en el suelo sobre las propiedades aledañas o beneficiarias de los proyectos, en la primera década del 2000.
Ante esto, y con el fin de evidenciar cuánto se valoriza un predio residencial en Bogotá por su cercanía a la infraestructura de TransMilenio, el objetivo principal de este trabajo consiste en aplicar la metodología Propensity Score Matching (PSM, nombres y siglas en inglés), especificar y estimar un modelo de precio hedónico espacial (PHE) para conocer el impacto que tiene la infraestructura de TransMilenio sobre el precio por metro cuadrado en las viviendas habitacionales bogotanas, cercanas a una estación o portal del sistema.
Al respecto, Rodríguez y Targa (2004) sostienen que existen pocos estudios sobre la capacidad de este sistema para originar el desarrollo de propiedades y cambios en sus valores. De esta forma, el presente trabajo busca que en Colombia las entidades encargadas de ejecutar impuestos por valorización, puedan implementar este tipo de metodologías cuantitativas para poder medir ecuánimemente parte del beneficio privado (a través de los precios del predio) generado por el Estado cuando realiza inversiones en infraestructura.
De igual forma, se busca que las instituciones del Gobierno facultadas cuenten con mecanismos técnicos para evidenciar el valor de la plusvalía y que parte ella sea retribuida al Estado, como gestor de la misma. Esta evidencia, también pretende ayudar al diseño de instrumentos, políticas y establecer regulación sobre planificación y construcción de proyectos de infraestructura en Colombia. Igualmente, para que los establecimientos públicos implicados cuenten con más herramientas en la toma de decisiones.
Finalizando esta introducción y con el fin de alcanzar el objetivo principal del estudio, el documento se encuentra divido en cuatro partes, de la siguiente manera: la sección I, comprende el estado del arte mediante una revisión literaria nacional e internacional en el tema. La sección II, presenta la metodología empleada con los aspectos más destacados sobre Precios Hedónicos, funciones Box Cox, Econometría Espacial y Propensity Score Matching. La sección III, contiene resultados empíricos y por último en la IV están expuestas las conclusiones y sugerencias derivadas del trabajo.
I. Literatura relacionada
Alrededor de este tema existen varios estudios internacionales y nacionales, que aplican separadamente Propensity Score Matching y precios hedónicos. Por esto, a continuación se hace énfasis en los más relevantes, publicados en revistas indexadas y borradores de trabajos. Entre algunos de ellos, se destacan los siguientes:
Para Bogotá, Rodríguez y Mojica (2008) describieron el fenómeno del cambio en el valor del suelo como consecuencia de las obras de TransMilenio en la ciudad. Ellos lo evidenciaron, observando el incremento porcentual en los precios de la tierra antes y después de TransMilenio. Por otra parte, Mendieta y Perdomo (2007) estimaron un modelo de precios hedónico espacial, para evaluar el impacto de la infraestructura de TransMilenio (fases I y parte de la II) sobre el valor de la propiedad en Bogotá; incluyendo la variable distancia mínima (o más cercana) entre la propiedad y una estación o portal del sistema de transporte masivo.
Sus resultados, en cuanto a la elasticidad de proximidad al TransMilenio precio del predio, mostraron valores promedio de -0,36%, -0,55% y -1,13% hasta 200, 500 y 1000 metros respectivamente. De este modo, el cambio sobre el valor del suelo fue aproximadamente de 627 mil millones de pesos colombianos de 2005; considerando el universo de predios impactados por el proyecto en sus diferentes fases.
No obstante, Perdomo et al. (2007) mediante Propensity Score Matching investigaron el impacto del proyecto TransMilenio sobre el valor de las propiedades residenciales y comerciales en Bogotá (Colombia). Donde encontraron que las viviendas habitacionales, ubicadas dentro del área de influencia para TransMilenio, reciben un ''premio'' reflejado en su valor, por incrementarse entre 5,8% y 17%.
Adicionalmente, Mendoza (2005) afirmó que TransMilenio ha sido tomado como modelo para implementar programas similares en otras ciudades del país, los cuales generarán varios beneficios, y su infraestructura mejorará las ganancias para la finca raíz; manifestándose en los mayores precios de la tierra (aunque no cuantifica), consecuencia de una mejor accesibilidad.
Rodríguez y Targa (2004), estimaron funciones de precio hedónicos espaciales buscando determinar hasta donde el acceso a las estaciones de TransMilenio en Bogotá capitaliza el valor de las tierra. Sus resultados, sugieren que por cada cinco minutos extras de caminata hacia una estación disminuye el valor de las propiedades entre 6,8% y 9,3%, después de controlar por características estructurales, atributos del vecindario y proximidad al corredor de TransMilenio.
También, Perdomo et al. (2010) estimaron los ahorros de tiempo generados por TransMilenio, empleando los datos compilados en la encuesta de movilidad de Bogotá (2005) y Propensity Score Matching. Entre los principales resultados, destacan que el sistema TransMilenio ha reducido el promedio del tiempo total de viaje entre 11,92 y 13,89 minutos, para un usuario del sistema. Estos valores, equivalen a una disminución del 19% aproximadamente.
En el ámbito internacional Vinha (2005), en su tesis doctoral, realiza aplicaciones con Propensity Score Matching de múltiples tratamientos en economía urbana, para determinar el impacto del sistema metro (en Washington D.C., Estados Unidos) sobre los patrones de desarrollo. McMillen y McDonald (2002) determinaron la diferencia en valor por categorías de uso en la tierra (residencial, comercial y mixta) en Newly (Estados Unidos), empleando Propensity Score Matching e incluyendo análisis de econometría espacial en los modelos Probit requeridos y predeterminados para aplicar esta metodología.
McMillen y McDonald, son pioneros combinando el análisis de econometría espacial con Propensity Score Matching y tratamiento de endogeneidad, con el fin de encontrar estimadores eficientes e insesgados en sus resultados. También son los primeros en emplear esta técnica de evaluación de impacto en estudios de economía urbana. Por esta razón, su trabajo resulta importante en este documento.
Batt (2001), para Nueva York, con estadísticas descriptivas, apreció como disminuía el porcentaje de valorización, entre más se alejaba el predio de la vía norte en Albany County, 1.274%, 894% y 647%, respectivamente. Concluye que se necesita comprender cómo la captura de valor puede ser utilizada para encontrar nuevas maneras de financiar los sistemas de transporte público en esta ciudad.
Concluyendo esta sección, la mayor parte de los estudios expuestos emplearon metodologías con estadísticas descriptivas, técnicas econométricas convencionales y espaciales, para determinar los resultados. En aras de evidenciar y precisar mejor la variación del precio de los predios en Bogotá, por la cercanía a la infraestructura de TransMilenio suministrada por el Estado, existen muy pocos trabajos sobre economía urbana aplicando Propensity Score Matching y hasta el momento no se encuentran publicaciones que comparen simultáneamente las técnicas Propensity Score Matching (combinado con econometría espacial) y modelos hedónicos espaciales.
II. Metodología analítica
Entre los mecanismos existentes más utilizados para capturar valor, generado por una externalidad, se encuentra el enfoque de precios hedónicos. En esta misma, es muy común realizar estimaciones mediante funciones Box Cox. Así, el presente ejercicio acoge esta metodología, agregando econometría espacial y su resultado es comparado con el obtenido mediante Propensity Score Matching (complementado con econometría espacial).
Sin embargo, en Colombia se han realizado estudios en el tema como se presentó en la sección anterior. Pero a diferencia de Mendieta y Perdomo (2007), el presente documento trabajó con una muestra distinta. Así, con esta nueva información se obtuvieron datos sobre más variables de control asociadas a las características propias de la vivienda como: número de baños, habitaciones, cocina, salas, etc., primordiales en la estimación. Las cuales, no fueron involucradas en la investigación de Mendieta y Perdomo, dada la carencia de los mismos en la fuente oficial consultada.
Por otra parte, éste nuevo muestreo del documento abarcó la construcción de la última parte en la fase II (tampoco implicada en Mendieta y Perdomo) y zonas donde aún no existe el sistema de TransMilenio. Contando con una franja directamente impactada y otra sin impacto, la cual permitió implementar la metodología Propensity Score Matching como otro mecanismo para cuantificar el cambio de valor en los inmuebles influenciado por el fácil acceso a TransMilenio.
A partir de lo anterior, el presente documento se diferencia de otros porque incluye el componente de econometría espacial en estas metodologías; dado que algunos autores no la emplearon en sus trabajos. Desconocerlo, puede alterar significativamente los resultados1 de parámetros y representatividad estadística de las variables independientes empleadas. Además, encontrar sesgo de especificación por endogeneidad, omisión o redundancia de variables exógenas (Rosales, Perdomo et al., 2010).
A. Precios hedónicos
Esta técnica la desarrolló Rosen (1974), y consiste en analizar mercados donde existen bienes heterogéneos, como la vivienda. Así, el precio (P(z)) de un predio está determinado por el valor de cada una de las particularidades del inmueble, atributos y externalidades. En otras palabras, es una función (f) de sus características propias y atributos externos que lo circundan (z1,..., zn ). Igualmente, este método es usado para estimar los costos de bienes y servicios no transados en un mercado (externalidades). Así, Rosen describe formalmente el equilibrio hedónico en función de los atributos externos, tal como lo expresa la ecuación 1:

Generándose así la postura o disponibilidad a pagar (DAP) por los consumidores de vivienda e igualándola a la disponibilidad a aceptar (DAA) de los productores. Generalmente, la evidencia de la ecuación 1 o metodología de precios hedónicos, se realiza mediante transformación Box-Cox, expuesta a continuación.
B. Transformaciones Box-Cox
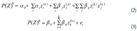
La forma funcional Box Cox Cuadrática2 sin restricciones, es la más empleada para estimar la función de precio hedónico (véase ecuación 2). Por otra parte, la ecuación 3 representa la función Box Cox a estimar en la presente investigación. Con la cual, se pretende establecer la forma funcional más ajustada a la información disponible para capturar el cambio del valor monetario de los predios cercanos a una estación o portal de TransMilenio.

, donde θ y λ son los parámetros3 de transformación y ei el término de perturbación (aleatorio). Las variables independientes zi, zj hasta zk, representan cada uno de los atributos más relevantes de los predios (número de garajes, valor de la administración, distancia a centros comerciales y droguerías), incluyendo la distancia a estación o portal más cercano de TransMilenio y externalidades (distancia a parques, estaciones de policía, caños de aguas negras, entre otros).
Los coeficientes β0, β1, β2,..., βk son las constantes del modelo; de acuerdo a su signo, representan la relación directa o inversa del atributo con el valor de la propiedad. No obstante, según Haab y McConnell (2002) dada la particularidad de complementariedad débil en los modelos de precios hedónicos uno de los aspectos difíciles de tratar, dentro de las transformaciones Box Cox, es el problema de autocorrelación espacial; dado que es una característica propia del modelo. Con base en esto, deben incorporarse los principales aspectos de econometría espacial en las funciones Box Cox.
C. Econometría espacial
Cuando se trabaja información geográfica o georreferenciada, es necesario emplear econometría espacial (Anselin, 1980), con el fin de involucrar su influencia en los modelos y comportamientos de las variables implicadas. Además, desconocer este componente conllevaría a problemas de dependencia4, heterogeneidad5, endogeneidad y asimetría de relación espacial, con este tipo de datos. Implicando estimadores sesgados, inconsistentes, ineficientes y resultados erróneos sobre efectos marginales, elasticidades, disponibilidades a pagar y políticas provenientes de los resultados.
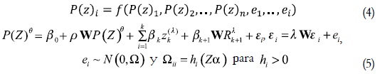
La dependencia espacial (véase ecuación 4) en la función hedónica es uno de los aspectos más comunes. Aunque el problema no es tan fácil de solucionar tanto en datos de corte transversal, como en series de tiempo. En este caso el precio por metro cuadrado de una vivienda P(Z)i, además de estar determinado por características, atributos y externalidades, también se explica por su ubicación, valores de los inmuebles vecinos (P(Z)1,...,P(Z)n) y otros no observables espacialmente (e1,...,ei ), como lo expresa respectivamente la ecuación 4. En el espacio, la influencia del vecindario sobre la variable dependiente implica este aspecto en la función Box Cox (véase ecuación 5) y modelo Logit predeterminado para Propensity Score Matching.

Por consiguiente en la ecuación 5, W es la matriz de pesos, retardos o contactos espaciales, incluida para solucionar el problema de dirección múltiple en la variable dependiente, independientes (Rk+1λ)6 y término del error. ρ, en la misma expresión, es el parámetro autorregresivo espacial que recoge la intensidad de la independencia entre las observaciones muéstrales en la variable endógena. λ representa el coeficiente autorregresivo espacial que refleja la intensidad de la interdependencia en el término del error (εi). εi incorpora la dependencia con estructura espacial autorregresiva y e se distribuye normalmente con una matriz heteroscedástica (hi), en la ecuación 5.
D. Propensity Score Matching
Independientemente de los modelos de precios hedónicos espaciales, se quiere emplear la técnica Propensity Score Matching para evaluar el impacto del fácil acceso a TransMilenio sobre el valor del predio aledaño a una estación o portal más cercano al sistema. Para esto, el desarrollo de esta técnica en el presente estudio sigue el esquema de Heckman et al. (1997). Así, bajo esta presentación los dos posibles estados de análisis son los predios que cuentan con fácil acceso a TransMilenio, Yi1, y los que no Yi0 en la zona i7. Los efectos relacionados al fenómeno será su valorización, reflejado en un mayor precio por metro cuadrado de mercado (P(Z)ij).
De acuerdo con lo anterior, se puede definir la variable binaria Y. Que toma el valor de cero (Y=0) si el inmueble no cuenta con fácil8 acceso al sistema y uno (Y=1) cuando sí lo tiene. La mayor valorización del predio puede denotarse de la siguiente manera Δ = Yi1 - Yi0, donde delta (Δ) se refiere al cambio y no es conocido9. La valorización para cada estado, en la zona i, se puede expresar mediante una función de características observables Xi de la propiedad (atributos de su entorno georrefenciado como distancia a bancos, bomberos, estaciones de policía, museos, parqueaderos, hoteles, terminal de transporte e iglesias) y no observables (ei1, ei0) representadas en las ecuaciones 6 y 7.

Para caracterizar cada estado del Logit espacial en la ecuación 8 se cuenta con el grupo de control, comparación o contrafactual y de tratamiento o tratado; el primero se refiere a las propiedades sin fácil acceso a TransMilenio, y la segunda a las cercanas a una estación o portal del sistema. El soporte común de los tratados es denotado por la ubicación geográfica de las zonas adjuntas a una vía principal (Avenida Boyacá y Suba) y de alto flujo vehicular, que posibilita la construcción de TransMilenio.
En este sentido, para el soporte común del presente estudio determinado geográficamente, la localidad de Suba cuenta con el servicio, y la Avenida Boyacá con Primera de Mayo actualmente no. En esta última, el proyecto también pudo ser ejecutado dada sus características geográficas y socioeconómicas similares a la zona de Suba donde se llevó a cabo TransMilenio. La estimación del impacto de la accesibilidad al sistema sobre el valor de la tierra es obtenida mediante el coeficiente promedio de tratamiento sobre los tratados (PTT).
Este parámetro representa el incremento promedio logrado en la valorización de la tierra o predios con facilidad de acceso a TransMilenio, respecto al precio que hubiera obtenido, si no contara con este atributo. Permitiendo obtener el diferencial en el precio del suelo, utilizando la información del grupo de control de acuerdo con las características Xi de las tierras o predios.
III. Análisis empírico
Una vez expuesto el marco metodológico sobre precios hedónicos, transformaciones Box-Cox, econometría espacial y Propensity Score Matching, esta sección presenta los resultados del modelo hedónico espacial. La matriz de pesos espaciales (W) construida para este estudio fue concebida automáticamente mediante Geoda10, con un umbral de 623 metros. Dado que las distancias mínimas euclidianas11 (a un banco, TransMilenio, centro comercial y parque más cercano al predio) se calcularon con las coordenadas X y Y de cada predio muestreado.
De esta forma, en la tabla 1 puede observarse el signo negativo sobre el coeficiente distancia mínima a una estación o portal de TransMilenio. Indicando, que entre más alejado se encuentre un predio al acceso de TransMilenio, su precio por metro cuadrado (p/m2) disminuye. En otras palabras, por un metro más lejos en promedio este valor cae $47, lo mismo ocurre en términos porcentuales, donde la cifra se contrae 0,05%.
En sentido contrario, cuando la propiedad se ubica un metro más cerca de una estación o portal del sistema su p/m2 aumenta en $47 promedio, o relativamente en 0,05%. Por otra parte, la significancia estadística de los parámetros espaciales que acompaña a la matriz W, multiplicada por el precio y el error (véase tabla 1), revelan la importancia de implicar el componente espacial en el modelo Box-Cox con el fin de obtener estimadores insesgados y consistentes.
Las demás variables independientes12 en el modelo hedónico espacial, son consideradas de control para no sobrestimar o subestimar el efecto marginal y la elasticidad en la distancia de la estación o portal de TransMilenio sobre el precio por metro cuadrado del predio. Las mismas hacen referencia a las características propias y de entorno del inmueble (cantidad de cuartos, cocinas, garajes, baños, antigüedad y distancia a centro comercial, banco y parque más cercano).
La tabla 2 contiene la estimación del modelo Logit, con sus respectivas elasticidades, para realizar el análisis Propensity Score Matching. La probabilidad de contar con un fácil acceso a TransMilenio aumenta si la vivienda se ubica más lejos del terminal de transporte, museos, estaciones de policía, hoteles e iglesias. Viceversa, si el predio se encuentra alejado de bancos, estaciones de bomberos y parqueaderos.
Los resultados de PSM (véase tabla 3), mediante el método de los cinco vecinos más cercanos, son estadísticamente significativos. Encontrando a través del método analítico de Propensity Score Matching que las propiedades fuera del área de influencia (más de 500 metros) de TransMilenio, son un 13% más económicas por metro cuadrado, comparadas con aquellas beneficiadas por el sistema. En otras palabras, el p/m2 para predios con fácil acceso al sistema en promedio es de $1.002.065 mientras en viviendas sin un fácil acceso a TransMilenio equivale a $886.662. La mayor valorización del m2 recibida, por contar con el atributo de la infraestructura del sistema, es de aproximadamente $115.403 en 2008.
Conclusiones y sugerencias
En la sección anterior se obtuvieron resultados para estimar los cambios en el valor del metro cuadrado para propiedades beneficiarias de la infraestructura del sistema de transporte masivo TransMilenio en Bogotá, mediante las metodologías de Precios Hedónicos, empleando funciones Box Cox Espaciales y de evaluación de impacto, Propensity Score Matching. Técnicas que permiten estimar la elasticidad precio distancia al sistema y el diferencial de precios entre predios con y sin fácil acceso a TransMilenio.
Los resultados encontrados para el cambio del p/m2 bajo cada metodología, no fueron contradictorios, debido a la relación inversa presentada entre esta variable y la distancia a TransMilenio (signo del coeficiente en el modelo de precios hedónicos espacial), y un p/m2 promedio mayor, después del emparejamiento, para el grupo de tratamiento versus el de control (predios sin facilidad de acceder a TransMilenio, ubicados a más de 500 metros del sistema).
De esta manera y de acuerdo con el efecto marginal de -47,16, obtenido en el modelo hedónico espacial, se puede inferir que un predio ubicado a 2.500 metros del sistema, tiene un valor promedio (por metro cuadrado) inferior en $117.50013 aproximadamente, comparado con otro ubicado a menos de un metro del mismo. Una conclusión similar se obtuvo con Propensity Score Matching el diferencial promedio del p/m2 es superior para predios influenciados por la infraestructura del sistema, oscilando entre $115.403 y $94.574, rango equivalente a un menor valor por metro cuadrado para propiedades fuera de la influencia de TransMilenio.
Este trabajo permite a las entidades del Estado encargadas de ejecutar impuestos por valorización, evidenciar algunos de los beneficios privados derivados de las inversiones públicas en infraestructura. Igualmente contar con un mecanismo adicional para estimar objetivamente la cuantía de su recaudación y así ser retribuidos nuevamente al Gobierno por los dueños de las viviendas beneficiarias.
De esta manera, el Estado puede nuevamente reinvertir estos recursos para generar nuevos proyectos de infraestructura y compensar a los agentes perjudicados. Con esto, las actuales tributaciones de valorización, recaudadas e impuestas desde el punto de vista legal pueden avalarse y compararse desde el ámbito económico. Asimismo, entender y conocer los verdaderos valores que debería pagar cada propietario reconociendo el beneficio que le generó el Estado.
Bibliografía
1. Anselin, Luc (1980). ''Estimation Methods for Spatial Autorregresive Structures'', Regional Science, Dissertation and Monograhs Series, 8, Cornell University, Ithaca NY. [ Links ]
2. Batt, H. W (2001). ''Value Capture as a Policy Tool in Transport Economics. An Exploration in Public Finance in the Tradition of Henry George''. American Journal of Economics and Sociology, Vol. 6, No. 1, pp. 195-228. [ Links ]
3. Haab, Timothy y Kennet, McConnell (2002). Valuing Environmental and Natural Resources: The Econometrics of Non Market Valuation, Northampton, Edward Elgar Publishing. [ Links ]
4. Heckman, James; HidehiKo, Ichimura y Petra, Todd (1997). ''Matching as an Econometric Evaluation Estimator: Evidence for Evaluating a Job Training Programme''. The Review of Economics Studies, Vol. 64, No. 4, pp. 605-654. [ Links ]
5. McMillen, Daniel y McDonald, John (2002). ''Land Values in a Newly Zoned City''. The Review of Economic and Statistic, Vol. 84, No. 1, pp. 62-72. [ Links ]
6. Mendieta, Juan y Perdomo Calvo, Jorge Andrés (2007). ''Especificación y estimación de un modelo de precios hedónico espacial para evaluar el impacto de Transmilenio sobre el valor de la propiedad en Bogotá'', Documentos CEDE, julio 2010, No. 22. [ Links ]
7. Mendoza, Camilo (2005). Value Capture for Funding Colombian BRTS Infrastructure: The Case of TransMilenio in Bogotá, M.Sc diss. Erasmus University. [ Links ]
8. Perdomo Calvo, Jorge Andrés; Mendoza, Camilo; Mendieta, Juan Carlos y Baquero, Andrés (2007). Study of the Effect of the TransMilenio Mass Transit Project on the Value of Properties in Bogotá, Colombia, Cambridge, MA, Lincoln Institute of Land Policy, WP07CA1. [ Links ]
9. Perdomo Calvo, Jorge Andrés; Castañeda, Hasbleidy y Mendieta, Juan (2010). ''Evaluación de impacto del sistema de transporte masivo TransMilenio sobre el tiempo total de desplazamiento de los usuarios del transporte público tradicional'', Documentos CEDE, abril 2010, No. 11. [ Links ]
10. Rodríguez, Daniel y Mojica, Carlos (2008). Land Value Impacts of Bus: The Case of Bogotá's TransMilenio, Cambridge, MA, Lincoln Institute of Land Policy, WP08-04. [ Links ]
11. Rodríguez, Daniel y Targa, Felipe (2004). ''Value of accesibility to Bogota's Bus Rapid Transit System''. Transport Reviews, Vol. 24, No. 5, pp. 587-610. [ Links ]
12. Rosales, Ramón; Perdomo Calvo, Jorge Andrés; Morales, Carlos y Urrego, Alejandro (2010). ''Fundamentos de econometría intermedia: teoría y aplicaciones'', Documentos CEDE, enero 2010, No. 1. [ Links ]
13. Rosen, Sherwin (1974). ''Hedonic Prices and Implicit Markets: Product Differentiation in Pure Competition''. Journal of Political Economy, Vol. 82, No. 1, pp. 34-55. [ Links ]
14. Vinha, Katja (2005). The Impact of the Washington Metro on Development Patterns. PhD diss. University of Maryland. [ Links ]
15. World BanK (2002). ''Cities on the Move: A World Bank Urban Transport Strategy Review''. Ed. Gwilliam, K., The World Bank, Washington D.C. [ Links ]
Primera versión recibida en agosto de 2010; versión final aceptada en octubre de 2010
Notas
1 Cuando son omitidos los efectos espaciales, los estimadores resultan sesgados e inconsistentes (Anselin, 1980).
2 Todas las funciones de precios hedónicos estimadas en la literatura son casos especiales de la función Box Cox cuadrática.
3 Que toman valores entre 1 y -1, -1 ≤ θ ≤ 1 y -1 ≤ λ ≤ 1.
4 Hace referencia a la autocorrelación espacial.
5 Hace referencia a la estructura espacial, heteroscedasticidad.
6 Estas pueden coincidir o no con las variables independientes predeterminadas (Z).
7 Se refiere a las dos zonas muestreadas, una que cuenta con la facilidad de acceder a TransMilenio y la otra no.
8 A más de 500 metros de distancia, a una estación o portal de TransMilenio.
9 Si ambos estados se pudiesen observar para el mismo predio, no se tendría problemas en la evaluación del impacto generado por la política o el proyecto. El problema es que el predio sólo puede tener uno de los dos estados, no ambos, luego no hay manera de estimar delta.
10 Programa computacional para análisis geoespaciales.
11 En este aspecto se recurre a la matriz inversa de distancia sugerida por Anselin (1980).
12 Características propias de la vivienda (número de cuartos, baños, garajes, cocinas, antigüedad del predio y piso donde se encuentra ubicado) y atributos externos de la propiedad (distancia mínima a un banco, parque, centro comercial y estación de TransMilenio).
13 47*2.500=117.500.

















