Services on Demand
Journal
Article
Indicators
-
Cited by SciELO -
Access statistics
Related links
-
Cited by Google -
Similars in
SciELO -
Similars in Google
Share
Lecturas de Economía
Print version ISSN 0120-2596
Lect. Econ. no.74 Medellín Jan./June 2011
ARTÍCULOS
La curva de Engel de los servicios de salud en Colombia: Una aproximación semiparamétrica
The Engel Curve for Health Services in Colombia: A Semiparametric Approach
La courbe d'Engel appliquée au service de santé en Colombie : une approche semi-paramétrique
Jorge Barrientos*; Juan Gallego**; Juan Saldarriaga***
* Es investigador del Centro de Investigaciones y Consultorías CI&C. Universidad de Antioquia. Dirección electrónica: jbarr@economicas.udea.edu.co. Dirección postal: Departamento de Economía, oficina 13-108, Universidad de Antioquia, calle 67 No. 53-108, Medellín 050010, Colombia.
** Es profesor de la Facultad de Economía de la Universidad del Rosario. Dirección electrónica: juan.gallego@ urosario.edu.co. Dirección postal: Universidad del Rosario, La Buhardilla calle 14 No. 4-80, Bogotá, Colombia.
*** Es docente de la Facultad de Ciencias Económicas y Administrativas de la Universidad Católica Popular del Risaralda. Dirección Electrónica: jpsaldarriaga@ucpr.edu.co. Dirección postal: Universidad Católica Popular de Risaralda (UCPR), carrera 21 No. 49-95 Av. de las Américas, Pereira, Colombia.
Los autores agradecen el apoyo financiero del Comité para el Desarrollo de la de Investigaciones-CODI de la Universidad de Antioquia, para el desarrollo del Proyecto La demanda por Servicios de Salud en Colombia: Una Aproximación Semiparamétrica. Los errores, opiniones e interpretaciones son responsabilidad exclusiva de los autores. Este artículo ha sido presentado en el Simposio Nacional de Microeconomía, Universidad Externado y Nacional de Colombia, Septiembre de 2008 y en el Congreso de Economía Colombiana, 50 años del CEDE, Universidad de los Andes, octubre de 2008. Bogotá.
–Introducción. –I. Antecedentes de la literatura en Colombia. –II. Descripción de la información. –III. Las curvas de Engel y la estrategia empírica.–IV. Resultados empíricos. –Conclusiones. –Bibliografía.
Primera versión recibida en octubre de 2010; versión final aceptada en abril de 2011
RESUMEN
En este artículo se estiman las curvas de Engel para diferentes rubros de gasto en salud. Para tal fin, se emplean modelos semiparamétricos que utilizan la información de la Encuesta de Calidad de Vida de 1997. Adicionalmente, se corrigieron los problemas de endogeneidad detectados usando regresores construidos en dos etapas. Se realizaron contrastes bootstrap para detectar efectos lineales y cuadráticos. Los resultados indican que la linealidad es rechazada en la mayoría de las estimaciones, pero el efecto cuadrático no pudo ser rechazado en el caso del transporte y en el de la hospitalización para los más pobres. Asimismo, el transporte público para atender servicios de salud se comporta como un bien inferior, en tanto que el gasto de afiliación a la seguridad social podría ser un bien de lujo.
Palabras clave: Curva de Engel, gasto en salud, modelos semiparamétricos, endogeneidad, bootstrap, instrumentos.
Clasificación JEL: C14, D12, D1.
ABSTRACT
In this article, the Engel curves for different types of health expenses are estimated. To this end, semiparametric models using information from the Survey of Life Quality in 1997 are employed. In addition, endogeneity problems were corrected using two-stage built regressors. Bootstrap contrasts were conducted to identify linear and quadratic effects. The results indicate that linearity is rejected in the majority of the estimations, but the quadratic effect cannot be rejected in the cases of transportation and hospitalization for the poorest. Similarly, public transport to attend health services behaves as an inferior good, while social security enrollment expenses might be a luxury good.
Keywords: Engel curve, health expenditure, semiparametric models, endogeneity, bootstrap, instruments.
JEL Classification: C14, D12, D1.
RÉSUMÉ
Cet article présente une estimation de la courbe d'Engel pour les différentes dépenses associées à la santé en Colombie. Pour ce faire, nous utilisons des modèles semi-paramétriques à partir de l'information issue de l'Enquête Nationale de Qualité de Vie de l'année 1997. Nous avons corrigé les problèmes d'endogénéité en faisant appel aux régreseurs construits en deux étapes. Ensuite, nous avons effectué des contrastes du type bootstrap pour détecter des effets linéaires et quadratiques. Les résultats montrent que le caractère linéaire est rejeté dans la plus part des estimations, mais l'effet quadratique n'a pas pu être rejeté ni le cas de variable transport ni dans le cas de la variable hospitalisation pour le plus pauvres. Nous concluons également que le transport public utilisé par les services de santé peut être considéré comme un bien inférieur, tandis que les frais d'inscription à la sécurité sociale peuvent être considérés comme un bien de luxe.
Mots clé : Courbe d'Engel, dépenses de santé, modèles semi-paramétriques, endogénéité, bootstrap.
Classification JEL : C14, D12, D1.
INTRODUCCIÓN
El análisis empírico de las curvas de Engel ha sido tema de particular interés desde los estudios seminales de Working (1943), Leser (1963), Deaton y Muelbauer (1980a, 1980b), Banks et al. (1997) y Blundell et al. (1998), en los cuales se desarrollaron estructuras paramétricas, hasta los más recientes estudios de Bhalotra y Attfield (1998), Lyssouto et al. (2001), Blundell et al. (2003), Barrientos (2006, 2009), los cuales desarrollan análisis estadísticos basados en modelos noparamétricos y semiparamétricos. La mayoría de estos trabajos usan grandes encuestas de ingresos y gastos familiares. En esta investigación se usa la Encuesta de Calidad de Vida de 1997 (ECV1997) para estudiar las estructuras de gasto en los diferentes rubros en salud1.
Desde el punto de vista microeconómico, la curva de Engel es una herramienta analítica que relaciona, en principio, el ingreso de una persona o familia con el nivel de demanda de determinados bienes. Sin embargo, empíricamente resulta de mayor interés la relación entre el gasto total y el gasto en determinados rubros, como alimentos, ropa, alquiler, etc. El análisis empírico es extendido hasta el gasto total en salud, en primera instancia, y en la medida de lo posible, a diversos rubros específicos de la salud, como por ejemplo el pago por concepto de medicinas, vacunas, aseguramiento, afiliación al sistema de seguridad social, hospitalización, odontología, consulta médica, entre otros.
Particularmente, en este trabajo, se estima la relación empírica que existe entre el gasto total de los hogares en Colombia y la participación del egreso en salud, como porcentaje del gasto total, así como el pago por medicinas, hospitalización y transporte no privado para atender servicios de salud. Entender que proporción del gasto total destinan los hogares al egreso en salud, no solo sirve para explicar dichos patrones de gasto, sino que también puede ayudar a separar los efectos ingresos de los efectos precios (a través de una ecuación de Slutsky), y por tanto, poder aislar los efectos ingresos del cálculo de la perdida de bienestar generado por los efectos de riesgo moral ex post (Nyman, 1999a).
La metodología empírica estima la media condicional del gasto en los diferentes rubros, controlando por las características del hogar y del jefe del mismo, como por ejemplo sexo, edad, escolaridad del jefe, estrato socioeconómico, número de personas por habitación y eventualmente se consideró un índice sintético que mide el riesgo de enfermedad por hogar (REH). La función de regresión especificada se conoce en la literatura empírica como la curva de Engel.
El análisis de las curvas de Engel tiene otras interesantes aplicaciones, que requiere una teoría de la integrabilidad más completa (es decir, como desde las demandas individuales es posible recuperar las funciones de utilidad), información estadística más depurada y técnicas de estimación un poco más sofisticadas que las propuestas aquí. Las curvas de Engel permiten, por ejemplo, llevar a cabo análisis de bienestar social, pero también son importantes para realizar estudios de pobreza y distribución de ingresos. Incluso, una curva de Engel permite eventualmente saber si un bien es de lujo, inferior o normal, entre otras categorías de bienes.
Este trabajo pretende, en la medida de lo posible, categorizar si los bienes analizados se comportan como bienes de lujo, inferiores o normales. No obstante, cualquier conjetura sólo puede hacerse en tramos de las curvas estimadas y no en el total de la curva. En principio, el problema surge por la propia naturaleza de los datos, que al ser información de corte transversal, presenta una gran varianza en cuanto a las características socios-demográficas de los individuos.
Un problema técnico a superar es la endogeneidad de las variables explicativas de la demanda, el cual es muy frecuente en este tipo de estimaciones, en particular, porque el gasto total y el gasto en algún tipo de bien están conjuntamente determinados, lo que produce endogeneidad por simultaneidad. Vale la pena aclarar que la endogeneidad puede también tener origen en la medición errónea de las variables de interés. En cualquier caso, la solución está en las variables instrumentales.
Existen diversos métodos para aplicar variables instrumentales; desde el punto de vista paramétrico se suele utilizar la técnica de mínimos cuadrados en dos etapas, basados en el método generalizado de momentos. Newey y Powell (2003) desarrollaron un método no paramétrico en dos etapas, sin embargo es complicado porque requiere la elección de una base (vectorial) expandible en una primera etapa. Existe otra aproximación, menos complicada e incluso más rápida y eficiente, debida a Sperlich (2005) y conocida como regresores generados o construidos en dos etapas. Barrientos (2009) aplica este método en un análisis de consumo de alimentos, ropa y transporte para Bogotá, con resultados bastante satisfactorios.
La contribución de esta investigación puede resumirse como sigue: primero, se investigó el comportamiento y el patrón de consumo de los agentes, estimando un sistema de curvas de Engel en el cual se incluyeron, para las regresiones, algunas características del jefe de hogar. Segundo, se ajustaron las estimaciones por endogeneidad usando el método de Sperlich (2005), tomando el ingreso corriente de la familia, el riesgo de enfermedad por hogar y otras variables explicativas exógenas como instrumentos. Note que mientras las decisiones de los agentes sobre el gasto son internas al hogar, el ingreso familiar y el riesgo de enfermedad por hogar son factores determinados externamente, lo cual los convierten en buenos instrumentos para el gasto total. Tercero, este trabajo sería el primer análisis no paramétrico de curvas de Engel en el consumo de servicios de salud en la literatura nacional e incluso internacional, según las revisiones hechas hasta el momento.
La información obtenida de la Encuesta de Calidad de Vida de 1997, es la más completa y desagregada sobre el tema en Colombia. Si bien, la encuesta realizada en 2003 es más reciente, ésta no tiene información sobre los mismos rubros en salud contenidos en la primera, la cual contiene doce rubros de gasto en salud, mientras que la de 2003 incluye sólo cuatro. Finalmente, se realizan contrastes de hipótesis de linealidad y efectos cuadráticos aplicando contrastes adaptativos. Las bandas de confianza para las regresiones no paramétricas son calculadas usando procedimientos basados en bootstrap sampling (remuestreos bootstrap).
El trabajo está dividido como sigue: en la sección I se presentan algunos antecedentes en la literatura para Colombia. La sección II describe la muestra por analizar. La sección III define empíricamente la curva de Engel y la estrategia empírica para estimación y contraste de hipótesis. La sección IV muestra los resultados empíricos y finalmente se presentan las conclusiones.
I. Antecedentes a la literatura en Colombia
El gasto en servicios de salud es incierto y como consecuencia tiene altas implicaciones sobre el bienestar de los hogares y las personas. Dicha incertidumbre ha sido un elemento importante, aunque no el único, para justificar la intervención del Estado en la financiación del sector salud. Sin embargo, a pesar de tener un alto componente de financiación pública, un porcentaje importante de dicho gasto es ejercido de manera privada por los hogares e individuos. Esto es sobresaliente en economías donde el sector salud tiene ambos componentes de mercado y Estado en sus esquemas de financiación. Particularmente en Colombia, como en muchos países del mundo, el financiamiento de la salud es un problema de máxima importancia política y social, con enormes repercusiones sobre el bienestar de la población, el presupuesto del gobierno y los recursos de los hogares y las empresas.
Para el caso colombiano, la financiación del sector proviene de fondos del sector público2 y privado, algunos de estos, como las contribuciones al Sistema General de Seguridad Social (SGSSS) son obligatorios, y otros voluntarios como la adquisición de planes de seguro complementarios.
La financiación privada, a su vez, puede provenir de las empresas, el principal rubro son los aportes al Sistema General de Seguridad Social, pero hay compañías con programas adicionales o regímenes especiales, las ONG y los hogares. En lo que concierne a los hogares, el asunto de la financiación no es trivial, pues de acuerdo con Ramírez et al. (2002) los hogares colombianos invierten el 9,62% de sus ingresos corrientes en salud, incluyendo sus cotizaciones al Sistema General de Seguridad Social. Este porcentaje es muy elevado y hace que sea un problema sustancial para la política pública el entender el patrón de este gasto y las variables que están asociadas con él.
El análisis descriptivo realizado en Ramírez et al. (2002) muestra como el valor del gasto y su distribución por rubros varían según la región del país, el estrato socioeconómico de la familia y el régimen de afiliación al Sistema General de Seguridad Social. El componente de gastos en salud es un rubro muy importante dentro del consumo de los hogares colombianos, a saber, un hogar en 1997 con ingresos de $500.000 mensuales destinaba, en promedio, cerca de $50.000 para suplir sus necesidades en salud. Esta cifra entra a competir con otras necesidades del hogar como la educación de sus miembros, la alimentación, la vivienda y la recreación, entre otras.
Ramírez et al. (2002) muestran que en la mayoría de los rubros de gasto en salud la población se concentra cerca al gasto nulo, es decir, no gasta o gasta muy poco, y alrededor de cierto nivel de gasto. En consecuencia, las estimaciones de gasto no pueden ser explicadas a través de modelos paramétricos. Esto implica que en materia metodológica es importante desarrollar otros tipos de estudios que vayan más allá de estimaciones paramétricas. Por otro lado, para el caso del gasto en salud debe indagarse más por la distribución de los datos al interior de la Encuesta de Calidad de Vida de 1997; estos desarrollos deben ir encaminados principalmente a la implementación de pruebas de hipótesis y test de especificación a partir de las estimaciones no paramétricas.
El marco teórico de la investigación es la teoría microeconómica neoclásica3, que es el marco de referencia, implícito o explícito, de la mayor parte de las estimaciones de funciones de demanda, consumo o gasto. De acuerdo con esta teoría, el consumidor se enfrenta a dos tipos de restricciones: la primera está dada por las características personales, edad, sexo, educación, conocimiento de alternativas, actividad económica, clima en el que vive, entre otras, las cuales determinan lo que se ha denominado en la literatura como conjunto de posibilidades de consumo; el otro tipo de restricciones es el dado por los recursos con los que cuenta el hogar (ingreso, riqueza) y por los precios que en el mercado tienen los bienes que va a consumir, ingreso y precios determinan el conjunto de presupuesto. De acuerdo con la teoría microeconómica, el consumidor elige la alternativa (lista exhaustiva de todas las cantidades de bienes y servicios) que prefiere dentro de las que satisfacen sus dos tipos de restricciones.
La solución de este problema de optimización, bajo restricciones, viene dada por la llamada función de demanda, en la cual la cantidad demandada del bien es función del ingreso, de los precios y de las características de los consumidores. Si se multiplica esta función por el precio del bien en cuestión, se obtiene la llamada función de gasto. En este proyecto se propone estimar, independientemente, ecuaciones relacionadas con el gasto en salud.
Una característica importante para el caso colombiano es la implementación en 1993 de una importante reforma del sector salud, la cual determinó y afectó los patrones de gasto en salud. En este sentido, al estimar la variación de gasto en los distintos rubros en salud es necesario controlar por variables institucionales del Sistema General de Seguridad Social, como por ejemplo el tipo de afiliación del jefe de hogar, lo cual es importante para entender el nivel de gasto y su distribución. Adicionalmente, muchos de los gasto en salud, como el gasto en medicamentos, transporte y servicios de especialistas, son egresos derivados de otros gastos en salud como el pago de consultas médica y aseguramiento. Por tanto, hacer análisis no paramétricos ayudaría a entender las estructuras de gasto y por ende poder tener elementos técnicos para analizar a futuro las diferentes propuestas de reforma a la Ley 100 de 1993, que el gobierno y el congreso pretendiera implementar.
II. Descripción de la información y base de datos
En esta sección se describe la muestra para el análisis empírico obtenida de la Encuesta de Calidad de Vida de 1997. La Tabla 1 muestra las estadísticas de las variables relevantes usadas en esta investigación. De acuerdo con la descripción, los hogares están distribuidos en esta muestra del siguiente modo: 19% en la Región Atlántica, 18% en la Pacífica, 17% en Antioquia, 16% en la Oriental, 15% en la Central, 8% en Bogotá D.C., que es tomada como una región, y 4% en la Orinoquia. En las siete regiones, el número de personas y habitaciones por hogar es de 4,2 y 3,2 respectivamente, lo que da 1,6 personas por habitación. Por otro lado, cerca del 40% de los hogares se encuentran en estrato 3, 22% está en estrato 4, 13% en estrato 1, 12% en estrato 2, 2% en estrato 5 y menos del 1% en estrato 6.
Los hogares cuentan con un jefe de hogar, de los cuales el 75% son hombres con una edad promedio que oscila entre los 46 y 47 años, con un promedio de 5,5 años de educación. Alrededor del 25% de los jefes de hogar reportó estar trabajando (en la última semana) como obrero o en el sector público, el 23% es profesional independiente, el 26% afirmó ser desempleado, pensionado o estar estudiando, el 12% dijo trabajar como jornalero en su propia finca o ser empleada del servicio, mientras que sólo el 4% afirmó ser patrono o empleador.
Una variable que es importante en la determinación de la demanda por servicios de salud es el tipo de afiliación que tienen los jefes de hogar al Sistema General de Seguridad Social. La distribución de los hogares por tipo de afiliación indica que el 39% se encontraba en el régimen subsidiado, y sólo el 12% estaba en el régimen contributivo, el 22% no estaba afiliado y otro 22% afirmó estar en el Instituto de Seguros Sociales (ISS), cerca de un 3% pertenece a regímenes especiales (Fuerzas Armadas –FF.AA–, Magisterio, Ecopetrol, etc.) y menos del 1% estaba en otro tipo de entidades. Cabe señalar, que uno de los problemas que se pudo identificar, con esta muestra, es que para 1997 había un alto porcentaje de personas sin ningún tipo de protección en salud, lo cual se presentó como un factor a mejorar en la reforma a la salud de 19934.
Una variable que se incluyó en el estudio, aunque puede ser discutible su efecto desde el análisis económico y de los incentivos sobre el gasto en salud, es una medida del riesgo de enfermedad por hogar (REH), en principio la motivación de su construcción fue capturar la estructura epidemiológica del hogar, basados principalmente en la edad y el sexo de sus miembros, la REH fue construida como un índice, el cual está dado por la siguiente relación:

Donde αi es un indicador del factor epidemiológico de los individuos que pertenecen al grupo i, e I es el número de individuos en el hogar que pertenecen a dicho grupo epidemiológico. Dicho grupo está definido por el Ministerio de Protección Social, basado en el Plan Obligatorio de Salud (POS). Esta variable es usada principalmente como instrumento, habida cuenta de su estricta exogeneidad, para corregir la endogeneidad producida por las decisiones al interior del hogar; es probable que en algunos casos haya un problema de identificación si la incluimos en un modelo paramétrico con otras variables de estructura de los hogares.
La Encuesta de Calidad de Vida de 1997 tiene varios componentes del gasto en salud, pero debido a que muchos encuestados no contestaron o respondieron gasto igual a cero, generando una pérdida significativa de información, de modo que sólo se pudo tener en cuenta, dentro de los rubros de gasto en salud, el gasto en afiliación al sistema de seguridad social en salud, hospitalización, medicinas, transporte no privado para ir al médico y el gasto total en salud (este último es la suma de los anteriores más otros gastos en salud) y el gasto total del hogar5.
III. Metodología
A. Las curvas de Engel
La curva de Engel define la relación existente entre el gasto o consumo en un bien específico y el ingreso de los agentes. Empíricamente la relación que se establece es entre el gasto en un bien específico y el gasto total. La mayoría de las veces los investigadores suelen confiar más en la cifra de gasto que en la de ingreso, que son reportadas por los encuestados. Desde los artículos de Working (1943), Leser (1963), Deaton y Muelbauer (1980a, 1980b), Banks et al. (1997) y Blundell et al. (1998), en los cuales desarrollaron estructuras paramétricas, hasta los más recientes estudios de Bhalotra y Attfield (1998), Lyssouto et al. (2001), Blundell et al. (2003) y Barrientos (2009), la relación empírica que se establece viene dada por:

Donde wij es la participación del gasto en el bien j en el gasto total del hogar i, In Xi es el logaritmo del gasto total del hogar i, Zi es un conjunto de variables socio-demográficas como género, edad y escolaridad del jefe de hogar, estrato del hogar, etc., g(.) es una función de gasto, la cual puede ser paramétrica, no paramétrica o una combinación de ambas, esta última relación da lugar a las relaciones semiparamétricas, las cuales son la estructura de interés en esta investigación, y ui es el término de perturbación estocástica, el cual se asume tal que E(u|X,Z)=0. Debido a potenciales problemas con la escala de medición del gasto total y el gasto en bienes, en este trabajo definimos la participación como:

La definición dada por la ecuación (3) tiene la ventaja de reducir la escala, de modo que las rutinas del software (GAUSS 8.0) son más eficientes, pero no cambian el significado, pues son transformaciones monótonas y además permiten graficar la participación del gasto en los rubros contra el logaritmo del gasto total, cuando se lleva a cabo regresiones semi-paramétricas o no-paramétricas.
B. La estrategia empírica
1. Modelos parcialmente lineales
La estrategia empírica consiste recuperar la media condicional, E(w|X,Z), basados en el siguiente modelo empírico:

Esta especificación tiene dos ventajas sobre los modelos paramétricos y no paramétricos puros. De un lado, la parte lineal permite incluir variables que típicamente tienen un efecto lineal, como lo es el género del jefe de hogar u otras variables categóricas. Y de otro lado, permite reducir el efecto perverso de un número de regresores crecientes que entran no-paramétricamente y que es conocido como la maldición de la dimensionalidad.
Para obtener un estimador de los parámetros α y β se usa la aproximación de Robinson (1988) del siguiente modo. La ecuación (4) puede escribirse como:

donde
es un nuevo error compuesto para toda observación. El intercepto puede ser estimado como
y son las medias muestrales de las participaciones en el gasto y las variables socio-demográficas. De modo que la ecuación (5) puede estimarse consistentemente usando el procedimiento desarrollado por Nadaraya (1964) y Watson (1964).
Volvamos al problema mencionado en la introducción, relacionado a la endogenidad por simultaneidad que se presenta en la estimación de las curvas de Engel. El procedimiento para la solución de dicho problema funciona del siguiente modo: sea X una variable endógena, con todo lo que ello implica, y sea W un conjunto de instrumentos (posiblemente construidos con las variables exógenas Z, e incluso con variables fuera de la base de datos original). En este caso particular, la variable instrumental por excelencia es el ingreso del hogar, junto con las demás variables exógenas en el modelo. La idea se basa en hacer una regresión no paramétrica (o incluso semiparamétrica) de In(X) sobre W en una primera etapa, por ejemplo:

En un segundo paso, en lugar de usar In(X) en la ecuación (5), usamos el regresor construido por medio de la regresión dada por (6). Este procedimiento es rápido y fácil, con el único costo de una regresión no paramétrica en un primer paso. Una explicación más detallada del procedimiento empleado aquí se encuentra en Sperlich (2005).
2. Contrastes paramétricos contra no paramétricos
Hay interés en contrastar la hipótesis de linealidad (o de efectos cuadráticos), esto depende de la forma obtenida al estimar la función dada por (5). La hipótesis nula se define como H0: m(x) = mθ(x) para algún θ, con mθ(x) = θxq donde q = 1 y q = 2 denotan relaciones cuadráticas o lineales entre el gasto total y la participación en el gasto.
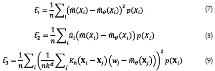
Estos contrastes pueden llevarse a cabo usando el método de Hardle et al. (2004). Con este objetivo empleamos tres tipos diferentes de estadísticos de contrastes. El primero está basado en la diferencia al cuadrado del modelo parcialmente lineal y el paramétrico. También se consideran los estadísticos desarrollados por Gonzalo y Linton (2001) y Rodríguez-Poo et al. (2005), dados por:

donde
son los residuales para el modelo bajo la hipótesis nula, d es la dimensión de la matriz X y h es el parámetro de sobre-suavización para la estimación. Ahora enunciemos el procedimiento para calcular valores críticos basados en la idea de contrastes adaptivos de Horowitz y Spokoiny (2001). Basados en las estimaciones paramétricas y semiparamétrica se contruyó el test estadísticos, cuya distribución varía con el parámetro de suavidad del estadístico de contraste (diferente al parámetro de suavidad para la estimación) denotado por k,

Donde
son la media y la desviación estándar estimadas de
para j = 1, 2, 3. Se calculó entonces el estadístico basado en los datos remuestreados (bootstrap) denotados por,

Este procedimiento crea una familia de estadísticos de contraste
donde la elección de k marca la diferencia entre la hipótesis nula y la alternativa. El estadístico de contraste que finalmente se usa está dado por,

Donde
define el conjunto admisible de parámetros de suavización, con cl = [l + (cx(l–1)-1)]n-1/5, cx = C(maxXi – minXi) y la constante
El procedimiento de contraste rechazará la hipótesis nula si al menos uno de los
estadísticos originales) es mayor que su análogo obtenido mediante bootstrap. Un procedimiento similar aplicado a curvas de Engel se puede hallar en Barrientos (2006, 2009).
IV. Resultados empíricos
En este estudio se consideraron cuatro rubros de gasto relacionados con el sector salud, que son: i) seguridad social (pagos al sistema); ii) medicinas; iii) hospitalización; y iv) transporte privado para ir al médico (no se encuentra el gasto privado para ir al trabajo o asuntos personales, ni el gasto en combustibles). También se analizaron el gasto total en salud, el cuál es la suma de los diferentes componentes de gasto recopilados en la encuesta. Todos los rubros de gasto en ingresos están a precios contantes anuales de 19976,7.
En muchos rubros de gasto los encuestados reportaron gasto igual a cero, aplicando algunas restricciones a la información, esto nos deja con una muestra variada dependiendo del tipo de gasto, por ejemplo, para analizar el gasto total en salud tenemos 5.766 hogares y para el gasto en afiliación, medicinas, transporte y hospitalización tenemos 3.577, 3.770, 1.669 y 2.517 hogares respectivamente. En cada caso la muestra es suficientemente grande, no sólo para hacer estimaciones semiparamétricas, sino para los contrastes propuestos anteriormente. Todas las regresiones controlan por factores socioeconómicos del hogar (estrato, riesgo por enfermedad del hogar y región) y por las características del jefe de hogar (género, edad, escolaridad, tipo de afiliación y de ocupación al sistema de seguridad social).
A. Curvas de Engel Semiparamétricas
Cada uno de los gráficos expuestos a continuación presentan la curva estimada (curva continua) junto con bandas al 95% de confianza8 (curva punteada). Errores normales son usados para generar las muestras bootstrap y calcular tanto las bandas como los valores críticos para los contrastes de hipótesis. Es valioso hacer notar que los parámetros de suavización (en adelante bandwidths y denotados por hcv ) para la estimación y contrastes son muy diferentes. El primero es obtenido por medio de selección automática leave-one-out cross validation (validación cruzada), mientras que el segundo es obtenido mediante métodos adaptivos.
En todos los casos las regresiones no paramétricas son hechas usando el kernel cuartico (Quartic Kernel) definido como
es una función indicadora. El mismo conjunto de instrumentos, W, fue usado para todas las regresiones: el ingreso familiar, la edad y escolaridad del jefe de hogar y el riesgo por enfermedad del hogar (REH).
El Gráfico 1 muestra la estimación semiparamétrica de la curva de Engel correspondiente al gasto (total) en salud. El eje vertical se refiere a la participación del gasto total en salud ajustado por los factores socioeconómicos y del jefe de hogar. Esta estimación, sin embargo, puede ser poco informativa, habida cuenta de que esta es una regresión a la media de la distribución del gasto en salud controlando por individuos con características observables con amplia varianza. Lo cual no es un problema si hablamos de bienes como el gasto en transporte no privado para atender asuntos de salud.
Los Gráficos 2 y 3 corresponden a las curvas de Engel estimadas para el gasto en seguridad social y el gasto en medicinas respectivamente, estas son decrecientes, con una mayor pendiente para los hogares de menores ingresos y una menor pendiente para los de ingreso más alto. En este sentido, los hogares seguramente están sacrificando servicios de salud para dedicar prioridades en alimentación y transporte. Esto es especialmente cierto para aquellos hogares cuyo jefe de hogar es independiente.
El Gráfico 2.1 muestra la forma de la curva de Engel para el gasto en afiliación a la seguridad social para los jefes de hogar que reportaron ser empleados independientes. Para los más pobres, que seguro son empleados informales, el gasto en afiliación al sistema (es decir la cotización mensual) es bastante oneroso, en el sentido de que representa una proporción muy alta de su ingreso, con un decrecimiento dramático para los hogares de ingreso medio alto y algo muy bajo para los de ingreso alto.
El Gráfico 3.1 muestra la curva de Engel para el gasto en medicinas en el caso de los trabajadores independientes, la forma de la curva muestra nuevamente que el gasto que reportaron da lugar a pensar que para los más pobres la medicina se comporta como un bien de lujo.
Lo anterior indica que las familias, donde el jefe de hogar es independiente, no pueden dedicar una gran parte de su ingreso al gasto en afiliación al sistema de seguridad social en salud, de hecho la información revela que cerca del 22% de los jefes de hogar no está afiliado.
El Gráfico 4 muestra la curva de Engel para el gasto en transporte público para atender servicios de salud. De acuerdo al tipo de bien, transporte no privado, cuando el ingreso se incrementa las personas dejan de usarlo. Esta forma para la curva de Engel puede indicar que el transporte público es en general un bien inferior, en el sentido de que cuando el ingreso de los hogares mejora las personas deciden emplean transporte privado (vehículo propio). Es interesante destacar que para el caso de la comunidad de Madrid y para Bogotá D.C., la curva de Engel para el transporte público presenta la misma estructura, indicando que la naturaleza inferior del transporte es manifiesta con independencia del grado de desarrollo de la región (Barrientos y Sperlich 2006, Barrientos 2009).
Existen varios aspectos que es importante resaltar en estas estimaciones. Primero, el transporte público puede ser sustituido por transporte privado cuando se incrementa el ingreso, lo que convierte al transporte no privado en un bien inferior. Segundo, contrario al gasto en transporte, el gasto en afiliación para toda la distribución del ingreso se convierte en un bien normal; no obstante, para los independientes, de los cuales un alto porcentaje se encuentra en la parte inferior de la distribución del ingreso, no tiene un sustituto cercano convirtiéndolo en un bien de lujo para este segmento de la población.
El Gráfico 5.1 muestra la forma de la curva de Engel para el gasto en hospitalización. A lo largo de la muestra, ésta tiene una tendencia decreciente e indica que la hospitalización es una carga que no es uniformemente distribuida; de hecho para algunos hogares de ingresos medios altos es constante, pero en general para los de mayores ingresos es decreciente.
El Gráfico 5.2 muestra el gasto en hospitalización por estrato socioeconómico (por quintil de ingreso los resultados son muy similares). Dos aspectos que cabe resaltar de esta estimación son: i) la hospitalización para algunos hogares es un bien que tiene características de lujo, en el sentido de que si se hace necesario utilizarlo, el gasto en este rubro, entre hogares, crece más rápido que la renta de los individuos, en especial para los más pobres; ii) para los hogares de ingreso medio y alto, el bien se comporta como uno que satisface la Ley de Engel, esto es, como proporción del ingreso total, el gasto en hospitalización es decreciente entre hogares.
Dos aspectos importantes que se deben resaltar del gasto en hospitalización y medicina. El primero es la decisión soberana de los agentes en cuanto a hospitalización y medicina. Es cierto que son las decisiones de los médicos y profesionales de la salud las que inducen a los agentes a utilizar hospitales y adquirir medicinas, y no son decisiones que reflejen los deseos de los agentes, esto es una demanda inducida. No obstante, prima el hecho fundamental de que es una demanda inducida por el bien de los agentes, es decir, un agente racional y con la información completa debería tomar una decisión muy parecida a la que toma el médico. Naturalmente, no hay modo estadístico de probar esta hipótesis empíricamente, pero como programa de investigación futuro puede ser prometedor.
El segundo aspecto fundamental, y el más importante, tiene que ver con el problema de la naturaleza no observable de las acciones soberanas en este contexto, dada la naturaleza del los bienes en cuestión. En otras palabras, no se puede medir con la información que tenemos en la Encuesta de Calidad de Vida de 1997. Esto aplica tanto para la adquisición de medicinas como para los servicios de hospitalización. Decisiones soberanas observables a través del gasto son la elección de la EPS, la afiliación de un trabajador independiente al sistema de seguridad social, o el tipo de transporte que elige para adquirir servicios de salud.
B. Efectos lineal o cuadrático
Si los modelos se han elegido correctamente, los resultados cuantificarán el grado en el cual las variables afectan el comportamiento del consumidor. Es importante resaltar si las especificaciones lineales o cuadráticas en un modelo paramétrico puro son suficientes para recuperar la media condicional subyacente. En esta sección se presentan los contrastes de hipótesis. De acuerdo a lo expuesto en la Sección III.B.2 usamos el estadístico de contraste (ecuación 12) definiendo un conjunto de parámetros de suavización Kn de cardinalidad L = 10, las bandas están en un rango de 0,24 a 0,87.
Como mencionamos anteriormente, los bandwdiths óptimos para estimar la función de regresión son obtenidos por validación cruzada. En la práctica se debe sobre-suavizar para los contrastes y sub-suavizar para bandas de confianza (Barrientos, 2005 y Barrientos y Sperlich, 2006).
Se usaron 1.000 muestras bootstrap para los contrastes de hipótesis, de acuerdo al algoritmo en la sección III.B.2. Puesto que los parámetros de sobre-suavizado son cruciales, los contrastes se elaboran con varios parámetros con resultados muy similares, de modo que se reportan los p-valores para uno de estos parámetros.
De acuerdo con los procedimientos desarrollados, en el caso de gasto total en salud, gasto en afiliación y gasto en medicinas, los tres estadísticos de contrastes rechazan la hipótesis de linealidad al 7% de significancia. De otro lado, el efecto lineal en el caso del transporte para ir al médico es fuertemente rechazado con todos los estadísticos. Sin embargo, ni el estadístico de contraste (8) y (9) son incapaces de rechazar el efecto cuadrático (20% y 90% respectivamente). Estos resultados están acordes con la forma del Gráfico 4. Respecto al gasto en hospitalización, los resultados indican que la linealidad es rechazada (al 9% en promedio) con todos los estadísticos y el efecto cuadrático no es rechazado con los estadísticos (8) y (9) (al 25% en promedio). Esto nos da una idea de lo confiable y robusto de los resultados.
Conclusiones
Los resultados generales indican que la modelación del efecto del gasto total sobre el rubro de gastos específicos es un poco más complicada de lo que supone en los análisis paramétricos, e incluso en los análisis semiparamétricos en una sola dimensión. Para el caso del gasto en salud de los hogares colombianos, las estimaciones sugieren que los bienes como el transporte no privado tienen características propias de un bien inferior, en tanto que las medicinas, la hospitalización y la afiliación al sistema de seguridad social, este último para los independientes, en algunos tramos se comportan como bienes de lujo.
Estos resultados son importantes para el diseño de políticas en salud. En primer lugar, dado que la afiliación al sistema de seguridad social en salud se comporta como un bien de lujo para los trabajadores independientes, esto implicaría un bajo nivel de afiliación en este grupo de personas o jefes de hogar. Después de la reforma de 1993, los mayores esfuerzos de política pública se han encaminado en aumentar la cobertura en afiliación de los independientes. En este sentido se han reducido los requerimientos básicos de afiliación al sistema, especialmente en términos del monto de ingresos mínimo de afiliación.
En segundo lugar, existe un aspecto importante para otros rubros de gasto en salud como son medicamentos y hospitalización, dada su característica de bienes de lujo para algunos hogares. Este resultado implica que restricciones en el cubrimiento del plan obligatorio de salud (POS), en términos de estos dos tipos de gasto, pueden causar un bajo uso de dichos servicios para los hogares ubicados en los niveles inferiores de la distribución del ingreso (del gasto total en nuestro estudio). Si los diseñadores de políticas en salud no consideran el carácter de bien de lujo de estos dos rubros de gasto, los cuales son componentes fundamentales en el estado final de salud de los individuos, el sistema de salud basaría sus resultados en términos de afiliación en lugar de tener resultados satisfactorios en términos de prestación de servicios o de restauración de la salud por medio de los tratamientos médicos. Es importante anotar que los resultados de gasto en seguros de salud se pueden relacionar con la idea de Nyman (1999b), en la cual el aseguramiento es el único mecanismo disponible por el que los individuos pueden obtener acceso a tratamientos costosos en salud. El análisis de la curva de Engel puede ayudarnos a entender este aspecto de aseguramiento como motivo de acceso.
Desde el punto de vista técnico, es necesario incluir más variables socio-demográficas para capturar la variedad en el consumo del agente promedio. Las preferencias y los gustos de los consumidores cambian con el tiempo, este es un punto esencial del análisis de curvas de Engel. Sin embargo, existe una fuerte limitante en la información existente debido a la ausencia de información estadística para formar datos de panel. Quizá, con una información más completa se pueda hacer inferencia sobre el tipo de bien que es la salud en un país desarrollado.
Finalmente, es necesario reconocer que este trabajo abre posibles líneas para futuras investigaciones. Por ejemplo, estimar la elasticidades no-paramétricamente, pues estas juegan un papel primordial en la descripción exacta de las características de los bienes, es decir, si estos son normales, inferiores, Giffen, de lujo, etc. No obstante, esto no es fácil pues requiere no sólo estimar una función desconocida sino su primera derivada, pero sería muy útil, pues por definición la elasticidad cambia entre hogares.
Como se han preguntado diversos autores ¿podría ser la no linealidad detectada con las pruebas de hipótesis un problema de especificación del modelo? Igualmente, el gasto cero representa un problema en el análisis, al desconocer el origen de dichos ceros e incluso si están o no cerca de su valor real, quizá un tipo de estimación censurada podría rendir frutos. En el futuro, estos temas deben hacer parte de la agenda de investigación en la demanda por los servicios de salud.
Bibliografía
1. Bhalotra, Sonya and Attfield, Cliff (1998). ''Intrahousehold Resources Allocation in Rural Pakistan: A Semiparametric Analysis'', Journal of Applied Econometrics, Vol. 13, No. 5, pp. 463-480. [ Links ]
2. Banks, James; Blundell, Richar and Lewbel, Arthur (1997). ''Quadratic Engel Curves and Consumer Demand'', The Review of Economics and Statistics, Vol. 79, No. 4, pp. 527-539. [ Links ]
3. Barrientos, Jorge (2009). ''Consumer Behaviour in Urban Colombia: the Case of Bogotá'', Ensayo sobre Política Económica-ESPE, Vol. 27, No 59, pp. 46-82. [ Links ]
4. Barrientos, Jorge (2006). ''Estimation and Testing Additive Partially Linear Model in a System of Engel Curves'', IVIE Working Paper, WP-AD 2006-23, pp. 1-25. [ Links ]
5. Barrientos, Jorge y Sperlich Stefan (2006). ''The Size Problem of Kernel Based Bootstrap Tests when the Null is Nonparametric'', Social Science Research Network. (September 2006). Available at SSRN: http://ssrn.com/abstract=1010939 (July 19, 2011). [ Links ]
6. Barrientos, Jorge (2005). ''A Note On Bandwidth Choice when the Null Hypothesis is Semiparametric'', Revista de Economía del Rosario, Vol. 8, No. 2, pp. 114-129. [ Links ]
7. Blundell, Richard; Duncan, Alan and Pendakur, Krishna (1998). ''Seminparametric Estimation and Consumer Demand'', Journal of Applied Econometrics, Vol. 13, No. 5, pp. 435-461. [ Links ]
8. Blundell, Richard; Browning, Martin and Crawford, Ian (2003). ''Nonparametric Engel Curve and Revealed Preference'', Econometrica, Vol. 71, No. 1, pp. 205-240. [ Links ]
9. Deaton, Angus and Muellbauer, John (1980a). ''An Almost Ideal Demand System'', American Economic Review, Vol. 70, No. 3, pp. 321-326. [ Links ]
10. Deaton, Angus and Muellbauer, John (1980b). Economic and Consumer Behavior, Cambridge, Cambridge University Press. [ Links ]
11. Deaton, Angust (1997). The Analysis of Household Survey. A Microeconometric. Approach to Development Policy, Johns Hopkins University Press. [ Links ]
12. Gozalo, Pedro and Linton, Oliver (2001). ''Testing Additivity in Generalized Nonparametric Regression Models with Estimated Parameters'', Journal of Econometrics, Vol. 104, No. 1, pp. 1-48. [ Links ]
13. Hardle, Wolfgang; Huet, Sylvi; Mammen, Enn y Sperlich, Stefan (2004). ''Bootstrap Inference In Semiparametric Generalized Additive Models'', Econometric Theory, Vol. 20, No. 2, pp. 265-300. [ Links ]
14. Horowitz, Joel and Spokoiny, Vladimir (2002). ''An Adaptive, Rate-optimal Test of Parametric Mean-Regression Model Against A Nonparametric Alternative''. Econometrica, Vol. 69, No. 3, pp. 599-631. [ Links ]
15. Leser, Conrad Emanuel Victor (1963). ''Form of Engel Functions'', Econometrica, Vol. 31, No. 4, pp. 694-703. [ Links ]
16. Lyssiotou, Panayiota; Pashardes, Panos and Stengos, Thanasis (2001). ''Age Effects on Consumer Demand: An Additive Partially Linear Regression Model'', The Canadian Journal of Economics, Vol. 35, No. 1, pp. 153-165. [ Links ]
17. Mascollel, Andreu; Whinston, Michael and Green, Jerry (1995). Microeconomic Theory, Oxford, Oxford University Press. [ Links ]
18. Nadaraya, E. A. (1964). ''On Estimating Regression'', Theory of Probability and its Applications, Vol. 9, No. 1, pp. 141-142. [ Links ]
19. Newey, Whitney and Powell, James (2003). ''Instrumental Variables Estimation of Nonparametric Models''. Econometrica, Vol. 71, No. 5, pp. 1565-1578. [ Links ]
20. Nyman, John (1999a). ''The Economics of Moral Hazard Revisited'', Journal of Health Economics, Vol. 18, No. 6, pp. 811-824. [ Links ]
21. Nyman, John (1999b). ''The Value of Health Insurance: The Access Motive'', Journal of Health Economics, Vol. 18, No. 2, pp. 141-152. [ Links ]
22. Ramírez, Manuel; Cortés, Darwin y Gallego, Juan (2002). ''El gasto en salud de los hogares colombianos: un análisis descriptivo'', Lecturas de Economía. No. 57, julio-diciembre 2002, pp. 87-125. [ Links ]
23. Robinson, Peter (1988). ''Root N-Consistent Semiparametric Regression'', Econometrica, Vol. 56, No. 4, pp. 931-54. [ Links ]
24. Rodriguez-poo, Juan; Sperlich, Stefan and Vieu, Philippe (2005). ''And Adaptive Specification Test For Semiparametric Models'', Social Science Research Network, Available at SSRN: http://ssrn.com/abstract=1010933 (July 19, 2011). [ Links ]
25. Sperlich, Stefan (2005). ''A Note on Nonparametric Estimation with Constructed Variables and Generated Regressors'', Social Science Research Network. (August 24, 2007). Available at SSRN: http://ssrn.com/abstract=1010923 (July 19, 2011). [ Links ]
26. Watson, Geoffrey (1964). ''Smooth Regression Analysis''. Sankhyā: The Indian Journal of Statistics, Series A, Vol. 26, No. 4 (December, 1964), pp. 359-372. [ Links ]
27. Working, Holbrook (1943). ''Statistical Laws of Family Expenditure'', Journal of the American Statistical Association, Vol. 38, No. 221 (March, 1943), pp. 43-56. [ Links ]
NOTAS
1 En este estudio se usa la ECV1997 porque a diferencia de la ECV2003, la primera contiene más información sobre diferentes rubros de gasto en salud.
2 El análisis de la financiación pública se ha realizado en diversas oportunidades, utilizando como fuentes de información los presupuestos y ejecuciones presupuestales de diversas agencias del Gobierno.
3 Para una presentación completa de esta teoría ver Mas Collel et al. (1995). Para aplicaciones al análisis de consumo de los hogares ver Deaton (1997).
4 Es importante anotar que el tipo de afiliación al Sistema General de Seguridad Social, en particular contributivo o subsidiado, y el estrato socioeconomico del –jefe de– hogar pueden afectar el gasto en salud por el mecanismo indirecto de que por ley los hogares con diferentes tipos de afiliación no pagan los mismos copagos (cuotas moderadoras). En la estimación empírica de las curvas de Engel presentadas en este trabajo, se realizó el ejercicio para el rubro de gasto de bolsillo, pero para el gasto total siempre controlamos por estas dos variables en la estimación.
5 Para el análisis de regresión, los tamaños de muestra varían dependiendo del tipo de gasto que se tenga en cuenta.
6 Como se expresó anteriormente, el análisis se limita a estos cuatro rubros de gasto porque un número significativo de hogares no tienen información sobre los otros tipos de gasto.
7 Desde el punto de vista empírico se estimaron las funciones del gasto en salud (en sus 4 rubros y gasto total) en salud, las cuales por teoría son una función de las demandas marshallianas y los precios. Dado que se observó que ninguno de los dos vectores (demandas y precios), es importante anotar que el ejercicio puede ser considerado como una estimación en forma reducida del gasto.
8 Todos los gráficos fueron generados en formato Gauss PlayW.






















