Services on Demand
Journal
Article
Indicators
-
Cited by SciELO -
Access statistics
Related links
-
Cited by Google -
Similars in
SciELO -
Similars in Google
Share
Lecturas de Economía
Print version ISSN 0120-2596
Lect. Econ. no.76 Medellín Jan./June 2012
ARTÍCULOS
Elección estratégica de contratos forward y contratos de incentivos gerenciales en un contexto de competencia a la Cournot
Strategic choice of forward contracts and managerial incentive contracts in a context of Cournot competition
Choix stratégique des contrats ''forward'' et contrats de management dans un contexte de concurrence à la Cournot
Sandra Miranda*; Ximena Poveda Bernal**; Flavio Jácome***
* Economista y Magistra en Economía, Pontificia Universidad Javeriana; Profesora Departamento de Economía de la Pontificia Universidad Javeriana. Dirección postal: calle 40 # 6-23, piso 8. Dirección electrónica: sandra.miranda@javeriana.edu.co.
** Economista y Magistra en Economía, Pontificia Universidad Javeriana; Asesora del Observatorio de Competitividad del Departamento Nacional de Planeación. Dirección postal: calle 26 # 13-29, piso 9. Dirección electrónica: ximenapoveda@gmail.com.
*** Doctor en Economía, Universidad del País Vasco; Magister en Economía Pontificia Universidad Javeriana; Ingeniero Eléctrico Universidad de los Andes; Profesor Titular Departamento de Economía de la Pontificia Universidad Javeriana. Dirección postal: calle 40 # 6-23, piso 8: Dirección electrónica: fjacome@javeriana.edu.co.
–Introducción. –I. Un modelo de competencia imperfecta con contratos forward.–II. Un modelo de competencia imperfecta con incentivos gerenciales. –III. Elección estratégica de contratos forward y contratos de incentivos gerenciales en un contexto de competencia a la Cournot con productos homogéneos. –IV. Elección estratégica de contratos forward y contratos de incentivos gerenciales en un contexto de competencia a la Cournot con productos diferenciados. –V. Análisis de bienestar social. –Conclusiones y recomendaciones. –Referencias bibliográficas.
Primera versión recibida en enero de 2012; versión final aceptada en abril de 2012
RESUMEN
El presente trabajo analiza los efectos de los contratos forward y de los contratos de incentivos gerenciales, herramientas que las empresas pueden elegir para competir estratégicamente con sus rivales en un mercado oligopólico. Se encuentra que cuando las dos empresas producen un bien homogéneo, pueden contratar gerentes y negociar contratos forward, en situación de equilibrio ambas empresas contratan gerente y no negocian tales contratos. En el caso de bienes diferenciados, cuando los bienes son sustitutos, las empresas contratan gerente y no negocian contratos forward; cuando los bienes son complementarios, una empresa contrata gerente y no negocia contratos forward y la otra no contrata gerente y negocia contratos forward. El mayor bienestar social se obtiene cuando las empresas utilizan contratos de incentivos gerenciales y contratos forward, y el más bajo se da cuando las empresas no utilizan estas herramientas estratégicas. Sin embargo, el nivel de bienestar social de equilibrio es un subóptimo.
Palabras Clave: competencia a la Cournot, equilibrio de Nash, contratos forward, contratos de incentivos gerenciales.
Clasificación JEL: C72, D43, D86.
ABSTRACT
This paper analyzes the effects of forward contracts and managerial incentive contracts, which are tools that firms can use to compete strategically with their rivals in an oligopolistic market. The results show that when the two firms produce a homogeneous good, can hire managers and trade forward contracts, in equilibrium they hire managers and none of them negotiate forward contracts. In the case of differentiated goods, when the goods are substitutes, in equilibrium the firms hire managers and do not trade forward contracts; when the goods are complementary, one firm hires a manager and does not negotiate forward contracts whereas the other one does not hire a manager and negotiates forward contracts. The highest social welfare is achieved when the firms use managerial incentive contracts and forward contracts, and the lowest is achieved when the firms do not use these strategic tools. However, the equilibrium social welfare level is suboptimal.
Keywords: Cournot competition, Nash equilibrium, forward contracts, managerial incentive contracts.
JEL Classification JEL: C72, D43, D86.
RÉSUMÉ
Cet article analyse les effets de contrats ''forward'' et des contrats de management. Ces contrats permettent aux entreprises choisir la manière de concurrencier stratégiquement avec ses rivaux sur un marché oligopolistique. Lorsque les deux entreprises produisent un bien homogène, elles peuvent embaucher des gestionnaires et négocier des contrats ''forward''. En équilibre les deux entreprises embauchent un gestionnaire mais elles ne négocient pas de tels contrats. Dans le cas de biens différenciés où les biens sont des substituts, les entreprises embouchent un gestionnaire mais elles ne négocient pas des contrats ''forward''. Lorsque les biens sont complémentaires, une entreprise embouche un gestionnaire mais elle ne négocie pas des contrats ''forward'', tandis que l'autre entreprise ne embouche pas gestionnaire mais négocie contrats ''forward''. Les gains de bien-être sont obtenus lorsque les entreprises utilisent des contrats de management et des contrats ''forward'', et le niveau plus bas de bien-être se produit lorsque les entreprises n'utilisent pas ces outils stratégiques. Cependant, le niveau de bien-être social est un équilibre sous-optimal.
Mots-clés: concurrence à la Cournot, équilibre de Nash, contrats forward, contrat de management.
Classification JEL: C72, D43, D86.
Introducción
Algunos bienes como la electricidad, el petróleo y una gran cantidad de productos agrícolas, entre otros, experimentan una alta volatilidad en los precios de mercado. Frecuentemente las empresas negocian contratos forward, principalmente por motivos de aseguramiento del precio, con el fin de tomar decisiones concernientes a la planeación de las mismas en el mediano y largo plazo. Aunque estas decisiones están encaminadas a permitir la viabilidad y, por lo tanto, la permanencia de las empresas en el mercado, generalmente los contratos forward se negocian sin considerar la estructura de mercado en la que tales empresas participan. Un trabajo pionero de Allaz y Vila (1993), analiza si las empresas tienen incentivos para negociar contratos forward, como respuesta estratégica (no por motivos de aseguramiento del precio) a las acciones de sus rivales en un mercado oligopólico. En un contexto de competencia a la Cournot, se encuentran que, en equilibrio, las empresas negocian una cantidad positiva del producto en el mercado forward.
Por otra parte, el estudio de los mercados imperfectos en la teoría microeconómica clásica generalmente supone que las decisiones de mercado de las empresas son tomadas por los dueños y que estos no delegan tales decisiones en un gerente. Sin embargo, en los mercados reales muchas de las empresas contratan gerentes y delegan en ellos las decisiones relevantes sobre cuánto producir, a qué precio, cuál debe ser el nivel de inventarios, etc. Los gerentes pueden ser contratados porque están mejor informados que los dueños sobre aspectos del mercado como la demanda, los costos, el entorno, el comportamiento del mercado laboral, entre otros. El enfoque tradicional, desde el punto de vista de la administración de empresas, se ha centrado generalmente en asignarle al gerente un rol centrado en la organización de los procesos internos de la empresa. Más recientemente, esta disciplina ha ido asignando a los gerentes un carácter más estratégico, pero sin considerar como variable relevante la estructura de mercado en la que la empresa participa.
Las asimetrías de información hacen que la relación dueño-gerente generalmente lleve implícito un conflicto de intereses o de objetivos, que hace parte de los problemas que se analizan en el marco de la teoría agenteprincipal. En este caso, el dueño es el principal y el gerente es el agente. Estudios tales como los de Williamson (1964), Fershtman y Judd (1987), Sklivas (1987), Laffont y Martimort (2002) y Miller (2005), abordan el tema de la delegación del control de las empresas y establecen, en el contexto de un mercado oligopólico, los contratos de incentivos que deben ser firmados entre los dueños y los gerentes, como respuesta estratégica para competir con sus rivales. Los autores encuentran que en un contexto de competencia a la Cournot, los dueños de las empresas comprometen a los gerentes, mediante los contratos de incentivos, a ser más agresivos en ventas que en el caso en el cual las empresas son manejadas por los dueños. Por el contrario, en un contexto de competencia a la Bertrand, los dueños de las empresas comprometen a los gerentes, mediante los contratos de incentivos, a ser menos agresivos en ventas que en el caso en el cual las empresas son manejadas por los dueños.
El objetivo de este trabajo consiste en utilizar conjuntamente los trabajos de Allaz y Vila (1993) y Fershtman y Judd (1987), con el fin de analizar los efectos sobre el mercado, cuando las empresas tienen a su disposición los contratos forward y los contratos de incentivos gerenciales para competir con sus rivales en un mercado oligopólico, en un contexto de competencia a la Cournot1.
El trabajo se desarrolla de la siguiente manera: en la sección 1 se presenta un modelo que analiza el uso estratégico de contratos forward, propuesto por Allaz y Vila (1993); en la sección 2 se presenta un modelo de competencia imperfecta propuesto por Fershtman y Judd (1987), que analiza el uso de los contratos de incentivos gerenciales como herramienta estratégica; en la sección 3 se desarrolla un modelo que analiza un duopolio que produce un bien homogéneo, en el cual se permite a las empresas determinar si utilizan los contratos forward y los contratos de incentivos gerenciales como herramientas estratégicas; en la sección 4 se presenta un modelo que analiza un duopolio que produce bienes diferenciados, en el cual se permite a las empresas determinar si utilizan los contratos forward y los contratos de incentivos gerenciales como herramientas estratégicas para competir con los rivales; en la sección 5 se analiza el efecto de las decisiones de las empresas sobre el bienestar social; finalmente, se presentan las conclusiones.
I. Un modelo de competencia imperfecta con contratos forward
En esta sección se presenta una versión simplificada del modelo propuesto por Allaz y Vila (1993), en el cual las empresas utilizan los contratos forward como herramienta estratégica para competir con sus rivales. Los autores analizan un duopolio que produce un bien homogéneo con costo marginal constante e idéntico para ambas empresas, c > 0, y se enfrenta a una demanda lineal de la forma P = a − Q, con Q = q1 + q2, donde qi es la cantidad producida por la empresa i. Se supone que en el mercado forward cada empresa acuerda unas posiciones xi al precio f, para una determinada fecha en la que el contrato se hace efectivo; en este caso el contrato será redimido en la etapa de producción.
El análisis se hace mediante un juego en dos etapas: en la etapa uno, las empresas determinan las cantidades que deben acordar en los contratos forward; en la etapa dos las empresas definen las cantidades producidas en un contexto de competencia a la Cournot, pero sus funciones de pagos son modificadas por las posiciones que ellos han definido en el mercado forward. El modelo supone que hay previsión perfecta, por lo cual el equilibrio requiere que el mercado forward sea eficiente: el precio f (como función de las posiciones) debe ser igual al precio que resultará de la competencia a la Cournot en el mercado spot, dadas dichas posiciones. No hay posibilidad de arbitraje.
Las posiciones en el mercado forward, las cantidades, los precios y los beneficios de las empresas, en equilibrio son:

Como se observa, ambas empresas acuerdan cantidades xi > 0. En este caso, el beneficio obtenido por cada empresa en equilibrio, es menor al que obtendrían si no negociaran contratos en el mercado forward. Sin embargo, ambas empresas deciden negociar contratos en dicho mercado, porque si una de ellas los negocia y la otra no, la primera obtiene un beneficio mayor que en cualquiera de los casos anteriores y la segunda obtendría un beneficio menor que en cualquiera de los casos anteriores. El juego replica el comportamiento del dilema de los prisioneros.
II. Un modelo de competencia imperfecta con incentivos gerenciales
La teoría microeconómica clásica considera habitualmente que las empresas son manejadas por los dueños y que estos no delegan el control de tales empresas en un gerente. Muchas empresas en la realidad contratan gerentes para que tomen decisiones sobre variables del mercado tales como las cantidades que se deben producir, los precios, los niveles de inversión en publicidad y mercadeo, y los niveles de inventarios, entre otras. En general, los dueños contratan gerentes porque estos tienen mejor información sobre aspectos relevantes del mercado tales como la demanda del bien o de los bienes producidos, el mercado de insumos, el mercado laboral, el entorno económico, entre otros. La asimetría en la información puede generar un conflicto de objetivos entre el dueño (quien maximiza beneficios) y el gerente (quien no necesariamente maximiza beneficios). Este es un problema típico de la teoría agente-principal, en donde el dueño de la empresa es el principal y el gerente (quien tiene información privilegiada) es el agente. Los trabajos pioneros de Fershtman y Judd (1987) y Sklivas (1987) abordan el tema de la delegación del control de las empresas y analizan la utilización de los contratos de incentivos gerenciales como herramienta estratégica para competir con los rivales en un mercado imperfecto. A continuación, se presenta un resumen del modelo desarrollado por estos autores, que servirá como base para desarrollos posteriores del presente trabajo.
El modelo analiza un duopolio en el que el dueño de cada empresa (cuyo objetivo es maximizar beneficios), delega el control en un gerente (quien no necesariamente maximiza beneficios). Las empresas producen un bien homogéneo con el mismo costo marginal constante c > 0, y se enfrentan a una curva lineal de demanda p = a - bQ, con a, b > 0; a > c. El juego se desarrolla en dos etapas: en la etapa 1, el dueño de cada empresa firma un contrato de incentivos con el gerente; en la etapa 2, los gerentes de las empresas observan el contrato firmado con cada uno de los dueños en la etapa 1 y eligen la cantidad que deben producir, en un contexto de competencia a la Cournot.
Se supone que el dueño de la empresa i remunera en el margen al gerente (quien se supone neutral al riesgo), en proporción a una combinación lineal entre beneficios y ventas de la empresa: Oi = Ai + Biui; i, j = 1, 2; i ≠ j donde Ai, Bi > 0 son constantes y ui = αiπi + (1 - αi)si, donde πi es el beneficio de la empresa i y si son las ventas de la empresa i. La constante Ai se puede interpretar como un salario fijo que no depende de la realización del mercado, y el parámetro Bi se puede interpretar como el pago adicional que es una proporción de la realización del mercado ui En adelante, por simplicidad se supondrá A1 = A2 = A y B1 = B2 = B.
Debido a que el gerente es neutro al riesgo, este actúa como si maximizara ui, dado que Ai y Bi son irrelevantes. Por tanto, el gerente resuelve el problema:

Si el parámetro de incentivos αi = 1, el contrato compromete al gerente a maximizar beneficios (que es el mismo objetivo del dueño). Si αi < 1, el contrato compromete al gerente a ser más agresivo ventas (respecto al caso en el que ninguna de las empresas contrata gerente). Si αi > 1, el contrato compromete al gerente a ser menos agresivo en ventas (respecto al caso en el que ninguna de las empresas contrata gerente). No hay restricciones sobre los valores que puede tomar el parámetro αi y se permite que pueda tomar incluso valores negativos.
Las cantidades, el precio, los incentivos gerenciales y los beneficios de equilibrio son:

Los resultados permiten establecer que, en equilibrio, la cantidad total producida es mayor y el precio de mercado y los beneficios de las empresas son menores que en el caso de competencia a la Cournot sin contratos de incentivos gerenciales.
III. Elección estratégica de contratos forward y contratos de incentivos gerenciales en un contexto de competencia a la Cournot con productos homogéneos
En esta sección se analiza un mercado de competencia imperfecta en el que las empresas producen un bien homogéneo y tienen a su disposición dos herramientas estratégicas para competir con sus rivales: los contratos en el mercado forward y los contratos de incentivos gerenciales. En la sección A se presenta el análisis considerando que los dueños de las empresas deciden si negocian contratos en el mercado forward, pero no utilizan contratos de incentivos gerenciales. En la sección B se presenta el análisis considerando que el dueño de cada empresa delega el control en un gerente, y este último determina la conveniencia estratégica de negociar contratos en el mercado forward. En la sección C se presenta el análisis de la conveniencia estratégica de negociar contratos en el mercado forward cuando la empresa i contrata gerente y la empresa j no lo hace. Finalmente, en la sección D se extiende el análisis para determinar si es estratégicamente conveniente tanto delegar el control de la empresa en un gerente como negociar contratos en el mercado forward.
Se consideran dos empresas que producen un bien homogéneo y compiten a la Cournot. Se supone que las empresas producen con costo marginal constante c idéntico para ambas empresas y se enfrentan a una curva de demanda lineal P = a – Q; Q = qi + qj.
Los juegos desarrollados en cada sección se resuelven por el método usual de inducción hacia atrás y contemplan cuatro posibles escenarios: i) Ninguna de las empresas negocia contratos en el mercado forward; ii) Las dos empresas negocian contratos en el mercado forward; iii) La empresa i negocia contratos en el mercado forward y la empresa j no; y iv) La empresa j negocia contratos en el mercado forward y la empresa i no. En todos los escenarios desarrollados, cuando la decisión sobre alguna variable estratégica sea tomada por el dueño de la empresa i, dicha variable se determina resolviendo el problema: Max πi = pqi - cqi. Sin cuando la decisión sobre alguna variable estratégica es tomada por el gerente de la empresa i, dicha variable se determina resolviendo el problema:

A. Elección estratégica de contratos forw ard cuando las empresas i y j no utilizan contratos de incentivos gerenciales; i, j = 1, 2; i ≠ j
En esta sección se presenta un modelo en el que el dueño de cada empresa decide si utiliza contratos forward como herramienta estratégica para competir con su rival y ninguno de los dueños delega el control de la empresa en un gerente. El juego se desarrolla en tres etapas: en la etapa 1 los dueños de las empresas deciden si negocian contratos en el mercado forward; en la etapa 2 los dueños observan el resultado de la etapa 1 y deciden las cantidades xi que deben acordar en los contratos forward; en la etapa 3, una vez han observado los resultados de las etapas anteriores, los dueños de las empresas deciden las cantidades qi que deben producir. A continuación se presenta la solución de las etapas 2 y 3 para cada uno de los posibles escenarios de la etapa 1.
1. Las empresas i y j no negocian contratos forward; i, j = 1, 2; i ≠ j
En esta sección se presentan los resultados del primer escenario de la etapa 1 del juego y se omite la etapa 2, dado que no se negocian contratos forward. El desarrollo de este escenario corresponde al modelo usual de competencia a la Cournot con productos homogéneos, en el que las cantidades producidas, el precio y los beneficios de las empresas en equilibrio, son:

2. Las empresas i y j negocian contratos forward; i, j = 1, 2; i ≠ j
Se exponen los resultados del segundo escenario de la etapa 1 del juego, que corresponde al modelo de Allaz y Vila (1993) presentado en la sección 1, en el que las cantidades acordadas en el mercado forward, las cantidades producidas, el precio y los beneficios de las empresas en equilibrio son:

3. La empresa i negocia contratos forward y la empresa j no negocia contratos forward; i, j =1, 2; i ≠ j
A partir de la solución del problema de maximización de los beneficios de los dueños de las empresas i y j en la etapa de elección de las cantidades (q) producidas y del problema de maximización de beneficios de la empresa i en la etapa de elección de las cantidades (x) acordadas en el mercado de contratos en el mercado forward, se obtiene en equilibrio:

4. Elección estratégica de contratos forward
De los resultados de las secciones 1 a 2, la solución de la etapa 1 del juego en donde las empresas toman la decisión de negociar contratos forward (F) o no negociarlos (NF), puede hallarse resolviendo el juego estratégico planteado en la siguiente matriz, cuyos pagos representan2 los beneficios de equilibrio obtenidos por las empresas en los escenarios desarrollados.
El equilibrio de Nash de este juego es (F, F). Esto significa que en un equilibrio de Nash Perfecto en Subjuegos del juego planteado en la sección A, las dos empresas negocian contratos forward. Se observa que las dos empresas estarían mejor si no negociaran contratos forward. Sin embargo, esto no es posible porque la mejor respuesta de cada empresa cuando la otra no negocia contratos en el mercado forward, es negociar dichos contratos. El juego replica el comportamiento del dilema del prisionero. Este resultado es el resultado del artículo de Allaz y Vila (1993).
B. Elección estratégica de contratos forward cuando el control de las empresas i y j se delega en un gerente; i, j = 1, 2; i ≠ j
En esta sección se presenta la elección estratégica de contratos en el mercado forward cuando cada uno de los dueños delega el control de la empresa en un gerente, quien toma las decisiones sobre las cantidades acordadas en dicho mercado y sobre las cantidades producidas.
El juego se desarrolla en cuatro etapas. En la etapa 1, cada uno de los dueños firma un contrato de incentivos con su gerente; en la etapa 2, los gerentes observan su contrato y deciden si negocian contratos en el mercado forward o no; en la etapa 3, los gerentes observan el resultado de la etapa anterior y deciden las cantidades xi que deben acordar en el mercado forward; en la etapa 4, una vez los gerentes han observado el resultado de las etapas anteriores, deciden las cantidades que van a producir. A continuación se presenta la solución del juego por inducción hacia atrás, para cada uno de los escenarios de la etapa 2.
1. Ninguna empresa negocia contratos en el mercado forward
El desarrollo de este escenario corresponde al modelo de Fershtman y Judd (1987), cuyos resultados de equilibrio, presentados en la sección 2, son:

αi < 1 implica que el dueño de cada empresa obliga al gerente, mediante el contrato, a ser más agresivo en ventas, en relación con el caso en el que las empresas son manejadas por los dueños.
2. Las dos empresas negocian contratos en el mercado forward
En esta sección se resuelve la elección estratégica de contratos en el mercado forward, cuando tales decisiones son tomadas por los gerentes contratados por las empresas.
De la solución del problema de maximización de utilidades de los gerentes de las empresas en las etapas de elección de las cantidades producidas (q) y de las cantidades acordadas en el mercado forward (x), se obtiene en equilibrio:

3. La empresa i negocia contratos en el mercado forward y la empresa j no; i, j = 1,2; i ≠ j
A partir de la solución del problema de maximización de utilidades de los gerentes de las empresas i y j en la etapa de elección de las cantidades producidas (q) y del problema de maximización de la utilidad del gerente de la empresa i en la etapa de elección de las cantidades acordadas en el mercado de futuros (x), se obtiene en equilibrio:

En equilibrio el dueño de la empresa i obliga al gerente a maximizar beneficios y el dueño de la empresa j obliga al gerente a ser más agresivo en ventas. El resultado α1 = 1 no es el usualmente hallado en la literatura cuando las empresas compiten a la Cournot (α1 < 1). Sin embargo, en este escenario el dueño de la empresa i compromete al gerente a maximizar beneficios, como respuesta estratégica al contrato de incentivos de la empresa j.
4. Elección estratégica de contratos forward
Con base en los resultados de las secciones 1 a 3, la solución de la etapa 2 del juego planteado en la sección B puede hallarse resolviendo el juego estratégico planteado en la siguiente matriz, en donde cada empresa puede elegir entre negociar contratos en el mercado forward (F) o no negociarlos (NF) y los pagos representan3 las utilidades obtenidas por los gerentes de las empresas en cada uno de los escenarios de dicha etapa.

Para cada uno de los gerentes, la estrategia NF domina estrictamente a la estrategia F, por lo cual los gerentes de las dos empresas deciden jugar las estrategias (NF, NF) que también corresponden al equilibrio de Nash del juego. Los resultados de la sección B se resumen en la siguiente proposición:
Proposición 1: En un equilibrio de Nash perfecto en subjuegos, cuando cada uno de los dueños delega el control de la empresa en un gerente, estos últimos son incentivados por los dueños a ser más agresivos en ventas y la mejor predicción que los gerentes pueden hacer es ''no negociar'' contratos en el mercado forward.
Este resultado es contrario al hallado en la sección A cuando las empresas no contratan gerentes, en donde los dueños, en equilibrio, acuerdan una cantidad positiva x en el mercado forward. Lo anterior quiere decir que cuando las empresas contratan gerentes y se les permite tomar las decisiones sobre las cantidades que deben ser acordadas en los contratos forward, estos deciden no negociar tales contratos, porque si alguno de ellos lo hiciera, esta desviación afectaría negativamente su utilidad.
C. La empresa i contrata gerente y la empresa j no contrata gerente; i, j = 1, 2; i ≠ j
En esta sección se presenta la elección estratégica de contratos en el mercado forward cuando el dueño de la empresa i delega el control en un gerente y el dueño de la empresa j no. Tanto el gerente de la empresa i como el dueño de la empresa j toman las decisiones sobre las cantidades acordadas en el mercado de futuros y sobre las cantidades producidas.
El juego se desarrolla en cuatro etapas. En la etapa 1 el dueño de la empresa i firma un contrato de incentivos con su gerente; en la etapa 2 el gerente de la empresa i y el dueño de la empresa j observan el resultado de la etapa 1 y deciden si negocian contratos en el mercado forward o no; en la etapa 3, el gerente de la empresa i y el dueño de la empresa j observan el resultado de la etapa 2 y aquellos que han decidido negociar contratos en el mercado forward determinan la cantidad xi que deben acordar en dichos contratos; en la etapa 4, el gerente de la empresa i y el dueño de la empresa j observan el resultado de las etapas anteriores y deciden las cantidades que van a producir. A continuación se presenta la solución del juego por inducción hacia atrás, para cada uno de los escenarios de la etapa 2.
1. Ninguna de las empresas negocia contratos en el mercado forward
A partir de la solución del problema de maximización de la utilidad del gerente de la empresa i y del beneficio del dueño de la empresa j en la etapa de elección de las cantidades producidas (q) y de maximización del beneficio del dueño de la empresa i en la etapa de elección de incentivos gerenciales, se obtiene en equilibrio:

2. Las dos empresas negocian contratos en el mercado forward
De la solución del problema de maximización de la utilidad del gerente de la empresa i y del beneficio del dueño de la empresa j en las etapas de elección de las cantidades producidas (q) y de las cantidades acordadas en el mercado forward (x) y del problema de maximización del beneficio del dueño de la empresa i en la etapa de elección de incentivos gerenciales, se obtiene en equilibrio:

3. La empresa i negocia contratos en el mercado forward y la empresa j no lo hace
Con base en la solución del problema de maximización de la utilidad del gerente de la empresa i y del beneficio del dueño de la empresa j en la etapa de elección de las cantidades producidas (q), del problema de maximización de beneficios del gerente de la empresa i en la etapa de elección de las cantidades acordadas en el mercado forward (x), y del problema de maximización del beneficio del dueño de la empresa i en la etapa de elección de incentivos gerenciales, se obtiene en equilibrio:

4. La empresa i no negocia contratos en el mercado forward y la empresa j sí lo hace
A partir de la solución del problema de maximización de la utilidad del gerente de la empresa i y del beneficio del dueño de la empresa j en la etapa de elección de las cantidades producidas (q), del problema de maximización de beneficios del gerente de la empresa j en la etapa de elección de las cantidades acordadas en el mercado forward (x), y del problema de maximización del beneficio del dueño de la empresa i en la etapa de elección de incentivos gerenciales, se obtiene en equilibrio:

5. Elección estratégica de contratos en el mercado forward
De los resultados de las secciones 1 a 4, la solución de la etapa 2, en la que cada una de las empresas puede decidir si negocia contratos en el mercado forward (F) o no los negocia (NF), puede hallarse resolviendo el juego estratégico planteado en la siguiente matriz, cuyos pagos representan las utilidades de los gerentes (cuando la empresa utiliza incentivos gerenciales) y los beneficios de las empresas (cuando las empresas no utilizan incentivos gerenciales), obtenidos en cada una de dichas secciones:

Se observa que para ambas empresas, la estrategia (NF) domina estrictamente a la estrategia (F). El equilibrio de Nash del juego es por tanto (NF, NF). Los resultados de la sección C se resumen en la siguiente proposición:
Proposición 2: En un equilibrio de Nash perfecto en subjuegos, cuando el dueño de la empresa i delega el control de la empresa en un gerente y el dueño de la empresa j no contrata gerente, la mejor predicción es que no se deben negociar contratos en el mercado forward.
Este resultado es también contrario al hallado en la sección A ,cuando las empresas no contratan gerentes, y similar al hallado en la sección B, cuando ambas empresas contratan gerentes.
D. Elección estratégica de incentivos gerenciales y contratos en el mercado forward
En esta sección se analiza la conveniencia estratégica de utilizar contratos de incentivos gerenciales, en un contexto en el que las empresas pueden decidir si negocian o no contratos en el mercado forward. Para tal efecto se plantea un juego en el cual la decisión de cada uno de los dueños sobre contratar gerente (G) o no contratarlo (NG) es endógena: en la etapa 1, cada uno de los dueños decide si contrata un gerente o no lo contrata; en la etapa 2, los dueños que han decidido contratar gerente, firman con este un contrato de incentivos gerenciales; en la etapa 3, los gerentes contratados y los dueños de las empresas que decidieron no contratar gerente, deciden si negocian o no contratos en el mercado forward; en la etapa 4, aquellos que decidieron negociar contratos en el mercado forward, determinan las cantidades xi que deben acordar en dichos contratos; en la etapa 5, los gerentes y los dueños de las empresas que no contrataron gerente, definen las cantidades qi que van a producir.
La etapa 1 tiene tres escenarios posibles: i) ninguna de las empresas contrata gerente; ii) las dos empresas contratan gerente; y iii) la empresa i contrata gerente y la j no. Estos tres escenarios fueron desarrollados en las secciones A, B y C, en las cuales se determinó que el equilibrio en el escenario i) es (F, F), en el escenario ii) es (NF, NF) y en el escenario iii) es (NF, NF). La solución de la etapa 1 en la cual las empresas deciden si contratan gerente (G) o no lo contratan (NG), se puede hallar mediante un juego estratégico representado por la siguiente matriz, cuyos pagos son los beneficios obtenidos por las empresas en los equilibrios hallados en los juegos de las secciones A, B y C.

La estrategia G domina a NG para ambas empresas, por lo cual el equilibrio de Nash del juego en la etapa 1 es (G, G). Se observa que si las dos empresas no contrataran gerente, obtendrían los mismos beneficios que en el equilibrio de Nash del juego. Sin embargo, ambas contratan gerente porque si la empresa i no lo contrata y la empresa j sí lo contrata, esta obtiene más beneficio, y la empresa i disminuye su beneficio, respecto al caso en el cual ambas contratan gerente. El juego presenta un comportamiento similar al dilema del prisionero. Los resultados del juego planteado en esta sección se resumen en la siguiente proposición:
Proposición 3: Considere dos empresas que compiten a la Cournot, producen un bien homogéneo con costo marginal constante e idéntico para ambas empresas y se enfrentan a una curva de demanda lineal. Si las empresas pueden decidir contratar gerentes y negociar contratos en el mercado forward, en un equilibrio de Nash perfecto en subjuegos las dos empresas contratan gerentes y estos son incentivados a ser más agresivos en ventas. Ninguna de las empresas negocia contratos en el mercado forward.
IV. Elección estratégica de contratos forward y contratos gerenciales en un contexto de competencia a la Cournot con productos diferenciados
En esta sección se analiza un mercado de competencia a la Cournot en el que las empresas producen bienes diferenciados y tienen a su disposición dos herramientas estratégicas para competir con sus rivales: los contratos en el mercado forward y los contratos de incentivos gerenciales. En la sección A se presenta el análisis considerando que los dueños de las empresas deciden si negocian contratos en el mercado forward, pero no utilizan contratos de incentivos gerenciales. En la sección B se presenta el análisis considerando que el dueño de cada empresa delega el control en un gerente y estos últimos determinan la conveniencia estratégica de negociar contratos en el mercado forward. En la sección C se presenta el análisis de la conveniencia estratégica de negociar contratos en el mercado forward, cuando la empresa i contrata gerente y la empresa j no lo hace. Finalmente, en la sección D se extiende el análisis para determinar si es estratégicamente conveniente tanto delegar el control de la empresa en un gerente como negociar contratos en el mercado forward. Las empresas producen con el mismo costo marginal constante c y se enfrentan a curvas de demanda lineales forma qi = a - pi + dpj; i, j = 1, 2; i ≠ j. Los productos pueden ser sustitutos (cuando 0 < d < 1) o complementarios (cuando -1 < d < 0). Se supone d2 <1 para asegurar que el efecto de un cambio en el precio del bien i sobre la cantidad demandada del bien i sea mayor que el efecto del mismo cambio en el precio del bien j, sobre la cantidad demandada del bien i. Las funciones inversas de demanda son

Los juegos desarrollados para cada sección se resuelven por inducción hacia atrás y contemplan cuatro posibles escenarios: i) Ninguna de las empresas negocia contratos en el mercado forward; ii) Las dos empresas negocian contratos en el mercado forward; iii) La empresa i negocia contratos en el mercado forward y la empresa j no; y iv) La empresa j negocia contratos en el mercado forward y la empresa i no.
A. Elección estratégica de contratos forward cuando las empresas i y j no utilizan contratos de incentivos gerenciales; i, j =1,2; i ≠ j
En esta sección se presenta un modelo en el que el dueño de cada empresa decide si utiliza contratos en el mercado forward como herramienta estratégica para competir con su rival y no se utilizan incentivos gerenciales. El juego se desarrolla en tres etapas: en la etapa 1, los dueños de las empresas deciden si negocian contratos en el mercado forward; en la etapa 2, los dueños observan el resultado de la etapa 1 y deciden las cantidades xi que deben acordar en dicho mercado; en la etapa 3, una vez se han observado los resultados de las etapas anteriores, los dueños de las empresas deciden las cantidades qi que deben producir. A continuación, se presenta la solución de las etapas 2 y 3 para cada uno de los posibles cuatro escenarios de la etapa 1.
1. Ninguna empresa negocia contratos en el mercado forward
En esta sección se presenta el primer escenario de la etapa 1 del juego y se omite la etapa 2, dado que no se negocian contratos en el mercado forward. El desarrollo de este escenario corresponde al modelo usual de competencia a la Cournot con productos diferenciados, cuyos resultados de equilibrio son:

Para que las dos empresas estén activas en el mercado, se requiere que (a – c + d ) > 0. Esta condición se mantendrá en todos los escenarios desarrollados posteriormente.
2. Las dos empresas negocian contratos en el mercado forward
En esta sección se presenta el segundo escenario de la etapa 1 del juego, suponiendo que las dos empresas negocian contratos en el mercado forward.
Resolviendo el problema de maximización de beneficios de los dueños de las empresas en la etapa de elección de las cantidades producidas (q), y en la etapa de elección de las cantidades (xi) acordadas en el mercado de contratos en el mercado forward, se obtiene en equilibrio:

3. La empresa i negocia contratos en el mercado forward y la empresa j no
En esta sección se presenta el tercer escenario de la etapa 1, suponiendo que la empresa i negocia contratos en el mercado forward y la empresa j no. Resolviendo el problema de maximización de beneficios de los dueños de las empresas en la etapa de elección de las cantidades producidas (q) y de maximización de beneficios del dueño de la empresa i en la etapa de elección de las cantidades (xi) acordadas en el mercado de contratos forward, se obtiene en equilibrio:

4. Elección estratégica de contratos en el mercado forward
La solución de la etapa 1 del juego, en donde las empresas toman la decisión de negociar contratos en el mercado forward (F) o no negociarlos (NF), puede hallarse resolviendo el juego estratégico planteado en la siguiente matriz, cuyos pagos son los beneficios que obtienen las empresas en los escenarios desarrollados.

A partir de los desarrollos de las secciones 1 a 3, cuando no se utilizan contratos de incentivos gerenciales, se obtiene:
Cuando los bienes son sustitutos, para 0<d<1:

Por lo tanto, el equilibrio de Nash del juego es (F, F). En este caso se observa que las dos empresas obtendrían mayor beneficio si no negociaran contratos en el mercado forward. Sin embargo, las empresas negocian contratos forward porque si una de ellas no lo hace, la mejor respuesta de la otra es negociarlos, en cuyo caso la primera pierde beneficio y la segunda aumenta su beneficio en relación con el caso en el cual ambas negocian tales contratos. Este es el mismo comportamiento del Dilema del prisionero.
Cuando los bienes son complementarios, para -1<d< 0:

El equilibrio de Nash del juego es (F, F). Para este caso, la estrategia de negociar contratos en el mercado forward domina estrictamente a la decisión de no negociar dichos contratos.
Los resultados de los juegos planteados en esta sección se resumen en la siguiente proposición:
Proposición 4: En un duopolio diferenciado, cuando las empresas se enfrentan a una demanda lineal, producen con costo marginal constante e idéntico y no utilizan incentivos gerenciales, en un equilibrio de Nash perfecto en subjuegos las empresas negocian contratos en el mercado forward, independientemente de si los bienes son sustitutos o complementarios.
B. Elección estratégica de contratos forward cuando los dueños de las empresas i y j delegan el control en un gerente; i, j =1,2; i ≠ j
En esta sección se presenta la elección estratégica de contratos en el mercado forward cuando cada uno de los dueños delega el control de la empresa en un gerente y este toma las decisiones sobre las cantidades acordadas en los contratos forward y sobre las cantidades producidas.
El juego se desarrolla en cuatro etapas. En la etapa 1 cada uno de los dueños firma un contrato de incentivos con su gerente; en la etapa 2 los gerentes observan su contrato y deciden si negocian contratos en el mercado forward; en la etapa 3, los gerentes observan el resultado de la etapa anterior y deciden las cantidades que deben acordar en dicho mercado; en la etapa 4, una vez los gerentes han observado el resultado de las etapas anteriores, deciden las cantidades que van a producir. A continuación, se presenta la solución del juego por inducción hacia atrás, para cada uno de los escenarios de la etapa 2.
1. Ninguna empresa negocia contratos en el mercado forward
Del problema de optimización de los gerentes de las empresas en la etapa de elección de cantidades producidas y del problema de optimización de los dueños en la etapa de elección de contratos de incentivos gerenciales, se obtiene en equilibrio:

2. Las dos empresas negocian contratos en el mercado forward
De la solución de la etapa de elección de cantidades producidas y de cantidades acordadas en el mercado forward, y de la etapa de elección de contratos de incentivos gerenciales, se obtiene en equilibrio:

3. La empresa i negocia contratos en el mercado forward y la empresa j no
De la solución del problema de los gerentes de las empresas en la etapa de elección de cantidades producidas y de cantidades acordadas en el mercado forward para la empresa i y del problema de optimización de los dueños en la etapa de elección de contratos de incentivos gerenciales, se obtiene en equilibrio:

4. Elección estratégica de contratos en el mercado forward
A partir del desarrollo de las secciones 1 a 3, la solución de la etapa 2 puede hallarse resolviendo el juego estratégico planteado en la siguiente matriz, en donde el gerente de cada empresa puede elegir entre negociar contratos en el mercado forward (F) o no negociarlos (NF), y los pagos son las utilidades obtenidas por los gerentes de las empresas en cada uno de los escenarios de dicha etapa.

De acuerdo con los resultados de las secciones mencionadas, cuando se utilizan contratos de incentivos gerenciales, se obtienen los siguientes resultados:
Cuando los bienes son sustitutos:
Para 0 < d < 1

El equilibrio de Nash es (NF, NF). En este caso, la estrategia de no negociar contratos en el mercado forward es estrictamente dominante para ambas empresas.
Cuando los bienes son complementarios:

El equilibrio de Nash es (NF, NF). En este caso, la estrategia de no negociar contratos en el mercado forward es estrictamente dominante para ambas empresas.

El equilibrio de Nash del juego es: (NF, NF). En este caso, la estrategia de no negociar contratos en el mercado forward es estrictamente dominante para ambas empresas. Los resultados de los juegos planteados en esta sección se resumen en la siguiente proposición:
Proposición 5: Considere un duopolio diferenciado en el que ambas empresas enfrentan una demanda lineal, producen con costo marginal constante e idéntico, utilizan contratos de incentivos gerenciales y pueden decidir si negocian contratos en el mercado forward. En un equilibrio de Nash perfecto en subjuegos, ninguna de las empresas negocia contratos en el mercado forward, independientemente de si los bienes son sustitutos o complementarios.
C. La empresa i contrata gerente y la empresa j no contrata gerente; i, j = 1,2; i ≠ j
En esta sección se presenta la elección estratégica de contratos en el mercado forward cuando el dueño de la empresa i delega el control en un gerente y el dueño de la empresa j no. Tanto el gerente de la empresa i, como el dueño de la empresa j toman las decisiones sobre las cantidades acordadas en el mercado forward, y sobre las cantidades producidas.
El juego se desarrolla en cuatro etapas. En la etapa 1, el dueño de la empresa i firma un contrato de incentivos con su gerente; en la etapa 2, el gerente de la empresa i y el dueño de la empresa j observan el resultado de la etapa 1 y deciden si negocian contratos en el mercado forward; en la etapa 3, el gerente de la empresa i y el dueño de la empresa j observan el resultado de la etapa 2 y aquellos que han decidido negociar contratos en el mercado forward determinan la cantidad xi que deben acordar en dichos contratos; en la etapa 4, el gerente de la empresa i y el dueño de la empresa j observan el resultado de las etapas anteriores y deciden las cantidades que van a producir. A continuación, se presenta la solución del juego por inducción hacia atrás, para cada uno de los escenarios de la etapa 2.
1. Ninguna de las empresas negocia contratos en el mercado forward
Del problema de optimización del gerente de la empresa i y del dueño de la empresa j en la etapa de elección de cantidades producidas, y del problema de optimización del dueño de la empresa i en la etapa de elección de contratos de incentivos gerenciales, se obtiene en equilibrio:

2. Las dos empresas negocian contratos en el mercado forward
Del problema de optimización del gerente de la empresa i y del dueño de la empresa j en la etapa de elección de cantidades producidas y en la etapa de cantidades acordadas en el mercado forward y del problema de optimización del dueño de la empresa i en la etapa de elección de contratos de incentivos gerenciales, se obtiene en equilibrio:

3. La empresa i negocia contratos en el mercado forward y la empresa j no
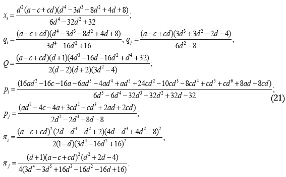
Del problema de optimización del gerente de la empresa i y del dueño de la empresa j en la etapa de elección de cantidades producidas, del problema de optimización del gerente de la empresa i en la etapa de cantidades acordadas en el mercado forward y del problema de optimización del dueño de la empresa i en la etapa de elección de contratos de incentivos gerenciales, se obtiene en equilibrio:

4. La empresa i no negocia contratos en el mercado forward y la empresa j sí lo hace
Del problema de optimización del gerente de la empresa i y del dueño de la empresa j en la etapa de elección de cantidades producidas, del problema de optimización del gerente de la empresa j en la etapa de cantidades acordadas en el mercado forward y del problema de optimización del dueño de la empresa i, en la etapa de elección de contratos de incentivos gerenciales, se obtiene en equilibrio:

5. Elección estratégica de contratos en el mercado forward
Con base en los resultados de las secciones 1 a 4, la solución de la etapa 2, en la que cada una de las empresas puede decidir si negocia contratos en el mercado forward (F) o no los negocia (NF), puede hallarse resolviendo el juego estratégico planteado en la siguiente matriz, cuyos pagos representan los beneficios de las empresas (cuando estas no usan incentivos gerenciales) y las utilidades de los gerentes (cuando las empresas usan incentivos gerenciales), obtenidos en cada una de las secciones mencionadas:

Cuando los bienes son sustitutos, se obtiene:
Para 0 < d < 0,87248

El equilibrio de Nash es (NF, F). Para la empresa j, la estrategia F domina a NF.
Para 0,87248 < d < 1

El equilibrio de Nash es (NF, NF). Para la empresa i la estrategia NF domina a F y para la empresa j, la estrategia NF domina a F.
Cuando los bienes son complementarios, se obtiene:

El equilibrio de Nash es (NF, F). Para la empresa i la estrategia NF domina a F. Para la empresa j, la estrategia F domina a NF.

El equilibrio de Nash es (NF, F). Para la empresa i NF domina a F. Para la empresa j, F domina a NF.

El equilibrio de Nash es (NF, F). Para la empresa j, F domina a NF. Para la empresa i, NF domina a F. Los resultados de los juegos planteados en esta sección se resumen en la siguiente proposición:
Proposición 6: Considere un duopolio diferenciado en el que cada empresa enfrenta una demanda lineal y produce con costo marginal constante e idéntico. Si una de las empresas contrata gerente y la otra no lo contrata, y ambas pueden elegir si negocian o no contratos en el mercado forward, en un equilibrio de Nash perfecto en subjuegos se obtiene: cuando los bienes son poco o medianamente sustitutos, la empresa que contrata gerente no negocia contratos en el mercado forward y la empresa que no contrata gerente sí negocia contratos en el mercado forward. Cuando los bienes son sustitutos, ninguna de las empresas negocia contratos en el mercado forward. Cuando los bienes son complementarios, la empresa que contrata gerente no negocia contratos en el mercado forward y la empresa que no contrata gerente si negocia contratos en el mercado forward.
D. Elección estratégica de incentivos gerenciales y contratos en el mercado forward
En esta sección se analiza la conveniencia estratégica de utilizar contratos de incentivos gerenciales, en un contexto en el que las empresas pueden decidir si negocian o no contratos en el mercado forward. Para tal efecto se plantea un juego en el cual la decisión de cada uno de los dueños sobre contratar gerente (G) o no contratarlo (NG) es endógena: en la etapa 1, cada uno de los dueños decide si contrata un gerente o no lo contrata; en la etapa 2, los dueños que han decidido contratar gerente, firman con este un contrato de incentivos gerenciales; en la etapa 3, los gerentes de las empresas que fueron contratados y los dueños de las empresas que decidieron no contratar gerente, deciden si negocian o no contratos en el mercado forward; en la etapa 4, aquellos que decidieron negociar contratos en el mercado forward, determinan las cantidades xi que deben acordar en dichos contratos; en la etapa 5, los gerentes y los dueños de las empresas que no contrataron gerente, definen las cantidades qi que van a producir.
La etapa 1 tiene tres escenarios posibles: i) ninguna de las empresas contrata gerente; ii) las dos empresas contratan gerente; y iii) la empresa i contrata gerente y la j no. Estos tres escenarios fueron desarrollados en las secciones A, B y C. La solución de la etapa 1, en la cual las empresas deciden si contratan gerente (G) o no lo contratan (NG), se puede hallar mediante el juego estratégico representado por la siguiente matriz, cuyos pagos son los beneficios de equilibrio de las empresas, obtenidos en los juegos de las secciones A a C.
1. Bienes sustitutos
De acuerdo con los resultados obtenidos en las secciones anteriores, se determinó que el equilibrio en el escenario i) es (F, F), en el escenario ii) es (NF, NF), y en el escenario iii) es (NF, F).
Para 0 < d < 0,87248

El Equilibrio de Nash es (G, G), (NF, NF).
Para 0,87248 < d < 1

El Equilibrio de Nash del juego es (G, G), (NF, NF).
2. Bienes complementarios
De acuerdo con los resultados obtenidos en las secciones anteriores, se determinó que el equilibrio en el escenario i) es (F, F), en el escenario ii) es (NF, NF), y en el escenario iii) es (NF, F).

Los equilibrios de Nash son (G, NG), (NF, F) y (NG, G),(F, NF). Los resultados de los juegos planteados en esta sección se resumen en la siguiente proposición:
Proposición 7: En un duopolio con bienes diferenciados en el que las empresas se enfrentan a una demanda lineal, producen con costo marginal constante e idéntico y pueden elegir si contratan gerente o no, y si negocian contratos en el mercado forward o no, en un equilibrio de Nash perfecto en subjuegos cuando los bienes son sustitutos, las empresas contratan gerente y no negocian contratos en el mercado forward. Sin embargo, cuando los bienes son complementarios, una de las empresas contrata gerente y no negocia contratos en el mercado forward y la otra empresa no contrata gerente y negocia contratos en el mercado forward.
V. Análisis de bienestar social
En esta sección se analiza el impacto que tienen las decisiones estratégicas en cuanto a negociar contratos en el mercado forward o utilizar contratos de incentivos gerenciales, sobre el bienestar social. Este análisis reviste gran importancia debido a que posiblemente el impacto de las decisiones de las empresas sobre el bienestar, puede no ser el óptimo desde el punto de vista de la sociedad.
El bienestar social se define como:

Donde: W es el bienestar social; EC es el excedente de los consumidores; y EP es el excedente de los productores.
En el caso de productos homogéneos, el excedente de los consumidores se calcula como:

Donde Q = qi +qj
En el caso de productos diferenciados, el excedente de los consumidores se calcula como

Donde

El excedente de los productores es la suma de los beneficios de las empresas. Por tanto:

Sea el excedente de los consumidores, EC(i,j),(i,j), EP(i,j),(i,j) y W(i,j),(i,j) el excedente de los productores y el bienestar social, respectivamente, en donde el primer par en el superíndice indica si las empresas i, j contratan gerente (G) o no (NG), y el segundo par del superíndice indica si las empresas i, j negocian contratos de futuros (F) o no (NF). A continuación, se presenta el comportamiento del excedente de los consumidores, el excedente de los productores y el bienestar social, para todos y cada uno de los escenarios analizados tanto en el caso de bienes homogéneos (sección III), como en el caso de bienes diferenciados (sección IV).
A. Bienes homogéneos
La relación ordinal del excedente de los consumidores en todos los escenarios analizados, es:

La relación ordinal del excedente de los productores en todos los escenarios analizados, es:

La relación ordinal del bienestar social en todos los escenarios analizados, es:

En la sección III se estableció que si las empresas pueden decidir contratar o no contratar gerentes y negociar o no negociar contratos en el mercado forward cuando producen un bien homogéneo y compiten a la Cournot, en un equilibrio de Nash perfecto en subjuegos las dos empresas contratan gerente y ninguna de ellas negocia contratos en el mercado forward: [(G, G), (NF, NF )]
De acuerdo con el orden establecido anteriormente, el mejor resultado para los consumidores se obtiene cuando ambas empresas contratan gerente y negocian contratos en el mercado forward (EC(G,G),(F,F)) y el peor resultado se obtiene cuando las empresas no contratan gerentes y no negocian contratos en el mercado forward (EC(NG,NG),(NF,NF)). Por otra parte, si la decisión la toman las empresas, se obtendría un excedente de los consumidores, intermedio entre estos dos resultados. El mejor resultado para los productores se obtiene cuando ambas empresas no contratan gerente y no negocian contratos en el mercado forward (EP(NG,NG),(NF,NF)), y el peor resultado se obtiene cuando las empresas contratan gerentes y negocian contratos en el mercado forward (EP(G,G),(F,F)). Sin embargo, desde el punto de vista de las empresas, se obtendría un excedente de los productores, intermedio entre estos dos resultados. Por último, el mejor resultado para la sociedad se obtiene cuando ambas empresas contratan gerente y negocian contratos en el mercado forward (W(G,G),(F,F)), y el peor resultado se obtiene cuando las empresas no contratan gerentes y no negocian contratos en el mercado forward (W(NG,NG),(NF,NF)). En este caso, si la decisión la toman las empresas, se obtendría un bienestar social intermedio entre estos dos resultados.
B. Bienes diferenciados
1. Bienes sustitutos
La relación ordinal del excedente de los consumidores, del excedente de los productores y del bienestar social, en todos los escenarios analizados, es:
Excedente de los consumidores

Excedente de los productores

Bienestar social

En la sección IV se determinó que si las empresas pueden decidir contratar o no contratar gerentes y negociar o no negociar contratos en el mercado forward cuando producen bienes sustitutos y compiten a la Cournot, en un Equilibrio de Nash Perfecto en Subjuegos las dos empresas contratan gerente y ninguna de ellas negocia contratos en el mercado forward: [(G, G), (NF, NF)].
De acuerdo con el orden establecido anteriormente, el mejor resultado para los consumidores se obtiene cuando ambas empresas contratan gerente y negocian contratos en el mercado forward (EC(G,G),(F,F)), y el peor resultado se obtiene cuando las empresas no contratan gerentes y no negocian contratos en el mercado forward (EC(NG,NG),(NF,NF)). Sin embargo, si la decisión la toman las empresas, se obtendría un excedente de los consumidores intermedio entre estos dos resultados. El mejor resultado para los productores se obtiene cuando ambas empresas no contratan gerente y no negocian contratos en el mercado forward (EP(NG,NG),(NF,NF)), y el peor resultado se obtiene cuando las empresas contratan gerentes y negocian contratos en el mercado forward (EP(G,G),(F,F)). No obstante, desde el punto de vista de las empresas, se obtendría un excedente de los productores intermedio entre estos dos resultados. Por último, el mejor resultado para la sociedad se obtiene cuando ambas empresas contratan gerente y negocian contratos en el mercado forward (W(G,G),(F,F)), y el peor resultado se obtiene cuando las empresas no contratan gerentes y no negocian contratos en el mercado forward (W(NG,NG),(NF,NF)). En este caso, si la decisión la toman las empresas, se obtendría un bienestar social intermedio entre estos dos resultados.
2. Bienes complementarios
La relación ordinal del excedente de los consumidores, del excedente de los productores y del bienestar social, en todos los escenarios analizados, es:
Excedente de los consumidores

Excedente de los productores

Bienestar social

En la sección IV se estableció que si las empresas pueden decidir contratar o no contratar gerentes y negociar o no negociar contratos en el mercado forward cuando producen bienes complementarios y compiten a la Cournot, en un equilibrio de Nash perfecto en subjuegos una de las empresas contrata gerente y no negocia contratos forward y la otra empresa no contrata gerente y negocia contratos forward: [(G, NG), (NF, F)] o [(NG, G), (F, NF)].
De acuerdo con el orden establecido anteriormente, el mejor resultado para los consumidores se obtiene cuando ambas empresas contratan gerente y negocian contratos en el mercado forward (EC(G,G),(F,F) ), y el peor resultado se obtiene cuando las empresas no contratan gerentes y no negocian contratos en el mercado forward (EC(NG,NG),(NF,NF) ). Sin embargo, si la decisión la toman las empresas, se obtendría un excedente de los consumidores que es un subóptimo. El mejor resultado para los productores se obtiene cuando ambas empresas contratan gerente y negocian contratos en el mercado forward (EP(G,G),(F,F)), y el peor resultado se obtiene cuando las empresas no contratan gerentes y no negocian contratos en el mercado forward (EP(NG,NG),(NF,NF)). No obstante, desde el punto de vista de las empresas, se obtendría un subóptimo. Por último, el mejor resultado para la sociedad se obtiene cuando ambas empresas contratan gerente y negocian contratos en el mercado forward (W(G,G),(F,F)), y el peor resultado se obtiene cuando las empresas no contratan gerentes y no negocian contratos en el mercado forward (W(NG,NG),(NF,NF)). En este caso, si la decisión la toman las empresas, se obtendría el segundo mejor nivel de bienestar social.
En conclusión, en todos los escenarios analizados, tanto para bienes homogéneos como para bienes diferenciados, el mayor nivel de bienestar social se logra cuando las empresas utilizan contratos de incentivos gerenciales y contratos en el mercado forward. El nivel más bajo de bienestar social ocurre cuando las empresas no utilizan estas herramientas estratégicas. Sin embargo, dado que las empresas toman las decisiones con base en las predicciones de los escenarios de equilibrio, en ningún caso es posible lograr el mayor nivel de bienestar social, pero tampoco el menor de ellos. Solo es posible obtener un nivel de bienestar social intermedio.
Conclusiones y recomendaciones
Las principales conclusiones que se obtienen del análisis desarrollado en el presente trabajo, son:
- En un duopolio que compite a la Cournot cuando las dos empresas producen un bien homogéneo con costo marginal constante e idéntico, se enfrentan a una curva de demanda lineal y se les permite decidir si contratan gerentes, y si negocian contratos en el mercado forward, en un equilibrio de Nash perfecto en subjuegos, ambas contratan gerente y ninguna de ellas negocia contratos en el mercado forward.
- En un duopolio que compite a la Cournot con bienes diferenciados, en el que las dos empresas se enfrentan a una demanda lineal, producen con el mismo costo marginal constante y pueden elegir si contratan gerente, y si negocian contratos en el mercado forward, en un equilibrio de Nash perfecto en subjuegos: cuando los bienes son sustitutos, las empresas contratan gerente y no negocian contratos en el mercado forward; sin embargo, cuando los bienes son complementarios, una de las empresas contrata gerente y no negocia contratos en el mercado forward y la otra empresa no contrata gerente y negocia contratos en el mercado forward.
- En todos los escenarios analizados, tanto para bienes homogéneos como para bienes diferenciados, el mayor nivel de bienestar social se logra cuando las empresas utilizan contratos de incentivos gerenciales y contratos en el mercado forward. El nivel más bajo de bienestar social ocurre cuando las empresas no utilizan estas herramientas estratégicas. Sin embargo, dado que las empresas toman las decisiones con base en las predicciones de los escenarios de equilibrio, en ningún caso es posible lograr el mayor nivel de bienestar social, pero tampoco el menor de ellos. Solo es posible obtener un nivel de bienestar social intermedio.
Se sugiere que para futuras investigaciones se amplíe el análisis hecho en este trabajo, permitiendo que las empresas enfrenten un tipo de competencia diferente, tal como Bertrand o Stackelberg. Igualmente, se podría analizar si los resultados obtenidos son robustos a formas funcionales de los costos totales y de las curvas de demanda, diferentes a las utilizadas en este trabajo. Otra posible extensión consiste en analizar la sensibilidad de los resultados cuando se asumen diferentes actitudes hacia el riesgo o cuando se elimina el supuesto de previsión perfecta de los agentes económicos involucrados.
Referencias
Allaz, Blaise y Vila Jean-Luc (1993). ''Cournot Competition, Forward Markets and Efficiency'', Journal of Economic Theory, Vol. 59, Issue 1, february 1993, pp. 1-16. [ Links ]
Fersthman, Chaim y Judd, Kenneth (1987). ''Equilibrium Incentives in Oligopoly'', The American Economic Review, Vol. 77, No. 5, december 1987, pp. 927-940. [ Links ]
Laffont, Jean J. y Martimort, David (2002). ''The Theory of Incentives: the Principal-Agent Model'', Princeton University Press. [ Links ]
Miller, Gary J. (2005). ''Solutions to Principal-Agent Problems in Firms''. En Ménard y M. M. Shirley (Ed.), Handbook of New Institutional Economics, (pp. 349–370). Netherlands, Springer. [ Links ]
Sklivas, Steven (1987). ''The Strategic Choice of Managerial Incentives'', Rand Journal of Economics, Vol. 18, No. 1, otoño 1987, pp. 452-458. [ Links ]
Williamson, Oliver E. (1964). The Economics of Discretionary Behavior: Managerial Objectives in a Theory of the Firm, Tesis doctoral, Carnegie Institute of technology, Englewood Cliffs, N.J.: Prentice-Hall. [ Links ]
Notas
1 Si el lector desea conocer los desarrollos matemáticos completos de los modelos presentados en este artículo, puede solicitar la versión ampliada a las direcciones de correo electrónico sandra.miranda@javeriana.edu.co o fjacome@javeriana.edu.co.
2 Los beneficios de equilibrio de las empresas en todos los escenarios analizados están multiplicados por el factor (a – c)2; por lo tanto, para efectos de comparación, este factor se omite en la matriz porque no afecta la relación ordinal entre ellos. Este supuesto se mantendrá de aquí en adelante.
3 Todos los pagos de la matriz están multiplicados por el factor (a – c)2, por lo cual para efectos de comparación este término se omite, ya que no afecta la elección de los equilibrios de Nash.














