Services on Demand
Journal
Article
Indicators
-
Cited by SciELO -
Access statistics
Related links
-
Cited by Google -
Similars in
SciELO -
Similars in Google
Share
Lecturas de Economía
Print version ISSN 0120-2596
Lect. Econ. no.78 Medellín Jan./June 2013
ARTÍCULOS
Disposición a pagar por reducir el tiempo de viaje en Tunja, Colombia: Comparación entre estudiantes y trabajadores con un modelo Logit mixto
Willingness to pay for reducing travel time in Tunja (Colombia): A comparison between students and workers with a mixed logit model
La disposition à payer pour réduire le temps de déplacement à Tunja (Colombie): Une comparaison entre les étudiants et les travailleurs à travers un modèle logit mixte
Luis Gabriel Márquez Díaz*
* Magíster en Ingeniería con énfasis en Transporte, Universidad Pedagógica y Tecnológica de Colombia. Profesor asistente Escuela de Transporte y Vías e integrante del Grupo de Investigación y Desarrollo en Planeación y Operación del Transporte GIDPOT, Universidad Pedagógica y Tecnológica de Colombia. Dirección postal: Carretera Central del Norte, Tunja, Colombia. Dirección electrónica: Luis.marquez@uptc.edu.co.
-Introducción. -I. Revisión de la literatura. -II. Modelo econométrico. -III. Discusión de resultados. -Conclusiones. -Bibliografía
Primera versión recibida el 11 de Mayo de 2012; versión final aceptada el 25 de enero de 2013
RESUMEN
El estudio analiza la diferencia en la disposición a pagar de estudiantes y trabajadores por reducir el tiempo de viaje, en un contexto de elección de modo de transporte para la ciudad de Tunja (Colombia). Se utilizó un modelo logit mixto, calibrado con datos provenientes de una encuesta de preferencias declaradas. La especificación del modelo supuso la variación aleatoria de los coeficientes del tiempo de acceso, tiempo de espera y tiempo de viaje. Se encontró que la disposición a pagar por reducir el tiempo de viaje es de 38.14 $/min para estudiantes, siendo 23% mayor para trabajadores de menor ingreso y 73% mayor para los trabajadores de mayor ingreso. Se determinó que el valor del tiempo de espera es 1.95 veces mayor que el tiempo viaje, en tanto que el tiempo de acceso mantiene una relación de 1 a 2.57 con respecto al tiempo de viaje, la cual se considera válida únicamente para el contexto estudiado.
Palabras clave: Disposición a pagar, encuestas de preferencias declaradas, experimentos de elección discreta, modelo logit mixto.
Clasificación JEL: C59, C91, R41, R42.ABSTRACT
The difference in willingness to pay to reduce travel time between students and workers was analyzed in a context of transportation mode choice in the city of Tunja (Colombia). A mixed logit model was used to this end. The model was calibrated with data collected in a stated preference survey applied in the city. The model assumed random coefficients for access time, waiting time and travel time. With this specification, the willingness to pay to reduce travel time was valued at COP 38.14/min for students. Lower income workers exhibited a 23% increase in the value of time, while higher-income workers showed an increase of 73% compared to the assessment made for students. Finally, it was found that the ratio between the value of waiting time and the value of travel time is 1.95, while the ratio between the value of access time and the value of travel time is 2.57, which is considered valid only for this context.
Key words: Willingness to pay, stated-preference surveys, discrete choice experiments, mixed logit model.
JEL classification: C59, C91, R41, R42.RÉSUMÉ
L'article analyse la différence dans les dispositions de payer par les étudiants et les travailleurs concernant la réduction du temps de déplacement, selon le choix d'un moyen de transport dans la ville de Tunja (Colombie). Nous avons utilisé un modèle logit mixte calibré avec des données provenant d'une enquête de préférences déclarées. La spécification du modèle suppose une variation aléatoire des coefficients dans le temps d'accès, le temps d'attente et le temps de déplacement. Nous avons constaté que la disposition à payer pour réduire le temps de déplacement est, d'une part 38,14 COP/minute pour les étudiants, étant 23% plus élevé pour les travailleurs à faible revenu et, d'autre part, 73% plus élevé pour les travailleurs à revenu élevé. Nous avons déterminé que la valeur du temps d'attente est de 1,95 fois le temps de déplacement, tandis que le temps d'accès possède un ratio de 1 à 2,57 par rapport au temps de déplacement. Il est clair que ce ratio n'est valable que pour le contexte ici étudié.
Mots-clés: disposition à payer, enquêtes de préférence déclarée, test de choix discret, modèle logit mixte.
Classification JEL: C59, C91, R41, R42.
Introducción
La disposición a pagar por reducir el tiempo de viaje, expresada comúnmente como el valor del tiempo ahorrado o valor subjetivo del tiempo de viaje, desempeña un papel importante en la evaluación de los proyectos de transporte, particularmente en el análisis beneficio-costo de proyectos de infraestructura (Brown y Ryan, 2011) donde gran parte de los beneficios consisten precisamente en ahorros de tiempo (Kidokoro, 2006; Lakshmanan, Nijkamp, Rietveld y Verhoef, 2001). El valor del tiempo también es un elemento esencial en la evaluación del bienestar económico de las propuestas de tarificación del transporte (Calfee y Winston, 1998), en la comprensión de los aspectos económicos de la expansión urbana (Brueckner, 2005) y en la modelación del transporte, como un parámetro a estimar en las funciones de costo utilizadas en los algoritmos de asignación de viajes a la red (Inturri e Ignaccolo, 2011).
El análisis beneficio-costo es una técnica de evaluación económica usada como soporte a la toma de decisiones del orden operacional o de política pública de transporte, que habitualmente incluye opciones en materia de infraestructura, gestión de la demanda y cambio modal (Brown y Ryan, 2011). Esta técnica, que ha sido ampliamente usada en el análisis de proyectos de transporte en varios países (Holz-Rau y Scheiner, 2011; Vickerman, 2007; Talvitie, 2000), trata de asignar valores monetarios a todos los costos y beneficios, siendo necesario, en el caso de los proyectos de transporte, calcular la disposición a pagar por disminuir el tiempo de viaje o por mejorar cualquier otro atributo que deba ser valorado (Stevens, 2004). En este marco, la magnitud de la disposición a pagar por reducir el tiempo de viaje puede determinar si se debe invertir o no en el proyecto de transporte que se evalúa, frente a otros proyectos alternativos.
En el intento por fomentar el uso eficiente de los sistemas de transporte han sido propuestas distintas estrategias de tarificación con miras a maximizar el bienestar económico y social1, la mayoría de ellas basadas en el principio de que el usuario paga; para tal fin son evaluadas funciones de costo marginal que incluyen, generalmente, los costos de explotación y mantenimiento, los relativos al medio ambiente, los relacionados con los accidentes y los de la congestión, que son afectados principalmente por el valor del tiempo de las demoras producidas a otros usuarios, y su cuantificación e importancia depende de la disposición a pagar por reducir el tiempo de viaje. El interés por evaluar el bienestar económico de las propuestas de tarificación del transporte ha hecho que muchos economistas analicen en forma teórica y empírica la disposición a pagar por reducir el tiempo de viaje; autores como De Borger y Fosgerau (2008); Small, Winston y Yan (2005); Jiang y Morikawa (2004); Hensher (2001); Wardman (2001) y otros se han ocupado ampliamente del tema.
Aunque la expansión urbana se puede exacerbar por la pérdida de atractivo de los centros de las ciudades y por las deficiencias en la formulación e implementación de políticas de transporte (Alpkokin, 2012), los economistas urbanos han determinado que el crecimiento espacial de las ciudades es impulsado primordialmente por tres razones: el aumento demográfico de las ciudades, el mayor ingreso de los hogares y la reducción de los costos generalizados de viaje (Brueckner, 2005). Existe evidencia que relaciona las características del sistema de transporte y la expansión urbana (Handy, 2005), así que algunas estrategias empleadas para controlar este fenómeno están relacionadas con la gestión de la demanda de viajes (Habibi & Asadi, 2011), cuyo análisis emplea recurrentemente la valoración del tiempo de viaje, siendo necesaria su correcta cuantificación de manera específica en el contexto estudiado.
Además de la congestión, la coexistencia de los fenómenos de expansión de las ciudades y aumento de las tasas de motorización, produce otros efectos negativos que impulsan el reto de planificar y modelar el transporte (Santos, Behrendt & Teytelboym 2010). Analíticamente la modelación del transporte se aborda en dos etapas principales (Sheffi, 1985): primero se predice el patrón de flujos y luego se calcula una serie de indicadores cuantitativos agrupados habitualmente en cinco grandes áreas: medio ambiente, seguridad, economía, accesibilidad e integración (Shepherd et al., 2006). Aunque existen varios enfoques de modelación, el más usado es el método secuencial de los cuatro pasos (Ortúzar & Willumsen, 2011), que en la última fase se ocupa de la asignación de viajes a la red, aplicando algoritmos avanzados que requieren la valoración del tiempo de viaje para estructurar una función de costo generalizado (Patriksson, 1994).
En Colombia, grandes decisiones en proyectos de transporte público urbano se han tomado sobre la base de beneficios asociados con los ahorros de tiempo de viaje, y aun así, las estimaciones hechas del valor del tiempo ahorrado han estado cargadas de ambigüedad. En el emblemático caso de Transmilenio en Bogotá, Echeverry, Ibáñez y Moya (2005), sobre la base de un análisis beneficio costo ex post, concluyeron que el proyecto fue perjudicial para la sociedad, en la medida en que los beneficios no alcanzaron a igualar los costos; sin embargo Ardila (2005) afirmó que dicha evaluación estaba sesgada hacia el lado negativo y que fueron subestimados los beneficios, especialmente aquellos relacionados con los ahorros en el tiempo de viaje, ya que, a su criterio, ha debido utilizarse la misma disposición a pagar por reducir el tiempo de viaje, de la evaluación ex ante. Sin discutir a quién le asista la razón en este caso, se pone en evidencia la importancia de estimar correctamente la disposición a pagar por reducir el tiempo de viaje.
En ciudades intermedias colombianas, entre las que coinciden los principales municipios de Boyacá, es difícil encontrar estudios en los que se haya obtenido la disposición a pagar por reducir el tiempo de viaje. Normalmente se cuenta con estudios que cuantifican la demanda de viajes urbanos pero sus alcances no llegan propiamente a la estimación de modelos. En el caso de Tunja, si bien han sido desarrollados tres importantes estudios de transporte en los últimos 30 años, ninguno de ellos ha empleado técnicas con las que se pueda estimar el valor del tiempo de viaje (Márquez, 2011); una situación similar se presenta en las demás ciudades del departamento. No obstante, los estudios realizados han permitido conocer que la mayoría de los viajeros son estudiantes y trabajadores, específicamente en el caso de Tunja más del 85% de los viajes son efectuados por estos dos segmentos de la población (Márquez, 2011), este hecho despierta el interés por estudiar la disposición a pagar por reducir el tiempo de viaje con especial énfasis en estos dos segmentos de la población.
Ante la escasez de estudios de valoración del tiempo de viaje en Boyacá, esta investigación hace un aporte significativo en la determinación de la disposición a pagar por reducir el tiempo de viaje que, como se expuso, es un insumo primordial para analizar políticas de transporte, evaluar propuestas de tarificación, analizar el componente económico de la expansión urbana y modelar el transporte. Se plantea como hipótesis principal la existencia de una disposición positiva a pagar por reducir el tiempo de viaje, y se supone que esa disposición a pagar es diferente entre estudiantes y trabajadores. Para demostrar la hipótesis se plantea como objetivo principal estimar un modelo de elección discreta con coeficientes aleatorios (Orro, 2005; Train, 2003) usando datos provenientes de una encuesta de preferencias declaradas aplicada en la ciudad de Tunja. Con el modelo estimado se procede a medir la disposición a pagar por reducir el tiempo de viaje y por último son comparadas las estimaciones realizadas para estudiantes y trabajadores en el contexto urbano.
I. Revisión de la literatura
La evaluación monetaria de atributos con base en modelos de utilidad aleatoria ha sido desarrollada especialmente con relación a la valoración del tiempo de viaje (Wardman, 1998), y ha estado presente desde las primeras aplicaciones de modelos de elección discreta para transportes (Ben-Akiva y Lerman, 1985), aunque más recientemente se ha investigado acerca de la valoración de externalidades (Levaggi, 2010; Ortúzar y Rizzi, 2001) y de otras variables de carácter misceláneo (Cerda et al., 2010). Tradicionalmente, la derivación de estos valores se ha realizado aplicando modelos de tipo Logit Multinomial (MNL), sin embargo, el desarrollo relativamente reciente de técnicas de estimación por simulación ha facilitado el uso de modelos cada vez más complejos (Train, 2003) que permiten una mejor representación de los patrones de comportamiento de los individuos.
La valoración del tiempo de viaje depende considerablemente de la especificación del modelo (Gaudry et al., 1989); igualmente, los sesgos en las mediciones de los tiempos en cada una de las etapas del viaje (acceso/egreso, espera, trasbordo y viaje) resultan en estimaciones sesgadas de los parámetros de la función de utilidad en un MNL, induciendo además cálculos erróneos de varias tasas marginales de sustitución (Bhatta y Larsen, 2011), siendo preferible el uso de modelos de tipo Logit mixto. En cualquier caso debe tenerse en cuenta que el valor del tiempo puntual estimado es la división de dos estimadores, que son realmente variables aleatorias con cierta desviación estándar, por lo tanto su cociente no tiene una distribución conocida a priori ya que los estimadores distribuyen asintóticamente Normal (Ben-Akiva y Lerman, 1985).
La estimación de la disposición a pagar por reducir el tiempo de viaje con modelos de tipo Logit mixto se estudia ampliamente en Hensher y Greene (2003), Hess et al. (2005) y Sillano y Ortúzar (2005). En aquellas especificaciones en las que los atributos tiempo y costo hacen parte de una función lineal aditiva, la disposición a pagar por reducir el tiempo de viaje se obtiene directamente como el coeficiente del tiempo dividido por el coeficiente del costo.

Conviene aclarar que en aquellos casos en los que el costo ingresa en la función de utilidad dividido por el ingreso, la disposición a pagar debería multiplicarse por el ingreso del individuo, y la relación de parámetros representaría el valor del tiempo ahorrado como porcentaje del ingreso (Orro, 2005). En los modelos de tipo Logit mixto, dado que el valor del tiempo se especifica como una variable aleatoria, si adicionalmente se llegara a considerar el coeficiente del costo como aleatorio, la distribución del valor del tiempo pasaría a ser el cociente de dos variables aleatorias, y en consecuencia muy difícil de interpretar (Sillano y Ortúzar, 2005); mientras que si el coeficiente del costo es fijo, como lo propone Train (2003), las disponibilidades a pagar por los atributos conservarían las mismas distribuciones de sus respectivos coeficientes escaladas mediante el coeficiente del costo.
En el caso colombiano, no siempre han sido utilizadas metodologías sustentadas en formulaciones teóricas rigurosas para estimar el valor del tiempo. Por lo general se adoptan valores relacionados con el ingreso medio de la población o con el ingreso de los usuarios del sistema de transporte que se evalúa, y es notable la diversidad de valores utilizados para evaluar distintos proyectos (Universidad de Los Andes e Instituto SER, 2003). La Tabla 1 resume las valoraciones utilizadas en la evaluación de varios proyectos de transporte urbano de altísima importancia para el país.
Recientemente, en el marco de los nuevos proyectos de transporte público urbano en Colombia, denominados en forma general como Sistemas Integrados de Transporte Masivo (SITM), y apoyados oficialmente por el Programa Nacional de Transporte Urbano desde 2004, se han hecho estimaciones, con base en modelos discretos relativamente simples, de la disposición a pagar por reducir el tiempo de viaje, encontrando los valores que se presentan en la Tabla 2.
Según los estudios reseñados en la Tabla 22, se encuentra que la disposición a pagar por reducir el tiempo de viaje en el contexto urbano colombiano, oscila entre el 89,8% y el 229,4% con respecto al salario mínimo de cada año, con un promedio simple de 128,7%, equivalente a 50,64 $/min del año 2012.
II. Modelo econométrico
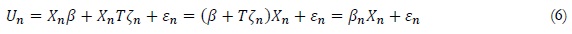
El modelo Logit mixto debe su forma actual a dos grupos de investigación que desarrollaron las dos especificaciones más habituales: por un lado, el Departamento de Economía y el Instituto de Estudios del Transporte de la Universidad de California (Berkeley), con Kenneth Train y Daniel McFadden a la cabeza, y por otro lado, el Massachussets Institute of Technology (MIT) en torno a Moshe Ben-Akiva (Orro, 2005). Las principales ventajas del modelo Logit mixto radican en que puede aproximar cualquier modelo de utilidad aleatoria (McFadden y Train, 2000) y resuelve las tres limitantes principales del MNL al permitir: variaciones aleatorias en los gustos3 (Jiang y Morikawa, 2004), patrones de sustitución sin restricciones y correlación entre los factores no observados a lo largo del tiempo (Train, 2003).
En un modelo Logit mixto, la probabilidad de elección es calculada como la probabilidad Logit integrada sobre las funciones de densidad de los parámetros (Train, 2003):

donde Lni(β)es la probabilidad evaluada para el valor β de los parámetros, así:

y f(β) es la función de densidad. Vni es la parte observada o sistemática de la utilidad, que depende del vector de parámetros β. Si la utilidad es lineal en β, entonces Vni(β) = β'xni; en este caso, la probabilidad del modelo Logit mixto toma su forma habitual, en la que además f(β) se supone normalizada, y por lo tanto µ = 1,

La ecuación (4) se puede entender como una media ponderada de la fórmula Logit evaluada con diferentes valores de los parámetros β, aplicando como ponderadores los valores de la función de densidad f(β)(Orro, 2005). Habitualmente, a la media ponderada de varias funciones se la denomina función mixta, y a la función de densidad que proporciona los ponderadores, distribución de mezcla. El modelo Logit mixto es entonces una mezcla de funciones Logit evaluadas con diferentes β's, utilizando f(β)como distribución de mezcla. Esta distribución de mezcla captura tanto la varianza como la correlación en los factores no observados; por lo tanto, el modelo MNL es un caso particular del modelo Logit mixto, donde f(β) = 1 para β = b y cero en otro caso. En la mayoría de las aplicaciones f(β) es una función continua de tipo Normal o Uniforme, aunque también podría ser discreta, lo que llevaría a los modelos de clases latentes, muy populares en psicología y mercadeo (Kamakura y Russell, 1989).
Considerando un modelo lineal en los parámetros, si f(β) es Normal con vector de medias b y matriz de covarianza W, la expresión de probabilidad será:

en la que (β\b, W) es la función de densidad normal con media b y covarianza W, y β' corresponde al vector transpuesto de β. Entonces, a partir de la maximización de la utilidad o mediante métodos alternativos son determinados los valores de b y W, que son los parámetros que definen el modelo, y que son denominados conjuntamente θ. Especificando apropiadamente, tanto las variables explicativas como la función de densidad, es posible reproducir cualquier comportamiento de maximización de la utilidad mediante un modelo Logit mixto (Train, 2003).
La mayoría de aplicaciones desarrolladas han dado lugar a la siguiente especificación de coeficientes aleatorios (Orro, 2005):

donde los coeficientes βn de cada individuo son variables aleatorias con media β y desviación típica Tζn. La estimación del modelo Logit mixto se hace por métodos de simulación, realizando muchas extracciones de la función de distribución y promediando los resultados, casi siempre empleando funciones lineales de utilidad, así:

donde los coeficientes β'n están distribuidos con densidad f(β\θ) y θ se refiere conjuntamente a los parámetros de esa distribución.
La estimación puede hacerse por el método de máxima verosimilitud simulada, que es análogo al método convencional de estimación por máxima verosimilitud, solo que en lugar de utilizar las probabilidades exactas se usan las probabilidades simuladas. La función de log-verosimilitud de una muestra de N elecciones independientes es:

donde θ es el vector de parámetros a estimar y lnPn(θ) es la probabilidad exacta de la elección observada del individuo n; entonces, el estimador máximo verosímil es el valor de θ que maximiza LL(θ). Ahora bien, si SPn(θ) es una aproximación por simulación de Pn(θ), la función de log-verosimilitud simulada será:

y el estimador por máxima verosimilitud simulada será el valor de θ que maximiza SLL(θ), por lo tanto el estimador es el valor de θ en el cual

donde,

Es importante aclarar que para disminuir los problemas potenciales del método de máxima verosimilitud simulada, relacionados con el posible sesgo de lnSPn(θ), será necesario utilizar un número suficiente de extracciones de números aleatorios en la simulación (Train, 2003). Para tal fin, el modelo Logit mixto ha sido incluido en los principales programas de cómputo comerciales, aunque también se encuentra disponible un programa gratuito para la estimación de modelos valor extremo generalizado, denominado BIOGEME (BIerlaire Optimization toolbox for GEv Model Estimation), que incorpora la posibilidad de estimar modelos Logit mixto, y es el que se utiliza en la presente investigación.
A. Diseño experimental y encuesta
Aunque el proyecto de investigación contempla otras ciudades del departamento, el estudio para comparar la disposición a pagar por reducir el tiempo de viaje entre estudiantes y trabajadores se realizó en el sector urbano de la ciudad de Tunja, capital del departamento de Boyacá, por su doble connotación de ciudad universitaria y sede del gobierno municipal y departamental, y a su vez porque la ciudad no contaba hasta el momento con valoraciones del tiempo de viaje en el ámbito urbano.
Antes de proceder con el diseño definitivo del experimento de preferencias declaradas se procesó la encuesta más reciente a hogares de la ciudad (Márquez, 2011) con el propósito de establecer las características relevantes de los individuos y los atributos que determinan la elección de modo de transporte, logrando identificar valores medios de costo de viaje, tiempo de acceso, tiempo de espera y tiempo de viaje. Con esta información se diseñó el experimento a aplicar en la prueba piloto, el cual fue sometido a consideración de 30 individuos seleccionados al azar en el centro administrativo de la ciudad y en las principales universidades.
La prueba piloto se diseñó como un juego de elección entre auto particular, transporte público y caminata; la alternativa auto se sustituyó por taxi para aquellos individuos sin acceso al vehículo particular, garantizando así que el conjunto de elección fuese mutuamente excluyente, exhaustivo y finito (Train, 2003). El experimento trató todos los atributos modales con tres niveles, obteniendo un total de 162 tratamientos, de los cuales fueron elegidos 9 con base en los criterios de diseño de Koçur et al. (1982) y cumpliendo las exigencias de ortogonalidad, balance de niveles, traslape mínimo y balance de utilidades (Zwerina et al., 2005)4. Para confirmar la eficiencia del diseño experimental propuesto se estimó preliminarmente un modelo MNL que permitió comprobar la consistencia de signos de los parámetros e incluso la significancia de algunos estimadores, a pesar de los pocos datos acopiados.
El tamaño muestral para aplicar las encuestas definitivas se calculó para cada parámetro tomando un 95% de nivel de confianza, así como los valores preliminares estimados con el modelo MNL y su error estándar asintótico (Ortúzar y Willumsen, 2011; Bliemer y Rose, 2009), evaluando la ecuación (12). En este caso el parámetro más restringido correspondió al tiempo de espera, encontrando que el tamaño muestral debería ser de 533 observaciones, es decir unos 60 individuos como mínimo ya que cada encuestado contribuye en la muestra total con una cantidad de 9 observaciones, igual al número de opciones hipotéticas contestadas; teóricamente este sería el tamaño muestral mínimo a considerar (Bliemer y Rose, 2009), sin embargo se decidió encuestar a 240 individuos en 8 sitios distintos referidos a universidades y centros de trabajo en Tunja, utilizando una técnica de muestreo sistemático5. El diseño final de la encuesta es presentado en la Tabla 3.

La encuesta aplicada permitió consolidar una base de datos conformada por 2.160 registros válidos. La población femenina quedó representada con un 52,9%, en contraste con la población masculina que contó con una presencia de 47,1%; con respecto a la ocupación de los individuos, se encontró un 51,3% de trabajadores frente a 48,8% de estudiantes; la edad promedio fue de 33 años para la muestra general, de 45 años para los trabajadores y de 22 años para los estudiantes universitarios. El gráfico 1 describe la forma como eligieron los individuos.
Frente al ingreso se obtuvo que los trabajadores devengan en promedio entre 1,5 y 2,5 salarios mínimos; la mayor participación corresponde a un nivel de ingresos entre 0,5 y 1,5 salarios mínimos, con un 20,3% del total. El gráfico 2 muestra cómo se distribuyó el ingreso para cada categoría de trabajador. Finalmente se determinó que el 65,8% de los trabajadores y el 82,9% de los estudiantes universitarios no tienen acceso al auto para la realización de sus viajes
B. Especificación y estimación
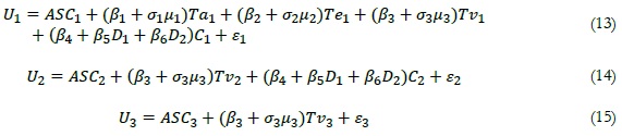
Se prefirió el uso de un modelo Logit mixto en lugar de un modelo MNL, ya que la evidencia existente indica que con este último se pueden obtener estimaciones sesgadas de los parámetros de las funciones de utilidad, induciendo, además, cálculos erróneos de varias tasas marginales de sustitución (Bhatta y Larsen, 2011). Las variables utilizadas se resumen en la Tabla 4. Las alternativas de transporte utilizadas se identificaron así: 1: Bus, 2: Auto y 3: Caminata; la especificación de las funciones de utilidad fue estrictamente lineal para cada una de las alternativas de transporte, y fueron usados coeficientes genéricos en las principales variables tal como se muestra a continuación:

Todos los µi se especificaron como Normal estándar, mientras los εi suponen una distribución en forma idéntica e independiente de Gumbel. La constante específica de la alternativa auto (ASC2) se especificó constante y se fijó en 0. La especificación de las variables mudas, multiplicando la variable costo, permite calcular la disposición a pagar por reducir el tiempo de viaje para cada uno de los segmentos de población considerados: estudiantes, trabajadores de menor ingreso (hasta 2.5 salarios) y trabajadores con mayor ingreso (más de 2.5 salarios). El proceso de estimación consideró la naturaleza de datos de panel en la matriz de información. La Tabla 5 resume los coeficientes estimados para el modelo.
III. Discusión de resultados
El conjunto de elección se conformó por los tres modos de transporte contemplados (Bus, auto y caminata), con funciones de utilidad estrictamente lineales en todos los casos. Las variables explicativas relacionadas con atributos de los modos de transporte fueron: tiempo de acceso, tiempo de espera, tiempo de viaje y costo; las tres primeras variables, referidas al tiempo en cada una de las etapas principales de un viaje, fueron tratadas como variables aleatorias que se distribuyen en forma Normal; todas las variables se introdujeron con parámetros genéricos y, además, se incluyó una constante modal para cada una de las alternativas, salvo para la constante de la alternativa auto que se tomó como referencia.
De acuerdo con el marco teórico planteado se considera correcto haber obtenido signos negativos en los coeficientes estimados para las variables referidas al tiempo y al costo, ya que, ceteris paribus, un incremento en cualquiera de estas variables para un modo de transporte determinado, lo haría menos atractivo con respecto a los demás. Como puede observarse, el costo y cada uno de los componentes del tiempo resultaron estadísticamente significativos, así mismo se encontró que la desviación estándar de las variables aleatorias dio significativa, indicando efectivamente que el supuesto de aleatoriedad, que había sido hecho para dichas variables, se cumple.
Aunque se partió del supuesto de independencia entre alternativas, es posible que algunas de ellas puedan compartir características no observadas, tales como seguridad y comodidad, entre otras, así que los componentes no observados de sus utilidades podrían estar correlacionados. Para comprobar la existencia de correlación entre alternativas fueron especificados diferentes modelos de tipo Logit jerárquico, en los que se agruparon las alternativas en diferentes nidos, pero ninguna de las estructuras de correlación analizada resultó estadísticamente significativa.
Con el fin de exteriorizar la presencia de heterogeneidad sistemática en las preferencias de los individuos, se hizo la especificación del modelo introduciendo interacciones entre el costo y el tipo de individuo, según su ocupación y categoría de ingresos. Así, fueron definidas dos variables mudas con las que se separó a trabajadores de mayor ingreso, trabajadores de menor ingreso y estudiantes, resultando estadísticamente significativas las interacciones propuestas. En cuanto a la interacción entre el costo del viaje y la condición de ser un trabajador de menor ingreso se consiguió el comportamiento esperado, ya que era de suponer que la tasa marginal de sustitución entre tiempo y costo fuese mayor para los trabajadores de mayores ingresos y lo mismo ocurrió en el caso de los estudiantes. Otras interacciones, como por ejemplo entre el costo y el sexo o la edad, no fueron evaluadas, ya que no hacían parte de la presente investigación.
La significancia estadística de los parámetros asociados a las interacciones examinadas indica que los estudiantes, los trabajadores de menor ingreso y los trabajadores de mayor ingreso conceden distinta importancia al costo cuando deciden el modo de transporte que utilizarán para viajar hasta sus lugares de estudio o trabajo. De manera más específica, el signo negativo de D1y D2 confirma que la tasa marginal de sustitución entre tiempo y costo es menor para los trabajadores de menor ingreso y un poco menor para los estudiantes; este resultado conduce a descartar el supuesto de homogeneidad de gustos, tradicionalmente considerado en los modelos MNL, y a obtener distintas valoraciones del tiempo para los individuos en función de su condición de estudiantes o de trabajadores de mayor o menor ingreso.
La evaluación de la expresión (1) permitió conocer la disposición a pagar por reducir el tiempo en cada una de las etapas del viaje. El cociente entre β3 y β4 brindó información acerca del valor del tiempo de viaje para trabajadores de mayor ingreso, mientras que al evaluar el denominador (β4 + β5) y (β4 + β6) se obtuvo la disposición a pagar por reducir el tiempo de viaje para trabajadores con menor ingreso y estudiantes, respectivamente. Cálculos equivalentes fueron realizados para determinar la disposición a pagar por reducir el tiempo de acceso y el tiempo de espera. La Tabla 6 resume los resultados obtenidos.
A partir del modelo Logit mixto estimado, se evidenció que la disposición a pagar por reducir el tiempo de viaje es mayor para los trabajadores de mayor ingreso; este resultado es consistente con el hecho de que los trabajadores de mayor ingreso tiendan a elegir menos la opción de caminar y prefieran una alternativa más rápida, pero de mayor costo, como el bus o el auto. Esta situación podría indicar también que los trabajadores de mayor ingreso tienen preferencias distintas, no solo por el tiempo y el costo, sino por atributos tales como la seguridad o la comodidad, así que la disposición a pagar por reducir el tiempo de viaje podría estar absorbiendo también parte de su disposición a pagar por viajar de forma más segura o cómoda.
La disposición a pagar por reducir el tiempo de viaje se ubicó en el rango de 102,5% a 176,9% con respecto al salario mínimo del año 2011, lo que parece razonable si se compara con el promedio que fue determinado para el contexto urbano colombiano a partir de la revisión de la literatura. El hecho de haber utilizado un modelo mixto, en lugar de un modelo MNL que impone la homogeneidad en los gustos, puede ser una ventaja con miras a la correcta estimación del valor del tiempo de viaje, ya que la evidencia empírica indica que los modelos de tipo MNL pueden infravalorar la disposición a pagar por reducir el tiempo de viaje (Amador y González, 2005). Un estudio realizado en la región, en un contexto intermunicipal, advirtió que dependiendo de la especificación del modelo, el valor subjetivo del tiempo de viaje entre Tunja y Bogotá pasaba de 100,5 $/min en un modelo Logit mixto a 78 $/min en un modelo equivalente de tipo MNL (Márquez y Jaimes, 2009); evidencia similar fue presentada por Amador y González (2005) en un contexto de viajes universitarios, encontrando una subvaloración del 30% del modelo MNL con respecto al mixto.
Para comprobar este comportamiento fue calibrado también un modelo MNL equivalente, encontrando efectivamente una infravaloración cercana al 25% con respecto al valor del tiempo de viaje estimado con el modelo Logit mixto. Si bien el comportamiento encontrado es consistente con lo ocurrido en los estudios previamente referidos, no es posible generalizarlo, ya que en otros estudios se han obtenido valoraciones menores cuando se especifican modelos Logit mixto. Una discusión al respecto es realizada por Amador y González (2005) explicando por qué en función de las variables incluidas, de la forma funcional adoptada para la función indirecta de utilidad y de la naturaleza de los datos, un modelo donde se imponen parámetros fijos pueda conducir a subestimar (o sobrestimar) los valores del tiempo.
La relación obtenida entre el valor del tiempo de espera y el valor del tiempo de viaje parece razonable, en especial si se compara su valor con los argumentos utilizados en las funciones de costo generalizado empleadas por los algoritmos de asignación a redes de transporte público (Caliper Corporation, 2008) que sugieren tomar el valor del tiempo de espera como el doble del valor del tiempo de viaje; en este caso, el haber hallado una relación de 1,95 aproxima muy bien el resultado obtenido a este criterio empírico.
En cambio, la razón entre el valor del tiempo de acceso y el valor del tiempo de viaje da como resultado una magnitud que parece muy elevada; no obstante, el resultado parece consistente para las condiciones imperantes en la ciudad estudiada, donde la cobertura del sistema de transporte público garantiza una alta accesibilidad y los vehículos de transporte público se detienen en cualquier lugar de la vía para recoger o dejar pasajeros, manteniendo una cultura de cortas caminatas de acceso, situación que pudiera influenciar a los individuos a penalizar drásticamente el tiempo de acceso. Estas mismas condiciones de operación del sistema impidieron incluir en el experimento el tiempo de transbordo, ya que en la ciudad de Tunja la acción de transbordar de un vehículo a otro es poco frecuente.
Conclusiones
En este trabajo ha sido calibrado un modelo Logit mixto de elección de modo de transporte, para comparar la disposición a pagar por reducir el tiempo de viaje entre estudiantes y trabajadores de la ciudad de Tunja, Colombia. El modelo permitió comprobar que existe una disposición a pagar positiva por reducir el tiempo, y que dicha disposición a pagar es diferente entre estudiantes, trabajadores de menor ingreso y trabajadores de mayor ingreso.
La evidencia empírica aportada en este trabajo sugiere que, tomando como base la disposición a pagar por reducir el tiempo de viaje del segmento de población estudiantil, estimada en 38,14 $/min, los trabajadores con menor ingreso hacen una valoración 23% mayor, mientras que la valoración para el caso de los trabajadores con mayor ingreso es 73% más grande. Así mismo, se concluye que para el contexto urbano estudiado, el valor del tiempo de espera es 1,95 veces mayor que el tiempo viaje, en tanto que el tiempo de acceso mantiene una relación de 1 a 2,57, la cual se considera válida únicamente para el contexto estudiado; en todo caso, dada la especificación utilizada en el modelo, las relaciones obtenidas son válidas para los tres segmentos de población estudiados.
La disposición a pagar por reducir el tiempo de viaje obtenida con un modelo MNL equivalente, resultó ser 25% inferior a la que se derivó del modelo Logit mixto, coincidiendo con los resultados de otros estudios. Este patrón de comportamiento empírico y reiterativo, en el que frecuentemente las estimaciones de la disposición a pagar por reducir el tiempo de viaje resultan ser menores al usar modelos MNL, despierta el interés por investigar el tema, ya que reducir la incertidumbre con respecto a la valoración del tiempo de viaje en las ciudades ayudaría a mejorar el análisis de políticas de transporte, propuestas de tarificación, modelación del transporte y análisis económico de la expansión urbana.
NOTAS
1 Bajo el principio de eficiencia económica, a través de la maximización del bienestar social, el precio que pagan los usuarios de una infraestructura debe ser igual al costo marginal que ocasionan. La particularidad que presenta el sector transporte respecto a otros mercados es que el tiempo lo aporta el propio usuario, entonces el costo social total por el uso de la infraestructura puede expresarse como la suma de los costos en los que incurre el productor, los costos en los que incurre el usuario y los costos impuestos fuera del sector transporte.2 En el estudio referido fueron utilizados los siguientes niveles de ingreso: nivel bajo: menos de $ 772.500, nivel medio: entre $ 772.500 y $ 1.545.000, y nivel alto: más de $ 1.545.000.
3 Se entiende que los gustos de las personas son diferentes y responden a su propia escala de valoraciones y preferencias; sin embargo, es posible que las personas que comparten algunos atributos socioeconómicos tengan preferencias más próximas entre sí; lo mismo puede ocurrir si las características del viaje son similares. Dentro de las características del viaje puede ocurrir también que la valoración de un atributo dependa del nivel de este, de modo que, por ejemplo, se dé mayor importancia a un ahorro de un minuto en un viaje de diez minutos que en uno de dos horas.
4 Se puede decir que el diseño es ortogonal cuando cada atributo varía independientemente de los demás, el balance de niveles se satisface cuando el nivel de cada atributo aparece en igual proporción a los demás, mientras que el principio de traslape mínimo se cumple cuando cada escenario tiene niveles no traslapados de cada atributo. Con respecto al último principio, el balance de utilidades se consigue cuando la utilidad de las alternativas de cada conjunto es la misma.
5 Este tipo de muestreo presenta ciertas ventajas sobre el muestreo aleatorio simple, tales como: facilidad y rapidez en la obtención de la muestra, ninguna sucesión grande de elementos de la lista queda sin representación y por tal razón el muestreo sistemático suele ser más representativo que el muestreo aleatorio simple. En la práctica es más sencillo llevarlo a cabo y por lo tanto está menos expuesto a los errores de selección que cometen los encuestadores de campo y, finalmente, se puede poner en práctica sin conocer de antemano el tamaño de la población.
REFERENCIAS
Alpkokin, Pelin (2012). ''Historical and critical review of spatial and transport planning in the Netherlands'', Land Use Policy, Vol. 29, Issue 3, July 2012, pp. 536-547. [ Links ]
Amador, Francisco Javier y González, Rosa Marina (2005). ''El valor subjetivo del tiempo de viaje de los estudiantes universitarios cuando las preferencias son heterogéneas'', Revista de Economía Pública, No. 174, Vol. 3, 2005, pp. 25-41. [ Links ]
Ardila, Arturo (2005). ''Cinco cuestionamientos y una recomendación a los autores del artículo Una evaluación económica del sistema Transmilenio'', Revista de Ingeniería Universidad de Los Andes, No. 22, Noviembre 2005, pp. 152-162. [ Links ]
Bhatta, Bharat P. & Larsen, Odd I. (2011). ''Errors in variables in multinomial choice modeling: A simulation study applied to a multinomial logit model of travel mode choice'', Transport Policy, Vol. 18, Issue 2, March 2011, pp. 326-335. [ Links ]
Ben-Akiva, Moshe & Lerman, Steven R. (1985). Discrete Choice Analysis. Theory and Application to Travel Demand, Cambridge, Massachusetts, The MIT Press. [ Links ]
Bliemer, Michiel & Rose, John M (2009). ''Efficiency and sample size requirements for stated choice experiments'', 88th Annual TRB Meeting, Transportation Research Board, Washington, DC, January 2009, pp. 11. [ Links ]
Brown, David & Ryan, Lisa (2011). ''Comparative analysis of evaluation techniques for transport policies'', Environmental Impact Assessment Review, Vol. 31, issue 3, April 2011, pp. 226-233. [ Links ]
Brueckner, Jan (2005). ''Transport subsidies, system choice and urban sprawl'', Regional Science and Urban Economics, Vol. 35, issue 6, November 2005, pp. 715-733. [ Links ]
Calfee, John & Winston, Clifford (1998). ''The value of automobile travel time: Implications for congestion policy'', Journal of Public Economics, Vol. 69, 1998, pp. 83-102. [ Links ]
Caliper Corporation (2008). Travel Demand Modeling with TransCAD 5.0, USA, Caliper Corporation. [ Links ]
Cerda, Arcadio; García, Leidy; Bahamondez, Alejandra y Poblete, Viviana (2010). ''Disposición a pagar para mejorar la calidad del aire en Talca, Chile: comparación entre usuarios y no usuarios de chimeneas a leña'', Lecturas de Economía, No. 72, enero-junio 2010, pp. 195-211. [ Links ]
De Borger, Bruno & Fosgerau, Mogens (2008). ''The trade-off between money and travel time: A test of the theory of reference-dependent preferences'', Journal of Urban Economics, Vol. 64, 2008, pp. 101-115. [ Links ]
Echeverri, Juan Carlos; Ibáñez, Ana María y Moya, Andrés (2005). ''Una evaluación económica del Sistema Transmilenio'', Revista de Ingeniería Universidad de Los Andes, No. 21, Mayo 2005, pp. 68-77. [ Links ]
Gaudry, Marc. J. ; Jara-Díaz, Sergio R. & Ortúzar, Juan de Dios (1989). ''Value of time sensitivity to model specification'', Transportation Research Part B, Vol. 23, Issue 2, April 1989, pp. 151-158. [ Links ]
Habibi, Sara. & Asadi, Naser (2011). ''Causes, Results and Methods of Controlling Urban Sprawl'', Procedia Engineering, Vol. 21, 2011, pp. 133-141. [ Links ]
Handy, Susan (2005). ''Smart growth and the transportation-land use connection: What does the research tell us?'', International Regional Science Review, Vol. 28, No. 2, 2005, pp. 146-167. [ Links ]
Hensher, David A. & Greene, William H. (2003). ''The Mixed Logit model: The state of practice'', Transportation, Volume 30, No. 2,, 2003, pp. 133-176. [ Links ]
Hess, Stephane; Bierlaire, Michel & Polak, John W. (2005). ''Estimation of value-of-time using Mixed Logit models'', Transportation Research Part A: Policy and Practice, Vol. 39, Issues 2-3, February-March 2005, pp. 221-236. [ Links ]
Holz-Rau, Christian & Scheiner, Joachim (2011). ''Safety and travel time in cost-benefit analysis: A sensitivity analysis for North Rhine-Westphalia'', Transport Policy, Vol. 18, 2011, pp. 336-346. [ Links ]
Inturri, Giuseppe & Ignaccolo, Matteo (2011). ''Modelling the impact of alternative pricing policies on an urban multimodal traffic corridor'', Transport Policy, Vol. 18, issue 6, November 2011, pp. 777-785. [ Links ]
Jiang, Meilan & Morikawa, Takayuki (2004). ''Theoretical analysis on the variation of value of travel time savings'', Transportation Research Part A: Policy and Practice, Vol. 38, issue 8, October 2004, pp. 551-571. [ Links ]
Kamakura, Wagner A. & Russell, Gary J. (1989). ''A probabilistic choice model for market segmentation and elasticity structure'', Journal of Marketing Research, Vol. 26, 1989, pp. 379-390. [ Links ]
Kidokoro, Yukihiro (2006). ''Benefit estimation of transport projects - A representative consumer approach'', Transportation Research Part B: Methodological Vol. 40, Issue 7 2006, pp. 521-542. [ Links ]
Koçur, George; Adler, Thomas; Hyman, William & Audet, E. (1982). Guide to forecasting travel demand with direct utility measurement, UMTA, Washington D. C., USA Department of Transportation. [ Links ]
Lakshmanan, T.R.; Nijkamp, Peter; Rietveld, Piet & Verhoef, Erik Teodoor (2001). ''Benefits and costs of transport Classification, methodologies and policies'', Papers in Regional Science, Vol. 80, Issue 2, April 2001, pp. 139-164. [ Links ]
Levaggi, Rosella (2010). ''From local to global public goods: How should externalities be represented?'', Economic Modelling, Vol. 27, Issue 5, September 2010, pp. 1040-1042. [ Links ]
Márquez, Luis (2011). ''La movilidad en Tunja: una mirada al último tercio del siglo XX''. En: Llanos, Julián Andrés. (Ed.), Miradas urbanas de Tunja en el siglo XX: aproximaciones a la ciudad intermedia (pp. 44-72). Tunja, Colombia: Universidad de Boyacá [ Links ].
Márquez, Luis y Jaimes, Henry (2009). ''Modelo de demanda para un tren de pasajeros entre Tunja y Bogotá'', Revista de Ingeniería Universidad de Los Andes, No. 30, Noviembre de 2009, pp. 16-24. [ Links ]
McFadden, Daniel & Train, Kenneth (2000). ''Mixed MNL Models for discrete response'', Journal of Applied Econometrics, No. 15, 2000, pp. 447-470. [ Links ]
Orro, Alfonso (2005). Modelos de elección discreta en transportes con coeficientes aleatorios. Tesis doctoral, Programa de Doctorado: Ingeniería Civil, Escuela Técnica Superior de Ingenieros de Caminos, Canales y Puertos, Universidad de A Coruña, España, 2005. [ Links ]
Ortúzar, Juan de Dios & Rizzi, Luis Ignacio (2001). ''Valuation of Road Fatalities: A Stated Preference Approach''. En: Hensher, David (Ed.), Travel Behaviour Research: The Leading Edge (pp. 825-839), Pergamon, Oxford. [ Links ]
Ortúzar, Juan de Dios & Willumsen, Luis G. (2011). Modelling Transport, 4th edition, Chichester, United Kingdom, Jhon Wiley & Sons Ltd. [ Links ]
Patriksson, Michael (1994). The traffic assignment problem: models and methods, Linköping, Sweden, Linköping Institute of Technology. [ Links ]
Santos, Georigina; Behrendt, Hannah & Teytelboym, Alexander (2010). ''Part II: Policy instruments for sustainable road transport'', Research in Transportation Economics, Vol. 28, Issue 1, 2010, pp. 46-91. [ Links ]
Sheffi, Yosef (1985). Urban Transportation Networks: Equilibrium analysis with mathematical programming methods, New Yersey, Prentice-Hall Inc. [ Links ]
Shepherd, Simon; Timms, Paul & May, Anthony. (2006). ''Modelling requirements for local transport plans: An assessment of English experience'', Transport Policy, Vol. 13, Issue 4, July 2006, pp. 307-317. [ Links ]
Sillano, Mauricio & Ortúzar, Juan de Dios (2005). ''Willingness-to-pay estimation with mixed logit models: some new evidence'', Environment and Planning, A Vol. 37, Issue 3, 2005, pp. 525-550. [ Links ]
Small, Kenneth; Winston, Clifford & Yan, Jia (2005). ''Uncovering the distribution of motorists' preferences for travel time and reliability'', Econometrica 73, Issue 4, 2005, pp. 1367-1382. [ Links ]
Stevens, Alan (2004). ''The application and limitations of Cost-Benefit Assessment (CBA) for intelligent transport systems'', Research in Transportation Economics, Vol. 8, 2004, pp. 91-111. [ Links ]
Talviti, Aseliike (2000). ''Evaluation of road projects and programs in developing countries'', Transport Policy, Vol. 7, Issue 1, January 2000, pp. 61-72. [ Links ]
Train, Kenneth (2003). Discrete Choice Methods with Simulation, United Kingdom, Cambridge University Press. [ Links ]
Universidad de Los Andes e Instituto Ser (2003). Asesoría para formular una política para desarrollar la evaluación económica de proyectos de transporte urbano de pasajeros en Colombia, Bogotá, Departamento Nacional de Planeación. [ Links ]
Vickerman, Roger (2007). ''Cost-benefit analysis and large-scale infrastructure projects: state of the art and challenges'', Environment and Planning Part B, Vol, 34, Issue 4, 2007, pp. 598-610. [ Links ]
Wardman, Mark (2001). ''A review of British evidence on time and service quality valuations'', Transportation Research Part E: Logistics and Transportation Review, Vol. 37, Issues 2-3, April-July 2001, pp. 107-128. [ Links ]
Wardman, Mark (1998). ''The Value of Travel Time: A Review of British Evidence'', Journal of Transport Economics and Policy, No. 32, 1998, pp. 285-316. [ Links ]
Zwerina, Klaus; Huber, Joel & Kuhfeld, Warren F. (2005) ''MR-2010E - A General Method for Constructing Efficient Choice Designs'', SAS Institute Inc., 2005, disponible en: http://support.sas.com/techsup/technote/mr2010e.pdf (Marzo de 2010). [ Links ]
















