Introducción y revisión de literatura
Tal como lo definen Bernanke y Gertler (1995), el canal del crédito bancario se puede entender como un conjunto de factores que pueden amplificar y propagar los efectos del canal tradicional de las tasas de interés, con el fin de explicar la magnitud, sincronización y composición de la respuesta de la economía ante choques monetarios. Los autores plantean que el canal del crédito aporta a la comprensión de la “caja negra” de la transmisión de la política monetaria, puesto que la perspectiva, a través de las tasas de interés de corto plazo y su efecto sobre el costo de capital, es incompleta.
El canal del crédito bancario se basa en las fricciones existentes en los mercados financieros, los cuales crean un diferencial entre los costos de financiación externa y el costo de oportunidad de la financiación interna. Dicha diferencia, conocida como prima de financiación externa, refleja los costos asociados al problema de agente-principal (monitoreo, evaluación y recolección), que se derivan de la asimetría de la información y del riesgo moral (Bernanke & Gertler, 1995). Dado que la política monetaria no solo afecta el nivel general de las tasas de interés, sino también la prima de financiación externa, se han propuesto varios mecanismos que explican el vínculo existente entre la política monetaria y la prima de financiación externa, entre ellos, el canal del crédito bancario.
De acuerdo con Kishan y Opiela (2000), el mecanismo a través del cual dicho canal opera es el siguiente: una política monetaria contractiva puede disminuir los depósitos a la vista destinados a la cartera de los bancos (gran fuente de financiación de los créditos bancarios). Si varios bancos no pueden mantener el mismo nivel de préstamos por medio de fondos alternativos, la política habrá disminuido la oferta de créditos, lo cual consecuentemente perjudica a aquellos prestatarios banco-dependientes, quienes deberán financiarse recurriendo a otros medios posiblemente más costosos que los préstamos bancarios, aumentando así la prima de financiación externa. De esta manera, los planes de inversión de las empresas y los planes de consumo de los individuos se ven reducidos, llevando así a una caída de la actividad real.
Para estudiar el canal del crédito bancario se han utilizado ampliamente en la literatura dos enfoques. El primero es el más utilizado y está asociado directamente a los bancos. Este analiza cómo la oferta crediticia es afectada tras una política monetaria, teniendo en cuenta las características financieras de los bancos. El segundo enfoque estudia cómo varía la deuda no bancaria dentro de las obligaciones de las empresas no financieras después de suceder una política monetaria, teniendo también en cuenta ciertas características de las empresas.
Dadas las implicaciones que puede tener el canal del crédito bancario sobre las variables macroeconómicas, se ha generado una amplia literatura en diversas regiones del mundo. Utilizando el primer enfoque, pero con distintas técnicas econométricas, se ha encontrado que en las últimas tres décadas el canal del crédito bancario ha operado en Estados Unidos (Breitenlechner et al., 2016; Gibson, 1997; Kishan & Opiela, 2000). Asimismo, desde el enfoque de las empresas, Kashyap et al. (1993) y Holguín y Uribe (2019) encuentran que, tras políticas monetarias contractivas, las empresas empiezan a acudir menos a la deuda bancaria, mientras que otros tipos de financiación comienzan a ser empleados por las empresas.
De igual manera, en países europeos pertenecientes a la Unión Económica y Monetaria o solo a la Unión Europea, se ha encontrado que el canal de crédito bancario está presente. Sin embargo, los trabajos difieren en la identificación de qué características bancarias incorporar dentro del análisis. Algunos trabajos destacan el riesgo bancario o el poder de mercado como factor relevante (Altunbaş et al., 2002; Leroy, 2014), mientras que otros resaltan el tamaño, la liquidez y la capitalización de los bancos como determinantes de la transmisión de la política monetaria (Dajcman, 2016; Heryán & Tzeremes, 2017; Matousek & Sarantis, 2009).
En países pertenecientes a la Asociación de Naciones del Sudeste Asiático también se han utilizado diversas características bancarias. Lerskullawat (2016) encuentra resultados robustos mostrando que el desarrollo del sector bancario afecta el impacto de la política monetaria a través del canal del crédito bancario. Para el mismo conjunto de países también se encuentra que el poder de mercado es una característica relevante en dicho canal (Khan et al., 2016).
En países en desarrollo el canal del crédito bancario tiende a ser más relevante (Sanfilippo-Azofra et al., 2018). Esto ha motivado a realizar diversos estudios en estos países, por ejemplo, Sanfilippo-Azofra et al. (2018) encuentran para 61 países en desarrollo (entre ellos Colombia) que la operatividad del canal del crédito bancario depende del desarrollo del sistema financiero y, en menor medida, de otras características bancarias (liquidez, tamaño y capitalización).
Así como en el anterior estudio, múltiples trabajos, hechos particularmente para el caso colombiano, evidencian la existencia del canal del crédito bancario (Gomez-Gonzalez et al., 2016; Gómez & Grosz, 2006; Huertas et al., 2005; Restrepo & Restrepo, 2007; Tenjo et al., 2012). Varios de estos trabajos obtienen resultados a favor de la relevancia que tienen el tamaño, la liquidez y la capitalización de los bancos; de igual modo, Gómez y Morales (2009), usando el enfoque de las empresas, encuentran evidencia a favor de la existencia de dicho canal y de la importancia de la solvencia, el apalancamiento y el tamaño de las empresas.
No obstante, ninguno de los estudios previos considera la crisis mundial financiera del 2007. Múltiples trabajos han mostrado a nivel internacional que el canal del crédito bancario ha cambiado a partir de dicha crisis (Heryán & Tzeremes, 2017; Salachas et al., 2017)1. Por este motivo, y dada la relevancia de este canal sobre las variables macroeconómicas, el objetivo y principal contribución del presente trabajo es analizar si en Colombia la crisis financiera mundial de 2007 tuvo consecuencias sobre la transmisión de la política monetaria a través del canal del crédito bancario. La segunda contribución, para el caso de una economía en desarrollo, es la realización de este análisis mediante el uso de los enfoques de las Firmas y de los Bancos; para ello se incorporarán dentro del análisis las características bancarias y de las firmas que se utilizan comúnmente en la literatura. Adicionalmente, se emplearán diversas metodologías econométricas, como la de Salachas et al. (2017), para obtener resultados robustos.
Este trabajo analizará el periodo 1995-2015 y, del mismo modo, hará análisis independientes para los periodos pre y poscrisis. En términos generales, los resultados obtenidos indican que para el periodo precrisis, el canal del crédito bancario estuvo presente en la economía colombiana y que tuvo un efecto heterogéneo que dependió de las características financieras de los bancos y de las firmas. No obstante, para el periodo poscrisis, los resultados muestran que el canal del crédito bancario deja de operar en la economía, evidenciando así que la crisis mundial financiera ha alterado dicho canal.
El trabajo está organizado como sigue: en la sección I se encuentran los dos enfoques teóricos usados en este estudio para abordar dicho canal; la explicación de las metodologías utilizadas para contrastar las hipótesis de partida están en la sección II; en la sección III, se presentan las estimaciones y los resultados empíricos; y en la última sección se dan a conocer las conclusiones.
I. Marco teórico
Debido a que los mercados de crédito son imperfectos (problemas de información asimétrica, riesgo moral y costos de monitoreo), se crea un diferencial entre los costos de financiación externa (a través de terceros) y el costo de oportunidad de financiación interna (por medio de títulos financieros, por ejemplo). Dicha diferencia es la prima de financiación externa y refleja los costos asociados al problema de agente-principal que existen entre los prestatarios y los prestamistas.
La prima de financiación externa se convierte en el centro del canal del crédito, ya que, de acuerdo con Bernanke y Gertler (1995), la política monetaria afecta no solamente los niveles de las tasas de interés de mercado, sino también el tamaño de la prima, cambiando las decisiones de inversión y consumo. Dado esto, diversos mecanismos han surgido dentro del canal del crédito para explicar el vínculo entre la política monetaria y la prima de financiación externa; entre ellos, el canal del crédito bancario.
Kishan y Opiela (2000) explican este subcanal de la siguiente manera: una política monetaria contractiva puede disminuir los depósitos a la vista de los bancos debido al aumento de los requerimientos de reserva2 y a la menor cantidad de dinero en la economía. Si algunos bancos no tienen la capacidad de financiarse mediante fondos alternativos para continuar prestando, la política habrá disminuido la oferta de créditos, afectando a aquellos prestatarios banco-dependientes como empresas pequeñas y medianas. Estas empresas deberán buscar otras fuentes de financiación, posiblemente más costosas que los bancos, aumentando así la prima de financiación externa. De esta manera, los planes de inversión y de consumo se ven reducidos llevando a una caída de la actividad real.
Para el canal del crédito bancario se han propuesto diversos modelos, entre los cuales se encuentran Kishan y Opiela (2000) y Kashyap et al. (1993). Con el fin de identificar el comportamiento de la oferta de crédito se plantean dos enfoques: el primero propone analizar directamente los cambios de la oferta de préstamos bancarios seguidos de una política monetaria, teniendo en cuenta las diferencias transversales en el sector bancario; el segundo analiza cómo varía la proporción de los commercial papers (sustituto de la deuda bancaria) dentro de las obligaciones de las empresas no financieras después de un choque monetario.
A. Perspectiva desde los Bancos
Para mostrar cómo la política monetaria tiene efectos heterogéneos entre los bancos, Kishan y Opiela (2000) parten de un modelo con un banco representativo que enfrenta dos curvas de demanda: de préstamos y de depósitos a plazo, las cuales dependen del nivel de capital y del tamaño de activos. Se asume que el banco representativo posee tres tipos de activos: reservas requeridas (RR), títulos (SEC) y préstamos (LN). A su vez, posee tres tipos de pasivos: depósitos a la vista (DD), grandes depósitos a plazo (TD) y, por último, el capital (K). Así, la ecuación contable queda expresada como:
Se asume por simplicidad que el banco no presenta excesos de reserva, por lo que RR = ωDD, donde ω ∈ [0,1] y es determinado por el banco central. Se asume que DD tiene una relación inversa con la tasa de interés.
Como el mercado bancario es imperfecto, cada banco tiene poder de mercado en el sector de los depósitos a plazo (TD), y por tanto puede incrementar la captación de depósitos aumentando su tasa de interés
por encima de la tasa de mercado
. Asimismo, los bancos pueden aumentar los préstamos bajando sus tasas (rLN ) por debajo de la tasa media de mercado
. Por otro lado, los bancos mantienen títulos para amortiguar los choques de liquidez.
Se asume que las tasas promedio de mercado de los depósitos a plazo TD y de los préstamos LN están directamente relacionadas con la tasa de referencia (r BR ) con un diferencial constante:
De esta manera, se asume que los bancos maximizan sus beneficios (π) respecto a r BR .
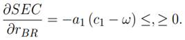
donde ΦLN representa la cartera morosa de los bancos y r DD corresponde a la tasa de los depósitos a la vista. El resto de la ecuación (9) representa para el banco los ingresos y egresos por intereses. Posteriormente, se obtienen las condiciones de primer orden (CPO) para LN, TD y SEC. Las hipótesis serían que, bajo mercados imperfectos, los bancos más pequeños son incapaces de aumentar sus depósitos a plazo y, los efectos de la política sobre los préstamos serían más fuertes. Estas hipótesis pueden derivarse de las CPO:
Con base en las ecuaciones (10), (11) y (12), se pueden deducir algunas implicaciones. Asumiendo que c 1 < 1, el modelo puede predecir que ante un aumento en la tasa de referencia se esperaría que los préstamos disminuyeran, aumentaran los grandes depósitos a plazo y se presente un efecto ambiguo respecto a los títulos (depende de los valores de los parámetros). La ecuación (12) tendrá un signo negativo para aquellos bancos con mejor capitalización, los cuales, ante una política monetaria contractiva, pueden vender títulos para poder mantener el nivel de créditos inalterado.
Se asume que b 1 y d 1 (sensibilidad a las tasas de interés de TD y LN) están relacionadas al tamaño (medido en activos) del banco y al nivel de capitalización. Se esperaría entonces que los bancos más grandes y mejor capitalizados fueran capaces en menos tiempo de recaudar fondos mediante los depósitos a plazo. Asimismo, dado que los bancos más grandes tienen mayores relaciones (y por tanto mayores préstamos) con las grandes firmas, y estas, a su vez, tienen más fuentes alternas de financiación (bonos, CDT, etc.), se plantea, a manera de hipótesis, que la demanda de préstamos de las grandes empresas es más elástica con respecto a la tasa de interés de LN, comparado con las firmas pequeñas. De este modo, se pueden expresar b 1 y d1 de la siguiente manera:
Luego, sustituyendo (13) y (14) en (10) y (11), y posteriormente derivando respecto al tamaño de los bancos (A) y al nivel de capitalización (K), se obtiene:
De la ecuación (15) se puede inferir que el efecto neto del tamaño del banco sobre la sensibilidad de TD y LN, debido a cambios en la política, es indeterminado. Esto ocurre ya que los bancos grandes pueden fácilmente compensar la reducción de depósitos a la vista (ocasionada por una política contractiva) puesto que tienen la capacidad de obtener fondos mediante fuentes alternativas (TD) para mantener su nivel de préstamos. Sin embargo, a medida que aumentan las tasas de interés, las grandes empresas, que son más sensibles a cambios en las tasas, dejarán de solicitar préstamos, disminuyendo por tanto la demanda de estos. De esta manera, el signo de la ecuación (15) dependerá de la magnitud de ambas fuerzas.
Por otro lado, el efecto del capital sobre la sensibilidad de los depósitos a plazo (o demanda de préstamos) ante cambios en la tasa de referencia es positivo. Esto implica que bancos mejor capitalizados serán menos sensibles a cambios en la postura de política monetaria; es decir, el nivel de préstamos de estos bancos se verá menos afectado, en comparación con los bancos menos capitalizados. Asimismo, los bancos con mejor nivel de capitalización podrán ajustar más fácilmente los depósitos a la vista ante choques de política.
El planteamiento teórico presentado anteriormente revela la importancia que tienen el tamaño y el nivel de capitalización de los bancos sobre el efecto que puede tener la política monetaria a través del nivel de crédito de las instituciones financieras.
B. Perspectiva desde las Firmas
Por otro lado, se puede evidenciar el canal del crédito bancario, de manera indirecta, realizando un análisis de las hojas de balance de las firmas. Para este propósito Kashyap et al. (1993) basan su análisis en el estudio simultáneo del comportamiento de los commercial papers y de los préstamos bancarios. Con esta estrategia los autores evitan llegar a conclusiones erradas, pues si se analizara solamente los préstamos bancarios como un agregado, no se podría distinguir si una reducción de estos es debido a una contracción de la demanda agregada o si, por el contrario, se debe a una contracción de la oferta de créditos por parte de las instituciones bancarias. La intuición subyacente es igual a como se explicó en la sección anterior, solo que la identificación del canal cambia; es decir, bajo la presencia del canal del crédito bancario, una política monetaria contractiva reduciría la oferta de créditos, generando así un aumento de la demanda por fuentes de financiación no bancarias por parte de las empresas (Bernanke & Blinder, 1988; Kashyap et al., 1993). Las empresas en respuesta a la reducción de la oferta de crédito buscan otros medios de financiación; se identifica así que la disminución de la oferta de crédito se debe principalmente al sector bancario.
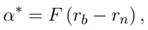
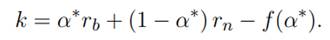
El modelo propuesto es el siguiente: las firmas invierten (I) y pueden escoger entre dos fuentes de financiación: una fracción α proviene de los préstamos bancarios a una tasa de interés r b ; el resto de la financiación (1−α) proviene de otras fuentes no bancarias (commercial papers, acciones, etc.3) a una tasa r n . Se asume que los mercados se vacían a través de los precios y que existe una relación benéfica (R) para las firmas, que depende de la cantidad total que los bancos les prestan:
donde f(α) es una función cóncava y creciente. La relación benéfica se debe teóricamente a que los bancos reducen los costos asociados a la información asimétrica entre ellos y sus prestatarios, y a su vez reducen los problemas de selección adversa que enfrentan las firmas al momento de buscar fondos en los mercados de bonos debido a la falta de credibilidad en ellas.
De acuerdo con los supuestos mencionados, la combinación óptima de financiación de la firma, denotada como α ∗, está dada por:
donde F (·) = f ′−1(·) es una función decreciente. La ecuación (18) establece que cualquier choque monetario que perturbe los costos relativos de la deuda bancaria y no bancaria, se verá reflejado sobre la combinación óptima de capital de las firmas.
Dada la elección óptima de estructura de capital de las firmas, el costo de capital neto (k) es:
La ecuación (19) muestra que el costo de capital neto es un promedio ponderado entre las tasas de interés de cada fuente de financiación, menos los beneficios que se obtienen a raíz de la deuda bancaria. La demanda de inversión depende de k y del producto agregado (Y ):
Las tasas de interés de la deuda bancaria y no bancaria son determinadas por la política monetaria. Se asume que los bancos se financian totalmente con depósitos a la vista, y solo retienen efectivo para satisfacer los requerimientos de reservas. Así, la cantidad de dinero (M) es suficiente para determinar la postura de la política monetaria. El dinero afecta la tasa de interés de las fuentes no bancarias a través de la relación convencional de la curva LM.
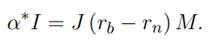
Los bancos buscan mantener una fracción de sus activos en préstamos, lo que depende del diferencial entre la tasa de interés bancaria y la no bancaria. La oferta de préstamos (L s ) está dada por
donde J(·) es una función creciente. La oferta de crédito depende de M debido a que los bancos pueden rebalancear su portafolio de activos de acuerdo con la postura de la política monetaria, y se asume que los bancos son inflexibles con respecto a la estructura de sus pasivos. Igualando la oferta y la demanda de créditos, se obtiene:
Las ecuaciones (18) a la (21) y la (23) determinan las seis variables endógenas Y, I, k, r b , r n y α ∗, en términos de la variable exógena M. Además, se deben cumplir dos condiciones para que la política monetaria tenga efecto sobre la demanda agregada a través del canal del crédito bancario:
Los préstamos y las otras fuentes de financiamiento empresarial, como commercial papers o acciones, deben ser sustitutos imperfectos dentro de los activos bancarios. Es decir, los bancos no deben reaccionar ante una política monetaria compensando la tenencia de activos de financiamiento empresarial sin cambiar la oferta de crédito.
Los préstamos y las otras fuentes de financiamiento empresarial deben ser sustitutos imperfectos dentro de las obligaciones de las firmas. Eso quiere decir que las empresas no deben ser capaces de compensar, sin costo alguno, una reducción en la oferta de créditos adquiriendo otro tipo de deuda.
Para probar la primera condición, se analiza cómo responden el volumen de la deuda no bancaria y la razón de los préstamos respecto a la financiación total, ante impulsos de la política monetaria.
De acuerdo con la ecuación (26), la combinación óptima de capital puede responder a choques monetarios solo si la condición (i) se cumple. En caso de que las dos fuentes de financiación sean sustitutos perfectos dentro de los activos bancarios, las tasas de interés correspondientes se igualarán, y α ∗ no será sensible a cambios en la política monetaria. La ecuación (24), por su parte, esclarece que, incluso, si hay sustitución perfecta (dα ∗/dM = 0), los préstamos estarán correlacionados positivamente con el dinero debido a su correlación positiva con el nivel de inversión.
La postura de las autoridades monetarias tiene efectos opuestos sobre la deuda no bancaria (ecuación (25)). El primero lleva a que la inversión caiga y por tanto ambos tipos de financiación disminuyan. El otro efecto lleva a una sustitución de los préstamos bancarios por otro tipo de financiación. El primer efecto,
sería consecuencia del canal tradicional de las tasas de interés, mientras el segundo correspondería al canal del crédito bancario
. Así, el único modo de que el efecto de M sea negativo sobre la financiación no bancaria, es que el efecto sobre α
∗ sea mayor que el efecto sobre la inversión y el producto. Si el efecto global es negativo, estaría reflejando que ante una política monetaria contractiva la deuda no bancaria se incrementaría dada la reducción de la oferta de créditos. Esto se debe a que el efecto de la política monetaria, vía demanda agregada, es menor que el efecto de sustitución entre los tipos de financiación.
II. Metodología
Los cambios en el canal del crédito bancario en la economía colombiana, producto de la crisis financiera mundial y objetivo de este trabajo, se analizan tomando los siguientes periodos: en el modelo de Bancos, los periodos trimestrales serán 1995:1-2008:3 y 2008:4-2015:4, pues los efectos de la recesión mundial no estuvieron en completa sincronía con Colombia (Mesa et al., 2008). Para el modelo de Firmas se seguirá a Salachas et al. (2016), es decir, los periodos anuales serán 1995-2007 y 2008-2015.
Se estiman dos modelos que se derivan de la sección anterior. El primero analiza cómo cambia el comportamiento de la oferta de crédito bancario ante cambios de la tasa de interés de referencia, teniendo en cuenta la heterogeneidad entre los bancos comerciales. El segundo estudia el comportamiento de la deuda bancaria por parte de las empresas, incluyendo aspectos heterogéneos entre ellas.
Debido a que es una buena aproximación, se toma como instrumento de política monetaria la tasa de interés de referencia establecida por el Banco de la República (Bernanke & Blinder, 1992). Como se puede observar en la Figura 1, esta variable está disponible desde 1995, pues es durante esta época que el Banco de la República toma una estrategia de inflación objetivo. Se puede analizar también que, al principio del periodo, la tasa de referencia presentaba un comportamiento decreciente con valores cercanos al 40 %. Este comportamiento se vio interrumpido durante la crisis colombiana a finales de los años 90, pues tuvo una subida abrupta. Posteriormente, en la crisis financiera del 2007, la tasa de referencia cayó significativamente, con lo cual se buscó estimular la economía. Después de esto, la tasa se estabilizó alrededor del 3 %, permitiendo cumplir la meta de inflación.

Fuente: adaptado del Banco de la República
Figura 1 Comportamiento de la tasa de interés de referencia y de la inflación
El comportamiento general de la tasa de referencia es acorde con los niveles de inflación observados (ver Figura 1), especialmente durante el nuevo milenio. En cuanto a la brecha observada en los años 90, esta refleja la reciente implementación de las estrategias de inflación objetivo. Durante ese periodo, el Banco Central empezó a fijar metas de inflación de corto y largo plazo; aumentó los comunicados de prensa e informes al congreso y al público general; mejoró la modelación de proyecciones de inflación; y finalmente, estableció las tres modalidades bajo las cuales el Banco interviene en el mercado cambiario (Gómez, 2006).
Los principales mecanismos de transmisión de la política monetaria comienzan por variaciones en la tasa de referencia, lo cual afecta a distintas variables de mercado, tales como el crédito agregado, cuyo comportamiento puede ser analizado en la Figura 2. Se observa que esta variable presenta cierta volatilidad a finales de los años 90, al igual que se observa con la tasa de referencia y la inflación. En cuanto a la crisis financiera de 2007, su variación ha sido mucho menor, a pesar de los cambios observados en la tasa de referencia. Esto parece indicar que el comportamiento de ambas variables ha cambiado durante dicha crisis, y ya no se correlacionan como lo hicieron durante el siglo pasado.
Fuente: adaptado de la Superintendencia Financiera de Colombia.
A. Modelo para los Bancos
Los datos de los bancos que se utilizan son tomados de la Superintendencia Financiera de Colombia. La base de datos es trimestral desde 1995:1 hasta el 2015:4. El panel está desbalanceado debido a la entrada, salida o fusiones en este sector. Hay una clara reducción del número de bancos a través de los años, lo cual puede dar muestra, según Gómez y Grosz (2006), del estrés financiero experimentado por las instituciones bancarias en Colombia durante los años 1997-199944 . La base de datos se balancea y se cuenta finalmente con información para nueve bancos.
En el modelo se introducen dos variables macroeconómicas: el índice de la tasa de cambio real (ITCR) y el índice de producción real manufacturera de Colombia (IPMF), como proxy del PIB, buscando capturar fenómenos macroeconómicos que pueden alterar el comportamiento de la oferta de crédito bancario.
También se incorporan variables relacionadas con las características específicas de los bancos, con el objetivo de captar efectos heterogéneos del canal del crédito bancario sobre ellos. Las variables son: la razón de capitalización, la liquidez y el tamaño relativo medido en activos.
Activos corrientes
Liq (Liquidez) = _____________________
Pasivos corrientes
Patrimonio
Cap (Capitalización) =_________________
Activo total
Activo total
Tam (Tamaño − Banco) =________________________________
Total activo del sistema bancario
De acuerdo con la teoría del canal del crédito bancario, las imperfecciones del mercado de capitales tienden a afectar las relaciones existentes entre los bancos y sus inversionistas (Gómez & Grosz, 2006). Así pues, estas características bancarias pueden afectar tales relaciones.
El modelo empírico que se propone es el siguiente:
donde α, β, γ,δ, θ, ∅ y ∂ son los parámetros que se desean estimar. Y it es el logaritmo de la oferta de crédito para el banco i en el periodo t. Xt es una matriz que se compone de la tasa de cambio real y el índice de producción real de la industria manufacturera de Colombia. La tasa de referencia real se denota como i t (tasa de referencia menos la tasa de inflación trimestral observada). Por su parte, Zit es otra matriz que comprende el conjunto de variables que capturan las características bancarias. Se añaden también variables dicotómicas denotadas por d ij y Crisis que capturan la estacionalidad en los datos y el periodo durante el cual el país estuvo en crisis (1998:3-2000:4)5. Por último, el término error, e it , se asume independiente e idénticamente distribuido.
Todas las variables cuantitativas entran rezagadas al modelo, ya que la oferta de crédito se ve afectada principalmente por la tasa de referencia de periodos pasados y también por las condiciones financieras de los bancos, previas a la política. Adicionalmente, al incluir los términos de interacción en la ecuación, se busca captar cómo han afectado los cambios en la tasa de referencia real a los indicadores financieros de los bancos, y analizar si estas experiencias previas tienen algún efecto significativo sobre la oferta de crédito bancario actual.
Después de realizar la prueba de Hausman (1978) y de Breusch y Pagan (1980), se decide estimar el modelo por datos agrupados. El modelo es corregido por autocorrelación de primer grado y por heterocedasticidad.
B. Modelo para las Firmas
Los datos son obtenidos de la Superintendencia de Sociedades de Colombia y se cuenta con una muestra de más de 6000 firmas entre 1995 hasta 2015. Los datos son anuales y se construye un panel desbalanceado debido a la entrada y salida de firmas; además, algunas firmas no presentan sus estados financieros todos los años. Después de balancear el panel se cuenta con información para 1658 firmas.
De las hojas de balance se obtienen los indicadores financieros: capitalización de la firma, tamaño relativo y nivel de apalancamiento.
Patrimonio
Solv (Capitalización) =___________________
Activo total
Pasivo total
Lev (Apalancamiento) =_________________
Patrimonio
Activo total de la firma
Size (Tamaño-firma) =__________________________
Activo total del mercado
Estas permiten analizar cómo las características de las empresas inciden sobre el efecto del canal de crédito bancario, es decir, cómo las condiciones financieras de las firmas influyen sobre el uso de fuentes de financiación no bancarias, tras observar un cambio en la oferta de crédito (Gómez & Morales, 2009). La inclusión de la variable “tamaño” como regresor va acorde con la literatura que vincula las restricciones de liquidez a las condiciones del mercado de capitales (Gómez & Morales, 2009). La variable dependiente se calcula como la proporción de deuda bancaria respecto a la deuda total de cada empresa. Se incluyen algunos rezagos de esta como variables explicativas.
La especificación empírica corresponde a un panel dinámico:
donde RDB it representa la razón de la deuda bancaria sobre la deuda total de la empresa i en el momento t. La tasa de referencia real se denota como i t . Zit es una matriz que contiene el conjunto de variables que capturan las características financieras de las firmas. La variable Crisis es incluida en el modelo para capturar la crisis financiera vivida en el periodo 1998-2000. El término error, e it , es asumido para ser idéntico e independientemente distribuido.
Los indicadores financieros entran rezagados debido a que las posibles decisiones que tomen las firmas sobre su estructura de deuda, se basan principalmente en sus condiciones financieras del periodo pasado. Se incluyen interacciones de estas variables con la tasa de referencia real rezagada varios periodos, esperando capturar cómo las decisiones de política han incidido sobre la salud financiera de las empresas en un periodo anterior, y analizar si estas experiencias previas tienen algún efecto significativo en la estructura de deuda actual.
El motivo por el cual se incluyen rezagos de la razón de la deuda bancaria es porque esta variable presenta cierta inercia a través del tiempo, es decir, la estructura de deuda de las empresas no cambia significativamente en breves periodos (Gómez & Grosz, 2006). Se utiliza la metodología propuesta por Arellano y Bover (1995) y Blundell y Bond (1998), que está basada en el Método de Momentos Generalizado (MMG); bajo esta metodología los rezagos de la variable dependiente entran solo en niveles evitando la pérdida excesiva de información, lo que es conveniente dado que se poseen dos subperiodos dentro del total de 21 años.
Se estima un panel dinámico, con un rezago de la variable dependiente con un MMG en dos etapas, lo cual genera resultados más eficientes. Se realizan las pruebas de Arellano y Bond (1991) y de Sargan (1958) que identifican la existencia de autocorrelación de primer y segundo orden, y la validez de las restricciones de sobre-identificación del modelo, respectivamente. Estos resultados garantizan que la especificación es adecuada.
III. Resultados
A. Bancos
La Tabla 1 presenta los resultados más importantes de la estimación de la ecuación (27). Los estimadores de las variables que no aparecen no son significativos estadísticamente. En su mayoría, los resultados tienen los signos esperados y sugieren que existe un canal del crédito bancario directo en la economía colombiana durante el periodo transcurrido antes de la crisis financiera mundial. Por tanto, un aumento de la tasa de referencia real en 1 % lleva a una posterior reducción de un 2,02 % en la oferta de crédito bancario en la economía, amplificando de este modo el efecto del canal tradicional de las tasas de interés. A diferencia de Gómez y Grosz (2006), el tamaño relativo de los bancos rezagado un periodo resulta ser la característica financiera más relevante; cada vez que un banco gane una unidad porcentual en participación de mercado, su oferta de crédito crecerá en un 17,55 %. Este resultado es acorde con lo encontrado en la literatura, puesto que, según autores como Kishan y Opiela (2000), el tamaño y la capitalización resultan ser factores claves.
Uno de los términos de interacción concernientes al capital resulta ser el único significativo. El signo negativo (-12,84 %) indica que aquellos bancos que se han capitalizado en mayor medida disminuyen la oferta de crédito, en comparación con aquellos bancos que no se han capitalizado tanto; este resultado es contraintuitivo pero ha sido encontrado en otros estudios (Lerskullawat, 2016). Esto sugiere que, en el periodo previo a la crisis, la existencia de un canal del crédito bancario en Colombia impactaba de forma heterogénea a las instituciones bancarias, alterando el efecto de la política sobre la economía.
Tabla 1 Estimación de datos panel por datos agrupados

Nota: estadístico Z entre paréntesis. El periodo de precrisis es 1995:12008:3 y el de poscrisis es 2008:42015:4. *, **, *** indican los grados de significancia 10 %, 5 % y 1 %, respectivamente. a: la columna 3 incluye la interacción entre la variable dicotómica que indica el periodo de la crisis colombiana de finales de los noventa y la tasa de referencia real rezagada un periodo. Por razones claras, solo se incluye dicha interacción en el periodo precrisis.
Fuente: cálculos propios.
Para el periodo poscrisis se observan cambios drásticos en los estimadores: la mayoría de ellos no son estadísticamente significativos. El tamaño relativo sigue siendo significativo, aunque en una mayor magnitud. El término de interacción concerniente al capital es ahora significativo en una magnitud considerable. Esto sugiere que, a pesar de las consecuencias que pudo haber tenido la crisis, los bancos con mayor participación de mercado siguen siendo los que presentan una mayor oferta de créditos y que ahora los bancos son demasiado sensibles a su nivel de capitalización, dada la tasa de referencia real. Todo esto brinda evidencia, al igual que en Salachas et al. (2016) y Heryán y Tzeremes (2017), de una posible distorsión en la existencia del canal del crédito bancario sobre la economía colombiana, evidenciado principalmente por la pérdida de significancia de la tasa de referencia real.
Se realiza una estimación adicional tomando el periodo 1995:4-2018:1 e incluyendo una variable dummy igual a uno en el tiempo de poscrisis 2008:4-2018:1. Como se observa en la Tabla 2, se encuentra evidencia a favor de la existencia del canal del crédito bancario y de que este tiene un efecto heterogéneo entre los bancos según sus niveles de capitalización. Estos resultados revelan que ante un aumento de la tasa real de referencia en un 1 % en el periodo pasado, el crédito bancario se reduce en 2,36 %. Asimismo, dada una política contractiva, aquellos bancos que se han capitalizado mejor son menos sensibles a esta. La variable concerniente a la crisis mundial financiera es significativa, lo que revela que este episodio ha incidido sobre el canal del crédito bancario en la economía colombiana. Algunos rezagos de las variables macroeconómicas son también significativos.
Tabla 2 Estimación de datos panel por datos agrupados

Nota: estadístico Z entre paréntesis. El periodo estimado es desde el año 1995:4 hasta 2018:1. *, **, *** indican los grados de significancia 10 %, 5 % y 1 %, respectivamente. La Columna 2 incluye la interacción entre la variable dicotómica que indica el periodo de la crisis colombiana de finales de los noventa y la tasa de referencia real rezagada un periodo. Por razones claras, solo se incluye dicha interacción en el periodo precrisis.
Fuente: cálculos propios.
B. Firmas
Los resultados de la estimación de la ecuación (28) son reportados en la Tabla 3. El rezago de la deuda bancaria en el modelo posee significancia estadística para el periodo precrisis, indicando que la estructura de deuda de las firmas posee cierta inercia. No se evidencia la existencia del canal del crédito bancario bajo el enfoque de las Firmas en ninguno de los dos periodos. Estos resultados se obtienen tras controlar por las variables que capturan la salud financiera de las firmas y por el periodo de crisis.
Tabla 3 Estimación de panel dinámico por método de los momentos, generalizado en dos etapas
| Pre crisis | Post crisis | Pre crisisd | |
| (1) | (2) | (3) | |
| RDB(t−1) | 0,82*** (0,05) | 0,08 (0,42) | 0,83*** (0,06) |
| i(t−1) | 0,09 (0,6) | 23,06 (20,37) | 0,28 (0,67) |
| i(t−2)xSolv(t−1) | 5,93 (5,44) | 153,58 (173,28) | 6,44 (5,96) |
| i(t−2)xLev(t−1) | 0,02 (0,13) | 9,34 (15,37) | 0,09 (0,17) |
| i(t−2)xSize(t−1) | a () | b () | 20134,88 (24202,35) |
| i(t−3)xSolv(t−1) | 0,81 (1,13) | 15,72 (17,92) | 1,76 (1,53) |
| i(t−3)xLev(t−1) | 0,02 (0,06) | 0,77 (7,12) | 0,04 (0,09) |
| i(t−3)xSize(t−1) | 6113,52 (7370,19) | c () | 18248,81 (13185,32) |
| i (t−1) xCrisis Colombiana | 0,37 (2,22) |
Nota: estadístico Z entre paréntesis. El periodo de precrisis es 19952007 y el de poscrisis es 20082015. *, **, *** indican el nivel de significancia 10 %, 5 % y 1 %, respectivamente. a, b, c: fue descartada por potencial multicolinealidad. d: la Columna 3 incluye la interacción entre la variable dicotómica que indica el periodo de la crisis colombiana de finales de los noventa y la tasa de referencia real rezagada un periodo. Por razones claras, solo se incluye dicha interacción en el periodo precrisis.
Fuente: cálculos propios.
Se realiza una estimación para el periodo 1995-2016 incorporando una variable dicotómica (igual a uno para periodos posteriores a 2007). Las pruebas estadísticas sugieren realizar una estimación por efectos aleatorios, cuyos resultados son mostrados en la Tabla 4. Se obtiene que la variable dicotómica es significativa y que existe un efecto heterogéneo del canal del crédito bancario sobre la estructura de deuda de las firmas, puesto que múltiples variables concernientes a la salud financiera resultaron ser significativas bajo esta especificación.
Tabla 4 Estimación de datos panel por efectos aleatorios

Nota: estadístico Z entre paréntesis. El periodo estimado es desde el año 1995 hasta 2015. *, **, *** indican los grados de significancia 10 %, 5 % y 1 %, respectivamente. La Columna 2 incluye la interacción entre la variable dicotómica que indica el periodo de la crisis colombiana de finales de los noventa y la tasa de referencia real rezagada un periodo. Por razones claras, solo se incluye dicha interacción en el periodo precrisis.
Fuente: cálculos propios.
No obstante, la tasa de referencia real rezagada tiene un efecto positivo sobre la estructura de deuda de las firmas. Esto se puede explicar ya que las firmas, comúnmente, poseen inversiones de largo plazo, y a pesar de que haya políticas monetarias contractivas, dichas inversiones siguen su curso al menos para periodos menores a un año. Sin embargo, si continúa una postura de política contractiva para un segundo periodo, surge un efecto negativo de la tasa real de referencia ya que bajo tal tendencia las firmas deben restringir su financiación por medio de los bancos; esto es, si la tasa real de referencia crece en un 1 %, la proporción de deuda bancaria promedio de las firmas decrece un 3,12 %.
La solvencia rezagada un periodo es significativa solo al 10 %, pero con una magnitud muy baja. Cuando se rezaga dos periodos, esta variable presenta una mayor significancia estadística y además una mayor magnitud, puesto que aquellas firmas que posean un patrimonio más grande con respecto a sus activos, podrán acceder más fácil a la financiación bancaria debido a que generan menor percepción de riesgo. El tamaño relativo de las firmas también es importante respecto a su financiación bancaria; firmas grandes tienen mayores probabilidades de otorgamiento de crédito.
Los términos de interacción también son significativos, al menos bajo algún rezago, evidenciando así un efecto heterogéneo del canal del crédito bancario. Se observa que aquellas firmas que poseen niveles de solvencia bajos o un mayor apalancamiento son más sensibles a políticas monetarias.
En relación con el tamaño, los resultados revelan que ante choques monetarios contractivos recientes, las firmas con mayor tamaño presentan un decrecimiento en su financiación bancaria. Sin embargo, sucede lo contrario para choques monetarios 3 años antes. Esto se debe a que firmas más grandes pueden cambiar su fuente de financiación ante políticas monetarias contractivas, mientras que firmas pequeñas están limitadas a la financiación bancaria. Por último, la variable concerniente a la crisis mundial financiera resulta ser significativa, sugiriendo que, a raíz de esta crisis, el canal del crédito bancario en la economía colombiana se ha visto alterado.
Al igual que se hizo en la sección de los Bancos, se realizaron estimaciones adicionales teniendo en cuenta el efecto de la crisis económica colombiana de 1999 sobre la política monetaria. Los resultados se presentan en la Columna 3 de la Tabla 3 y en la Columna 2 de la Tabla 4. En general se observa que se mantienen las principales conclusiones sobre los efectos de la crisis, mostrando la robustez de los resultados. Esto corrobora la existencia del canal del crédito bancario en la economía colombiana y su distorsión a partir de la crisis financiera mundial (Tabla 4). Como ya se mencionó, los resultados encontrados están en línea con la literatura nacional, especialmente para el periodo precrisis.
Conclusiones
Los resultados de los modelos propuestos indican que la política monetaria tiene efectos sobre la oferta de crédito bancaria y sobre la estructura de deuda de las firmas. Para la estimación de los bancos se tiene evidencia, para el periodo de precrisis, de que las características financieras, como el nivel de capitalización, pueden generar efectos heterogéneos de la transmisión de la política monetaria a través del canal del crédito bancario. Sin embargo, para el periodo de poscrisis la política monetaria parece haber sido distorsionada, pues la tasa de referencia deja de ser significativa.
En el caso de las firmas, los resultados, bajo una estimación de panel dinámico, no brindan evidencia sobre la existencia del canal del crédito bancario y sobre una posible distorsión de este. Sin embargo, al utilizar un modelo de efectos aleatorios y tomando el periodo 1995-2015, se encuentra que la crisis financiera mundial tuvo un efecto sobre la estructura de deuda de las firmas. Antes de dicha crisis existía un canal del crédito bancario que impactaba a las firmas de forma heterogénea, dadas sus características financieras. Finalmente, a pesar de estos resultados, la aplicación del enfoque de las firmas brinda robustez a los resultados obtenidos bajo el modelo de los Bancos.
Los resultados obtenidos en este trabajo son acordes con la literatura internacional. Los estudios para Colombia son en su mayoría anteriores al 2007, y sus resultados son similares sobre el periodo comparable (precrisis), hallando evidencia a favor de la existencia del canal de crédito bancario. En cuanto al periodo poscrisis, no se puede realizar una comparación debido a que no se encontraron estudios que evalúen este periodo. En resumen, los resultados de ambos enfoques brindan evidencia de que el canal del crédito bancario en la economía colombiana se ha visto afectado a raíz de la crisis financiera mundial. Lo anterior implica que el Banco de la República, al momento de formular su política monetaria, debe tener en cuenta que el efecto final de esta sobre la economía no es igual a como era antes del 2007, puesto que el comportamiento de los bancos ha cambiado y, por tanto, ya no se cuenta con el mismo efecto amplificador del canal del crédito bancario.










































