Introducción
La Conferencia de las Naciones Unidas sobre Comercio y Desarrollo (UNCTAD, 2021) considera, entre sus Objetivos de Desarrollo Sostenible (ODS), lograr la igualdad de género y fomentar la innovación tecnológica. Es por ello que, a partir de un enfoque de igualdad de género han planteado que es necesario mejorar el uso de la tecnología instrumental, en particular la tecnología de la información y las comunicaciones, para promover el empoderamiento de las mujeres. Asimismo, para fomentar la innovación tecnológica, consideran que es importante perfeccionar las habilidades digitales, por medio de los planes de educación y formación inclusivos, promoviendo específicamente la participación de las mujeres.
Las tecnologías de la información y comunicación -TIC- se han convertido en un instrumento significativo para el logro de los ODS (UNCTAD, 2021), específicamente en cinco áreas clave en que la telefonía móvil ha sido referenciada por tener un gran impacto (Hossain & Uddin, 2004): oportunidad económica, empoderamiento y participación, medio ambiente, atención médica, y educación. La era digital ha permitido que los teléfonos móviles tengan un rol fundamental y preponderante, especialmente entre las mujeres, en alcanzar algunos de los retos de los ODS (Rotondi et al., 2020).
Si bien el aumento del acceso a los teléfonos móviles en la zona rural pone a esta tecnología -aparentemente- al alcance de la mayoría de las personas que viven en esas zonas, el reducido número de estudios encontrados evidencian que su uso se diferencia por la existencia de una brecha digital por género (León, 2013; Rotondi et al., 2020).
En este sentido, el objetivo de este artículo consiste en medir el efecto de la adopción de la telefonía móvil en el empoderamiento de las mujeres. Para ello, se aplica la función de Mincer (1970). Se utilizan los niveles o cambios en los niveles de ingresos de las mujeres como indicador de este empoderamiento. La función de Mincer (1970) se complementa con algunas correcciones para evitar el sesgo que producen otras variables que también pueden incidir en los ingresos pero que no son atribuibles a la adopción del teléfono móvil. Nuestros resultados permiten proponer que existe una relación positiva entre la posesión y uso del teléfono móvil y el aumento de los ingresos. Además, siguiendo el objetivo del artículo, que el uso de la perspectiva del capital humano permite obtener una medida para ello.
La estructura de este artículo comienza con la revisión teórica, donde se estudiarán las variables teléfono móvil y el empoderamiento de las mujeres rurales, entre otras. Luego, se presenta la metodología de la investigación, seguida del análisis de los resultados, su discusión y, por último, las conclusiones y recomendaciones de política.
Revisión de la literatura
Este artículo se centra en una tecnología con efectos amplios en la mayoría de los entornos actuales, como es el teléfono móvil. Con ello, se quiere avanzar en el empeño de disponer de medidas para entender mejor el empoderamiento de las mujeres rurales y verlo desde la perspectiva de la influencia de la innovación tecnológica. Tomando prestada la visión de capital humano (Mincer, 1970), se propone que sea a través del estudio del nivel ingresos la manera de constatar el nivel de empoderamiento de las mujeres en zonas rurales. Con este punto de partida, a continuación, se detalla el conocimiento existente sobre el efecto del uso de los teléfonos móviles en el empoderamiento de las mujeres y se completa el marco conceptual con los aspectos, en forma de variables y constructos, que permitan disponer de un instrumento multidimensional para lograr el mencionado reto de la medida del empoderamiento.
El camino para desgranar el efecto del uso del teléfono móvil en el empoderamiento de las mujeres rurales se realiza en tres etapas. En primer lugar, se detalla el efecto de las Tecnologías de la Información y la Comunicación -TIC- en el desarrollo de los ODS y en la brecha de género. En segundo lugar, se analiza cómo las TIC presentan un efecto específico en la reducción de la brecha de género. Finalmente, se presenta de qué manera este efecto específico se convierte en favorable para el empoderamiento de las mujeres rurales.
En la primera etapa es relevante preguntarse por el papel de las TIC en el empoderamiento de las mujeres. Por un lado, las TIC tienen el potencial de llegar a aquellas mujeres que no habían sido alcanzadas por ningún otro medio tecnológico (Martínez & Gómez, 2020; Nath, 2001). Ello es relevante, ya que además de facilitar a las mujeres la participación en el progreso económico y social, las TIC permiten abrir una ventana directa al mundo exterior. Todo ello se sustenta en la facilidad que las TIC ofrecen para trabajar desde cualquier lugar y en cualquier momento, y en la oportunidad de obtener ingresos y ser independientes económicamente (Bailur & Masiero, 2017; Das et al., 2020; Rotondi et al., 2020). Este impacto de las TIC en el empoderamiento de la mujer se ve ampliado, además, por el rol de las TIC en la difusión de información para las personas que viven en zonas rurales. Con lo que se ha logrado estimular el desarrollo de las zonas rurales en el ámbito social, cultural y económico, inyectando tanto productividad sobre la provisión de información y comunicación, como innovación tecnológica (Martínez & Gómez, 2020).
El teléfono móvil es una de las TIC más utilizadas, y entre sus características más destacables, a diferencia de otros dispositivos tecnológicos, es que no requiere de habilidades sofisticadas para su uso (Lee, 2009; Martínez y Gómez, 2020; van Weezel & Benavides, 2009). Asimismo, los teléfonos móviles han revolucionado la vida y las actividades cotidianas de las personas, al desarrollarse sin grandes barreras de adopción en entornos de bajos ingresos (Rotondi et al., 2020). En línea con lo anterior, se ha sugerido que el uso de los teléfonos móviles para las mujeres rurales implica una mejora de sus habilidades, conocimientos, acceso a la información y toma de decisiones para obtener ingresos (Das et al., 2020; Rotondi et al., 2020). Diversos estudios constatan que los teléfonos móviles son una herramienta potencial para el empoderamiento de las mujeres, y con posibilidades de fomentar este (Das et al, 2020), ya que les proporciona conocimientos, información y habilidades y, con ello, posibilidades de mejorar sus niveles de ingresos.
En este sentido, un estudio realizado por Kyomuhendo (2009), en Uganda, pone en evidencia que comprender el impacto del uso de dispositivos móviles incrementa los ingresos a nivel individual, sin necesariamente transformar las estructuras sociales restrictivas del patriarcado, ni la desigualdad de género que siguen permaneciendo intactas en las comunidades. También, Macueve et al. (2009) y Das et al. (2020) señalan que los teléfonos móviles representan para las mujeres una opción de superación del analfabetismo, la creación de oportunidades para la iniciativa empresarial, el trabajo desde casa, el cuidado de sus familias, todo lo cual mejora su calidad de vida. En esa misma línea, Lee (2009) indica que la propiedad familiar de un teléfono móvil, de tipo GSMA1de la India, reduce significativamente la tolerancia a la violencia doméstica y aumenta la autonomía de las mujeres en la movilidad y la independencia económica. En general, la literatura existente permite sostener que el uso de teléfonos móviles ha contribuido significativamente en el incremento de los ingresos de las mujeres rurales (Metha & Metha, 2014; GSMA, 2019).
Esta visión se ha complementado con el efecto sobre el empoderamiento de la mujer, con especial énfasis en las zonas rurales, trabajos como el desarrollado por Sen (2001) sugieren que obtener un empleo fuera del hogar y obtener un ingreso independiente impactan en la mejora de la posición social de una mujer en el hogar y en la sociedad. Todo ello, a modo de síntesis, se ha propuesto por GSMA (2019) como señal de que una herramienta como el teléfono móvil ayuda a las mujeres a sentirse más seguras y mejor conectadas, les permite ahorrar tiempo y dinero, así como acceder a servicios clave, tales como el dinero móvil e información sanitaria. También, agrega que este ofrece un canal accesible para la prestación de servicios, y tiene el potencial de aumentar el acceso a las oportunidades educativas y laborales, un área en la que las mujeres aún están desfavorecidas en muchos lugares del mundo.
En la segunda parte nos centramos en un entorno geográfico concreto. Por ello, tenemos en cuenta lo mencionado por Agüero y Barreto (2012) y Hossain y Uddin (2004) quienes exponen que el origen geográfico de una mujer de un hogar -bien sea pobre o no-, condiciona las estrategias de vida de las mujeres en las zonas rurales. Añaden, además, que las posibilidades de romper la reproducción intergeneracional de la pobreza van ligadas a la vinculación con dinámicas territoriales de crecimiento, por ejemplo, en la dotación de capital humano de los hogares y el acceso a nuevas tecnologías.
Adicionalmente, focalizando en el ámbito geográfico de interés, Agüero y Barreto (2012) describen la situación de las mujeres rurales en el Perú, esbozando un perfil sociodemográfico que toma en cuenta tres temas claves: nivel educativo, estado civil y relacionamiento con las TIC. En cuanto a la educación, expresan que Perú es uno de los países con mayores avances en términos de reducción de la brecha educativa. Sobre el estado civil, afirman que una mayor proporción de mujeres rurales, con respecto a sus pares urbanas, conviven en lugar de casarse, debido a que ellas consideran que hacerlo es un evento ostentoso y prefieren destinar el dinero a otras cosas como alimentación, educación de sus hijos, mejora o construcción de su vivienda. En el caso de las TIC, estas han brindado oportunidades, como servicios de mensajería de texto, llamadas, correos electrónicos y diferentes servicios en línea, los cuales pueden ayudar a las mujeres en su actividad de generación de ingresos (Das et al., 2020).
Según Del Prete y Calleja (2011), el uso de las TIC está relacionado con una mejora de las habilidades, conocimientos, acceso a la información y toma de decisiones. Por ello, según Chioda (2016), Lee (2009), Alkire et al. (2013) y Das et al. (2020), el uso de las TIC puede estar relacionado con los esfuerzos en ampliar la capacidad de acción de las mujeres por medio de la mejora de sus ingresos. Esto último se logra por medio de cuatro aspectos: la educación, el trabajo, la superación de la pobreza y la mayor participación política, características que permiten considerar la contribución de la mujer a la sociedad.
Por su parte, Aparicio et al. (2011) analizan el rol de la infraestructura en la reducción de la pobreza en los hogares del Perú. Estiman un modelo logit para determinar el impacto de las infraestructuras sobre la probabilidad de ser pobre en el Perú, así como el modelo estático que examina la relación entre las infraestructuras sobre el gasto de los hogares peruanos. Estos impactos se observan considerando el sexo del jefe de hogar y la zona donde se ubica el hogar. También toman en cuenta, el acceso a las infraestructuras de agua potable, desagüe, electricidad y telefonía. Concluyen que la infraestructura de telefonía tiene un mayor impacto en la reducción de la pobreza urbana y en los hogares donde el papel de jefe de hogar está conformado por mujeres. Adicionalmente, un estudio realizado por estos autores indica que parte del mayor impacto de la telefonía móvil en los hogares puede explicarse por el rol de jefe de hogar desarrollado por la mujer, pues esta situación puede generar oportunidades de empleo y generar ingresos adicionales en el hogar.
En la etapa final, siguiendo la propuesta de Martínez y Gómez (2020), se postula que la desigualdad digital en zonas rurales de países en desarrollo se debe a factores tanto demográficos, económicos, geográficos, tecnológicos, sociales y culturales, que acentúan la brecha digital; así como el deficiente nivel de inversión en infraestructura de las telecomunicaciones en zonas rurales, que limita el acceso a las TIC. Bajo este contexto se plantea la necesidad de disponer de medidas para evaluar la relación entre el uso de los teléfonos móviles y el ingreso en las mujeres de zonas rurales. Este trabajo plantea la hipótesis de que esta relación se puede medir desde una perspectiva de capital humano.
Metodología
El marco conceptual propuesto permite identificar el conjunto de variables que se relacionan con la adopción de teléfonos móviles en un entorno de mujeres rurales. Como se desprende de la pregunta de investigación, el objetivo inicial del artículo, basado en medir el efecto de la adopción de telefonía móvil en el empoderamiento de las mujeres, se completa con una perspectiva más compleja, tomando como referencia los ODS, para identificar los beneficios que perciben las mujeres rurales. Este artículo se basa en el modelo de Mincer (1970) y utiliza datos secundarios obtenidos de ENAHO (Encuesta Nacional de Hogares) de Perú.
Descripción de muestra
La selección de datos se realizó segmentando información rural a nivel nacional solo de mujeres. Con ella, se realizó un proceso de descarte de atipicidades, como la información incompleta en las variables de estudio. En lo que se refiere a la muestra, para medir la relación entre el uso de los teléfonos móviles y el ingreso de las mujeres en zonas rurales, se realiza una exploración descriptiva de los datos estadísticos de los microdatos de la ENAHO colectados por el Instituto Nacional de Estadística e Informática (INEI, 2021a). La muestra utilizada está conformada por mujeres que se encuentran trabajando, perciben ingresos y habitan en zonas rurales durante los años de 2017 a 2019.
Tabla 1 Fuentes de datos de las variables utilizadas en la metodología de este estudio
| Variables | Tipo | Descripción | Unidad | Fuente |
| W | Dependiente | Ingresos mensuales | Nuevos soles | ENAHO - Instituto Nacional de Estadística e Informática del Perú (2019) |
| UCPR | Explicativa de interés | Tenencia de teléfono móvil propio | 1/0 Dummy | |
| UCFM | Explicativa de interés | Tenencia de teléfono móvil de un familiar | 1/0 Dummy | |
| UCLB | Explicativa de interés | Tenencia de teléfono móvil de centro laboral | 1/0 Dummy | |
| Part | Explicativa de control | Participación en el mercado laboral | 1/0 Dummy | |
| S | Explicativa de control | Años de educación | Años | |
| Exp | Explicativa de control | Experiencia laboral | Años | |
| Exp2 | Explicativa de control | Experiencia laboral al cuadrado | Años al cuadrado | |
| EC | Explicativa de control | Estado civil | 1/0 Dummy | |
| Jefa | Explicativa de control | Jefa de hogar | 1/0 Dummy |
Fuente: elaboración propia.
La elección de los años de estudio no consideró el contexto de la pandemia del COVID19. El Instituto Nacional de Estadística e Informática (INEI), en los años de paralización económica, desarrolló su encuesta vía telefónica, lo cual, limitó la información relevante a considerar en el presente estudio (INEI, 2021b). Asimismo, se considera que durante los años de pandemia se generó una distorsión del comportamiento del ingreso y de la innovación tecnológica, que incluso ameritaría un análisis exclusivo bajo este contexto. Por esta razón el período de análisis se acotó entre los años 2017 y 2019 exclusivamente.
Modelo de análisis
El modelo que se propone Mincer (1970) permite medir el ingreso por la intermediación de una variable socioeconómica; en este caso, un soporte tecnológico como el teléfono móvil. Se utilizan los años de educación (S), la experiencia laboral (Exp) y las características socioeconómicas del individuo (L) para determinar el nivel estandarizado de ingresos (W). El modelo Mincer (1970) ha sido aplicado por otros autores a diferentes contextos latinoamericanos (Botello-Peñaloza & Guerrero-Rincón, 2017; Fuentes & Herrera, 2015; Paredes & Quilla, 2016). La expresión formal del modelo Mincer (1970) se muestra en la ecuación (1):
Esta ecuación se utiliza para estimar los retornos de inversión en educación y experiencia laboral sobre los ingresos de las personas (Galassi & Andrada, 2011). Sin embargo, Mincer (1970) reconoció que su ecuación era incompleta, pues existen otras características socioeconómicas que ayudan a determinar los ingresos.
Por ello, antes de estimar la ecuación (1), se considera apropiado controlar utilizando la heterogeneidad no observada de la muestra, llamado sesgo de selección (Birch & Marshall, 2018; Heckman, 1977; Hernández & Méndez, 2005). De esta manera, la metodología busca establecer un procedimiento, mediante el cual se excluyan los efectos de las características individuales no observables de las trabajadoras, que puedan estar incidiendo en los ingresos, sin ser atribuible al uso de un teléfono móvil (Galassi & Andrada, 2011; Hernández & Méndez, 2005).
Para corregir el sesgo de selección de los datos, se utiliza la técnica de corrección de dos pasos, propuesta por Heckman (1979), desarrollando dos ecuaciones simultáneas, formadas por variables dependientes relacionadas con el ingreso observado y el ingreso de reserva (ingreso no observado). El método de Heckman consiste en estimar un modelo probit de participación en el mercado laboral.
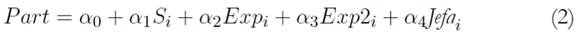
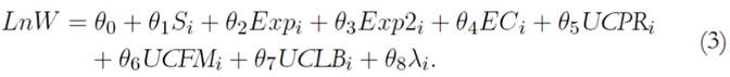
Las ecuaciones que se utilizan para el modelo probit de Heckman, (2) y (3), se describen a continuación:
Para la ecuación (2), la variable Part es dicotómica que toma el valor de 1 cuando el individuo i obtiene un beneficio económico positivo, y de 0 en caso contrario. S son los años de estudio formales, Exp son los años de experiencia potencial (variable proxy de la experiencia laboral), Exp2 es la experiencia al cuadrado y Jefa es una variable dicotómica que toma valor 1 si el individuo i es jefa de hogar, y 0 en caso de no serla.
La ecuación (3) maneja las variables básicas del modelo minceriano, agregando variables explicativas de control. EC es una variable dicotómica que representa el estado civil. Esta toma el valor de 1 si la individuo i está casada y 0 de no estarlo, y adiciona la variable lambda (λ), también llamada “inversa de la ratio de Mills” (Mills, 1926), para completar el método de Heckman (1979). Adicionalmente, la investigación agrega la variable explicativa de interés del uso de teléfono móvil, diferenciando tres tipos de tenencias del individuo de esta tecnología: UCPR, variable dicotómica que toma valor de 1 si el individuo i posee un teléfono móvil propio y el valor de 0 de no poseerlo; UCFM, variable dicotómica que toma valor de 1 si el individuo i posee un teléfono móvil de algún familiar, y el valor de 0 de no poseerlo; y UCLB, variable dicotómica que toma valor de 1 si el individuo i posee un teléfono móvil de su centro laboral y el valor de 0 de no poseerlo (Tabla 1).
Estadística descriptiva de los datos de la muestra
Para cada uno de los años de estudio se obtuvieron los microdatos disponibles en la Encuesta Nacional de Hogares -ENAHO- (INEI, 2019). Para el año 2017, se obtuvo una muestra de 1436 observaciones para todas las variables analizadas y la Tabla 2 muestra las características que constituyen al individuo promedio en estudio. La mujer promedio para este año presenta un ingreso medio menor al salario mínimo vital2, con educación primaria completa y diez años de experiencia laboral.
Tabla 2 Estadística descriptiva de los datos de la muestra
| Variables | Obs. | Promedio | Desv. Est. | Mín. | Máx. |
| W | 1436 | 377,73 | 454,97 | 1 | 5453 |
| S | 1436 | 8,8 | 3,74 | 1 | 19 |
| Exp | 1436 | 9 | 10,26 | 0,08 | 60 |
Nota: abreviaturas usadas: Obs. = Número de observaciones, Desv. Est. = Desviación estándar, Mín. = Mínimo, Máx. = Máximo. Debido al tipo de información recolectada, se utiliza la media geométrica.
Fuente: elaboración propia
Así también, el 65,74 % de la muestra participa en el mercado laboral. El 78 % no es soltera, el 71,1 % usa un teléfono móvil propio, el 17,9 % usa un teléfono móvil familiar, y el 61,35 % no es jefa de hogar (ver Tabla 3).
Tabla 3 Estadística descriptiva de las variables explicativas dicotómicas (año 2017)
| Variable | 1 | 0 |
| Part | 65,74% | 34,26% |
| EC | 22% | 78% |
| UCPR | 71,1% | 28,9% |
| UCFM | 17,9% | 82,1% |
| UCLB | 0,06% | 99,94% |
| Jefa | 38,65% | 61,35% |
Nota: significado de números usados: 1 = Respuesta afirmativa, 0 = Respuesta negativa.
Fuente: elaboración propia.
En el año 2018, se obtiene una muestra de 1568 individuos (Tabla 4), las características que constituyen al individuo promedio en estudio son que esta obtiene un ingreso promedio menor al salario mínimo vital, tiene educación primaria completa y diez años de experiencia laboral.
Tabla 4 Estadística descriptiva de las variables explicativas no dicotómicas (año 2018)
| Variables | Obs. | Promedio | Desv. Est. | Mín. | Máx. |
| W | 1568 | 334,34 | 605,33 | 1 | 14765 |
| S | 1568 | 8,69 | 3,73 | 1 | 19 |
| Exp | 1568 | 9,79 | 11,13 | 0,08 | 58 |
Nota: abreviaturas usadas: Obs. = Número de observaciones, Desv. Est. = Desviación estándar, Mín. = Mínimo, Máx. = Máximo. Debido al tipo de información recolectada, se utiliza la media geométrica.
Fuente: elaboración propia.
Así también, el 69,26 % de la muestra participa en el mercado laboral. El 76,6 % no es soltera, el 71,56 % usa un teléfono móvil propio, el 16,69 % usa un teléfono móvil familiar y el 58,1 % no es jefa de hogar (ver Tabla 5).
Tabla 5 Estadística descriptiva de las variables explicativas dicotómicas (año 2018)
| Variable | 1 | 0 |
| Part | 69,26 % | 30,74 % |
| EC | 23,41 % | 76,60 % |
| UCPR | 71,56 % | 28,43 % |
| UCFM | 16,69 % | 83,04 % |
| UCLB | 0,06 % | 99,94 % |
| Jefa | 41,90 % | 58,10 % |
Nota: significado de números usados: 1 = Respuesta afirmativa, 0 = Respuesta negativa.
Fuente: elaboración propia.
Finalmente, para el año 2019 (Tabla 6), se trabaja con 1523 individuos de la ENAHO y las características que constituyen al individuo promedio en estudio son que esta obtiene un ingreso promedio menor al salario mínimo vital, tiene educación primaria completa y diez años de experiencia laboral.
Tabla 6 Estadística descriptiva de las variables explicativas no dicotómicas (año 2019)
| Variables | Obs. | Promedio | Desv. Est. | Mín. | Máx. |
|---|---|---|---|---|---|
| W | 1523 | 332,59 | 688,12 | 1 | 14745 |
| S | 1523 | 8,91 | 3,63 | 1 | 19 |
| Exp | 1523 | 9,94 | 11,16 | 0,08 | 60 |
Nota: abreviaturas usadas: Obs. = Número de observaciones, Desv. Est. = Desviación estándar, Mín. = Mínimo, Max. = Máximo. Debido al tipo de información recolectada se utiliza la media geométrica.
Fuente: elaboración propia.
Así también, el 66,97 % de la muestra participa en el mercado laboral. El 76,03 % no es soltera, el 73,93 % usa un teléfono móvil propio, el 20,75 % usa un teléfono móvil familiar y el 61,39 % no es jefa de hogar (ver Tabla 7).
Tabla 7 Estadística descriptiva de las variables explicativas dicotómicas
| Variable | 1 | 0 |
|---|---|---|
| Part | 66,97 % | 33,03 % |
| EC | 23,97 % | 76,03 % |
| UCPR | 73,93 % | 26,07 % |
| UCFM | 20,75 % | 79,25 % |
| UCLB | 0,07 % | 99,93 % |
| Jefa | 38,61 % | 61,39 % |
Nota. significado de números usados: 1 = Respuesta afirmativa, 0 = Respuesta negativa.
Fuente: elaboración propia.
En cuanto a las relaciones esperadas de las variables en la ecuación (2), los coeficientes asociados que aumentan el costo de oportunidad de no participar laboralmente en la economía, como las variables de capital humano y la de jefa de familia, deberán tener una relación directa con el ingreso. En la ecuación (3), se espera que los coeficientes de las variables de educación, experiencia y tenencia de celular tengan una relación positiva con el ingreso, lo que refleja que estas variables influyen en el mayor ingreso laboral de la mujer. La variable de experiencia al cuadrado debe tener, necesariamente, una relación negativa con el ingreso, ya que esta variable demuestra la obsolescencia del capital humano.
Análisis de resultados
Los resultados del análisis de los modelos para cada uno de los años se muestran en las tablas 8, 9 y 10. Para el año 2017 (Tabla 8), se observa que el uso del teléfono móvil está relacionado con la generación de ingreso para las mujeres rurales. Se identifica que en la primera regresión sobre el modelo Mincer, las variables que son altamente significativas son: S (los años de estudios formales), Exp (años de experiencia laboral), UCPR (variable dicotómica tenencia de teléfono móvil propio). Así mismo, respecto al modelo probit (Tabla 8), las variables que son significativas en el modelo son solo dos: la variable S (los años de estudios formales) y la variable Jefa (jefa de hogar). Por otro lado, la variable lambda, que corresponde a la corrección de sesgo en el modelo, es positiva.
Tabla 8 Corrección de sesgo y estimación del modelo Mincer para el año 2017
| Variables dependientes | Part | LnW |
|---|---|---|
| (Modelo Probit) | (Modelo Mincer) | |
| Variables explicativas | Coeficientes estimados | Coeficientes estimados |
| Cons | 0,189512 | 5,487884* |
| (0,0676) | 0 | |
| 0,029894* | 0,024827* | |
| S | ||
| (0,0012) | (0,0364) | |
| Exp | -0,003636 | 0,026137* |
| (0,6923) | (0,0377) | |
| Exp2 | -0,00005 | -0,000599 |
| (0,8711) | (0,0936) | |
| EC | - | -0,170599 |
| (0,069) | ||
| UCPR | - | 0,204551* |
| (0,0288) | ||
| UCFM | - | 0,103548 |
| (0,3317) | ||
| UCLB | - | -1,731788 |
| (0,1356) | ||
| Jefa | -0,014396* | - |
| (0,8179) | ||
| Lambda (λ) | - | 0,363124 |
| Obs. | 1436 | 1436 |
Nota: entre paréntesis se indica probabilidad de la variable. (*) Resultados al 99% de confianza.
Fuente: elaboración propia.
Tabla 9 Corrección de sesgo y estimación del modelo Mincer para el año 2018
| Variables dependientes | Part | LnW |
|---|---|---|
| (Modelo Probit) | (Modelo Mincer) | |
| Variables explicativas | Coeficientes estimados | Coeficientes estimados |
| Cons | 0,094491 | 5,223954* |
| (0,0676) | 0 | |
| S | 0,050783* | 0,033541* |
| 0 | (0,0023) | |
| Exp | 0,010845 | 0,021487* |
| (0,2009) | (0,0353) | |
| Exp2 | -0,000321 (0,1266) | -0,000327 (0,2248) |
| EC | - | -0,233773* |
| (0,0064) | ||
| UCPR | - | 0,443097* |
| 0 | ||
| UCFM | - | 0,11258 |
| (0,2667) | ||
| UCLB | - | 1,757054 |
| (0,1056) | ||
| Jefa | -0,136641* | - |
| (0,0306) | ||
| Lambda (λ) | - | 0,309036 |
| Obs. | 1436 | 1436 |
Nota: entre paréntesis se indica probabilidad de la variable. (*) Resultados al 99% de confianza.
Fuente: elaboración propia.
Tabla 10 Corrección de sesgo y estimación del modelo Mincer para el año 2019
| Variables dependientes | Part | LnW |
|---|---|---|
| (Modelo Probit) | (Modelo Mincer) | |
| Variables explicativas | Coeficientes estimados | Coeficientes estimados |
| Cons | 0,300619* | 5,302067* |
| (0,0055) | 0 | |
| S | 0,040607* | 0,028717* |
| 0 | (0,0137) | |
| Exp | -0,035704* | 0,057007* |
| 0 | 0 | |
| Exp2 | 0,000675* | -0,000882* |
| (0,0013) | (0,0011) | |
| EC | - | -0,161463 |
| (0,0778) | ||
| UCPR | - | 0,278367* |
| (0,0177) | ||
| UCFM | - | -0,271105* |
| (0,0014) | ||
| UCLB | - | 1,942021 |
| (0,0984) | ||
| Jefa | -0,02419 | - |
| (0,6947) | ||
| Lambda (λ) | - | 0,326872 |
| Obs. | 1436 | 1436 |
Nota: entre paréntesis se indica probabilidad de la variable. (*) Resultados al 99% de confianza.
Fuente: elaboración propia.
Para el año 2018 (Tabla 9) las variables que son altamente significativas en el modelo Mincer son: S, Exp, EC, UCPR. Respecto al año anterior, las variables significativas siguen siendo las mismas, agregando ahora la variable EC. Con respecto al modelo Probit, las variables que son significativas en el modelo solo son dos, la variable S y la variable Jefa. Respecto al año anterior, estas variables significativas siguen siendo las mismas, manteniendo la variable lambda con signo positivo.
En la Tabla 10, se observa que, en el año 2019, las variables que son altamente significativas son: S, Exp, Exp2, UCPR, y la variable UCFM. Respecto al año anterior, las variables significativas siguen siendo las mismas, agregando ahora la variable tenencia del teléfono móvil familiar. En el modelo de corrección de sesgo, ahora la variable Jefa es la única que no es significativa, manteniendo la variable Lambda con signo positivo.
Finalmente, analizando los efectos de las variables telefónicas en corte temporal, teniendo la siguiente información desprendida de las tablas anteriores:
Tabla 11 Coeficiente de las variables de interés
| Año | Obs. | UCPR | UCFM | UCLB | Lambda |
|---|---|---|---|---|---|
| 2017 | 1436 | 0,20 | 0,10 | 1,73 | 0,36 |
| 2018 | 1568 | 0,44 | 0,11 | 1,75 | 0,30 |
| 2019 | 1523 | 0,27 | -0,27 | 1,94 | 0,32 |
Fuente: elaboración propia.
El coeficiente UCPR posee un crecimiento creciente del 2017 al 2018 y decreciente entre 2018 y 2019, lo cual indica que en el año 2018 el impacto de tener un teléfono propio es más fuerte con respecto a los demás años, pero también denota que el efecto total es un crecimiento positivo, al aumentar el tiempo se incrementa el impacto del celular propio para obtener ingresos.
El coeficiente UCFM posee un crecimiento fluctuante decreciente del 2018 al 2019, por lo que denota que la tenencia de celular familiar genera una disminución de los ingresos para el 2019, esto se puede deber a que las personas no generadoras de ingresos poseen un teléfono familiar.
El coeficiente UCLB, el más importante para la investigación, tiene un impacto en los ingresos mucho mayor que los anteriores. La variable UCLB posee un crecimiento positivo entre el 2017 y 2019, con lo cual se afirma que cuando aumentan los años, el impacto de tener un celular laboral en los ingresos aumenta -es decir, se hace más preciado el tener celular laboral, por lo que el que tiene un celular laboral genera mayores ingresos que el tener celular personal o familiar y aparte que cada vez aumenta el ingreso generado por tenerlo-.
El coeficiente λ muestra el efecto que tiene en los ingresos dejar fuera de la muestra a aquellas mujeres rurales que podrían trabajar pero que, por el hecho de no hacerlo en el momento de la encuesta o considerar que la actividad que realizan no es un trabajo -como el cuidado de hijos o adultos mayores- no se dispone de información acerca de sus ingresos. El hecho de que λ sea significativo en los tres años indica que la correlación entre las perturbaciones de las ecuaciones del modelo probit que definen la probabilidad de ocupación y la función de ingresos Mincer representa un 33 % en promedio.
Discusión
Este artículo propone entender mejor el efecto de la adopción de la telefonía móvil en el empoderamiento de las mujeres y, por tanto, en la reducción de la brecha digital, tanto en el aspecto de género como de ruralidad. La contribución se centra en proponer y analizar una medida de esta brecha a través de la perspectiva de capital humano. Se entiende que mejoras en las medidas van a permitir tomar mejores decisiones al aplicar actuaciones que superen las dificultades para el empoderamiento. La perspectiva de capital se sustenta en la función de Mincer (1970) -ver ecuaciones 1, 2 y 3-, y los resultados obtenidos están descritos en la sección anterior. Aunque la función de Mincer y la perspectiva de capital humano (Mincer, 1970) se proponen para entender, los efectos que factores complementarios al mercado laboral, como la educación y la experiencia laboral, tienen sobre los salarios, en este artículo se aplica a un aspecto del capital humano que no está directamente relacionado con el mercado laboral.
En definitiva, este artículo expone que otros factores que adicionan nuevas competencias a los participantes en el mercado laboral, como las TIC, pueden ser susceptibles de ser investigados desde la perspectiva del capital humano. De acuerdo con los resultados encontrados, en Perú, la educación mejora -en línea con trabajos previos como el de Barreto y García (2012)-, los ingresos de una mujer en la zona rural. De la misma manera, con respecto a la experiencia, se aprecia que posee un efecto creciente con los ingresos. Mientras más años de experiencia laboral acumula una mujer, ésta recibe más ingresos, hasta un punto en que la experiencia empieza a afectar negativamente los ingresos por el decaimiento del capital humano (envejecimiento).
La condición del estado civil no presenta una relación significativa a lo largo de los años de estudio. Los resultados muestran que la condición de soltería no guarda relación con los ingresos que puede percibir una mujer rural. Adicionalmente, sobre la condición de jefa de hogar, esta variable no es significativa en relación con la decisión de participar en el mercado laboral durante los años de estudio. Estos resultados se relacionan con la percepción de integración en una nueva unidad de hogar que tienen la responsabilidad de cubrir íntegramente las necesidades materiales con un único ingreso sin considerar el rol dentro del hogar (Obayelu & Ogunlade, 2006; Rotondi, et al., 2020). Sin embargo, es importante considerar que las mujeres rurales están condicionadas por las relaciones con la unidad familiar para disponer de nuevos ingresos (Hernández, 2012; Hossain & Uddin, 2004; Rotondi et al., 2020).
En lo que se refiere al uso de los teléfonos móviles, existe una relación positiva entre la tenencia del teléfono móvil y los ingresos en las mujeres rurales. Esta relación positiva se da para todos los años del estudio en lo que a uso del teléfono móvil propio se refiere. Los coeficientes para la variable UCPR, además de ser estadísticamente significativos, resultan con unos valores que superan el 0,20 todos los años (respectivamente, 20,5; 44,31 y 27,84). Con una incidencia superior a la que presentan el resto de las variables propias del modelo de capital humano.
En las otras modalidades de uso de telefonía móvil, se observa que el uso de móvil familiar no tiene incidencia significativa en los ingresos de los años de estudio. Este resultado parece indicar que el uso de un móvil familiar no incide en los ingresos de la mujer rural. Comparando este resultado con el anterior, se refuerza la idea de que es el uso del teléfono móvil propio la característica que incide en los ingresos y, en cambio, el simple acceso a un teléfono familiar no es suficiente para que su uso pueda repercutir en los ingresos de la mujer rural y, en consecuencia, en su empoderamiento.
El uso de teléfonos móviles por los grupos de menores recursos depende, en gran medida, de sus estrategias de uso. Los habitantes de zonas rurales usan el teléfono móvil para comunicarse con los miembros de su familia que viven en otras zonas rurales o urbanas. Con la inclusión del móvil, se ha logrado establecer contacto sin tener que viajar de un lugar a otro (Agüero & Barreto, 2012; Martínez & Gómez, 2020). El teléfono móvil también ayuda a los habitantes rurales a comunicarse con amigos a través de redes sociales, (Gasperin, et al., 2019; Macueve et. al, 2009).
De esta forma, el acceso a la telefonía móvil ha coadyuvado, en el mundo rural, a reducir las asimetrías de información a partir de las transferencias de información de precios y mercado. La reducción de costos de transacción y conectividad al mercado, que concluye en una mejora de sus ingresos, contribuye a que los hogares rurales tengan la posibilidad de consumir bienes de clase media o, hasta ahora, de lujo como celulares, electrodomésticos y vehículos (Khan et al., 2019; Musungwini, 2018; Sekabira & Qaim, 2017). Ello, debido al desarrollo del acceso al financiamiento a través de fuentes formales e informales, propias de las dinámicas sociales del consumidor rural, que ha permitido el consumo financiado de dichos bienes como el de telefonía móvil (Ortiz, 2017).
Con respecto a las implicancias prácticas, este artículo propone que el hecho de que las mujeres rurales posean un teléfono móvil propio implicaría un aumento en sus ingresos. Por eso, se sugiere que los gobiernos locales, regionales y nacional, apoyen e implementen cursos de capacitación para las mujeres rurales de bajos ingresos en el uso de las TIC (Gutiérrez & Gamboa, 2010) con el fin de que se mejore el acceso a los teléfonos móviles para así, aumentar la comunicación y las posibilidades de obtener mayores ingresos. (Franciskovic & Miralles, 2021)
Conclusiones
Este artículo pretende, desde la perspectiva de la adopción de las TIC, participar en las aspiraciones de los Objetivos de Desarrollo Sostenible (ODS) con una mirada hacia las mujeres rurales, tanto desde la perspectiva de igualdad de género como desde los retos del mundo rural.
Esta investigación propone medir, a través del modelo de Mincer (1970), el efecto del uso del teléfono móvil y su repercusión en los ingresos. Los resultados confirman que existe una relación positiva entre la tenencia del teléfono móvil y los ingresos en las mujeres rurales y propone que esta relación puede observarse desde una perspectiva de capital humano. Además, esta medida permite distinguir el efecto en los ingresos del teléfono móvil propio de otros usos del teléfono móvil -por ejemplo, el familiar- que no tienen la misma contribución que el propio. Ello implicaría que el empoderamiento derivado del uso del propio teléfono móvil es más importante que otros usos.
Los teléfonos móviles ofrecen una solución atractiva para muchas personas y comunidades rurales, pero los resultados de esta investigación permiten aseverar que no todas las formas de uso del teléfono móvil pueden tener la misma incidencia en los ingresos. Como se ha argumentado, los servicios del teléfono móvil sirven para impulsar la economía y crear oportunidades de trabajo. Para que ello tenga un efecto sobre el nivel de ingresos y el empoderamiento es importante que el teléfono móvil esté a disposición individual.
El presente artículo no está exento de limitaciones que deben resaltarse. Entre las más destacadas está el ámbito geográfico que se ciñe al Perú y a los microdatos de la ENAHO que deben considerarse como secundarios y, por tanto, susceptibles de nuevos trabajos con información primaria. También debe considerarse como limitación el uso de método de Mincer (1970) que, aunque se ha considerado una buena aproximación para los ingresos, no está exento de limitaciones.
Además de las limitaciones propias de la definición del estudio, es importante resaltar que la escasa cobertura de banda ancha, en las zonas rurales, puede impedir que el simple acceso a la telefonía móvil logre una conversión más importante hacia el empoderamiento. Por ello, estudios que tuvieran en cuenta el efecto de una mejor infraestructura digital podrían echar nueva luz. Otras formas de acceso pueden permitir el acercamiento a nuevas dimensiones de empoderamiento que sean relevantes desde la perspectiva de la aportación de considerables beneficios (externalidades positivas) a los habitantes y a las comunidades rurales y microempresas.
Asimismo, según CEPAL (2021) las tecnologías digitales se han vuelto esenciales durante la crisis pandémica. Los avances que se esperaba tardarían años en materializarse, se han producido en tan solo unos pocos meses. Por tanto, con el fin de dar un mayor alcance a los resultados obtenidos, no se puede dejar de recomendar que estudios futuros evalúen las medidas propuestas.
















