Services on Demand
Journal
Article
Indicators
-
Cited by SciELO -
Access statistics
Related links
-
Cited by Google -
Similars in
SciELO -
Similars in Google
Share
Revista Colombiana de Química
Print version ISSN 0120-2804On-line version ISSN 2357-3791
Rev.Colomb.Quim. vol.36 no.1 Bogotá Jan./June 2007
VALIDEZ DEL MÉTODO EXTENDIDO DE HILDEBRAND EN LA PREDICCIÓN DE LAS SOLUBILIDADES DE IBUPROFÉN Y NAPROXÉN EN MEZCLAS PROPILENOGLICOL + ETANOL
VALIDITY OF THE EXTENDED HILDEBRAND SOLUBILITY APPROACH IN THE ESTIMATION OF IBUPROFEN AND NAPROXEN SOLUBILITIES IN PROPYLENE GLYCOL + ETHANOL MIXTURES
VALIDEZ DA APROXIMAÇÃO AMPLIADA DA SOLUBILIDADE DE HILDEBRAND NA ESTIMAÇÃO DA SOLUBILIDADE DE IBUPROFEN E DE NAPROXEN EM MISTURAS DO PROPILENO GLICOL + ETANOL
Diana P. Pacheco, Yady J. Manrique, Edgar F. Vargas 1 , Helber J. Barbosa 2 y Fleming Martínez 2
1 Departamento de Química, Universidad de los Andes, Bogotá, Colombia
2 Departamento de Farmacia, Universidad Nacional de Colombia, Sede Bogotá, Bogotá- Colombia. Correo electrónico : fmartinezr@unal.edu.co
Recibido 02/02/07 Aprobado 27/04/07
RESUMEN
En la presente investigación, el Método Extendido de Solubilidad de Hildebrand (MESH), desarrollado por Martin y cols . se ha aplicado al estudio de la solubilidad del ibuprofén (IBP) y del naproxén (NAP) en mezclas binarias propilenoglicol + etanol a 298,15 K ± 0,05 K. Se han utilizado los volúmenes molares aparentes de los solutos y las fracciones volumétricas de los solvente en las respectivas soluciones saturadas. Se encontró una adecuada capacidad predictiva del MESH al utilizar modelos polinómicos regulares de cuarto orden para IBP y de tercer orden para NAP, relacionando el parámetro de interacción W con el parámetro de solubilidad de las mezclas solventes. Sin embargo, las desviaciones obtenidas en la solubilidad estimada, respecto a los valores experimentales, fueron de magnitud semejante a las obtenidas al calcular esta propiedad directamente, utilizando regresiones empíricas de la solubilidad experimental de los fármacos en función del parámetro de solubilidad de las mezclas cosolventes.
Palabras clave: Ibuprofén, Naproxén, Estimación de solubilidad, Método Extendido de Solubilidad de Hildebrand, Mezclas cosolventes.
ABSTRACT
In this work the Extended Hildebrand Solubility Approach (EHSA) developed by Martin et al ., has been applied to evaluate the solubility of ibuprofen (IBP) and naproxen (NAP) in propylene glycol + ethanol cosolvent mixtures at 298.15 K ± 0.05 K. Apparent molar volumes of the solutes and the volumetric fraction of the solvents in the saturated solutions were employed. A good predictive capacity of EHSA was found using regular polynomial models of order four for IBP and of order three for NAP, when the W interaction parameter was related to the solubility parameter of the solvent mixtures. Nevertheless, the deviations obtained for the estimated solubility respect to experimental solubility were of the same order as compared with those obtained directly using empiric regressions of the experimental solubilities as a function of the cosolvent solubility parameters.
Key words: Ibuprofen, Naproxen, Solubility estimation, Extended Hildebrand Solubility Approach, Cosolvent mixtures.
RESUMO
Neste trabalho a aproximação ampliada da solubilidade de Hildebrand (AASH) desenvolvida por Martin e colaboradores, foi aplicada para avaliar a solubilidade de ibuprofeno e naproxeno em misturas cosolvente do propileno glicol + etanol do 298,15 K ± 0.05 K. Os volumes molares aparentes dos solutos e a fração volumétrica dos solventes nas soluções saturadas foram empregados. Uma boa capacidade predictiva de AASH foi encontrada do usar um modelo polinomial regular em ordem quatro para IBP e em ordem três para a NAP, quando o parâmetro da interação W foi relacionado ao parâmetro da solubilidade das misturas dos solventes. Não obstante, os desvios obtidos na solubilidade estimada respeito aos valores experimentais foram na mesma ordem comparada com as aquelas obtidas diretamente usando regressões empíricas das solubilidades experimentais em função dos parâmetros da solubilidade dos cosolventes.
Palavras chave: Ibuprofeno, Naproxeno, Estimação da solubilidade, Aproximação Ampliada da Solubilidade de Hildebrand, Misturas de cosolventes.
INTRODUCCIÓN
El ibuprofén (IBP) y el naproxén (NAP) son fármacos analgésicos y anti-inflamatorios derivados del ácido propiónico, ampliamente utilizados en la terapéutica actual para el tratamiento sintomático de la artritis reumatoidea y en general, para todo proceso agudo o crónico relacionado con dolor e inflamación (1, 2). En el mercado farmacéutico colombiano, el IBP se dispone comercialmente en forma de tabletas y suspensiones para administración peroral, mientras que el NAP se presenta como tabletas, cápsulas, polvo para suspensión, y además como suspensión preparada, para administración peroral. De otro lado, el IBP no se dispone en presentación inyectable mientras que el NAP si se presenta como inyectable en ampollas de 500 mg/5 mL (3).
Según reportes de la literatura, las formulaciones líquidas inyectables se caracterizan por suministrar una alta dosis de fármaco en un pequeño volumen de producto, por lo tanto, algunas propiedades fisicoquímicas tales como la solubilidad y los volúmenes ocupados por los principios activos y los otros componentes en la solución se tornan muy importantes para el diseñador farmacéutico, ya que el conocimiento de estas propiedades, así como el adecuado manejo y de ser posible, la predicción de estos fenómenos, facilita enormemente la labor de este profesional durante su labor en el desarrollo de medicamentos (4).
Por lo anteriormente expuesto, en la presente investigación se presenta un estudio fisicoquímico sobre la predicción de la solubilidad del IBP y el NAP a 298,15 K ± 0,05 K en mezclas binarias formadas por propilenoglicol y etanol. El estudio está basado en el Método Extendido de Solubilidad de Hildebrand (MESH), el cual fue desarrollado por el Prof. Alfred N. Martin y otros investigadores para su aplicación práctica en sistemas de interés farmacéutico (5-9). Para este fin se determinó la solubilidad de los fármacos en los solventes puros y en diferentes mezclas cosolventes. Además, con el fin de aplicar el MESH a este sistema binario, a partir de medidas de densidad se calcularon las contribuciones volumétricas de los solutos y de las mezclas solventes a las soluciones saturadas, y utilizando además algunos datos de la literatura sobre las propiedades relativas a la fusión de estos fármacos. Esta investigación se constituye en una ampliación de lo presentado previamente en la literatura sobre el estudio de la predicción de la solubilidad del acetaminofén en algunas mezclas cosolventes (10, 11).
ASPECTOS TEÓRICOS
La solubilidad ideal ( X2id ) de un soluto sólido en un solvente líquido para obtener una solución líquida se calcula mediante la expresión [ 1 ] (12):

en la cual, ΔHfus es la entalpía de fusión del soluto, ΔCp es la diferencia de capacidades caloríficas entre el soluto sólido y el soluto como líquido sobre-enfriado, R es la constante de los gases (1,987 cal mol1 K1 ) Tfus es la temperatura absoluta de fusión del soluto y T es la temperatura absoluta de la solución. Puesto que la determinación experimental de ΔCp es bastante compleja, tradicionalmente se han realizado dos aproximaciones en la estimación de la solubilidad ideal, esto es, asumir que ΔCp es igual a la entropía de fusión o que es igual a cero. Considerando la última aproximación, se llega a:

La solubilidad ideal depende exclusivamente de las propiedades del soluto sin considerar en absoluto a las propiedades del solvente, por lo cual en principio este valor es constante y solo depende de la temperatura. En una solución ideal se tiene que los cambios entálpico y volumétrico, durante el proceso de disolución son iguales a cero y por lo tanto, el proceso se conduce únicamente de forma entrópica. Naturalmente, las soluciones ideales son inexistentes y únicamente sirven para explicar el comportamiento de las soluciones reales, en términos de las desviaciones presentadas por éstas, respecto al comportamiento ideal. Estas desviaciones son debidas principalmente a interacciones intermoleculares soluto-solvente o solvente-solvente y además, a efectos volumétricos.
La solubilidad real ( X 2) se calcula adicionando el término de no-idealidad (log γ2 ) a la expresión anterior [ Ec. 2 ] , para obtener (9-11):

El término γ2 es el coeficiente de actividad del soluto en la solución saturada y debe ser determinado experimentalmente para soluciones reales, en las cuales como se indicó previamente, se presentan interacciones de diversa índole, sin embargo se han desarrollado diferentes técnicas para hacer estimados razonables de este término. Un ejemplo específico de tales aproximaciones, lo constituyen las denominadas soluciones regulares introducidas por Hildebrand y Scatchard, en las cuales, a diferencia de las soluciones ideales, se permite un ligero cambio entálpico positivo, esto es, se requiere suministrar una pequeña cantidad de energía para que se conduzca el proceso de solución, mientras que el cambio entrópico es el correspondiente a una solución ideal. La solubilidad en las soluciones regulares (9, 13, 14) se obtiene a partir de:

en la que, V2 es el volumen molar parcial del soluto (cm3 mol1 ), ø1 es la fracción volumétrica del solvente en la solución saturada y δ1 y δ2 son los parámetros de solubilidad del solvente y del soluto, respectivamente. El parámetro de solubilidad se define como la raíz cuadrada de la densidad de energía cohesiva y se calcula como:

donde, ΔHv es la entalpía de vaporización y Vl es el volumen molar del líquido. En la literatura (9, 15) se encuentran disponibles los valores de parámetro de solubilidad para muchos solventes y también para algunos compuestos sólidos, entre ellos varios fármacos.
Puesto que la mayoría de soluciones de interés farmacéutico se desvían notoriamente del comportamiento de las soluciones regulares (debido al tipo de interacciones presentes, en particular la formación de enlaces de hidrógeno, y además, a la diferencia entre los volúmenes molares de solutos y solventes) Martin y colaboradores plantearon la Aproximación Extendida de Solubilidad de Hildebrand a comienzos de los años 80, la cual ha resultado muy útil para estimar la solubilidad de varios fármacos en sistemas cosolventes binarios y ternarios (5-11).
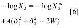
Si se introduce el término volumétrico-energético, A , definido como V2ø12 (2,303RT), entonces, la solubilidad real de un soluto en cualquier sistema solvente se puede calcular a partir de:

en la cual, el término W es igual a 2 K δ1 δ2 , y en donde K es el parámetro de Walker, introducido inicialmente para el estudio de soluciones de polímeros (16). El factor W compensa las desviaciones respecto al comportamiento de soluciones regulares, y se calcula a partir de datos experimentales como:

donde, γ2 como se indicó anteriormente, es el coeficiente de actividad del soluto en la solución y se calcula como el cociente X2id lX2.
Los valores obtenidos experimentalmente para el factor W pueden ser correlacionados mediante análisis de regresión usando polinomios regulares de orden superior en función del parámetro de solubilidad de las mezclas solventes así:

Estos modelos polinómicos pueden ser utilizados para estimar la solubilidad por cálculo reverso (regresión en el cálculo, usando la ecuación obtenida a partir de los datos experimentales), resolviendo esta propiedad a partir del factor W obtenido de la regresión [ Ec. 8 ] .
MATERIALES Y MÉTODOS
Se utilizaron los siguientes materiales: ibuprofén [ácido (±)-2-(4-isobutilfenil)propiónico] y naproxén [ácido d -2-(6-metoxi-2-naftil)propiónico], de calidad USP ( US Pharmacopeia (17)); etanol absoluto R.A. Merck (EtOH); propilenoglicol USP deshidratado (PG); tamiz molecular Merck (números 3 y 4); filtros Durapore® 0,45 m m Millipore Corp.; material aforado de vidrio.
Preparación de las mezclas cosolventes
Se prepararon mezclas binarias PG-EtOH de composición desde 0,00 hasta 100,00 % m/m de PG variando de 10,00 en 10,00 % m/m, por pesada en una balanza digital de platillo externo, Mettler Toledo PB302 de sensibilidad ± 0,01 g , estudiando así las propiedades en los dos solventes puros y en nueve mezclas solventes.
Determinación de la densidad
La densidad de las soluciones se determinó utilizando un densímetro digital DMA 45 Anton Paar conectado a un termostato Magni Whirl Blue M a 298,15 K ± 0,05 K según procedimiento descrito previamente (18). El densímetro se calibró según las instrucciones del catálogo del equipo (19). Las soluciones se introdujeron en el tubo de vibración del equipo utilizando una jeringa plástica de 2 mL esperando hasta la estabilización de la lectura de densidad en la pantalla digital (precisión ± 0,0001 g cm3 ).
Determinación de la solubilidad
Se colocaron cantidades específicas de las diferentes mezclas PG-EtOH y de los solventes puros en frascos de vidrio NP (No parenteral: Tipo IV) y en cada uno se adicionó un exceso de IBP o NAP, se taparon los frascos, se agitaron mecánicamente en un agitador Burell ® Modelo 75 durante una hora y se colocaron en el baño termostatado a 313,15 K ± 0,05 K con agitación manual esporádica durante al menos 72 horas para acelerar el proceso de saturación. Posteriormente se ajustó la temperatura en 298,15 K ± 0,05 K dejando las muestras durante al menos 24 horas para permitir la precipitación del exceso de fármaco disuelto. Se tomaron muestras de las soluciones sobrenadantes, las cuales fueron filtradas para eliminar partículas sólidas no disueltas, determinándoles la densidad siguiendo el procedimiento mencionado anteriormente, para facilitar la interconversión de unidades másicas y volumétricas. Las muestras fueron diluidas gravimétricamente con alcohol USP (17) y analizadas por espectrofotometría UV en un equipo BioMate 3 Thermo Electron Corp. Todos los procedimientos indicados se realizaron al menos tres veces y los respectivos resultados fueron promediados.
Cálculo de las contribuciones volumétricas
Puesto que en el modelo de soluciones regulares de Hildebrand y Scatchard [ Ec. 4 ] y en el modelo extendido por Martin et al. , aplicado a soluciones reales [ Ec. 6 ] , se requieren las contribuciones volumétricas de cada componente (soluto y solvente) a la solución saturada, en este trabajo se utiliza el volumen específico aparente del soluto ( VEA2 ) para calcular estas contribuciones. El valor de VEA2 en cualquier solución se puede calcular como (20):

En la cual m2 y m1 son las masas de soluto y solvente en la solución saturada, respectivamente, VE1 es el volumen específico del solvente (calculado como el recíproco de la densidad) y ρsol es la densidad de la solución. El volumen molar aparente se calcula multiplicando VEA2 por la masa molar del fármaco considerado.
RESULTADOS Y DISCUSIÓN
En la Tabla 1 se presenta la composición másica y volumétrica de las mezclas solventes PG-EtOH junto con las respectivas densidades y parámetros de solubilidad a 298,15 K (21). La fracción volumétrica (φ) se halló simplemente como el cociente entre el volumen de PG y la suma de los volúmenes de EtOH y PG suponiendo aditividad de volúmenes (22). El parámetro de solubilidad de las mezclas solventes ( δmix) se calculó mediante aditividad en términos volumétricos de acuerdo a:


en la cual, δi es el parámetro de solubilidad de cada componente, en este caso 13,0 cal1/2 cm3/2 (unidades Hildebrand) para el EtOH y 14,8 cal1/2 cm3/2 para el PG a 298,15 K (9).
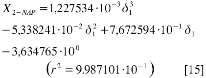
En la Tabla 2 se presentan algunas propiedades fisicoquímicas de los fármacos en estudio tomadas de la literatura (23-26), mientras que en la Tabla 3 se presenta la densidad de las soluciones saturadas de IBP y NAP, y la solubilidad de estos fármacos, expresada en % masa/volumen (g/100 mL) y en fracción molar (en la mayoría de los casos el coeficiente de variación en solubilidad fue menor del 2,0%), observándose que la solubilidad experimental varía de forma no lineal con la composición cosolvente. En las Figuras 1 y Figura 2 se presentan, la solubilidad experimental, la solubilidad ideal [ Ec. 2 ] y la solubilidad calculada usando el modelo de soluciones regulares [ Ec. 4 ] , expresadas en fracción molar, en función del parámetro de solubilidad de las mezclas disolventes. En el caso de la solubilidad experimental de IBP, la tendencia puede ser ajustada a un polinomio regular de segundo grado con un coeficiente de determinación (r 2 ) de 0,9866 (Figura 1), mientras que en el caso de NAP se obtiene un polinomio regular de tercer grado con r 2 igual a 0,9987 (Figura 2).




A partir de los valores de densidad de las mezclas solventes (Tabla 1) y de las soluciones saturadas (Tabla 3), junto con la solubilidad gramar (Tabla 3), junto con la solubilidad evpresada en % m/v, se calcularon las fracciones volumétricas del solvente ( ø1 ) y los volúmenes molares aparentes de los solutos ( V2 ) en las soluciones saturadas por medio de la Ec. [ 9 ] , usando las masas molares de IBP y NAP (Tabla 2). Estos valores se presentan también en la Tabla 3.
Para este tipo de tratamientos predictivos de la solubilidad,tradicionalmente en la literatura se ha asumido como una constante el valor del volumen molar del soluto en la solución (9, 16), valor que en el caso de solutos sólidos (a causa de la gran dificultad en su determinación experimental), la mayoría de las veces es calculado por métodos de contribución de grupos. dentro de los cuales el más popular es el desarrollo por Fedors (27,28). Los valores obtenidos por este método con 195,5 y 185,7 cm3 mol-1, para IBP y NAP respectivamente (Tabla 4). Sin embargo, como se aprecia en la Tabla 2, esta propiedad para el IBP y el NAP no es constante si no que depende de la composición del medio solvente debido a las diferentes clases de interacciones intermoleculares presentes en estas soluciones. En segundo lugar, la fracción volumétrica del solvente en la solución saturada tradicionalmente se ha calculado según la expresión:


donde el término V1 es el volumen molar del solvente. En el caso de mezclas solventes esta última propiedad se ha calculado por el método de aditividad lineal de volúmenes como:

Sin embargo como es bien sabido, en el caso de mezclas cosolventes con fuerte presencia de enlaces de hidrógeno y grandes diferencias en los volúmenes molares de los componentes, los volúmenes de mezcla no son propiamente aditivos. Por lo tanto resulta más práctico hallar las fracciones volumétricas a partir de lo indicado previamente en la metodología, usando la Ec. [ 9 ] .
En la Tabla 5 se presentan los logaritmos de los coeficientes de actividad de los fármacos en las diferentes mezclas, calculados utilizando solubilidades ideales de 0,268 y 0,0833 para IBP y NAP a 25,0 °C , respectivamente (25, 26). En todos los casos, para los dos fármacos g 2 es mayor que la unidad puesto que la solubilidad experimental es menor que la ideal.

Adicionalmente, en la Tabla 5 se presentan los factores A , K y W . Para el cálculo del parámetro W se utilizaron como valores de los parámetros de solubilidad de los fármacos, aquellos obtenidos mediante el método de Fedors (27), esto es, 10,22 y 10,94 cal1/2 cm3/2 para IBP y NAP (Tabla 4). Esto se hizo así ya que en este sistema binario no se obtiene un máximo de solubilidad en alguna mezcla solvente sino que este valor se obtiene en EtOH puro (expresando la solubilidad en la escala de fracción molar), a diferencia de lo encontrado previamente en el caso de la solubilidad del acetaminofén en este mismo sistema cosolvente (10).
Como se indicó anteriormente, el factor W responde por las desviaciones presentadas por las soluciones reales respecto a las soluciones regulares, debido principalmente a interacciones específicas de tipo unión de hidrógeno, presentes en estos sistemas estudiados. Los fármacos y los dos solventes considerados en este estudio pueden fácilmente establecer estas uniones, ya sea como donores o como aceptores de hidrógeno, debido a los grupos hidroxilo en los dos cosolventes, e hidroxilo y carbonilo en los dos fármacos, si bien en el caso el NAP, también por el grupo metoxilo (Tabla 2).
En la Figura 3 se presenta la variación del factor W con el parámetro de solubilidad de las mezclas solventes, donde puede observarse un comportamiento que se desvía ligeramente de la linealidad. En la Tabla 5 se presentan los valores calculados o normalizados del factor W , obtenidos utilizando modelos de primer, segundo, tercer y cuarto grado, donde es bien claro que estos valores dependen del tipo de modelo polinómico regular utilizado en la regresión. Situaciones similares han sido descritas por Martin y cols . (5, 9), estudiando la cafeína en mezclas agua-dioxano, y por Martínez (10, 11), estudiando el acetaminofén en mezclas PG-agua y PG-EtOH, al comparar los resultados obtenidos con polinomios de segundo y de cuarto orden.

En la Tabla 6 se presentan los valores de solubilidad obtenidos por cálculo reverso utilizando los diferentes valores del factor W obtenidos mediante las regresiones polinómicas de diferente orden que han sido presentados en la Tabla 5. Como criterio de comparación, en la Tabla 6 se presentan también los porcentajes de diferencia entre la solubilidad experimental y la calculada usando los diferentes modelos de regresión para el factor W . Si bien, existen otros criterios estadísticos más significados para evaluar la calidad de los modelos de regresión, en este trabajo se utiliza el porcentaje de diferencia puesto que permite analizar directamente la diferencia obtenida en cada punto de composición cosolvente.

Puede observarse que en la medida en que se van haciendo más complejos los polinomios, se van obteniendo mejores concordancias entre los valores calculados y los experimentales, lo que se confirma al verificar los porcentajes de desviación promedios, los cuales son: 3,54%, 1,63%, 1,61% y 1,56% en IBP y 2,26%, 1,06%, 0,74% y 0,98% en NAP, para los órdenes, 1, 2, 3 y 4, respectivamente. Es de resaltar que el incremento más notable en la concordancia obtenida se presenta al pasar del orden 1 al 2, mientras que en los siguientes pasos aparentemente no hay cambios significativos; sin embargo para los cálculos siguientes se utilizan los modelos con menor desviación, como se ha hecho tradicionalmente en la literatura (10, 11), esto es, órdenes 4 y 3 para IBP y NAP, respectivamente.
Una reflexión que podría surgir respecto a la concordancia obtenida al comparar la solubilidad experimental con la calculada a partir de modelos de regresión construidos sobre datos experimentales directos o procesados, es la relativa a la justificación de cálculos complejos involucrando otras variables del sistema ( [ Ec. 6 ] y Tabla 5 y Tabla 6), en lugar de la simple regresión de solubilidad en función del parámetro de solubilidad de la mezcla solvente (Tabla 3, Figura 1 y Figura 2). Por lo tanto, en la Tabla 7 se comparan las solubilidades experimentales, las calculadas directamente por regresión en los polinomios regulares de segundo y tercer grado de las Figuras 1 y 2 [ Ecs. 13 y 15 ] , y las calculadas indirectamente involucrando los parámetros W obtenidos de los polinomios de cuarto y tercer grado ( [ Ecs. 14 y 16 ] y Tabla 6). En los dos casos se utilizó notación científica y se consideraron siete cifras significativas en los coeficientes de los polinomios. Se presentan adicionalmente en esta tabla los respectivos porcentajes de diferencia, respecto al valor experimental.





En la Tabla 7 puede observarse que aparentemente no hay diferencias significativas entre los valores calculados por los dos métodos, lo que se verifica mediante los promedios de desviación, los cuales son 2,52% y 1,56% en IBP y 0,69 y 0,74% en NAP, para los cálculos directo y por el Método Extendido de Hildebrand, respectivamente. A diferencia de lo encontrado en el estudio del acetaminofén (10, 11), en el caso de IBP y NAP, los resultados previos estarían demostrando una escasa practicidad del MESH, método que a su vez implica experimentación adicional (entre la que se destaca la determinación de densidades y de algunas propiedades relativas a la fusión del soluto). Sin embargo debe tenerse presente que este método considera a la solubilidad desde un enfoque fisicoquímico sistemático muy racional, y además porque únicamente haría falta encontrar un método efectivo para calcular el parámetro K de Walker con el cual calcularía el término W según la expresión 2 K δ1δ2 mencionada anteriormente, ya que los términos δ1 y δ2 serían conocidos, y entonces podría calcularse directamente la solubilidad de los fármacos en cualquier composición cosolvente.
CONCLUSIONES
De todo lo descrito anteriormente se verifica que en este sistema solvente no se obtiene la máxima solubilidad de IBP y NAP en una mezcla solvente por lo que el parámetro de solubilidad de estos dos fármacos es inferior al correspondiente al solvente menos polar, esto es, el EtOH. La solubilidad experimental de estos dos fármacos es menor que las respectivas solubilidades ideales, lo que a su vez conduce a coeficientes de actividad mayores que la unidad. Adicionalmente, en esta investigación se ha utilizado satisfactoriamente el Método Extendido de Solubilidad de Hildebrand al estudio de la solubilidad de IBP y NAP en mezclas PG-EtOH, utilizando para este fin el volumen molar aparente del soluto y la fracción volumétrica del solvente en la solución saturada. En particular, se ha encontrado una buena capacidad predictiva utilizando un modelo polinómico de cuarto orden del parámetro de interacción W en función del parámetro de solubilidad de las mezclas solventes para IBP y de tercer orden para NAP. Sin embargo, al comparar los resultados obtenidos directamente y aquellos obtenidos con el MESH, aparentemente se encuentra que no hay mejoría significativa en el carácter predictivo al pasar desde el método estrictamente empírico hasta el método propuesto por Martin y cols . , a diferencia de lo encontrado en el estudio de otros fármacos. Finalmente puede decirse que la información fisicoquímica presentada en este trabajo puede resultar de utilidad en el diseño de formulaciones líquidas homogéneas de tipo parenteral a base de estos dos fármacos, si bien experimentalmente estos dos cosolventes suelen usarse preferiblemente en combinación con el agua, obteniendo un sistema cosolvente ternario, el cual es más tolerable a nivel fisiológico.
AGRADECIMIENTOS
Agradecemos muy formalmente a la DIB-DINAIN de la Universidad Nacional de Colombia por el apoyo financiero y al Departamento de Farmacia por facilitar los equipos e instalaciones requeridos para el desarrollo de esta investigación.
REFERENCIAS BIBLIOGRÁFICAS
1. Roberts II L.J.; Morrow J.D. (2001). Analgesic-antipyretic and anti-inflammatory agents and drugs employed in the treatment of gout. En: Goodman & Gilman's. The Pharmacological Basis of Therapeutics, 10 ed. New York : McGraw-Hill. p. 703-5. [ Links ]
2. Lund W. (1994). The Pharmaceutical Codex: Principles and Practice of Pharmaceutics. 12 ed. London : The Pharmaceutical Press. [ Links ]
3. Rosenstein-Ster E. (2004). Diccionario de Especialidades Farmacéuticas. 32 ed. Bogotá: Thompson P.L.M., S.A. [ Links ]
4. Jiménez F.; Martínez F. Una estrategia para la selección sistemática de vehículos en el diseño de forma farmacéuticas líquidas homogéneas. Rev. Col. Cienc. Quím. Farm . 1995. 24 (1) 19. [ Links ]
5. Martin A.; Newburger J.; Adjei A. Extended Hildebrand approach: solubility of caffeine in dioxane-water mixtures. J. Pharm Sci . 1980. 69 (6) 659. [ Links ]
6. Martin A.; Wu P.L. Extended Hildebrand solubility approach: p-Hydroxibenzoic acid in mixtures of dioxane and water. J. Pharm. Sci . 1981. 72 (6) 587. [ Links ]
7. Martin A.; Miralles M.J. Extended Hildebrand solubility approach: Solubility of tolbutamide, acetohexamide, and sulfisomidine in binary solvent mixtures. J. Pharm. Sci . 1982. 71 (4) 439. [ Links ]
8. Martin A.; Wu P.L.; Adjei A.; Mehdizadeh M.; James K.C.; Metzler C. Extended Hildebrand solubility approach: Testosterone and testosterone propionate in binary solvents. J. Pharm. Sci . 1982. 71 (12) 1334. [ Links ]
9. Sinko, P.J. (2006). Martin's Physical Pharmacy and Pharmaceutical Sciences. 5 ed. Philadelphia : Lippincott Williams & Wilkins. p. 247-50. [ Links ]
10. Martínez F. Aplicación del método extendido de Hildebrand al estudio de la solubilidad del acetaminofén en mezclas etanol-propilenoglicol. Acta Farm. Bonaerense 2005. 24 (2) 215. [ Links ]
11. Martínez F. Utilidad del método extendido de Hildebrand en el estudio de la solubilidad del acetaminofén en mezclas agua-propilenoglicol. Rev. Acad. Colomb. Cienc. 2005. 29 (112) 429. [ Links ]
12. Ávila C.M.; Martínez F. Thermodynamic study of the solubility of benzocaine in some organic and aqueous solvents. J. Solution Chem . 2002. 31 (12) 975. [ Links ]
13. Yalkowsky S.H. (1999). Solubility and Solubilization in Aqueous Media. New York : American Chemical Society and Oxford University Press. p. 20-80. [ Links ]
14. Hildebrand J.H.; Prausnitz J.M.; Scott R.L. (1970). Regular and Related Solutions. New York: Van Nostrand Reinhold. [ Links ]
15. Hansen C.M.; Beerbower A. (1971). Solubility parameters. En: Kirk & Othmer: Encyclopedia of Chemical Technology, Suppl. 2 ed. New York : John Wiley & Sons. p. 889-910. [ Links ]
16. Martin A.; Bustamante P. El parámetro de solubilidad en las ciencias farmacéuticas. Anal. Real Acad. Farm . 1989. 55 (2) 175. [ Links ]
17. US Pharmacopeia. 23. ed. Rockville, MD: United States Pharmacopeial Convention, 1994. [ Links ]
18. Martínez F.; Gómez A.; Ávila C.M. Volúmenes molales parciales de transferencia de algunas sulfonamidas desde el agua hasta la mezcla agua-etanol (X = 0.5). Acta Farm. Bonaerense 2002. 21 (2) 107. [ Links ]
19. DMA 45. (1980). Calculating Digital Density Meter Instruction Manual. Graz, Austria: Anton Paar, K.G. p. 1-12. [ Links ]
20. Mora C.P.; Lozano H.R.; Martinez F. Aspectos termodinámicos de la miscibilidad parcial entre el n-octanol y el agua. Rev. Bras. Cienc. Farm . 2005. 41 (1) 13. [ Links ]
21. Jiménez J.; Martínez F. Volumetric properties of 1,2-propanediol + ethanol mixtures at different temperatures. Phys. Chem. Liquids 2006. 44 (5) 521. [ Links ]
22. Connors K.A. (2002). Thermodynamics of Pharmaceutical Systems: An Introduction for Students of Pharmacy. Hoboken , NJ : Wiley-Interscience. p. 61-6. [ Links ]
23. Budavari S.; O'Neil M.J.; Smith A.; Heckelman P.E.; Obenchain Jr. J.R.; Gallipeau J.A.R.; D'Arecea M.A. (2001). The Merck Index: An Encyclopedia of Chemicals, Drugs, and Biologicals. 13. ed. Whitehouse Station , NJ : Merck & Co., Inc. [ Links ]
24. Betageri G.V.; Nayernama A.; Habib M.J. Thermodynamics of partitioning of non-steroidal anti-inflammatory drugs in the n-octanol/buffer and liposome systems. Int. J. Pharm. Adv . 1996. 1 (3) 310. [ Links ]
25. Ertel K.; Heasley R.A.; Koegel C.; Chakrabart A.; Carstensen J.T. Determination of vapor pressure of ibuprofen at temperatures of pharmaceutical interest. J. Pharm. Sci. 1990. 79 (6) 52. [ Links ]
26. Perlovich G.L.; Kurkov S.V.; Kinchin A.N.; Bauer-Brandl A. Thermodynamics of solutions III: Comparison of the solvation of (+)-naproxen with other NSAIDs. Eur. J. Pharm. Biopharm. 2004. 57 (2) 411. [ Links ]
27. Fedors R.F. A method for estimating both the solubility parameters and molar volumes of liquids. Polym. Eng. Sci . 1974. 14 (2) 147. [ Links ]
28. Reillo A.; Escalera J.B.; Selles E. Utilidad del método de Fedors en el cálculo del parámetro de solubilidad de la sulfanilamida. Ciencia Pharmaceutica 1993. 3 (1) 249. [ Links ]













