Introducción
El valle del río Cauca, en Colombia, en medio de las cordilleras central y occidental, es una planicie o llanura que tiene una altitud media de 1000 metros sobre el nivel del mar, que se ubica entre los 3 y 5°N de latitud. Las cordilleras, la posición ecuatorial y la cercanía al océano Pacífico determinan el clima de la región (Cortés et al., 2019). A su vez, la zona de confluencia intertropical se configura como el principal modulador de variabilidad climática intra-anual del territorio (Zea et al., 2000). En esta planicie el 65 % del total de tierras disponibles para la agricultura (250.000 ha, aproximadamente) están sembradas con caña de azúcar. La industria de la caña sustenta en gran medida la economía regional y representa el 3.7 % del PIB agrícola de Colombia (Asociación de Cultivadores de Caña de Azúcar de Colombia [Asocaña], 2017). La producción de caña y de sus derivados genera 37.500 empleos directos y más de 240.000 empleos indirectos. Por lo tanto, el cultivo de esta especie no solo sustenta la economía regional sino la economía nacional (Preciado et al., 2020). El sistema de producción de caña de azúcar en la región es intensivo, se siembra y se cosecha durante todo el año (no zafras) y la mayor parte de las labores son mecanizadas (Arias et al., 2016; Porras, 1995).
Por su localización ecuatorial, en el valle del río Cauca se puede sembrar y cosechar caña de azúcar durante todo el año (no Zafras) (Henry, 2005). En tales condiciones, donde la temperatura del aire y la radiación no sufren cambios drásticos a través del tiempo, como está reportado desde hace casi 150 años (Wallace, 1878), la precipitación se convierte en el elemento climático de mayor variabilidad intra e interanual. Sin embargo, el impacto de la lluvia sobre los sistemas de producción agrícola mecanizada es doble. Afecta de forma directa, a través del efecto fisiológico sobre las plantas cultivadas y sobre la dinámica poblacional de especies antagonistas. De forma indirecta, la precipitación impacta a través del efecto que ejerce la lluvia sobre la oportunidad de realización de labores en campo. La oportunidad de labor se refiere a la posibilidad de ejecutar itinerarios técnicos, como la cosecha, la fertilización, el laboreo del suelo y el control de malezas, en el momento indicado. No obstante, la probabilidad de efectuar una labor en el momento requerido depende del estado de humedad del suelo.
En este estudio se genera información para el mejoramiento de la planificación del cultivo de la caña de azúcar a escala de lote de cultivo, a partir del conocimiento del efecto de la lluvia sobre la oportunidad de realizar labores de campo. Se parte de la premisa de que, si bien, el volumen medio de lluvia por unidad de área y el número medio de días con lluvia por mes permiten identificar estaciones de siembra y cosecha, el tomador de decisiones a escala de lote (suerte) debe responder interrogantes más complejas. El encargado de un cultivo de caña debe responder preguntas como ¿cuánto durará la actual condición de lluvias? o ¿habrá otra condición como la actual en lo que queda del mes? Estas preguntas pueden responderse a la luz de los análisis de las rachas de lluvia. Por lo tanto, este estudio tuvo como objetivo identificar el comportamiento mensual de dos índices meteorológicos de interés agrícola, llamados número de rachas por mes y longitud media de la racha, que puedan ser usados como variables claves en la definición de manejo agrícola, enfocado al cultivo de la caña de azúcar, en el valle del río cauca, Colombia.
Métodos
Escala de análisis espacial.
De acuerdo con Cortés et al. (2019), en la región productora de caña de azúcar del valle del río cauca se identifican siete zonas climáticas (Figura 1). En la definición de las zonas se tuvo en cuenta la precipitación acumulada y otras variables meteorológicas diferentes a la lluvia, por lo que la zonificación define sitios con características climáticas diferentes que podrían afectar la producción potencial de cultivos en la región. Dado que dicha zonificación es la herramienta para tomar varias decisiones que involucran clima y manejo del cultivo, este estudio se centra en ese antecedente. Es decir, el análisis es a escala de zona climática.
Datos
Se utilizaron los datos diarios de lluvia medidos en las estaciones meteorológicas instaladas en las zonas climáticas (Figura 1). En total son 34 estaciones, en las que se mide la precipitación a un metro de altura, de acuerdo con las especificaciones de la organización meteorológica mundial (World Meteorological Organization [WMO], 2008). El dispositivo utilizado para ello fue un pluviómetro de superficie de captación circular de 0.2 m de diámetro, con embudo estándar, a cuya salida se encuentra el sensor, el cual mide el número de movimientos de los baldes basculantes, específicamente un pluviómetro Texas TR-525 (Texas Electronics, Dallas, Texas). Un dispositivo de almacenamiento o datalogger modelo CR-1000 (Campbell Sci., Logan, Utah) se utiliza para guardar la información horaria y generar el dato diario con base en ella. A pesar de que las estaciones no tienen la misma longitud temporal, la mayoría de ellas fueron instaladas entre 1993 y 1997 y se utilizaron los datos registrados por ellas hasta el último día del año 2019.
Análisis
Generación de las rachas de lluvia.
Una racha se define como una secuencia de valores muestrales con una característica común precedida y seguida por valores que no presentan aquella característica. Aplicado a valores de lluvia, los cuales están indexados en el tiempo (nivel diario en este trabajo), una racha se entiende como días consecutivos con lluvia mayor a 1 mm hasta que deja de llover. Según esta definición, y teniendo en cuenta que un mes puede tener 28, 29, 30 o 31 días, una variable aleatoria X que cuente la duración de la racha (número de días consecutivos con lluvia mayor a 1 mm) tendrá como dominio los números naturales entre 1 y 28, 29, 30 o 31 según el mes. Por definición de racha, X es cero-truncada, ya que, de lo contrario, contaría como un día sin lluvia. En este trabajo, y por zona climática y por mes, se unieron las duraciones de las rachas de lluvia y se construyó la tabla de frecuencias en las que se muestran sus respectivas media y varianza.
Ajuste de la duración de la racha a un modelo probabilístico.
Dado el comportamiento frecuentista del número de días con lluvia, el cual es de cola larga, se ajustó a un modelo binomial negativo. Además, como la mínima racha de lluvia es un día, se utilizó el modelo binomial negativo truncado en cero derivado de la siguiente forma:
Sea
Una parametrización de la distribución binomial negativa (Lloyd-Smith, 2007), evaluando la ecuación en el valor cero (0) se tiene,
Ahora, por la probabilidad condicional de X , dado X > x 0 , x0 fijo se tiene (Hogg et al., 2019):
Cuyo valor esperado es (Taylor et al., 1979):
Y varianza (Taylor et al., 1979):
La estimación de μ y k se hizo maximizando la verosimilitud de la cual es:
La sistematización se hizo en SAS STAT V15.1 procedimiento nlmixed a partir de la verosimilitud de la ecuación (6).
Generación de ventanas de pluviosidad.
Retomando el hecho de que
cuando x es discreta, se tiene que:
Siendo la ecuación (8) la probabilidad de llover más de x días dado que ya llovió más de x 0 días. El cálculo de estas probabilidades permite aproximar una de la racha de lluvia asociada a una probabilidad de ocurrencia. En este trabajo se muestran la duración de la racha en días mientras que la probabilidad de la ecuación (8) sea mayor a 1 %, 5 %, 10 %, 25 %, 40 % y 60 %.
Resultados y discusión
Descripción de las temporadas secas y lluviosas.
En el valle del río Cauca la lluvia total anual se acumula siguiendo un patrón bimodal (Cortés y Barrios, 2010). No está relacionado este patrón con una doble moda en los histogramas de frecuencias de eventos de lluvia. Se designa bimodal al patrón de alternancia de dos épocas secas y dos épocas lluviosas a través del año. Se ha determinado que ese comportamiento está asociado con el doble paso del ecuador climático, también conocido como zona de confluencia intertropical, sobre la región ecuatorial (Jaramillo, 2005). Sin embargo, vale la pena anotar que este patrón se ha idealizado y se tiende a pensar que cada una de las épocas en cuestión tienen una duración similar, de alrededor de 91 días, y que la intensidad de la precipitación en cada par de épocas es idéntica.
En los trabajos realizados por Cortes y Barrios (2010) se aclaró que, además de las épocas secas y lluviosas, existen en el ciclo anual de lluvias temporadas de transición que, por lo general, no se vislumbran en los análisis a escala mensual. Queda en evidencia la naturaleza local del tipo de patrón de distribución intraanual de las lluvias, identificándose tres tipos de bimodalidad (Figura 2). La bimodalidad del valle del río Risaralda (zona 5) con una época seca fuerte, pero corta, entre diciembre y enero, casi sin segunda época lluviosa, difiere de la bimodalidad que se observa en el sur del valle del río Cauca (zonas 6 y 7). En el sur, la época seca de mitad de año es más fuerte que la de principio de año, mostrando un comportamiento temporal inverso al del valle del Risaralda (Figura 2). En el resto de la región (zonas 1, 2, 3 y 4) el comportamiento de la lluvia es cercano al idealizado (Figura 2a). Las tres regiones tienen también un comportamiento típico del número de días con precipitación. En los meses lluviosos hay un mayor número de días con lluvia, mientras que en los meses secos se encuentra un menor número de días lluviosos (Figura 2b).

Figura 2 Valores medios y desviación estándar de la precipitación mensual en las zonas (arriba) y número de días lluviosos (abajo).
Esta información es suficiente para planificar cultivos a escala de año y de mes; de hecho, con base en aquella información se determina, desde las épocas en las que se cosechará mayormente bajo el esquema semi mecanizado, las fechas de preparación de suelos para nuevas siembras (plantillas), hasta las épocas para el mantenimiento de las fábricas (ingenios). Específicamente, en el norte y en el sur del valle del río Cauca, ciertas actividades deberían concentrarse más, dado que las épocas secas tienen menor duración en comparación con lo que ocurre en otras zonas (Figura 2). Sin embargo, para la planificación semanal de actividades esta información puede ser insuficiente.
Análisis descriptivo de las rachas de lluvia.
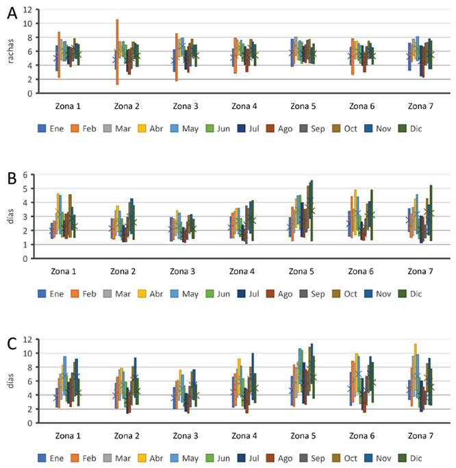
En las zonas climáticas 1, 5, 6, y 7, por ejemplo, el número medio de rachas por mes varía poco a través del año. En dichas zonas, son comunes 5 a 6 rachas por mes (Figura 3a), variando la duración media de la racha a través de los meses. El mayor número medio de días por racha se observa en las épocas lluviosas y lo contrario en las épocas secas (o menos lluviosas) (Figura 3b). En las otras zonas climáticas (2, 3 y 4), varían tanto el número de rachas, como el número medio de días por racha (Figura 3). En las zonas 2, 3 y 4 es normal encontrar que el número de rachas y la longitud media de la racha es menor en épocas secas (o menos lluviosas) en comparación con las épocas lluviosas, cuando ambas variables tienden a ser mayores.

Figura 3 Promedio y desviación estándar del número de rachas por mes (A), de duración de cada racha (B) y de duración máxima de cada racha (C).
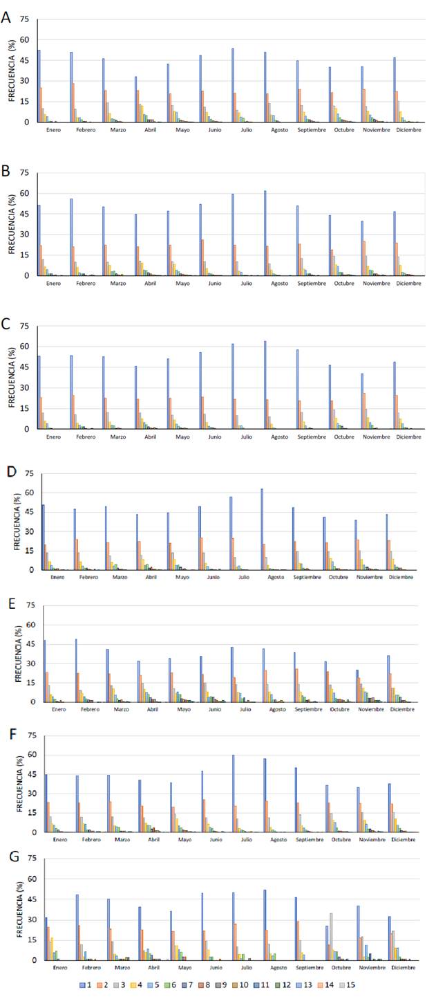
Las zonas 1, 5, 6 y 7 tienen la misma característica; las estaciones ubicadas en esas áreas están expuestas, o por lo menos más cercanas, a las dos cordilleras. Es decir, se trata de un efecto orográfico que determina que aun en temporadas secas haya alguna probabilidad de lluvias. De otra parte, el promedio del máximo número de días consecutivos con lluvia que puede tener una racha sigue un patrón bimodal clásico, mostrando claramente el efecto de la ZCIT sobre esta variable (Figura 3c). Sin embargo, el análisis de eventos muestra que lo que marca la diferencia entre los meses de mayor y menor acumulación de lluvias es la frecuencia de rachas de un día de duración. En los meses secos (menos lluviosos), este evento (1 día de lluvia) es más frecuente que en los meses lluviosos (Figura 4).

Figura 4 Frecuencia relativa de rachas de diferente duración (15 15 días) en diferentes meses y en diferentes zonas, na 1 (A) a zona 7 (G).
En términos de frecuencia, y en forma generalizada para todas las zonas climáticas, los meses en los que se esperaría tener rachas de mayor longitud serían abril, mayo, octubre, noviembre y diciembre. Vale la pena mencionar que la reducción en la frecuencia de rachas de longitud uno (1 día), no representa necesariamente un incremento en la frecuencia de algún otro tipo de evento en particular. Como característica especial, en las tres zonas más lluviosas de la región (zonas 5, 6 y 7) la diferencia entre la frecuencia de rachas de un día y de dos días es más baja que en las otras zonas climáticas, concretamente durante los meses lluviosos (Figuras 5e, 5f, 5g).
De acuerdo con el análisis anterior, queda expuesta claramente la condición inversa del ciclo anual de lluvias existente entre la zona lluviosa del norte (zona 5) y las zonas lluviosas del sur (zonas 6 y 7). Es decir, mientras en la zona 5 la máxima frecuencia de rachas de un día es alta únicamente durante enero y febrero, en las zonas 6 y 7 la máxima frecuencia de este tipo de evento se presenta entre julio y agosto, mostrando que las épocas secas importantes varían temporalmente entre norte y sur. Además, se observa que, con excepción de la zona climática 1, la menor frecuencia de rachas de longitud uno (1 día) se presenta de forma generalizada entre octubre y diciembre, mostrando una diferencia básica en el comportamiento de las dos temporadas lluviosas (Figura 4). Es decir, es posible que las labores mecanizadas se vean más interrumpidas durante la temporada lluviosa del segundo semestre, en comparación con las de la temporada lluviosa del primer semestre del año. En la zona climática 1, la menor frecuencia de este evento se presenta en abril. En la Figura 5 se describe la longitud de la racha asociada a una probabilidad empírica del 80 % (Frecuencia relativa de los histogramas).
Ajuste al modelo probabilístico y definición de manejo.
El modelo binomial negativo truncado en cero se ajustó a las rachas de lluvia de las siete zonas climáticas por cada mes, mostrándose las estimaciones de μ y k en la Tabla 1. En la prueba Chi-Cuadrada no se evidenció que las rachas no se ajustaron a la distribución en cuestión (P-valores > 0.05) (Figura 6). En general, se encontró que, dependiendo de la zona climática y del mes, hay mayor probabilidad de tener rachas de lluvia de diferente longitud. Por ejemplo, históricamente durante el mes de enero, el 80 % de las veces se han presentado longitudes de racha inferiores a cuatro días en la zona climática 7, inferiores a tres días en las zonas climáticas 2, 4, 5 y 6, e inferiores a dos días en las zonas climáticas 1 y 3 (Figura 7). Lo anterior significa que, si se tiene programada una actividad de manejo en enero y llueve, hay mayor probabilidad de que el evento lluvioso se prolongue y llueva de nuevo al día siguiente en las zonas climáticas 2, 4, 5, 6 y 7.
Tabla 1 Parámetros del modelo binomial negativo truncado en cero para cada zona y mes

*decisión a largo plazo; **decisión a corto plazo; a referirse a la Tabla 2; b referirse a la Tabla 3; c referirse a la Tabla 4 en el casi de abril (zona 6) o Tabla 5 en el caso de agosto (zona 6). Las otras probabilidades (otros meses y zonas) pueden se halladas utilizando la ecuación 8 y los parámetros de la Tabla 1

Figura 6 Frecuencia empírica vs. frecuencia teórica de la longitud de la racha (días) para algunas zonas (cl) y meses contrastantes.

Figura 7 Frecuencia acumulada teórica de la longitud de la racha (días) de acuerdo con el modelo ajustado por zona (cl) y por mes (1-12).
Teniendo en cuenta que el drenaje de la mayoría de los suelos en el valle del río Cauca es lento (Carbonell et al., 2001), el número de días en los que las labores mecanizadas pueden restringirse, por efecto de un evento lluvioso de duración n (en días), será de entre uno y cinco días en la zona climática 3 en julio, mientras que en la zona climática 5, en noviembre, la restricción puede ser de entre uno y 13 días (Tabla 2). Con base en esta información, queda claro que hay épocas del año en las que, debido a las condiciones climáticas, es poco probable realizar labores agrícolas mecanizadas. De hecho, si es posible hacer las labores, pero produciendo daños en el suelo y en los nuevos brotes de caña de azúcar (Erickson, 2006).
Tabla 2 Duración de la racha de lluvia asociada a diferentes probabilidades acumuladas (%). Época lluviosa
La aplicación del modelo binomial negativo en las labores y la logística mensual del cultivo de la caña de azúcar es inmediata en modelos de asignación, como los que se reportan en Guan et al. (2008) para diseñar planes de trabajo en haciendas. Dependiendo del tipo de suelo y la época del año es posible definir la fecha óptima de ejecución de una labor mecanizada. Por ejemplo, durante el mes de marzo, un tomador de decisiones ubicado en la zona climática 6 (sur del valle), que está planificando una labor para el mes de abril, y que está al tanto del contexto pluvial del momento (húmedo o seco) puede definir de mejor manera la oportunidad de realizar dicha labor (Figura 8). Con conocimiento del contexto pluvial se hace referencia a que, como definieron Peña et al. (2001) para la región, no todos los años son similares y se encuentran periodos más y menos húmedos. Es decir, en un periodo húmedo, como ocurre en la mayoría de los eventos La Niña en la región andina (Ramírez y Jaramillo, 2009), la racha puede ser de hasta 13 días en abril (Tabla 2).

Figura 8 Esquema básico de uso del análisis del número de días consecutivos con lluvia en la toma de decisiones a escala de lote de cultivo.
Por otra parte, durante el mismo mes de abril, en el contexto de escasez de lluvias (probablemente un evento El Niño), la racha máxima puede ser hasta de dos días (Tabla 3). Considerando la prioridad que tenga una labor, el decisor puede decidir efectuarla y asumir los costos financieros de remediar el daño en el suelo, cuando la hace en condiciones no óptimas. También puede desistir de ejecutar la labor y ajustar el calendario de actividades, al priorizar labores en otras zonas climáticas, para las cuales debería hacer el mismo tipo de consulta (Tablas 2 y 3).
Tabla 3 Duración de La racha de Lluvia asociada a diferentes probabilidades acumuladas (%). Época seca
Finalmente, puede decidir aplazar la realización de la labor para otro momento del mes de abril en el que esta pueda realizarse. En ese caso, con base en la Ecuación 8, el decisor puede definir, teniendo en cuenta la condición del momento, la probabilidad de que el comportamiento de la lluvia cambie o se mantenga en los siguientes días (Tabla 4). En este caso, la condición del momento se refiere al número de días lluviosos consecutivos ocurridos hasta el momento. Con base en la ecuación ya referenciada (Ecuación 8), se puede determinar la probabilidad de que haya n número de días más con lluvia dado que ya llovieron n días consecutivos (Tabla 4). Después de dicha consulta, el abanico de decisiones es el mismo que el del ejemplo anterior (Figura 8). La Tabla 5 muestra las probabilidades de ocurrencia de diferentes eventos en un mes seco (agosto) en la misma zona (zona 6).
Tabla 4 Probabilidad de que llueva más dfas (F^), dado que llovió el número de dfas (P^). Mes de Abril. Zona climática 6
Conclusiones
El número medio mensual de rachas y la longitud media mensual de las rachas de lluvia, varía espacialmente. En la zona media del valle del río Cauca (zonas 2, 3 y 4) estos índices adquieren valores bajos durante las temporadas secas y altos durante las lluviosas. Sin embargo, en el sur, zonas 6 y 7, y en el norte, zonas 1 y 5, solo varía la longitud media mensual de la racha a través del año. En el norte y en el sur el número de rachas no varía significativamente entre meses, mostrando que los procesos de pluvio-génesis son más locales en dichas zonas. Esta información muestra que el ciclo anual del total de lluvia mensual difiere de la forma en la que se dispone esta a través del mes y que es de vital importancia para el manejo de cultivos que, como en el caso de la caña de azúcar, las labores son, en su mayoría, mecanizadas. Es importante dado que realizar labores agrícolas en el momento no apropiado, o no realizarlas por efecto del clima, determina reducciones en la productividad. realizar las labores en forma oportuna durante días en los que el suelo no tiene la condición óptima (suelos humedecidos) genera pérdida productiva a largo plazo y reducción en la rentabilidad, asociada a la inversión en labores de mitigación del daño causado. Las rachas de lluvia, generadas a partir de la información diaria, permiten determinar la probabilidad de que se mantengan condiciones lluviosas en diferentes escenarios mes x zona, en condiciones del valle del río Cauca.

























