Services on Demand
Journal
Article
Indicators
-
Cited by SciELO -
Access statistics
Related links
-
Cited by Google -
Similars in
SciELO -
Similars in Google
Share
Apuntes del Cenes
Print version ISSN 0120-3053
Apuntes del Cenes vol.33 no.57 Tunja Jan./June 2014
Artículo de Investigación
Plusvalía, salario real y eficiencia del trabajo en el sector manufacturero en Colombia*
Capital gain, real wages and labor efficiency in the manufacturing sector in Colombia
Jhon Alexander Méndez Sayago**
* Este artículo forma parte de la tesis de grado "Salarios y productividad laboral en Colombia" para optar por el título de Doctorado en economía del Desarrollo de la Facultad Latinoamericana de Ciencias Sociales FLACSO sede Ecuador.
** Profesor asistente, Departamento de Economía, Universidad del Valle. Cali, Colombia. Ingeniero Civil de la Universidad Francisco de Paula Santander. Ocaña, Cúcuta. Máster en Economía de la Universidad Javeriana. Bogotá, Colombia. Master en Economía del Medio Ambiente y de los Recursos Naturales de la Universidad de los Andes. Correo electrónico: jhon.mendez@correounivalle.edu.co.
Fecha de recepción: 2 de agosto de 2013 Concepto de evaluación: 18 de febrero de 2014 Fecha de aprobación: 21 de marzo de 2014
Resumen
Este artículo se propone encontrar evidencia empírica sobre la relación positiva que se teje entre los salarios y la productividad del trabajo para la industria manufacturera colombiana. Esta relación se sustenta en la teoría del estatus nutricional de Leibstein (1957), así como en la conjetura de la relación entre el salario y el valor de la fuerza de trabajo de Marx (1946). Para tal efecto se estimó una función de producción aumentada en salarios con datos panel y se encontró que el salario de obreros y operarios de producción incide en su productividad. Con la elasticidad salario estimada se simuló el efecto sobre los beneficios de una política de incremento del 1 % del salario. Se encontró que el 61.5 % de los sectores manufactureros mejorarían sus ganancias con esta política.
Palabras clave: salarios de eficiencia, valor de la fuerza de trabajo, productividad laboral, función de producción aumentada en salarios.
JEL: J24, C52.
Abstract
This paper aims to find empirical evidence on the positive relationship that is woven between wages and labor productivity for the Colombian manufacturing industry. This relationship is based on the theory of nutritional status of Leibstein (1957) as well as the conjecture of the relationship between wages and the value of the labor force of Marx (1946). To this purpose a production function augmented on wages with panel data was estimated and found the wage of production operative and laborer affects their productivity. With the wage elasticity estimated the effect on the benefits of a policy increase of 1 % of salary was simulated. It was found that 61.5 % of the sectors improve their profits with this policy.
Keywords: efficiency wages, value of labor force, labor productivity augmented wages production function.
INTRODUCCIÓN
La moderación salarial recomendada por la economía ortodoxa es una de las políticas económicas más instrumentadas por los gobiernos para enfrentar con éxito la competencia internacional. Aparentemente, los países enfrentan el siguiente trilema: mejorar la competitividad, aumentar los salarios y reducir el desempleo. Como comentan Álvarez y Luengo (2011), para la ortodoxia de la economía la estrategia aludida de abaratamiento de los costos laborales, genera ganancias empresariales que constituyen el motor del proceso de acumulación, y, en esa medida, mejora la capacidad competitiva de las empresas y crea las condiciones para el aumento de la demanda de empleo. Por tanto, el aumento de los salarios es un objetivo inconveniente que se descarta.
No obstante, desde la heterodoxia de la economía, existen otros argumentos igualmente importantes en contra de la moderación salarial, y que apuntan hacia el hecho de que el ingreso laboral es un insumo fundamental para el bienestar individual y de la familia, que se refleja en el esfuerzo del trabajador.
Montesinos (2000) afirma que para Marx, si el salario percibido por los trabajadores es inferior al valor de la fuerza de trabajo (VFT), su capacidad productiva disminuye y por tanto, los avances técnicos alcanzados no son aprovechados plenamente, lo que genera ineficiencia técnica.
La teoría de salarios de eficiencia, que tiene su inspiración en Leibenstein (1957), afirma que existe una relación entre el ingreso del trabajador y su nutrición, y entre esta y la productividad. Citando a Venegas y Rodríguez (2009), el argumento de Leibenstein (1957) es que la cantidad de trabajo que un individuo puede realizar depende de sus niveles de energía, salud y vitalidad, los cuales, a su vez, dependen directamente del valor nutritivo de su alimentación. Leibenstein deduce, a partir de estudios empíricos, que un aumento del salario a los trabajadores pobremente nutridos, que les permita incrementar el contenido calórico de su dieta, puede hacerlos más productivos, y que entre más bajos sean los niveles de ingestión, las mejoras en la nutrición provocan incrementos más altos en la productividad.
Es claro que ambos conceptos, el del valor de la fuerza de trabajo de Marx y la teoría nutricional de Leibenstein, apuntan a que existe una relación positiva entre el salario y la productividad laboral. Cabe entonces preguntarse ¿el aumento de los salarios reales afecta positivamente la productividad del trabajo en el sector manufacturero en Colombia? ¿Cuáles son sus resultados sobre la plusvalía?.
Las preguntas se dirigen al sector manufacturero por la disponibilidad que existe de información industrial durante varios años, clasificada por sectores, lo cual consolida un volumen de información pertinente para la evaluación empírica de la relación entre salarios y productividad.
En Colombia existen pocos estudios con investigación empírica sobre la relación entre salarios y productividad del trabajo.
Un estudio conducido por el Departamento Nacional de Planeación (DNP) (2000) estima como un hecho estilizado que en Colombia, en los años 90, el costo relativo por trabajador aumentó, y ese aumento no estuvo acompañado por incrementos de la productividad, lo que implicó una pérdida relativa de competitividad. La productividad de los trabajadores industriales cayó, mientras que sus salarios crecieron por encima de su productividad. Esa conclusión se apoya en el estudio de Farné y Nupia (1998). No obstante, aunque este hecho estilizado objeta la teórica relación positiva entre el salario y la productividad laboral, la investigación de Farné y Nupia (1998) no aporta evidencia empírica concluyente que refute la hipótesis de causalidad de los salarios a la productividad. Se trata simplemente de una observación que se deduce a partir de estadísticas descriptivas y las tendencias de las series agregadas de productividad y salarios del país.
Iregui, Melo y Ramírez (2010), a partir de una encuesta realizada a firmas, encontraron rigideces a la baja de los salarios reales en épocas de difícil situación económica o financiera de las empresas colombianas. Las razones más importantes para no reducirlos tenían que ver principalmente con la teoría de salarios de eficiencia. También descubrieron que las empresas perciben que el nivel salarial constituye el factor más importante para mejorar el esfuerzo y la motivación de los trabajadores, lo cual es consistente con la idea de no reducir la remuneración básica en situaciones difíciles, para no afectar la productividad de la empresa. La investigación revela la percepción de la dirigencia empresarial de que efectivamente existe una relación positiva entre el salario y el esfuerzo del trabajador que afecta su productividad.
Díaz, Gamboa, Romero y Novoa (2008) encontraron que el aumento en los ingresos laborales afecta directamente el crecimiento del PIB en Colombia, y estimaron que al incrementar en 1 % la remuneración de los asalariados, se acrecienta 0.43 % el PIB. Sin embargo, las conclusiones de dicho estudio son cuestionables, porque el efecto estimado podría ser atribuido a un efecto redistributivo en la renta nacional que impacta la demanda agregada y no estar relacionado con cambios en la oferta. En general, los autores no tienen en cuenta la potencial endogeneidad de los salarios por simultaneidad o por la posible omisión de variables relevantes en la ecuación de crecimiento del PIB correlacionadas con el salario.
En este artículo se estima una función de producción aumentada en salarios que aporta evidencia empírica de la causalidad de los salarios sobre la producción en Colombia. El impacto se estima sobre la producción, por no ser el esfuerzo una variable observable. La estimación del modelo se hizo utilizando un conjunto de datos panel con información de la producción, el empleo, los salarios pagados, la inversión y el total de activos para los años 2000-2011, de 61 grupos industriales de la encuesta anual manufacturera.
El estudio toma en cuenta que la variable salario puede ser, en teoría, endógena en la especificación econométrica de la función de producción aumentada en salarios, y esto, al menos, por dos razones: i. Por la existencia de diferencias no observadas en la calidad del factor trabajo, ii. Por simultaneidad.
La endogeneidad surge en el primer caso, porque la variable omitida heterogeneidad no observada en la calidad del factor trabajo puede estar correlacionada con la variable salario, ya que es posible que los grupos industriales que pagan mejores salarios contraten los trabajadores más calificados. Para evitar este problema se incluye una variable de ranking de salarios de las firmas rezagado un periodo, como proxy de la calidad del factor trabajo contratado por cada grupo industrial.
Iregui, Melo y Ramírez (2010) encontraron que el 57 % de las empresas en Colombia complementan la remuneración básica de sus trabajadores con pagos variables, como bonos por resultados, comisiones técnicas y por ventas, y porcentaje de ganancias de la empresa. Como los pagos variables dependen de la productividad del trabajador, una parte del salario depende de sus resultados, así que existe simultaneidad entre la producción y los salarios. También encontraron evidencia de la teoría de reparto de rentas. La convención colectiva y la situación financiera de la empresa son los principales factores que determinan el aumento de salarios de los empleados. Lo que implica causalidad de la productividad de las firmas a los salarios de los trabajadores, a través de la negociación colectiva. La causalidad de la productividad a los salarios configura un segundo caso de endogeneidad.
Este artículo utiliza mínimos cuadrados en dos etapas para mitigar el problema de endogeneidad que provoca la incorporación de los salarios en la función de producción, y para evitar el sesgo en los estimadores por causa del error de medición que implica utilizar la variable de ranking de salarios como una proxy de la calidad del factor trabajo.
Este artículo está organizado de la siguiente forma: el primer capítulo expone los principales argumentos de la teoría de salarios de eficiencia, que sustentan la posible relación bidireccional entre los salarios y la productividad laboral. En el segundo capítulo se explica y modela la relación entre salario, esfuerzo y ganancias de los capitalistas siguiendo el enfoque marxista. En el tercer capítulo se expone una revisión del estado de la cuestión de los ejercicios econométricos para la estimación del impacto de los salarios sobre la productividad laboral. En el cuarto capítulo se especifica el modelo estadístico y los datos. En el quinto capítulo se presentan los resultados de la estimación del modelo econométrico, en el capítulo 6 se simula el impacto sobre las ganancias empresariales de una política de incremento de los salarios, y, en último término, se exponen las conclusiones.
LA TEORÍA DE SALARIOS DE EFICIENCIA
Para Desormeaux (2010, p. 1): "Por salario de eficiencia se entiende que el salario recibido por los trabajadores es función de la eficiencia o productividad del trabajo. A la vez, los salarios estimulan la productividad de los trabajadores". En su definición, el autor plantea una causalidad bidireccional entre los salarios y la productividad, de lo cual se deduce, según Caraballo (1996), que las rigideces salariales no surgen únicamente por la presión de los trabajadores, sino que son el resultado de una conducta maximizadora de la firma.
La teoría de salarios de eficiencia es un concepto adoptado por el nuevo keynesianismo, para explicar el desempleo involuntario a partir de la formación de salarios por encima del salario que vacía el mercado. Mientras los primeros contribuyentes a la teoría sugirieron tomar en cuenta los efectos de la nutrición sobre el esfuerzo variable, midiendo el trabajo en unidades de eficiencia y no en horas1, los nuevos keynesianos se han apoyado en razonamientos adicionales como los efectos del salario sobre la motivación y los incentivos al trabajo.
Fonseca y Magallón (2007, p.3), citando a Romer (2002), manifiestan: "el rasgo característico de los modelos de salarios de eficiencia es que el pago de un salario elevado no solo genera mayores costos para la empresa sino también mayores beneficios".
Pero es interesante hacer notar, como señala Altman (2007), que la relación causal positiva entre los salarios y la eficiencia de los trabajadores fue sugerida primero por economistas ilustres como Adam Smith y Arthur Pigou.
Smith (1937, p. 81), por ejemplo, señala:
The liberal reward for labour, as it encourages the propagation, so it increases the industry of the common people. The wages of labour are the encouragement of industry, which, like every other human quality, improves in proportion to the encouragement it receives. A plentiful subsistence increases the bodily strength of the labourer, and comfortable hope of bettering his condition, and of ending his days perhaps in ease and plenty, animates him to exert that strength to the utmost. Where wages are high, accordingly, we shall always find the workmen more active, diligent, and expeditious, than where they are low…"2
A partir del párrafo anterior, Altman (2007) concluye que Smith consideraba que el esfuerzo del trabajador no era fijo en su nivel máximo, sino una variable dependiente afectada por las condiciones de trabajo.
Pigou (1957), citado por Altman (2007), afirma que en contra de la visión del mundo dominante, las capacidades humanas están predeterminadas biológicamente, y que los aumentos en el ingreso de los menos favorecidos, sirve para incrementar su productividad por las mejoras en su nutrición y salud.
Sin embargo, autores como Haddad y Bouis (1991), Caraballo (1996), Venegas y Rodríguez (2009), González (2008), Altman (2007) consideran que la teoría de salarios de eficiencia moderna tiene su inspiración en los planteamientos de base de Leibenstein (1957).
Leibenstein (1957) establece que existe una relación clara entre las rentas del trabajo y la ingesta de calorías y por lo tanto, entre las rentas del trabajo y la productividad. Basándose en la evidencia empírica, señala que existe evidencia de una fuerte relación estadística entre la ingesta calórica y la productividad. Leibenstein utiliza el incremento en los salarios reales como una proxy para aumentar el bienestar nutricional de los trabajadores, suponiendo que un aumento de salario se traduciría en una mayor ingesta nutricional de los trabajadores, que repercutiera positivamente en sus condiciones físicas y de salud, y que esto último dará lugar a niveles de esfuerzo más altos.
Leibenstein (1968), citado por Altman (2007), concluyó que debido a que los aumentos en el salario real afectan positivamente la productividad, influyen también en los beneficios de la empresa (o del propietario en un sociedad agrícola), de una manera mucho más compleja que lo que se modelaba en el modelo convencional donde se consideraba el esfuerzo invariante a los cambios en el salario. Contrariamente a los supuestos de la sabiduría convencional, ni las fuerzas del mercado ni la inherente disposición de los agentes económicos, garantiza que el esfuerzo se fija en algún máximo ideal.
Sin embargo, para Leibenstein aunque el aumento de los salarios hasta cierto punto mejoraba el beneficio de la empresa, existía cierto nivel de salario en el cual se revierte la tendencia, e incluso antes de llegar a este punto, la cantidad de trabajo realizado por el hombre aumenta proporcionalmente menos que el incremento de salarios (Altman, 2007).
Solow (1979) es pionero en la conceptualización y formalización de la teoría de los salarios de eficiencia (González, 2008; Venegas & Rodríguez, 2009, entre otros). Su modelo supone una relación directa entre el salario que recibe el trabajador y su productividad, lo que incide en lo que Solow llamó trabajo efectivo. Solow concluye que el salario real óptimo para pagar por la firma, depende de la especificación de la relación entre salario y esfuerzo, y no de la relación entre la oferta y demanda del mercado de trabajo que asume la teoría neoclásica.
Para obtener esa conclusión, Solow (1979) define una función de producción, en la que el volumen de producción {q} de la empresa depende tanto del número de trabajadores contratados {L} como del esfuerzo de estos {n}.
Después introduce la hipótesis clave de los modelos de salario de eficiencia, donde el esfuerzo es una variable que depende positivamente del salario{w} que paga la empresa:
El problema al que se enfrenta la empresa representativa es entonces la maximización de sus beneficios:
Donde{p} es el precio.
La empresa decide cuánto trabajo contratar y cuánto salario pagar a sus trabajadores maximizando su beneficio. La solución óptima de este problema de maximización corresponde al punto en que la elasticidad del esfuerzo respecto al salario es igual a uno3, lo que significa que un aumento del salario en un 1 %, incrementa el esfuerzo en un 1 %. Esto es lo que se conoce como la condición de Solow:
Como afirma Caraballo (1996), de esta expresión matemática se desprende que el salario de eficiencia depende únicamente de las características que tenga la relación salario-productividad y no de las condiciones de la oferta y demanda del mercado.
Si todas las empresas actúan de la misma forma y pagan salarios de eficiencia, y ese salario óptimo está por encima del salario que vacía el mercado, se generará desempleo involuntario, ya que aunque los trabajadores cesantes estuvieran dispuestos a trabajar por un salario menor, las empresas no los contratarían, porque una disminución del salario significaría una reducción de sus beneficios.
Además de la teoría nutricional de Leibenstein (1957), existen otros argumentos que pueden esgrimirse para defender el supuesto de que la productividad de los trabajadores depende positivamente de los salarios o del por qué las firmas están dispuestas a pagar salarios de eficiencia, generando desempleo involuntario y diferencias salariales entre trabajadores con las mismas habilidades y funciones.
- Para evitar la holgazanería (shirking): estos modelos se basan en las dificultades que pueden encontrar las empresas para regular y controlar el esfuerzo de sus trabajadores (González, 2008). El jefe puede pagar un salario de eficiencia para incrementar el costo de la pérdida del trabajo, y así, mediante la amenaza de despido, prevenir la holgazanería e incentivar a los trabajadores a desempeñar sus tareas con la intensidad requerida por la empresa. Los aportes más destacados en esta línea de investigación son Calvo (1979), Eaton y White (1982), Bullow y Summers (1986), Shapiro y Stiglitz (1984), entre otros.
- Minimizar el costo de rotación laboral (turnover): en este modelo, la tasa de renuncia de los trabajadores depende negativamente del salario. Según Salop (1979), como perder un trabajador es costoso para la empresa porque lo debe reemplazar, las firmas pueden optar por pagar salarios superiores a los de equilibrio del mercado de trabajo, con lo cual generan condiciones de lealtad, eliminan el incentivo para que los trabajadores abandonen la empresa, y los induce a esforzarse.
- Selección adversa: teniendo en cuenta que los trabajadores son heterogéneos en cuanto a su habilidad, y suponiendo que los trabajadores más capacitados tienen salarios de reserva (el mínimo aceptable por el trabajador) más altos, y la empresa no puede medir fácilmente las habilidades de sus candidatos a un puesto de trabajo, un salario más alto genera un mecanismo de autoselección que atrae a los trabajadores con más habilidades. Cualquiera que intente ofrecerse a trabajar por un salario menor, será señalado como ineficiente (Rodríguez, 2009). Los principales exponentes de este enfoque son Guash y Weiss (1980), Greenwald y Stiglitz (1986) y Stiglitz (1976), entre otros.
- Teorías sociológicas: los salarios de eficiencia pueden ser resultado de tradiciones. El esfuerzo de un trabajador depende de las normas laborales de su grupo. Las empresas, según este tipo de modelos, pueden pagar salarios más altos que el equilibrio, por razones de equidad interna o la lealtad de los empleados, con el objeto de elevar los estándares laborales del grupo, de sus normas y el esfuerzo promedio. Se supone que el comportamiento de los trabajadores depende del trato que reciben.
Akerlof y Yellen (1990) desarrollaron la hipótesis de lo que se denomina el salario de eficiencia justo. Plantean la hipótesis de que el salario justo se refiere a la concepción del trabajador sobre el salario justo que debería percibir. Si el salario justo es superior al salario que actualmente está recibiendo, el trabajador ejercerá un esfuerzo{e} proporcionalmente menor, de forma que el nivel de esfuerzo será:
LA RELACIÓN ENTRE EL SALARIO, EL ESFUERZO DEL TRABAJADOR Y EL PLUSVALOR: UNA CONCEPCIÓN MARXISTA
En el sistema de producción capitalista, los productores directos no son propietarios de los medios de producción ni de los bienes producidos, sino que estos pertenecen al capitalista. El trabajador solo dispone de su fuerza de trabajo, definida como como el conjunto de las facultades físicas y mentales que existen en la corporeidad, en la personalidad viva de un ser humano y que él pone en movimiento cuando produce valores de uso de cualquier índole (Marx, 1946). Es decir, es la capacidad potencial de trabajar por un período de tiempo en la producción de mercancías.
Como los trabajadores venden su fuerza de trabajo de la que son propietarios en el mercado, la fuerza de trabajo adquiere el carácter de mercancía, con un valor igual que todas las otras mercancías.
Según Valdés (1979), el capitalista acude al mercado y adquiere materias primas, maquinaria y fuerza de trabajo {M}, a cambio de una suma de dinero {D}, a partir de lo cual obtiene en su fábrica una nueva mercancía {M´}. Vuelve con ella al mercado y allí la cambia por otra suma de dinero {D´}. Esto da origen al circuito {D-M, M´-D´} de la Figura 1.
La razón para la existencia de la actividad empresarial del capitalista es la obtención de una ganancia, para lo cual el ingreso {D´} debe ser mayor que los costos {D}. Según la teoría del valor-trabajo de Marx (1946), el valor de un bien o servicio depende únicamente de la cantidad de trabajo que lleva incorporado. Por tanto, en el mercado únicamente se cambian equivalentes de trabajo, lo que equivale a decir que {D=M, D´=M}, y la razón para que {D´ >D} es que {M´ >M}.
Marx advirtió que ni las materias primas ni las máquinas, poseen capacidad para trabajar, de modo que no pueden contribuir a la producción de {M´} con más horas de trabajo de las que ellas mismas representan (Marx las define como capital constante {c}). Así que la parte del capital que se invierte en la fuerza de trabajo (capital variable {v}), cambia de valor en el proceso de producción, crea un remanente (plusvalía), y es la única que puede explicar la diferencia ente {D´}y{D}.
La plusvalía es el trabajo excedente no retribuido al obrero durante la jornada laboral. Aunque el capitalista paga al trabajador el valor de su fuerza de trabajo, cuando la utiliza en el proceso productivo lo hace durante un período de tiempo superior al que es socialmente necesario para producirla. El trabajo excedente produce que {M´>M} e incorpora al producto un remanente de valor {D´>D}. La ganancia del capitalista es por tanto, solo la expresión monetaria de la plusvalía.
El valor de la fuerza de trabajo (VFT) se define como el valor del monto medio de bienes y servicios de todo lo que permite satisfacer las necesidades físicas (salud, alimentación, vivienda, calzado, etcétera), de capacitación, culturales, educativas y recreativas del trabajador y su familia, surgidas de las condiciones sociales, culturales e históricas que configuran el entorno general de trabajo del obrero. Si el salario percibido por el trabajador es al menos tan alto como el VFT, es posible mantener las facultades que requiere del trabajador el proceso productivo, y garantizar su reproducción (Martínez, 2005). Así, los avances técnicos pueden ser aprovechados, permitiendo el crecimiento y desarrollo de la economía capitalista.
Conforme a las definiciones de plusvalía y de capital constante {c} y variable {v} de Marx, Valdés (1979) formula matemáticamente el valor {u} de una mercancía como:
Siendo {s} la plusvalía que incorpora la mercancía.
Según el mismo Valdés (1979), la explotación que hace el capitalista del trabajador genera una tasa de plusvalía t, que mide la proporción entre el valor del tiempo de trabajo que el capitalista no paga al obrero y él que le paga.
Por otro lado, los capitalistas planean obtener una ganancia G, como un cierto porcentaje g sobre el total del capital total invertido.
Pero la ganancia es solo fruto de la explotación del trabajador, procede solo del capital variable {v}, así que:
A partir de (8) y (9) se puede expresar la tasa de plusvalía en función de la tasa de ganancia {g}, del capital fijo {c} y del capital variable {v}.
Utilizando (8) y (9) y despejando la tasa de plusvalía {t}:
Las ganancias son el motor del capitalismo, por ende, los capitalistas suelen desarrollar diversas iniciativas para la extracción de plusvalor y así obtener mejores ganancias. Una de ellas consiste en establecer conscientemente el salario por debajo del VFT (Foladori & Melazzi, 2009). Esta iniciativa puede tener éxito solo si existe un ejército industrial de reserva numeroso que le dé al capitalista una mayor relación de fuerza en comparación con los trabajadores. Así, los trabajadores estarán obligados a elegir entre aceptar un salario bajo (o el detrimento de su salario real) o seguir en el desempleo (o caer en estado de desempleo).
Sin embargo, como afirma Montesinos (2000), si los empresarios consiguen sobreponer sus intereses sobre el de los trabajadores y logran fijar un salario inferior al VFT, la capacidad productiva de los trabajadores disminuye y los avances técnicos no son aprovechados plenamente, generando ineficiencia técnica.
Aun así, la caída en los desembolsos por concepto del pago a los trabajadores puede compensar el valor de la contracción de la productividad laboral. Para descubrir el efecto de la moderación de salarios sobre la tasa plusvalía, a continuación se desarrolla un modelo económico sencillo que trata de dar cuenta de ello, a partir de la supuesta relación positiva entre el salario y el esfuerzo laboral.
Considérese una firma representativa del mercado que produce cierto bien con función de producción:
Donde e es el grado de eficiencia del trabajo y L el número total de horas empleadas en la producción del bien. El trabajo L es la fuerza de trabajo de n obreros homogéneos.
Siendo l el número de horas de trabajo que realmente se pagan al trabajador y te el tiempo de trabajo excedente.
La eficiencia del trabajo es una función de la relación entre el ingreso del trabajador {w*l} y el valor de la fuerza de trabajo.
Condiciones de la función de esfuerzo:
La primera condición establece que para niveles muy bajos de salario la pendiente de la función de esfuerzo e(w) es infinita. La segunda condición asegura que para niveles de ingreso laboral próximos al valor de la fuerza de trabajo, el incremento en el salario no aumenta el esfuerzo. La tercera condición es la de concavidad de la función de esfuerzo.
De (11), (12) y (13)
Diferenciando tenemos:
Por el primer miembro del lado derecho de la expresión (14), se constata que a corto plazo (capital constante) una rebaja en los salarios genera una caída en el producto:
Que puede ser compensado (mantener el producto constante) con el aumento del personal dn > 0 o mayor explotación del trabajador dt e > 0.
Sin embargo, incrementar la jornada laboral es una práctica cada vez más restringida como resultado de las relaciones y luchas entre los capitalistas y trabajadores. En la práctica, la jornada laboral no supera las ocho horas. Por tanto, aquí se asume que dt e = 0.
El capital variable {v} es igual al salario por hora, multiplicado por el número de horas que se pagan realmente al trabajador {l} y por el número de trabajadores {n}.
Diferenciando
De (14) para mantener el nivel de producto constante, se requiere que:
La expresión (17) muestra el efecto de la variación de los salarios sobre el gasto en capital variable. Obsérvese que:
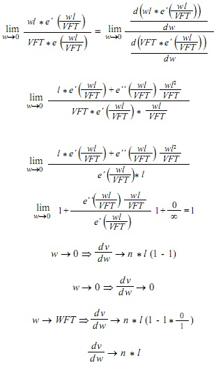
Aplicando la regla de L’Hôpital:
De la expresión (10), el efecto sobre la tasa de plusvalía del aumento del gasto variable será:
El efecto del incremento en el salario por hora del trabajador {w}, sobre la tasa de plusvalía {t} está dado por:
Por tanto:
Caso 1: w → 0. Cuando el salario es muy bajo, su incremento no tiene efecto ni positivo ni negativo sobre la tasa de plusvalía.
Caso 2: wl → VFT . Cuando el salario es próximo o superior al VFT su incremento tiene un efecto negativo sobre la tasa de plusvalía.
En otros casos, para que el incremento en los salarios mejore la tasa de plusvalía, se debe cumplir (18), es decir, el salario por hora {w} debe ser tal que la tasa de crecimiento de la función de eficiencia sea mayor que la relación entre el VFT y el salario percibido por el trabajador. Esto depende básicamente de la forma funcional de la relación salario-esfuerzo.
SALARIOS Y PRODUCTIVIDAD: REVISIÓN DEL ESTADO DE LA CUESTIÓN
Este capítulo presenta una revisión de los problemas que se pueden presentar en la estimación del efecto del salario como determinante de la eficiencia técnica de la unidad productiva o su productividad laboral, y las principales técnicas econométricas empleadas para identificar dicho efecto.
Saygili (1998) evaluó la hipótesis de salarios de eficiencia utilizando datos de panel de cuarenta plantas de cemento en Turquía para el período 1980-1995. La prueba se llevó a cabo de dos formas: especificando una frontera estocástica de producción aumentada por salarios con eficiencia cambiante en el tiempo, y una frontera estocástica de producción que incorpora el salario como uno de los factores determinantes de la ineficiencia técnica. Su prueba empírica encontró que el nivel de los salarios es uno de los factores más importantes que contribuyen a la producción y la eficiencia técnica de las plantas.
Díaz y Sánchez (2008) también estimaron una frontera estocástica de producción e incluyeron el salario como un factor que incide en la ineficiencia técnica, para probar la hipótesis de salarios de eficiencia, utilizando un conjunto de datos panel de pequeñas y medianas empresas manufactureras durante el período 1995-2001 en España. También incluyeron en la función de producción variables binarias para representar grandes sectores manufactureros que agregan a las distintas empresas. Las autoras encontraron que el salario real es un determinante de la eficiencia técnica de las pequeñas y medianas empresas manufactureras hasta con un nivel de significancia del 1 %.
Rana, Baten y Kamil (2010) prueban la hipótesis de los salarios de eficiencia en la industria de alimentos en Bangladesh utilizando el análisis de frontera estocástica y un panel desbalanceado con información de empresas de este sector durante el período 1988-1989 y 1999 hasta 2000. Ellos también especificaron una función de producción aumentada en salarios y clasificaron los trabajadores en operarios y otros empleados. Concluyeron que la hipótesis de salarios de eficiencia no se cumple, porque la elasticidad estimada de los salarios de los operarios resultó negativa, aunque significativa solo al 10 %, y la de los otros empleados fue no significativa.
Ferdushi, Baten, Kamil y Mustafa (2011) estimaron una frontera estocástica de producción aumentada en salarios, utilizando un conjunto de datos panel no balanceado con 31 empresas manufactureras para el período 19892000 en Bangladesh. Encontraron que los salarios de los trabajadores manuales y no manuales resultaron negativos pero no significativos, y solo resultó significativa la interacción entre la cantidad de trabajo manual y el salario de los mismos trabajadores de la función translogarítmica.
El problema con las investigaciones anteriores que hacen uso del análisis de frontera estocástica, es que todas ignoran la posible endogeneidad de los salarios en la función de producción. Así, tanto la estimación de una frontera de producción estocástica aumentada en salarios, o la incorporación del salario como un factor exógeno que incide en la eficiencia técnica, son procedimientos incorrectos que generan estimadores sesgados de la relación entre salarios, esfuerzo y productividad, que no aportan evidencia empírica para una constatación fehaciente de la hipótesis de salarios de eficiencia.
Chand (2006) analiza y expone algunos de los problemas de contrastación empírica de la hipótesis de salarios de eficiencia en la función de producción, y menciona las teorías de reparto de rentas, la selección adversa y el modelo de rotación laboral, como explicaciones alternativas de la relación entre salarios y productividad, independientes del esfuerzo del trabajador (o modelo de Solow) que pueden generar confusión y sesgos en la estimación de la elasticidad del salario.
El primer problema que se puede presentar en la estimación de la función de producción aumentada en salarios, es la existencia de diferencias no observadas en la calidad del factor trabajo, que lleva a sobreestimar el efecto de los salarios en la producción. Esto ocurre porque probablemente las firmas que pagan los salarios más altos logran contratar trabajadores más calificados (selección adversa), así que en realidad la elasticidad estimada del salario correspondería simplemente a la correlación existente entre las variables salario y producción (ambas en logaritmos), y no al efecto directo del salario sobre la eficiencia del trabajador, que impacta a su vez la producción de la firma. Este es un problema clásico de endogeneidad (de la variable salario) por correlación con una variable omitida (calidad del factor trabajo) que genera estimadores sesgados e inconsistentes. Las firmas también pagan salarios altos para evitar la rotación laboral y mantener a los trabajadores mejor calificados (modelo de rotación laboral).
El segundo problema es presencia potencial de simultaneidad. En este caso es probable que el salario del trabajador esté compuesto por su remuneración básica, más otro componente asociado a sus resultados, como bonos por productividad.
En ese caso el salario está afectado por la producción, lo que da origen a la relación bidireccional entre producción y salarios. También según la teoría del reparto de rentas, las empresas con poder de mercado generan rentas que comparten entre empresarios y trabajadores, normalmente mediante negociación, lo que implica causación de la productividad de las firmas a los salarios de los trabajadores.
Sánchez (1997) estima una función de producción aumentada en salarios utilizando un conjunto de datos panel con información de ochenta y un sectores manufactureros de la Encuesta Industrial en España para el periodo 1979-1988. La autora menciona que la incorporación del efecto fijo por sector, captura la heterogeneidad del factor trabajo, por tanto la función de producción se estima con las variables en primeras diferencias, para eliminar este efecto. Otra alternativa que utiliza para el mismo propósito es permitir que la elasticidad del factor trabajo sea afectada por el salario, para contrastar los cambios en la producción cuando la variable de eficiencia aparece en la tecnología. Es decir, utiliza como variable explicativa la interacción entre las variables salario y número de empleados en el sector (en logaritmos). Esta última especificación de la función de producción es tomada de Wadhwani y Wall (1991).
Por otra parte, para mitigar la endogeneidad por simultaneidad, Sánchez (1997) utiliza mínimos cuadrados en dos etapas, empleando el primer rezago de la variable salario como instrumento para la variable endógena salario. La estimación de la ecuación en forma reducida para la variable endógena se realiza con la metodología de Arellano Bond para datos panel dinámicos. Los resultados de la investigación aportan evidencia empírica a favor de la existencia de salarios de eficiencia.
Wadhwani y Wall (1991) utilizan mínimos cuadrados en dos etapas para mitigar la endogeneidad del salario en la función de producción. La forma reducida de esta variable endógena adopta la forma de una ecuación de reparto de rentas, ya que además de incluir las variables explicativas habituales, incluye el logaritmo de la relación entre el producto y el nivel de trabajo de la firma, para tomar en cuenta la causalidad de la productividad de las firmas a los salarios. El instrumento para la variable endógena incorporado en la primera etapa es la probabilidad de bancarrota.
Esteves (2008) analiza la relación entre el salario y el esfuerzo laboral de los trabajadores de la industria de la construcción brasileña.
Primero plantea un modelo econométrico para la ecuación de salarios con fundamento en la teoría de Shirking, para la justificación de salarios de eficiencia. Según esta teoría, si el empleador no observa el esfuerzo de los trabajadores, pagar salarios de eficiencia puede incentivar a los trabajadores a esforzarse (Desormeaux, 2010). El primer modelo permitió demostrar que las firmas pagan un menor salario a los trabajadores cuanto mayor sea la relación entre supervisores y obreros.
El segundo modelo econométrico analiza los determinantes de la probabilidad de ser despedido por justa causa, con una especificación econométrica fundamentada en el modelo teórico de disciplina laboral de Bowles (2004). La conclusión de Bowles es que la probabilidad de despido es inversamente proporcional al salario, por lo tanto la especificación econométrica incluye el salario como variable explicativa de la probabilidad despido por causa justa, encontrándose que el signo de su coeficiente es significativamente menor que cero y corroborando así la hipótesis de Bowles.
Aigbokhan (2011) utilizó la encuesta anual de empresas manufactureras en Nigeria durante los años 1998-2000 para estimar una función de producción aumentada en salarios. El autor utiliza como variable de control el logaritmo de la relación entre los beneficios y el nivel de trabajo del sector (beneficios por trabajador), para tomar encuenta la teoría de reparto de rentas y evitar la simultaneidad. Sin embargo, un problema con esta especificación es que la variable de control es endógena, y su correlación con la variable de salarios, hace que la estimación de la elasticidad del salario sea sesgada e inconsistente. Además, lo más conveniente es incluir la variable asociada a la teoría de reparto de rentas (productividad o beneficios por trabajador) en la forma reducida de la variable endógena, para considerar la causalidad de la renta a los salarios, que incorporarla en la función de producción.
Esta revisión del estado de la cuestión, desvela la importancia de tomar precauciones para evitar la sobreestimación del efecto de los salarios sobre la producción, por cuenta de la endogeneidad de la variable salarios. En este orden de ideas, es preferible la estimación de una función de producción aumentada en salarios, utilizando mínimos cuadrados en dos etapas para mitigar la endogeneidad, que especificar una frontera de producción estocástica aumentada en salarios, o una frontera de producción estocástica con la incorporación del salario como un factor exógeno que incide en la eficiencia técnica, porque la técnica de análisis de frontera estocástica al ignorar la endogeneidad de la variable, no arroja estimadores consistentes del efecto del salario sobre la producción o sobre la eficiencia técnica.
ESPECIFICACIÓN DEL MODELO ESTADÍSTICO Y DATOS
Ya que el esfuerzo de los trabajadores no es observable, es común entonces usar una aproximación al problema, usando una función de producción aumentada en salarios para estimar el efecto de los cambios en el salario sobre el producto y contrastar la hipótesis de los salarios de eficiencia.
Para este fin, se propone una función de producción Cobb-Douglas cuyos argumentos son el trabajo efectivo y el del salario real, la tasa de desempleo y el stock de capital.
Donde:
Yit: es la producción del sector i en el periodo t.
Ai: factor fijo no-observado especifico del sector.
Kit: stock de capital del sector i en el periodo t.
Eit: valor efectivo de la fuerza de trabajo del sector i en el periodo t.
uit: error idiosincrásico.
La efectividad del factor trabajo se define de la siguiente forma:
Donde eit es el nivel de esfuerzo promedio desarrollado por los trabajadores del sector i en el periodo t, y Lit es el número de trabajadores de que dispone cada sector en los diferentes momentos del tiempo.
Una alternativa para modelar la función de esfuerzo es considerar que depende del salario real, la tasa de desempleo del periodo de todos los sectores industriales.
La inclusión de la tasas de desempleo se justifica, porque la amenaza de despido en presencia de un ejército industrial de reserva numeroso obliga al trabajador a ejercer niveles altos de esfuerzo para evitar caer en el desempleo por un periodo prolongado.
El salario promedio se puede incorporar en el modelo como una proxy del valor de la canasta básica, que afecta el valor de la fuerza de trabajo y por tanto la eficiencia del trabajador.
Adoptando nuevamente una función de tipo Cobb-Douglas, la función de esfuerzo quedaría definida así:
Donde WRit es el salario real pagado por el sector i en el periodo t, ut es la tasa de desempleo del periodo t y
t es el salario real promedio de la industria en el periodo t.
Por tanto, la ecuación (19) puede ser reescrita de la siguiente forma:
Tomando logaritmos:
Este modelo puede reescribirse de la siguiente manera:
Donde la variable αi recoge la heterogeneidad individual no observable de cada sector industrial y µt los efectos temporales, como la tasa de desempleo y el salario real promedio del sector industrial en cada período entre otras. Los coeficientes α y β4 son en su orden, las elasticidades capital y trabajo del producto. El coeficiente β1 la elasticidad salario del producto.
Generalizando, la función de producción queda especificada de la siguiente manera:
Donde:
yit: corresponde a la producción del sector industrial i durante el año t.
kit: es el valor del capital del sector industrial i durante el año t.
ljcit: es el empleo generado por el sector industrial i durante el año t, en la ocupación j y forma de contratación c.
Las ocupaciones están divididas en:
t : profesionales, técnicos y tecnólogos
o: obreros y operarios de producción
α: personal de administración y ventas
Las formas de contratación son p: permanente y t: temporal.
wjpit: es el salario de la ocupación j en la forma de contratación permanente. No se incluye el salario de la forma de contratación temporal porque no es posible calcularlo, ya que no se puede hacer una estimación de las horas-hombre laboradas en esta forma de contratación.
La información para la estimación de la función de producción aumentada en salarios (19d) proviene de la página web del Dane-Colombia, de la Encuesta Anual Manufacturera. En la información disponible en dicha encuesta, se encuentran cifras de la producción por grupos industriales, el empleo discriminado en personal remunerado permanente y temporal, los salarios pagados y las prestaciones sociales, la inversión neta y el total de activos desde el año 2000 hasta el 2011, para conformar un conjunto de datos panel.
RESULTADOS DE LA ESTIMACIÓN DEL MODELO ECONOMÉTRICO
La Tabla 1 presenta la estimación de la función de producción (19d) con intercepto cambiante a través de los individuos y el tiempo, para capturar la heterogeneidad individual y los efectos fijos temporales. El salario del personal administrativo y de ventas (LWAP) no es estadísticamente significativo. El salario de los obreros y operarios de producción (LWOP) es significativo, así como el del personal técnico y profesional (LWTP). Sin embargo, estas elasticidades pueden estar sobre-estimadas producto de la omisión de variables relevantes y la simultaneidad. Esta sobrevaloración del efecto del salario sobre la producción puede ocurrir por la correlación positiva entre el salario y la calidad del factor trabajo contratado, y el efecto positivo que tiene contar con unos trabajadores mejor calificados en la producción. También puede ocurrir causalidad positiva de la producción a los salarios explicada por la teoría de reparto de rentas o porque un componente de los salarios es el pago por productividad.
Sánchez (1997) afirma que la heterogeneidad del factor trabajo puede ser capturada mediante la incorporación del efecto fijo por sector. Sin embargo, este supuesto sería aceptable si el ranking de salarios de las firmas permaneciera relativamente constante a lo largo del tiempo, así la calidad del factor trabajo pudiera considerarse fija entre los sectores.
La Tabla 2 muestra la mejor y la peor posición del ranking de salarios (de los obreros y operarios de producción) de cada uno de los 61 sectores manufactureros durante los años 2000-2011, también muestra el rango del ranking. La variable ranking está construida de tal forma que al sector con el salario más alto en un año determinado se le asigna el número uno y al sector con el salario más bajo, el número 61. La Tabla está ordenada de tal forma que los sectores con rango más grande, es decir, los que tienen mayores saltos en el ranking, ocupan las primeras posiciones. La Tabla deja ver que los sectores industriales más asociados a la tecnología (del grupo 300) presentan los saltos más grandes en el ranking, que suponen también variaciones en la calidad del factor trabajo contratado. Estas variaciones no son captadas por un modelo de efectos fijos.
La Tabla 3 presenta la estimación de la función de producción utilizando la variable ranking_1 (el ranking de salario de los obreros y operarios de producción, rezagado un periodo) como una proxy que mide la calidad del trabajo contratado. La variable está rezagada porque se asume que la calidad del personal de producción contratado en el año actual, depende del ranking de salario de la firma del año anterior. El signo del coeficiente de la variable es el esperado, negativo, porque entre mayor sea el puesto en el ranking, se supone que la calidad del personal contratado es inferior y menos productivo. La elasticidad salario de los obreros y personal de producción cae en cerca de 9 %, y la elasticidad salario del personal técnico y profesional cae en aproximadamente un 3 % y deja de ser significativo.
Aunque la incorporación de la variable proxy para la calidad del factor trabajo mitiga el sesgo de la elasticidad salario de los obreros y personal de producción, la endogeneidad por simultaneidad todavía puede causar su sobreestimación. Para corregir este problema se utiliza como instrumento para la variable endógena de salario de los obreros y operarios de producción (LWOP) la misma variable rezagada un periodo LWOP (-1).
Si lo que determina la calidad del factor trabajo contratado no es el salario del año anterior, sino el ranking de salario del periodo anterior, la variable LWOP (-1) cumple con el supuesto de restricción de exclusión de la técnica de variables instrumentales. Esta es una ventaja adicional de la inclusión de la variable ranking_1 en la función de producción, posibilitar el uso de LWOP (-1) como instrumento para la variable endógena de salario.
En la Tabla 4 aparece la segunda etapa de la estimación de la función de producción mediante la técnica de variables instrumentales, utilizando LWOP (-1) como instrumento para LWOP. La elasticidad salario de los obreros y personal de producción es significativa y con valor del 11.68 %, lo que implica una reducción aproximada del 15 % con respecto a la Tabla 3. Como se esperaba teóricamente, la mitigación de la endogeneidad de la variable LWOP reduce el sesgo (sobre estimación) de dicha elasticidad.
Los errores estándar de la Tabla 4 no son válidos, porque los residuos son calculados con utilizando el pronóstico de LWOP de la ecuación en forma reducida LWOP) en lugar de LWOP. En la Tabla 5 aparecen los estadísticos t student asociados a las variables explicativas, calculados utilizando una matriz de covarianza robusta a la heterocedasticidad y autocorrelación:
Donde a cada variable explicativa j se le aplica la transformación de efectos fijos para eliminar la heterogeneidad individual y el efecto temporal:
En la estimación de la función de producción de las tablas 4 y 5 se utiliza la variable ranking_1 como una proxy de la calidad del trabajo contratado por la firma. Por tanto, la variable ranking_1 puede considerarse una variable con error de medición, lo que genera el sesgo y la inconsistencia del coeficiente de la variable con error de medición y de los otros regresores correlacionados con dicha variable. En este caso particular, la variable ranking_1 puede estar correlacionada con la variable LWOPF (pronóstico de LWOP en la EFR), porque LWOP(-1) es un regresor en la forma reducida. Por tanto, se puede presumir que persiste sesgo en la estimación de la elasticidad salario de los obreros y operarios de producción.
Para mitigar dicho sesgo se incluye un nuevo instrumento, la variable de supervisión shirking_1. Bajo la teoría de holgazanería se supone que a mayor supervisión del trabajo, las firmas pueden pagar menos salarios sin preocuparse tanto de la pérdida de productividad del trabajador. Se supone que una proporción mayor de técnicos y profesionales por obrero supone mejor supervisión, y esto es lo que incorpora la nueva variable instrumental shirking_1:
Esta es una variable que teóricamente no determina el nivel de producción actual (cumple la restricción de exclusión de IV), pero que bajo la hipótesis de salarios de eficiencia, sí puede afectar el salario. Por otra parte, la variable ranking_1 depende fuertemente del otro instrumento LWOP (-1).
El anexo 1 presenta el test de redundancia de las variables LWOP (-1) y shirking_1 en la función de producción. Las pruebas F y de razón de verosimilitud aceptan la hipótesis nula de redundancia de estas variables en la función de producción, lo que aporta evidencia a favor del uso de LWOP (-1) y ranking_1 como instrumentos para las variables endógenas LWOP y ranking_1, porque cumplen la restricción de exclusión.
La Tabla 6 presenta la estimación de la ecuación en forma reducida para la variable endógena LWOP mediante la metodología de Arellano y Bond para paneles dinámicos. Los resultados muestran que tanto el primer rezago de la variable de salario LWOP (-1), como el primer rezago de la variable de supervisión shirking_1 ayudan a explicar a LWOP.
En la Tabla 7 se observa la estimación de la ecuación en forma reducida para la variable endógena por error de medición ranking_1. Como es obvio, LWOP (-1) incide fuertemente en ranking_1.
En la Tabla 8 se presenta la segunda etapa de la estimación por mínimos cuadrados en dos etapas de la función de producción. La estimación de la elasticidad del salario de obreros y operarios de producción sufre una leve variación, pasa del 11,68 % al a 12 %.
Los errores estándar que aparecen en la Tabla 8 no son válidos, así que en la Tabla 9 se presentan los estadísticos t student asociados a las variables explicativas calculadas utilizando una matriz de covarianza robusta a la heterocedasticidad y autocorrelación. La elasticidad salario de los obreros y operarios de producción es significativa hasta con un nivel de significancia hasta del 1 %, aportando evidencia a favor dela relación positiva entre salario-productividad laboral de la hipótesis de salarios de eficiencia.
El anexo 2 muestra la prueba de raíz unitaria para los residuos de la función de producción estimada. Se observa que el p valor de la prueba permite que se rechace la hipótesis nula de proceso de raíz unitaria común, así que existe evidencia de cointegración entre las variables y se descartan relaciones espureas.
SIMULACIÓN DEL IMPACTO DEL INCREMENTO EN LOS SALARIOS
En el capítulo anterior se encontró que un incremento del 1 % en los salarios de los obreros y operarios aumenta la producción en un 0,12 %, pero el mayor ingreso como resultado del incremento de la producción puede ser contrarrestado por el aumento de los costos laborales. Por tanto, en este capítulo se pretende determinar el efecto que tiene el incremento de los salarios sobre las ganancias para cada sector industrial, para evaluar la conveniencia de la medida de incremento de los salarios.
La ecuación (18) expresa la condición teórica para que un incremento en el salario tenga un efecto positivo sobre la tasa de plusvalía, lo cual depende básicamente del salario, el VFT y la función de esfuerzo. Como la función de esfuerzo y el VFT no son identificados en el ejercicio econométrico anterior, en la práctica se medirá el impacto del incremento de los salarios sobre las ganancias de los sectores manufactureros.
Ante un incremento en el salario de 1 %, la variación porcentual en las ganancias está dada por la expresión (24):
La Tabla 10 presenta la variación porcentual de las ganancias de cada sector manufacturero ante un incremento en el salario de los obreros y operarios de producción del 1 %, calculada mediante la expresión (24). Se encontró que el 61.5 % de los sectores mejorarían su situación financiera con la política.
Los sectores industriales perjudicados con la medida de incremento de los salarios, son los asociados a la elaboración de alimentos y bebidas, los ingenios, la industria textil, la fabricación de papel y las actividades de impresión, los sectores del petróleo y productos químicos, así como el sector de fabricación de plásticos y la fabricación de productos minerales no metálicos. El sector industrial que más pierde es el código 181, fabricación de prendas de vestir. El sector industrial más favorecido sería el de código 272, industrias básicas de metales preciosos y son los asociados a la elaboración de de metales no ferrosos.
CONCLUSIONES
Este artículo aporta evidencia empírica a favor de la relación positiva entre salarios y esfuerzo-productividad en el sector manufacturero en Colombia. Esta relación se sustenta principalmente en la teoría nutricional de Leibstein (1957), la conjetura de la relación entre el salario y el valor de la fuerza de trabajo de Marx, y la hipótesis de salario de eficiencia justo de Akerlof y Yellen (1990). Los primeros dos argumentos se enfocan en el hecho de que el ingreso laboral es un insumo fundamental para el bienestar individual y de la familia, que se refleja en el esfuerzo del trabajador. La hipótesis del salario justo asume que el comportamiento de los trabajadores depende del trato que reciben. Si el salario que recibe el trabajador es inferior al salario que percibe como justo, este ejercerá un esfuerzo proporcionalmente menor.
La elasticidad estimada de los salarios para los obreros y operarios de producción fue del 12 %, y este salario resultó significativo hasta con un nivel de significancia del 1 %. Los salarios del personal técnico y profesional, así como el salario del personal administrativo y de ventas, no resultaron significativos. Así que la evidencia empírica favorece más la teoría nutricional de Leibstein (1957) y el concepto del valor de la fuerza de trabajo de Marx (1867) que la hipótesis de salario justo de Akerlof y Yellen (1990), porque la relación entre salario y esfuerzo productivo solo es válida para los trabajadores menos calificados con más bajos ingresos. Estas elasticidades fueron estimadas utilizando mínimos cuadrados en dos etapas para mitigar el problema de endogeneidad que provoca la introducción de los salarios en la función de producción.
Apartir de la elasticidad estimada, se simuló el impacto de un incremento del 1 % en los salarios de los obreros y operarios de producción, sobre las ganancias de los sectores manufactureros. Se encontró que el 61.5 % de los sectores mejorarían su situación financiera con la política. Los sectores industriales perjudicados con la medida de incremento de los salarios son los asociados a la elaboración de alimentos y bebidas, los ingenios, la industria textil, la fabricación de papel y las actividades de impresión, los sectores del petróleo y productos químicos, así como el sector de fabricación de plásticos y la fabricación de productos minerales no metálicos. El sector industrial que más pierde es el código 181, fabricación de prendas de vestir. El sector industrial más favorecido sería el de código 272, industrias básicas de metales preciosos y de metales no ferrosos.
NOTAS
1 De ahí el nombre de salarios de eficiencia (Bowles, 2004).
2 La recompensa liberal para el trabajo, ya que favorece la propagación, por lo que aumenta la industria de la gente común. Los salarios de los trabajadores son el fomento de la industria, que, como cualquier otra cualidad humana, mejora en proporción al estímulo que recibe. Una subsistencia abundante aumenta la fuerza física del trabajador, y la esperanza de mejorar su cómoda condición, y de poner fin a sus días tal vez en la facilidad y abundancia, lo anima a ejercer esa fuerza al máximo. Donde los salarios son altos, por lo tanto, encontraremos siempre a los obreros más activos, diligentes y expeditos, que donde son bajos".
3 Lin y Lai (1994) demostraron con un modelo de optimización intertemporal que, a menos que no existan costos de rotación y la tasa de renuncia voluntaria sea independiente de la oferta salarial, la elasticidad esfuerzo-salario es menor que la unidad.
REFERENCIAS
Aigbokhan, B. (2011). Efficiency wage, rent-sharing theories and wage determination in the manufacturing sector in Nigeria. African Economic Research Consortium AERC, (222). Retrieved from http://www.aercafrica.org/index.php/publications/view_document/9-efficiency-wage-rent-sharing-theories-and-wage-determination-in-the-manufacturing-sector-in-nigeria. [ Links ]
Akerlof, G. & Yellen, J. (1990). The fair wage-effort hypothesis and unemployment. Quarterly Journal of Economics, 105(2), 255-283. [ Links ]
Altman, M. (2007). Effort Discretion and Economic Agency and Behavioral Economics: Transforming Economic Theory and Public Policy. En F. Roger, Renaissance in behavioral economics Harvey Leibenstein's impact of contemporary economic analysis. New York: Routledge. [ Links ]
Álvarez, I. & Luengo, F. (2011). Competitividad y costes laborales en la UE: más allá de las apariencias. En ICEI Working Papers. Recuperado de http://eprints.ucm.es/12669/1/WP_02-11.pdf. [ Links ]
Bowles, S. (2004). Microeconomics: behavior, institutions and evolution. New Jersey: Princeton University Press. [ Links ]
Bulow, J. & Summers, L. (1986). A theory of dual labor markets with application to industrial policy, discrimination and Keynesian unemployment. Journal of Labor Economics, (4), 377-414. [ Links ]
Calvo, G. (1979). Quasi-Walrasian theories of unemployment. American Economic Review,(69), 102-107. [ Links ]
Caraballo, P (1996). Salarios, productividad y empleo: la hipótesis de los salarios de eficiencia. Revista Cuadernos de Estudios Empresariales, 6, 106-127. [ Links ]
Chand, J. (2006). Tests of the Solow efficiency wage model using Australian aggregate industry and macroeconomic time series data. Thesis accepted for the award of the degree of Doctor of Philosophy. Sydney: School of Economics at the University of New South Wales. [ Links ]
Departamento Nacional de Planeación DNP (2000). Una mirada al mercado laboral colombiano. Santafé de Bogotá. Recuperado de https://www.dnp.gov.co/Portals/0/archivos/documentos/DEE/Boletines_Divulgacion_Economica/BDE_2_empleo.pdf. [ Links ]
Desormeaux, N. (2010). Salarios de eficiencia y productividad. Documento de trabajo, Universidad Técnica Federico Santamaría. Recuperado de http://www.ceas.usm.cl/documentos/Estudios/Desempleo/Documento%20de%20Trabajo%20-%20Salarios%20de%20Eficiencia%20y%20Productividad.pdf. [ Links ]
Díaz, M. & Sánchez, R. (2008). Firm size and productivity in Spain: a stochastic frontier analysis. Small Business Economics, 30(3), 315-23. [ Links ]
Díaz, C., Gamboa, V., Romero, C., & Novoa, O. (2008). La influencia del crecimiento económico en los salarios: Colombia periodo 1975-2005. Finanzas y Política económica, 2(1), 3-22. [ Links ]
Eaton, C. & White, W. (1982). Agent compensation and the limits of bonding. Economic inquiry, 20, 330-43. [ Links ]
Esteves, L. (2008). Salário eficiência e esforço de trabalho: evidências da indústria brasileira de construção. Economia, Associação Nacional dos Centros de Pósgraduação em Economia, 9(2), 327-341. Recuperado de http://www.anpec.org.br/revista/vol9/vol9n2p327_341.pdf. [ Links ]
Farne, S. & Nupia, O. (1998). Costos laborales, productividad, competitividad y empleo. Mimeo empleo un desafío para Colombia, documento preliminar OIT. [ Links ]
Ferdushi, K., Baten, M., Kamil, A. & Mustafa, A. (2011). Wage augmented stochastic frontier model with truncated normal distribution. International Journal of Physical Sciences, 6(14), 3288-3295. [ Links ]
Foladory, G. & Melazzi, G. (2009). La economía de la sociedad capitalista y sus crisis recurrentes. Universidad de la República, Montevideo. Comisión Sectorial de Extensión y Actividades en el Medio (CSEAM). Recuperado de http://economarx21.files.wordpress.com/2012/03/economiasociedadcapitalista.pdf. [ Links ]
Fonseca, F. & Magallón, J. (2007, 21-25 de mayo). Un análisis de los factores que inciden sobre la desigualdad salarial en Jalisco. En: XVII Coloquio Mexicano de Economía Matemática y Econometría. Universidad de Quintana Roo Chetumal, Quintana Roo, México. Recuperado de http://www.dcsea.uqroo.mx/fwalla/Ponencias_Coloquio/ponencia%20Fonseca.pdf. [ Links ]
González, C. (2008). Los salarios de eficiencia, una vía para accionar positivamente sobre la productividad del trabajo en Cuba. Tesis en opción al Grado de Master en Economía. La Habana: Facultad de Economía, Universidad de La Habana. [ Links ]
Greenwald, B. & Stiglitz, J. (1986). Externalities in economies with imperfect information and incomplete markets. Quarterly Journal of Economics, 101(2), 229-264. [ Links ]
Guasch, J. & Weiss, A. (1980). Wages as a sorting mechanism in competitive markets with asymmetric information: A theory of testing. Review of Economic Studies, 47, 653-664. [ Links ]
Haddad, L. & Bouis, H. (1991). The impact of nutritional status on agricultural productivity: Wage evidence from the Philippines. Oxford Bulletin of Economics and Statistics, 53 (1), 45-68. [ Links ]
Iregui, A., Melo, L. & Ramírez, M. (2010). Incrementos y rigideces de los salarios en Colombia: Un estudio a partir de una encuesta a nivel de firma. Revista de Economía del Rosario, 13 (2), 279-311. [ Links ]
Leibenstein, H. (1957). Economic backwardness and economic growth. New York: Wiley. [ Links ]
Leibenstein, H. (1968). Entrepreneurship and development. American Economic Review, 58, 72-78. [ Links ]
Lin, C. & Lai, C. (1994). The turnover costs and the Solow conditions in an efficiency wage model with intertemporal optimization. Economics Letters, 45, 501-505. [ Links ]
Martínez, J. (2005). Salarios, precios y productividad, una aproximación al valor de la fuerza de trabajo en México. Análisis Económico, XX(44), 63-91. [ Links ]
Marx, K. (1946). El capital: crítica de la economía política, Tomo 1. México: Fondo de Cultura Económica. [ Links ]
Montesinos, M. (2000). La dinámica salarios-productividad y el desarrollo económico de El Salvador. Revista Realidad. Recuperado de http://www.uca.edu.sv/revistarealidad/archivo/4d9e31cc42318ladinamicasalarios.pdf. [ Links ]
Rana, M., Baten, A. & Kamil, A. (2010). A stochastic frontier approach for empirical tests of efficiency wage models. Scientific Research and Essays, 5(11), 1234-1242. [ Links ]
Rodríguez, M. (2009). Salarios de eficiencia en un modelo de crecimiento económico. Documentos de Trabajo, Facultad de Economía de la Universidad del Rosario, (62), 23. Recuperado de http://www.urosario.edu.co/economia/documentos/pdf/dt62.pdf. [ Links ]
Romaguera, P. (1991). Wage differentials and efficiency wage models: Evidence from the chilean economy. Working Paper Kellog Institute, (153). Retrieved from http://kellogg.nd.edu/publications/workingpapers/WPS/153.pdf. [ Links ]
Romer, D. (2002). Macroeconomía avanzada. (2 ed.). Madrid: McGraw Hill. [ Links ]
Salop, S. (1979). A model of the natural rate of unemployment. The American Economic Review, 69 (1), 117-125. [ Links ]
Sánchez, F. & Núñez, J. (1998). Educación y salarios relativos en Colombia, 1976-1995: determinantes, evolución e implicaciones para la distribución del ingreso. Archivos de Macroeconomía Departamento Nacional de Planeación, (74). Recuperado de https://www.dnp.gov.co/Portals/0/archivos/documentos/DEE/Archivos_Economia/74.pdf. [ Links ]
Sánchez, R. (1997). Productividad y desempleo: un estudio a través de salarios de eficiencia. Estadística española, 39(142), 185-205. [ Links ]
Saygili, S. (1998). Is the efficiency wage hypothesis valid for developing countries? Evidence from the Turkish cement industry. Studies in Economics, (9810). Retrieved from ftp://ftp.ukc.ac.uk/pub/ejr/RePEc/ukc/ukcedp/9810.pdf. [ Links ]
Shapiro, C. & Stiglitz, J. (1984). Equilibrium unemployment as a worker discipline device. American Economic Review, 74, 433-444. [ Links ]
Smith, A. (1937). An inquiry into the nature and causes of the wealth of nations. New York: The Modern Library. [ Links ]
Stiglitz, J. (1976). The efficiency wage hypothesis, surplus labur and the distribution of income in LDCs. Oxford Economic Papers, 28, 185-207. [ Links ]
Valdés, B. (1979). Valor precio y plusvalor ganancia en Marx (I). El Basilisco, 8, 38-48. [ Links ]
Venegas F. & Rodríguez A. (2009). Exogeneidad de la rigidez salarial en la Nueva Economía Keynesiana. Análisis Económico, Núm. 55, vol. XXIV, pág. 303-326. [ Links ]
Wadhwani, S. & Wall, M. (1991). A direct test of the efficiency wage model using uk micro-data. Oxford Economics Papers, 43, 529-548. [ Links ]
ANEXOS


































































