Services on Demand
Journal
Article
Indicators
-
Cited by SciELO -
Access statistics
Related links
-
Cited by Google -
Similars in
SciELO -
Similars in Google
Share
Desarrollo y Sociedad
Print version ISSN 0120-3584
Desarro. soc. no.60 Bogotá July/Dec. 2007
Comercio de fauna en Colombia e información oculta: nuevos retos en la regulación para su uso sostenible
Wildlife fauna trade in Colombia and hidden information: New challenges in the regulation for its sustainable use
Liliana Rivera Virgüez*
* Investigadora asociada, Consejo Privado de Competitividad. Calle 94A No. 13-11 Of. 402. Correo electrónico: lrivera@compite.ws. Trabajo presentado para optar al título de Magíster en Economía del Medio Ambiente y Recursos Naturales de la Universidad de los Andes. La autora agradece la valiosa colaboración de su asesor Jorge Higinio Maldonado, así como los comentarios y sugerencias de Juan Camilo Cárdenas, Felipe Murtinho y de todas aquellas personas que de una u otra forma se interesaron por este trabajo.
Este artículo fue recibido el 22 de junio de 2007, modificado el 5 de diciembre de 2007 y aceptado el 11 de diciembre de 2007.
Resumen
Este trabajo describe y analiza el problema de riesgo moral causado por la asimetría de información que existe entre la autoridad ambiental y los productores de fauna (zoocriaderos) que posiblemente incurren en explotación y comercialización ilícita. Usando un modelo principal-agente, se examinan los esquemas de transferencia que la autoridad ambiental podría utilizar para incentivar la preservación y el manejo de fauna, teniendo en cuenta tanto el estado de conservación del ecosistema observado por el principal (gobierno) como la función de utilidad del agente (zoocriaderos). Resultados de simulaciones del modelo analítico sugieren que el valor óptimo del beneficio por flexibilización de regulación es constante e independiente del impacto que tienen las acciones (lícitas e ilícitas) del agente sobre el ecosistema cuando hay información perfecta. Por su parte, cuando existe información asimétrica, los resultados sugieren que el nivel óptimo del beneficio por flexibilización de regulación depende del estado de la conservación del recurso que se observaría dada la acción lícita o ilícita asociada a la comercialización de la fauna.
Palabras clave: información asimétrica, riesgo moral, producción-comercialización de fauna.
Clasificación JEL: C70, D82, F18, K32, Q22, Q28.
Abstract
This work describes and analyzes the moral hazard problem that arises from the asymmetric information between environmental regulatory agencies and captive-fauna breeders, the latter group possibly acting illegally in order to improve their benefits. A Principal (environmental regulatory agency) - Agent (captive-fauna breeding farmer) model with asymmetric information is used to analyze transfer schemes the regulatory agency could use to encourage fauna preservation, taking into account both the state of the ecosystem observed by the principal, and the agent's utility function. Results from the simulations suggest that under perfect information, the optimal value of the benefit from a relaxation of regulation is constant and independent from the actions (either licit or illicit) taken by the agent towards the ecosystem. Under asymmetric information, results suggest the optimal level of the benefit from relaxation of regulation depend on the state of natural resources observed after the action (either licit or illicit) associated to the commercialization of fauna.
Key words: asymmetric information, moral hazard, wildlife fauna production-trade.
JEL Classification: C70, D82, F18, K32, Q22, Q28.
Introducción
Riesgo moral en la comercialización de fauna en Colombia
La comercialización de fauna en el mundo y especialmente en los países en desarrollo se puede ver como una herramienta para obtener recursos significativos. El comercio global de animales, plantas y sus productos1 ha sido estimado en US$ 159 billones por año, considerando valores de importación declarados (Broad, 2003). Por otro lado, la International Criminal Police Organisation (INTERPOL) calcula que los beneficios del comercio mundial ilegal de fauna están entre US$ 6 y US$ 10 billones anualmente (International Fund for Animal Welfare, 2007).
En Colombia, un país con una gran riqueza faunística, catalogado como uno de los siete países megadiversos del mundo, son grandes los beneficios que se pueden obtener derivados de la actividad comercial relacionada con dichos recursos naturales, especialmente si esta actividad se desarrolla en forma sostenible. Por ejemplo, Palacios, Bakker y Guevara (1999) encuentran que en cuatro municipios de la Costa Atlántica solamente los comerciantes mayoristas fijos, sin tener en cuenta mayoristas itinerantes, pueden llegar a movilizar un estimado de 18 millones de huevos de iguana al año; que vendidos a precio de mayorista, aproximadamente $ 100, significarían ingresos anuales de $ 1.800 millones de pesos brutos de 19982.
Especímenes animales pueden utilizarse como mascotas, para alimento, para la obtención de productos como pieles, para investigación médica y acceso a recursos genéticos, entre otros, lo cual garantiza demanda en el mercado y viabilidad económica del negocio. En Colombia, en el período comprendido entre 1971 y 1999, el valor de las exportaciones de fauna totalizado fue de $ 163 mil millones de pesos constantes de 1997, lo que equivale a tres veces el valor de éstas registradas veinte años atrás (Baptiste, Hernández, Polanco y Quiceno, 2002) y desde 2003, por concepto de cuero, peletería y pieles de babilla, siguiendo la información de Proexport3, se han exportado alrededor de US$ 150 millones anuales (véase anexo 1).
La tragedia de los comunes (Hardin, 1968) hace referencia a la degradación de un recurso natural debido a la carencia de derechos de propiedad, por ejemplo, ante vacíos institucionales y ausencia de contratos endógenos eficientes establecidos sobre la apropiación y provisión del recurso entre los agentes que lo usan. Lo anterior conlleva a la simultaneidad en la explotación del recurso y a la ausencia de incentivos para su conservación4.
La fauna como un recurso natural puede caer en este problema5 y, además, teniendo en cuenta que la preservación y manejo de los recursos naturales renovables son de utilidad pública e interés social (decreto-ley 2811 de 1974, art. 1º), Colombia ha instaurado una regulación estricta que garantiza que la explotación sea realizada en el marco de los principios del desarrollo sostenible y, por ende, la protección y conservación del recurso faunístico.
La comercialización de fauna de manera lícita en Colombia, requiere de un proceso que involucra los trámites e inversiones necesarios para el establecimiento del zoocriadero; posteriormente, la espera para alcanzar en principio la fase experimental y luego la fase comercial, en la que el zoocriaderista puede comercializar animales (ley 611 de 2000, decreto 1608 de 1978, decreto 1180 de 2003, resolución 1317 de 2000). Además, la autoridad ambiental competente, es decir, la Corporación Autónoma Regional (CAR), con jurisdicción vigila constantemente el desempeño y el cumplimiento de todos los requisitos en cada fase, y renueva los permisos y licencias necesarios para la producción y comercialización. El proceso es largo y meticuloso, por lo que algunos agentes han llegado a desistir o postergar sus proyectos6, mientras que otros pueden encontrar en la acción ilícita una alternativa que aunque riesgosa, podría resultar más beneficiosa.
En Colombia existen diferentes regiones donde hay una gran riqueza de fauna y es posible encontrar especímenes iguales a los criados y producidos en un zoocriadero que se podrían capturar y transar con un costo inferior7. De allí se podría suponer que el proceso de producción y cría de fauna por la vía lícita tiene unos costos altos y mayores a los que se tienen por la vía ilícita, lo que conduce a un problema de riesgo moral; pues el agente, en este caso el zoocriaderista, tendría incentivos para vender animales ilícitos como si fueran lícitos, es decir, criados y producidos en el zoocriadero8.
La fauna es un recurso de valor para la sociedad9 y el comercio de animales es un negocio productivo que puede hacerse sosteniblemente y, además, tener efectos positivos en el stock del recurso. Siguiendo a Pearce (1989), la presión sobre el recurso es mayor cuando se sigue la vía ilícita que cuando se opta por la opción lícita. Se supone que la extracción ilegal no es sostenible, mientras que la producción legal es sostenible; pues en la primera se ejerce una presión sin límites sobre el stock del recurso y en la segunda la extracción es controlada10, lo cual, como dicen el Instituto Nacional de Biodiversidad de Costa Rica (INBIO) y el Sistema Nacional de Áreas de Conservación (SINAC) (2002), reduce la amenaza en la fauna y genera tecnologías conducentes a su conservación, como por ejemplo zoocriaderos y conservación ex situ.
Por lo anterior, es relevante analizar el problema de riesgo moral generado por condiciones de información asimétrica entre las partes involucradas en el monitoreo, regulación, producción y comercialización de fauna en Colombia y propender por incentivos que ayuden a generar un equilibrio entre el negocio privado y el bienestar social.
El principal aporte de esta investigación es que incursiona en un campo en el que, hasta donde el autor tiene conocimiento, hay pocos estudios y ninguno a través de la aproximación teórica exacta: comercio de fauna en Colombia e información oculta, queriendo evidenciar un problema de riesgo moral inducido por los altos costos en inversiones y tiempo necesarios para comercializar fauna, lo que conduce a un caso de principal-agente que se puede modelar mediante herramientas de la teoría de juegos11.
El objetivo de este estudio es encontrar un sistema de contratos óptimos que determine las condiciones y los incentivos necesarios para inducir al agente a actuar de manera lícita para generar los mayores beneficios sociales, desde el punto de vista teórico.
Este trabajo consta de cinco secciones: en la sección I se realiza una descripción detallada del proceso para la producción y exportación lícita de fauna en Colombia. En la sección II se presenta la literatura previa. En la sección III se plantea un modelo de contratos óptimos bajo información imperfecta siguiendo la teoría principal-agente. En la sección IV se encuentran simulaciones de los diferentes escenarios y análisis de los resultados. Finalmente, la sección V contiene la discusión.
Producción y exportación de fauna en Colombia
Al Ministerio del Medio Ambiente Vivienda y Desarrollo Territorial (MAVDT) le corresponde regular, conforme a la ley, la exportación, la importación, la distribución y el comercio de especies y estirpes genéticas de flora y fauna (ley 99 de 1993, art. 5º, num. 21); mientras que las Corporaciones Autónomas Regionales (CAR) son las autoridades ejecutoras de las políticas ambientales a escala regional.
La ley 611 de 200012 autoriza la creación de criaderos para el manejo sostenible de especies de fauna silvestre y acuática, define su uso sostenible, zoocriaderos y sus clases: abierto, cerrado y mixto13. En el 2005 sólo cinco14 especies animales eran comercializadas15, pero ¿cuál es el proceso que se debe seguir en Colombia para comercializar un animal o sus productos derivados?
Lo primero que se debe hacer es solicitar una licencia ambiental ante la CAR si la especie es nativa o ante el MAVDT si la especie que se va a exportar es exótica16. La licencia ambiental involucra permiso de caza con fines de fomento, instalación o construcción de las instalaciones del zoocriadero, fase experimental y fase comercial (resolución 1317 de 2000, art. 2º). Las dos primeras actividades son simultáneas y el permiso de caza con fines de fomento está condicionado a que se apruebe la fase experimental del zoocriadero17.
Ante la solicitud de la licencia ambiental la autoridad competente responde con un acto de iniciación de trámite, fija los términos de referencia para la elaboración del estudio de impacto ambiental18, y concluido satisfactoriamente lo anterior, decidirá acerca de la viabilidad ambiental del proyecto y otorgará o negará la respectiva licencia (decreto 1180 de 2003, art. 17).
La fase comercial del zoocriadero está sujeta a los resultados positivos que se obtengan durante la fase de experimentación y a que se efectúe la modificación de la licencia ambiental otorgada autorizando dicha actividad. La autoridad ambiental fija entonces un cupo de aprovechamiento19 y uno de comercialización, y revisa y supervisa constantemente el desarrollo del proceso para garantizar la viabilidad del negocio y la protección y sostenibilidad de la especie20.
Adicional al proceso anterior, para poder exportar es necesario obtener ante el MAVDT un permiso de exportación CITES (resolución 1367 de 2000) o no CITES (resolución 573 de 1997) según la especie de que se trate21, cumplir con la reglamentación para transporte de animales de la International Air Transport Association (IATA) y considerar que el decreto 1909 de 2000, designa los puertos marítimos y fluviales, los aeropuertos y otros lugares para el comercio internacional de especímenes de fauna y flora silvestre. Además, no se podrá autorizar la caza comercial de individuos de especies sobre las cuales exista veda o prohibición22.
La regulación referente al recurso faunístico ha tenido un amplio desarrollo y reglamenta diferentes aspectos fundamentales para su producción y comercialización; sin embargo, en la realidad todavía se necesitan instituciones más sólidas y eficientes que puedan desarrollar satisfactoria y oportunamente un proceso que evite costos de transacción adicionales.
Literatura previa
Las aplicaciones de la teoría de juegos a problemas ambientales y de recursos naturales se dan en tres categorías: problemas ambientales internacionales, de competencia y de información asimétrica (Folmer, Hanley y Mibfeldt, 1998). Respecto a problemas de información relacionados con el recurso fauna, es relativamente poco lo que se encuentra.
Un trabajo interesante, desarrollado por Briggs y Rollins (1996), muestra un modelo principal-multi agente para analizar problemas de información relacionados con fauna, examinando la acción de combatir daños a cultivos y programas de compensación en Canadá. El problema de riesgo moral se genera en un escenario donde hay tres participantes: el principal, que es la autoridad que maneja la fauna; un cultivador, que sufre los daños en los cultivos ocasionados por gansos, y un cazador, que usa la fauna para fines de recreación. El regulador quiere maximizar el bienestar social llevando a que el cultivador permita la presencia de gansos a cambio de una transferencia que cubre los daños en sus cultivos, resultado del dinero pagado por las licencias de los cazadores. Además, el regulador controla la población de gansos utilizando como incentivo una transferencia de regulaciones relativas a la caza más o menos severas, para desincentivar o incentivar a los cazadores.
En Nueva Zelanda, Moyle (1998) encontró que el cambio en el stock de especies en el tiempo sirve de base para calcular recompensas y sanciones en un modelo de principal-agente, hallando el contrato óptimo; sin embargo, más adelante critica su funcionalidad, pues en la realidad debido a los altos costos se dificulta su implementación.
Motte, Thomas y Salles (2002) examinaron el efecto de la información acerca del costo de usar tierra en cultivos en el diseño de contratos de incentivos voluntarios a cultivadores, para conservar biodiversidad en áreas forestales de países en desarrollo. Encontraron que se puede transferir a los cultivadores un pago, mientras no extiendan sus cultivos y mantengan el uso original de la tierra, pero este pago puede ser ineficiente por la asimetría de información y, además, que el efecto de esta última disminuye a medida que el beneficio marginal social de la conservación de biodiversidad aumenta.
Huennemeyer y Rollins (1999) también analizaron la maximización del bienestar bajo problemas de información cuando el regulador delega la conservación de recursos naturales con características de bienes públicos a un agente privado, que puede hacer tres tipos de esfuerzos: nulo, bajo o alto. El regulador quiere inducir al agente cultivador de madera a conservar la biodiversidad, considerando diferentes supuestos acerca de selección adversa y riesgo moral. Los resultados implican que los contratos para mitigar el riesgo moral y la selección adversa mejoran el bienestar, si las ganancias en eficiencia por el manejo del agente privado sopesan los costos de los contratos inducidos por las asimetrías de información entre el regulador y el agente privado. Además, que durante transformaciones institucionales el regulador puede decidir retener cierta información o invertir en monitoreo a fin de reducir los costos de las asimetrías de información.
Conclusiones similares encuentra Perchard (1998) al analizar cómo la importancia global de la biodiversidad puede interferir en la toma de decisiones locales, mediante la interacción de un organismo internacional que se vuelve determinante para fijar las reglas de juego y aplicar su papel de veedor y una comunidad local que debido al proceso de descentralización debe ocuparse del manejo de recursos naturales.
Por otro lado, Panayotou (1994) propone el uso de sistemas de permisos negociables para limitar las actividades dañinas a la biodiversidad en las zonas afectadas. Una licencia negociable es un permiso que autoriza a desarrollar una actividad específica. Así, los dueños de las licencias ejercen el derecho al que están autorizados por ellas, o lo ponen a la venta para transferirlo por un período determinado a cambio de una compensación económica. Si los agentes se comportan de forma económico-racional optan por la alternativa más beneficiosa (Viladrich, 1997). Sin embargo, la idea de un mercado de licencias negociables es sencilla, pero puede plantear serios problemas de aplicación, ya que para que un sistema de licencias transferibles sea eficiente es necesario que el mercado de licencias sea competitivo (Tietenberg, 1985), es decir, que haya muchos agentes y que se minimicen las posibilidades de comportamientos estratégicos por grupos de éstos.
Marco teórico
A. Especificación del modelo
Se plantea un juego entre dos agentes, el gobierno G y el comercializador de fauna Z23, que modela el problema de riesgo moral que existe en el proceso de comercialización de especímenes animales24.
Siguiendo la aproximación estándar principal-agente, se asume que un regulador define las diferentes reglas de juego y especificaciones contractuales relacionadas con el proceso de producción y comercialización de fauna. El medio ambiente proporciona un bien y servicio: el recurso fauna f, el cual es de valor para la sociedad. El zoocriaderista comercializa especímenes que pueden ser legales l, criados y producidos en el zoocriadero, o ilegales u, extraídos de forma ilícita del medio natural.
La empresa zoocriaderista quiere maximizar una función de utilidad asociada a sus beneficios privados netos, mientras el regulador quiere maximizar los beneficios sociales, incluyendo los beneficios privados, que proporciona el recurso faunístico. Aunque el gobierno quiere proteger la fauna, se enfrenta a la dificultad de no tener información perfecta de las acciones del agente y, por lo mismo, surge un problema de riesgo moral, pues el productor-comercializador puede decir que está vendiendo especímenes legales pero que en verdad son extraídos de forma ilegal del medio natural. Entonces, el gobierno debe inducir a la firma a la elección óptima social que es transar animales lícitos, pero sin que ésta pierda los beneficios económicos de la actividad.
El modelo asume que el valor marginal de especímenes comerciados no varía con la escogencia de ejemplares lícitos o ilícitos; sin embargo, supone también que el valor de los costos para la firma de elegir comercializar animales lícitos dada la regulación vigente es mayor que el de elegir animales ilícitos25. El costo de comercializar animales ilícitos es el valor esperado, es decir, la suma de los costos en que se debe incurrir considerando los dos escenarios posibles: que el gobierno descubra al agente o que no lo descubra26. De esta manera surge un conflicto entre los intereses del principal y del agente, que es el que conduce al problema de riesgo moral.
Problema del zoocriaderista o agente
El beneficio de la firma zoocriaderista es de la forma:

El primer término muestra los ingresos por la producción y comercialización de fauna, siendo r el precio que está dado en el mercado y f la cantidad de fauna que el gobierno determina que el zoocriaderista puede transar27. Los animales transados f pueden ser lícitos (l), si se producen dentro del zoocriadero cumpliendo todos los requisitos de la autoridad ambiental y siguiendo el debido proceso, o ilícitos (u), si los animales son extraídos del entorno natural.
La producción y comercialización de los animales tiene un costo asociado ai, binario pues toma los valores al o au, según los especímenes sean legales o no. Además, como se mencionó anteriormente, el costo de comercializar animales lícitos es mayor al de transar animales ilícitos, al > au, por lo que se podría pensar que au es preferido a al.
El Estado tiene como deber participar en la preservación y manejo de los recursos naturales renovables que son de utilidad pública e interés social (decreto-ley 2811 de 1974, art. 1º), para lo cual puede utilizar diversas herramientas: transferencias, impuestos, subsidios, entre otras. Se descartan los incentivos en dinero pues, siguiendo a Moyle (1998), el comportamiento estratégico de los agentes en el largo plazo hace que se generen alternativas para volver a la asimetría de información y por lo mismo la funcionalidad del incentivo desaparece, pues aunque se le está dando un subsidio o impuesto al agente se sigue en el mismo problema de riesgo moral. Por otro lado, Briggs y Rollins (1996) proponen una transferencia en regulación para controlar la cantidad de fauna conservada (población de gansos), que aparece como efectiva en el tiempo. Por todo lo anterior, se propone una transferencia en flexibilización de regulación que afecta al zoocriaderista a través de una disminución de sus costos de transacción generados de la regulación. Esta transferencia puede ser un mecanismo efectivo para solucionar el problema de riesgo moral en la medida que los empresarios son sensibles a los costos de transacción28.
Entonces se asume que el gobierno fija a los zoocriaderistas un nivel de regulación que es el resultado del estado del ecosistema, es decir, del nivel de conservación observado por el gobierno, que a su vez depende de la decisión del zoocriaderista de comercializar animales lícitos o ilícitos. Este nivel de regulación, en adelante beneficio por flexibilidad en el nivel de regulación y agilidad en los trámites t, es máximo cuando alcanza al mayor valor de t que implica la mayor flexibilidad y agilidad posible en el proceso, es decir, menores costos de transacción de la regulación. Además, se asume que por cada t que el gobierno proporciona al agente zoocriaderista, éste obtiene t0.5 lo que representa su aversión al riesgo29.
Así, los beneficios del agente zoocriaderista se pueden expresar como:

Considerando que el ingreso f es exógeno, constante y no depende de la clase de animales que se comercialice, se puede expresar una función de utilidad del agente zoocriaderista asociada que sigue la forma planteada por Von Neumann-Morgestern:

Con U una función de utilidad continua, dos veces diferenciable en ti, creciente U'(ti) > 0 y cóncava U''(ti) < 030. U equivale a la parte variable de los beneficios, es decir, contiene las dos variables que los afectan: los costos del agente y el beneficio por flexibilidad en el nivel de regulación y agilidad en los trámites dado por el gobierno.
El problema del zoocriaderista es:

Además, como hay dos posibles elecciones que puede hacer el zoocriaderista, el problema se transforma en:

El zoocriaderista va a elegir transar animales producidos en el zoocriadero, si la diferencia entre el beneficio por flexibilidad en el nivel de regulación y agilidad en los trámites que fija el gobierno bajo la acción lícita e ilícita es mayor al sobrecosto en que debe incurrir si sigue la vía legal31.
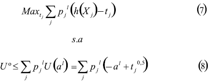
2. Problema del gobierno
El gobierno se asume neutral al riesgo y, por lo mismo, los beneficios sociales son de la forma:

Donde B representa los beneficios totales netos de la conservación del recurso, que son la diferencia entre los beneficios que para la sociedad se derivan de la conservación de la fauna h(Xi) y los costos en que incurre el gobierno por otorgar el beneficio por flexibilidad en el nivel de regulación y agilidad en los trámites ti al zoocriaderista para inducirlo a comercializar animales lícitos32.
La función h(Xi) es continua, dos veces diferenciable, creciente h'(Xi) > 0 y cóncava h''(Xi) < 0, pues a medida que mejora el estado de conservación de la naturaleza Xi, el beneficio para la sociedad se incrementa, pero cada vez en menor proporción.Además, se asume que Xi toma valores en el intervalo [0, 1], siendo cero el peor grado de conservación de la naturaleza y uno el máximo, y que depende de la elección que hace el agente de comercializar animales lícitos o ilícitos. Siguiendo a Pearce (1989), la decisión de comercializar animales ilícitos debe tener un efecto negativo sobre el nivel de fauna conservada; pues al escoger la vía ilícita no se está teniendo en cuenta consideraciones que la autoridad ambiental ha dictaminado para proteger la fauna, por ejemplo, los cupos de aprovechamiento y comercialización, la edad o el tamaño adecuado, las condiciones en que se debe tratar al espécimen para evitar su daño y el daño al ecosistema, y la cuota de repoblación33. Entre tanto, la elección de comercializar animales lícitos es sostenible en la medida que sigue los planteamientos legales que la autoridad ambiental ha implementado para conservar la especie y el ecosistema.
El nivel de regulación ti depende del nivel de conservación de la naturaleza. Así, después de observar Xi, el gobierno fija ti = Xi,34 por lo que de acuerdo con el estado observado del ecosistema el principal decide el grado de beneficio por flexibilidad en el nivel de regulación y agilidad en los trámites35.
El gobierno quiere maximizar el beneficio social:

Pero considerando los beneficios del zoocriaderista.
B. Implicaciones del modelo
1. Resultado básico con información perfecta: ai observable y que determina completamente el estado de conservación Xi
El contrato entre las partes especifica la clase de animales que se comercializa, el cual depende del costo ai Î {ai, au} y un beneficio por flexibilidad en el nivel de regulación y agilidad en los trámites ti. Se asume que en el mercado competitivo para zoocriaderistas el ente regulador debe proveerle a la firma, si espera que ésta acepte el contrato, al menos el nivel de utilidad esperado U0, que es el nivel de utilidad de reserva.
Así el problema para el gobierno es:

Debido a que hay información perfecta y a que quien determina ti y debe asumir su costo es el gobierno, un agente que no quiere desperdiciar recursos, es de esperar que la restricción en (5) o de racionalidad se cumpla con igualdad; además, como ai es observable, el gobierno se da cuenta de la acción del agente y, por lo mismo, hay certeza sobre el nivel de regulación óptimo. Entonces, el problema se transforma de la siguiente manera:

Solucionando el lagrangiano36 de(6) ti = (ai + U0), entonces el beneficio por flexibilidad en el nivel de regulación y agilidad en los trámites ti que da el gobierno debe cubrir el costo de comercialización y la utilidad de reserva, para que el agente esté interesado.
Por otro lado, la decisión de comercializar animales lícitos o ilícitos se refleja en el costo ai y determina completamenteel grado de conservación de la naturaleza Xi.Asumiendo Xi = ai, es decir, una relación lineal directa entre las variables con base en que si el zoocriaderista incurre en mayores gastos para comercializar fauna, el daño al ecosistema es menor, y además que U0 = 0 , se puede rescribir el problema del gobierno como:

De donde se aprecia que el beneficio por flexibilidad en el nivel de regulación y agilidad en los trámites óptimo t* debe ser constante, lo cual se puede explicar por la aversión al riesgo del agente, ya que si no hay incertidumbre acerca de las decisiones, el estado óptimo es ofrecer un incentivo t* que garantiza que las decisiones de la empresa son óptimas socialmente, pues la decisión favorece a la acción lícita37.
2. Resultado básico con información perfecta: a observable pero que no determina completamente el estado de conservación Xi
El problema es muy similar al anterior. El gobierno observa a y el estado de la naturaleza y utiliza este último para determinar el monto de la transferencia; sin embargo, sabe que dicho estado de conservación del ecosistema puede ser resultado de acciones diferentes a la del agente, por lo que ahora se incorpora el concepto de probabilidad asociado al valor esperado del estado de la naturaleza. Se define
con
, para todo
y todo
, de lo que se entiende que X está estocásticamente relacionada con a a través de una función de probabilidad condicionada, que indica la probabilidad de obtener cualquier nivel potencial (j) de conservación de fauna (Xj) dada la decisión del agente zoocriaderista de comercializar animales lícitos o ilícitos.
El nuevo problema para el gobierno es:

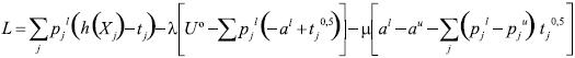
El lagrangiano del problema se puede plantear de la siguiente manera:

En el caso anterior se había mostrado que la restricción de participacióndebe cumplirse en el óptimo con igualdad, pues el gobierno es un agente racional que no va a querer desperdiciar recursos, así con l, se obtiene:

Como el agente es estrictamente averso al riesgo y hay información perfecta la compensación óptima t* debe ser constante, lo que concuerda con lo se encontró y explicó en el caso anterior.
3. Resultado básico con información asimétrica: a no observable
Ahora la decisión del zoocriadero no es observable para el gobierno; entonces, el regulador enfrenta una segunda restricción además de la de racionalidad: la de incentivos, pues el agente debe decidir a de acuerdo con los incentivos que enfrenta. Nuevamente se asume que el grado de conservación de la naturaleza está influenciado por ai, pero no determinado completamente por dicha variable.
El nuevo planteamiento del problema del gobierno es el siguiente:

Dados los supuestos y sabiendo que el gobierno quiere inducir al agente a al, la condición (10)se puede transformar de la siguiente manera:

Si se retoma el supuesto de que el gobierno es racional y no quiere desperdiciar recursos, es claro que la primera restricción (9) debería cumplirse en el óptimo con igualdad, pues el principal no desea pagar al agente más de lo que resulta necesario para que éste acepte el contrato. Sin embargo, el gobierno tampoco quiere que el agente soporte más riesgo que el que resulta necesario para que éste se esfuerce mucho y siga la vía lícita, ya que todo el riesgo que hace soportar al agente se le traduce en costos; así, si el objetivo del gobierno es que el zoocriaderista acepte comercializar fauna y que lo haga siguiendo la tecnología lícita, la segunda restricción modificada (11) también debería cumplirse con igualdad en el óptimo; entonces el problema se transforma en:

La solución al problema es t** (véase procedimiento de solución en el anexo 2):

Cuando hay información asimétrica y, por tanto, a es no observable, t** es el beneficio vía regulación óptimo que debe darse al agente para conducirlo a comercializar fauna siguiendo el proceso legal. La presión sobre el recurso es mayor bajo acción ilícita que bajo acción lícita. Esto implica
que a su vez implica (de la expresión para t**) t** > t*.
Es decir, dado que la decisión del agente es ahora no observable, el gobierno debe generar una transferencia suficientemente alta para cubrir no sólo los costos diferenciales del productor, sino también para inducirlo a la política deseable mediante un "premium" que compense esa incertidumbre.
IV. Simulaciones y análisis de resultados
Se realizan simulaciones38 de escenarios con información perfecta y asimétrica (solucionando los tres problemas planteados en la sección III, apartado B), donde, para solucionar el problema de riesgo moral, el principal debe definir un contrato para el zoocriaderista, a través de la fijación de un nivel de regulación (con mayores o menores beneficios para el agente) de acuerdo con un estado de conservación de la naturaleza.
Para lo anterior, dados los supuestos que se hicieron respecto a la función de beneficios para la sociedad derivados de un estado de conservación h(Xj) se utilizan dos funciones: logística,
, con b y g parámetros, que se asumen iguales a 5; y raíz cuadrada, h(Xj) = Xj0.539.
Las probabilidades de obtener un estado de conservación dada la acción lícita o ilícita del zoocriaderista plj, puj40, toman diferentes valores en el intervalo [0, 1]; el costo asociado a la decisión de comercialización de la fauna ak puede ser lícito o ilícito41 y el nivel de utilidad de reserva se asume cero: Uo = 0.
A. Escenario 1 con información perfecta y ai observable y que determina completamente el estado de conservación Xi
En el cuadro 1 se muestran los resultados obtenidos al realizar el proceso de maximización para las dos funciones de beneficios sociales. Se encuentra que el beneficio por flexibilidad en el nivel de regulación y agilidad en los trámites óptimo t* debe cubrir el costo marginal en el que incurre el zoocriaderista por actuar siguiendo la vía lícita.

Bajo información perfecta, la elección socialmente óptima es comercializar fauna lícitamente, para lo cual el gobierno otorga una transferencia en flexibilización de regulación que se traduce en un ahorro de los costos de transacción por concepto de trámites para renovación de licencias y demás permisos45, de 0,26 o 0,16, según la función de beneficios del estado de conservación de la fauna para la sociedad.
B. Escenario con información perfecta: a observable pero que no determina completamente el estado de conservación Xj
En el cuadro 1 se muestran los resultados considerando como valor óptimo de a el encontrado en el caso anterior y diferentes valores para la probabilidad de alcanzar un estado de la naturaleza siendo lícito p.
El valor de los dos estados de la naturaleza X0 y X1 es el mismo, lo que concuerda con lo esperado, pues bajo información perfecta el agente va a sentirse incentivado a actuar de manera lícita, por lo que sólo es posible alcanzar un estado del ecosistema. La transferencia óptima es exactamente igual a la hallada en el caso anterior, por lo que nuevamente se observa que el valor óptimo de la transferencia bajo información perfecta es constante e independiente de las probabilidades de obtener los diferentes estados de la naturaleza dadas las acciones lícitas o ilícitas de los agentes. Cuando el agente es averso al riesgo, con información perfecta, la transferencia es constante y la acción del agente es la óptima socialmente.
C. Escenario con información asimétrica: a no observable
En el cuadro 1 se observa el resumen de los resultados del anexo 4, para las dos funciones, teniendo nuevamente como base el valor de al hallado en el caso uno46 y diferentes combinaciones de las probabilidades de obtener un estado de la naturaleza siendo lícito o ilícito, p y q, respectivamente. Al comparar el t* de los casos anteriores con información perfecta, con el caso de información asimétrica, se encuentra que en el último escenario el valor de la transferencia para inducir al agente a actuar lícitamente depende de las probabilidades p y q. Si p > q el valor óptimo de la transferencia es mayor en el caso de información asimétrica que bajo información perfecta, concuerda con lo anticipado por la teoría.
En el anexo 5 se grafica el valor óptimo de la transferencia cuando hay información asimétrica t** versus p y q, considerando diferentes valores de estas probabilidades, lo que genera curvas de nivel en el primer caso para p y en el segundo para q.
Los gráficos 1 y 2 del anexo 5 consideran el espacio del zoocriaderista lícito t versus p. Se aprecia que si p < q, es decir, la probabilidad de alcanzar un estado siendo lícito es menor a la probabilidad de alcanzarlo siendo ilícito, el estado de conservación de la fauna en el que se está es menor a potenciales estados alcanzables, es decir X0 < X1, y además que t es creciente en p, pues si el zoocriaderista quiere aumentar su probabilidad de alcanzar un estado siendo lícito, el ente de control debe premiarle cada vez con una transferencia mayor ese esfuerzo por querer mejorar el estado de conservación alcanzado.
Si p > q, la probabilidad de alcanzar el estado de conservación del ecosistema es mayor siendo lícito que ilícito. Siguiendo a Pearce (1989), cuando el agente actúa lícitamente ejerce menor presión sobre el recurso y, por lo mismo, el estado de conservación del ecosistema es mayor a otros potenciales, entonces es de esperar que X0 > X1. Así mismo, t es decreciente en p, ya que si aumenta la probabilidad de lograr un estado siendo lícito y dado que ya se ha alcanzado un estado alto de conservación, el gobierno le sigue dando un premio al agente por el esfuerzo; pero este premio es cada vez menor porque debe conducirlo al equilibrio que se alcanzaría con información perfecta y en el cual los recursos utilizados por el gobierno para la transferencia son mínimos.
Si p = q, el gobierno debe dar la transferencia de mayor valor que compense el grado máximo de incertidumbre que tiene, pues el zoocriaderista se encuentra en el punto crítico donde siendo lícito o ilícito tiene el mismo efecto sobre el ecosistema, y por lo mismo debe dársele el mayor incentivo, el t máximo, que lo haga decidir actuar para el óptimo social, es decir, lícitamente.
El equilibrio al que quiere conducir el gobierno al agente zoocriaderista es al generado cuando p = 1, es decir, al que se alcanzaría en el escenario bajo información perfecta.
Por otro lado, el mismo análisis se realiza desde el punto de vista del zoocriaderista ilícito, en los gráficos 3 y 4 (véase anexo 5), donde se considera t versus q. Si q < p, entonces X0 > X1, y la transferencia óptima va a ser creciente en q, pues si se incrementa la posibilidad de obtener un estado de conservación siendo ilícito y se está en un nivel de alta conservación del ecosistema, el gobierno va a premiar ese esfuerzo adicional por conservar aunque aún el agente siga la vía ilícita47.
Si q > p, se intuye que X0 < X1, y el estado actual de la naturaleza es de mínima conservación; así, si aumenta la probabilidad de alcanzar el estado siendo ilícito es porque el agente está generando un mayor daño y entonces el gobierno debe castigarlo dándole una transferencia menor, por lo que t es decreciente en q. De esta manera, si el zoocriaderista es racional es claro que no querrá aumentar q, sino disminuirlo, con lo cual se estaría induciendo a través de la transferencia a llegar al punto en que dado el incentivo el agente decide volverse lícito.
Si q = p, nuevamente se está en el punto de máxima incertidumbre, donde siendo lícito o no el agente genera el mismo impacto en el ecosistema. Por lo que la transferencia del principal debe ser máxima, para lograr convencer al agente de seguir mejor la vía lícita.
En síntesis, se encuentra que el zoocriaderista va a recibir un beneficio por flexibilidad en el nivel de regulación y agilidad en los trámites t* que está en función de las probabilidades p y q. Si p > q y la transferencia bajo información asimétrica es mayor a la transferencia bajo información perfecta (como lo dice la teoría), se está logrando un mayor beneficio por ahorro en los costos de transacción generados por la regulación y el proceso referente a trámites y licencias. Si es menor, entonces el zoocriaderista aunque está recibiendo algo de transferencia no está recibiendo todo lo potencialmente alcanzable y de esta manera todavía se enfrenta a costos de transacción altos. Si la transferencia con información asimétrica es igual a la de información perfecta, entonces se está obteniendo exactamente el monto que el gobierno quiere pagar, porque es el que le permite ahorrar la mayor cantidad de recursos.
V. Discusión
Se mostró que con ciertas condiciones debido a la no observación de las acciones del agente zoocriaderista, existe la potencialidad de que el productor opte por acciones ilícitas, con lo cual se genera un problema de riesgo moral.
El problema de asimetría de información para la autoridad podría disminuir si se crean mecanismos de monitoreo más efectivos que aumenten el grado de información (buscando alcanzar un escenario de información perfecta); por ejemplo, para diferenciar los animales lícitos de los ilícitos la señalización mediante marcas que no dañen a los especímenes podría ser una solución. Además, estos mecanismos serían controlados por instituciones ambientales idóneas.
Para solucionar el incentivo de caer en la acción ilícita, el ente encargado del control debe diseñar un mecanismo de contratos o de beneficios por flexibilidad en el nivel de regulación y agilidad en los trámites, acordes con el estado de conservación de la naturaleza y las probabilidades de los agentes de actuar lícita e ilícitamente. Dicho mecanismo incentivaría a los productores a tomar las decisiones que generen mejores estados ambientales y contribuyan al mayor bienestar social, es decir, las acciones lícitas. Los contratos son viables si las ganancias en bienestar por seguir la vía lícita compensan los costos extra de los contratos por las asimetrías de información entre el regulador y el agente zoocriaderista.
Bajo información perfecta, el zoocriaderista actúa lícitamente y el gobierno determina una transferencia óptima t* que, siguiendo a Briggs y Rollins (1996), puede ser un beneficio por flexibilidad en el nivel de regulación y agilidad en los trámites. El gobierno fija t* de acuerdo con el estado de conservación de la naturaleza observada.
En Colombia, la información sugiere que los zoocriaderistas son sensibles a los costos de transacción generados por la regulación, entonces t* permitiría ejercer un control efectivo mediante un mecanismo de coacción que puede mejorar o acabar la viabilidad económica del negocio de zoocría. Este beneficio por flexibilidad en el nivel de regulación y agilidad en los trámites, se daría, por ejemplo, para la renovación de licencias y demás documentos necesarios para el funcionamiento del zoocriadero. Así, un alto nivel de conservación del ecosistema donde se encuentra el zoocriadero conduciría a un mayor beneficio por flexibilidad en el nivel de regulación.
Bajo información asimétrica, el esquema de contratos óptimos implica un mayor beneficio por flexibilidad en el nivel de regulación que bajo información perfecta; este t** es mayor porque debe cubrir no sólo los costos diferenciales del productor, sino también un "premium" por riesgo que lo incentive a actuar lícitamente.
El monto del beneficio por flexibilidad en el nivel de regulación en escenarios con información asimétrica, depende de las probabilidades de alcanzar determinados estados ambientales bajo acciones lícitas e ilícitas. Por ejemplo, si p es igual a 1, entonces el beneficio por flexibilidad en el nivel de regulación óptimo es igual al beneficio por flexibilidad en el nivel de regulación bajo información perfecta, t** = t*inf. perfecta. Mientras que si p es aproximadamente igual a q, el nivel de incertidumbre para el principal es máximo y el valor de la transferencia es también el máximo, t** = t*máximo.
Bajo información perfecta e imperfecta se requiere tener un conocimiento adecuado del estado de conservación de la naturaleza X. En este trabajo se asume que hay información perfecta sobre dicho estado,es decir, que es observable; sin embargo, en la práctica X no es fácilmente observable y, además, observarlo es costoso. Como consecuencia, se deben buscar mecanismos que permitan monitorear el estado de conservación del ecosistema y el impacto de las decisiones de los zoocriaderistas sobre el mismo de una manera costo-efectiva, es decir, al mínimo nivel de costo por unidad observada. Al respecto se sugieren alternativas como las siguientes:
Las medidas mencionadas anteriormente, permitirían aproximar el estado de conservación del ecosistema, con lo que se podría determinar un beneficio óptimo por flexibilidad en el nivel de regulación a transferir al agente para inducirlo a actuar lícitamente, lo que permitiría solucionar el problema de riesgo moral y a la vez, alcanzar los mayores beneficios para toda la sociedad.
Este trabajo realiza una aproximación teórica a un problema de riesgo moral en la zoocría en Colombia. En la práctica, infortunadamente, carece de información estadística primaria o secundaria relacionada; sin embargo, lo anterior no implica que el problema no exista, sino que debe trabajarse aún más en el tema. Sería interesante seguir explorando en el proceso de producción y comercialización de fauna en Colombia, cambiando algunos supuestos y generando líneas de investigación más enfocadas al componente práctico y empírico.

Anexo 2. Solución al problema de optimización con información asimétrica: a no observable (sección III, apartado B3).
El problema del gobierno es:

El lagrangiano del problema se puede escribir como:

Solucionando la maximización y con l > 0 y m < 0:









NOTAS AL PIE
1. Incluyendo todos los productos de peces y maderas internacionalmente comerciados.
2. Otro ejemplo de los amplios beneficios derivados del comercio de fauna son las hicoteas. En el verano de 1997 se capturaron más de 960 mil tortugas hicoteas en veinte veredas de La Mojana, Sucre (Corpoica, 1999 y Palacios et al., 1999). Si las hicoteas fueran vendidas al precio conservador de $ 1.000 por individuo, el precio total de estos animales representaría para 1998 aproximadamente $ 1.000 millones, ya sea por consumo o venta.
3. Proexport, http://www.proexport.com.co/intelexport/aplicacion/frame2x.htm.
4. Las soluciones a la tragedia de los comunes son diferentes: la creación de una regulación externa de comando y control por las entidades públicas, la privatización de los recursos, la gestión comunitaria y la generación de arreglos institucionales internos basados en la experiencia en el manejo de los recursos son, entre otras, algunas de las acciones más frecuentes (Hardin, 1968).
5. La fauna se considera un recurso de uso común ya que posee características de rivalidad, lo que hace referencia a que si un usuario extrae afecta las posibilidades de que otros usuarios usen unidades del recurso, y de difícil exclusión, pues es complicado excluir a usuarios de la posibilidad de extraer fauna, por ejemplo, por costos de monitoreo (Ostrom, Gardner y Walter, 1994). El uso conjunto del recurso, sin reglas de juego claras para su apropiación y provisión, puede llevar a la sobreexplotación si cada uno de los agentes se encuentra interesado en obtener el máximo beneficio de la utilización de la fauna, sin considerar las consecuencias que en el largo plazo se puedan generar sobre su sostenibilidad.
6. Información de entrevistas confidenciales realizadas a agentes que han iniciado el proceso de trámite de la licencia ambiental, pero no lo han podido culminar o lo han abandonado.
7. Mientras para obtener un espécimen lícito es necesario el establecimiento de un zoocriadero, lo cual implica inversión de recursos (para infraestructura y capital humano) y tiempo (véase sección I), para obtener un espécimen ilícito, dadas las condiciones de alto desempleo rural y abundancia de biodiversidad en las áreas aledañas a los zoocriaderos, existirían personas de la comunidad dispuestas a ofrecer especímenes a un costo mínimo.
8. Otra forma de ver el problema de riesgo moral podría ser que el incentivo del agente para ser lícito podría estar dado por el bajo costo de la sanción en que incurriría si éste fuera capturado por el principal. En este caso, el problema de riesgo moral sería exactamente opuesto al planteado, pues si el costo de la sanción es alto (existe un alto costo de ser ilícito) esto incentivaría al agente a comerciar animales ilícitos. En el caso colombiano, la sanción para el agente zoocriaderista al ser capturado implica costos muy altos e incluso puede llevar al cierre del negocio. Sin embargo, la información de entrevistas confidenciales sugiere que a pesar de que la sanción existe, la probabilidad de captura es mínima porque los especímenes criados en el zoocriadero (lícitos) son exactamente iguales a los del medio natural (ilícitos), lo cual dificulta el monitoreo del gobierno.
9. Tiene valor de uso que es el generado directamente de su consumo, y valores de no uso como el de opción, el cual se relaciona con lo que una persona está dispuesta a pagar por tener la posibilidad de usar el recurso en un futuro, y el de existencia, el cual hace referencia a la utilidad que obtiene una persona por el hecho de que el recurso exista (Freeman, 1993).
10. Este control en la producción legal surge de la regulación del proceso que permite comercializar una determinada cantidad de especímenes.
11. Si bien no hay estudios desde esta perspectiva analítica específica, sí hay trabajos amplios y profundos sobre cacería y uso común de fauna. Para mayor información véanse, por ejemplo: Campos, Ulloa y Rubio (1996), Fundación Natura, Instituto de Ciencias Naturales Universidad Nacional de Colombia, Cites (2001) y Campos y Ulloa (2004).
12. Esta ley principalmente permite la caza comercial de especímenes de fauna silvestre, considera la zoocría de ciclo abierto y la posibilita que las actividades de los zoocriaderos puedan llevarse a cabo sobre cualquier especie, siempre que se cumpla la reglamentación vigente.
13. Zoocriadero cerrado es el que involucra el mantenimiento de un plantel reproductor (machos y hembras adultas) y su manejo zootécnico en estricto cautiverio para lograr obtener sus crías y luego ser levantadas hasta un tamaño comercial. La zoocría en ciclo abierto consiste en la obtención de los huevos, neonatos y juveniles de especies silvestres de su medio natural (rancheo) para ser incubados o levantados en un medio controlado, hasta un tamaño comercial. Zoocriadero mixto es aquel en el que se combinan los dos anteriores (MAVDT, 2000).
14. Caimán (Crocodilus fuscus), iguana (Iguana iguana), lobo pollero (Tupinambis teguixin), boa (Boa constrictor) y mariposa.
15. Sin embargo, potencialmente se cree que se puede comercializar especies con demanda efectiva (en el mercado nacional o internacional), oferta efectiva (que no se encuentren en los libros rojos) y de las que exista alguna información biológica sobre su tasa de reproducción para evitar amenazas a la especie o el ecosistema. Algunas especies de las que se adelantan estudios son: chigüiro (Hydrochaeris hydrochaeris), guagua (Agouti paca) y ñeque (Dasyprocta fuliginosa) (Baptiste et al., 2002).
16. Se considera especie nativa aquella típica de la fauna colombiana y exótica la que procede de ecosistemas diferentes a los colombianos y es característica de ellos.
17. Si las actividades se hacen en la misma área de jurisdicción de la entidad que otorga la licencia ambiental, ésta incorpora el permiso de caza con fines de fomento. Si no es así, es necesario, previa tenencia de la licencia, solicitar un permiso de caza de fomento ante la autoridad ambiental regional con jurisdicción en el área donde se va a realizar la caza (decreto 1180 de 2003, art. 9º, num. 16, parág. 1).
18. Posteriormente se podrá pedir la información adicional que se considere indispensable al interesado o a autoridades o entidades técnicas.
19. Se da como resultado de un estudio de la especie y sus condiciones específicas.
20. La comercialización de los especímenes se da desde la primera familia (primera generación de especímenes criada en cautiverio) o desde la segunda (siguiente generación criada en cautiverio) si la especie está en cualquiera de los apéndices de la Convención sobre el Comercio de Especies Amenazadas de Fauna y Flora Silvestres (CITES).
21. El permiso CITES rige para los especímenes listados en los apéndices de CITES, mientras que los permisos no CITES son para los ejemplares de especies no incluidas en éstos.
22. Las vedas o prohibiciones son dadas por la CAR y se actualizan periódicamente.
23. también puede representar la agregación de los zoocriaderos, que actúan individualmente y con un comportamiento de maximizador de beneficios, y afecta el estado de conservación de las especies en la naturaleza. Las conclusiones bajo esta perspectiva se mantienen siempre que se garantice que cada individuo va a actuar y a seguir las recomendaciones del grupo, con lo cual se evitarían problemas de free riding.
24. El modelo se desarrolla siguiendo los planteamientos básicos de Kreps (1990), Mas-Collel, Whinston y Green (1995) y Varian (1992).
25. Información de entrevistas realizadas a Juan Carlos Ucros, director de Azoocol, quien sugiere que esto no es necesariamente cierto. Sin embargo, dadas las condiciones de alto desempleo rural y abundancia de biodiversidad en las áreas aledañas a los zoocriaderos, eventualmente puede darse el caso de uso del recurso como bien de propiedad común, donde la comunidad esté dispuesta a ofrecer especímenes a los zoocriaderos a costos relativamente bajos.
26. Con base en entrevistas se encuentra que usualmente la probabilidad de atrapar al agente dadas las condiciones de control y monitoreo es mínima, lo que implica que a pesar de que existe una sanción impuesta por el principal, la probabilidad de que ésta se dé es mínima y entonces el costo esperado de extraer ilegalmente fauna tiende a ser más bajo que el costo de actuar legalmente.
27. La cantidad f son los especímenes que se pueden vender, es decir, la cuota de comercialización, la cual es menor a la cantidad de animales producidos o cuota de aprovechamiento (véase sección I).
28. En Colombia, particularmente en el caso de la fauna, entrevistas confidenciales a zoocriaderistas y agentes que han iniciado el proceso confirman que la viabilidad del negocio de zoocría puede verse afectada de manera sustancial por los costos asociados a licencias, trámites, permisos y renovación de éstos.
29. Si el gobierno le da al zoocriaderista un nivel de regulación aleatorio, entonces el zoocriaderista evalúa su nivel de regulación de acuerdo con su nivel de utilidad esperada. Siendo averso al riesgo, si el nivel de regulación depende totalmente del riesgo, el zoocriaderista lo valora en menos que su valor esperado.
30. La función seleccionada representa la aversión al riesgo del agente. Se podrían utilizar otras formas funcionales con las propiedades esperadas. En este caso se utiliza esta forma funcional porque cumple con las propiedades esperadas y no hay pérdida de generalidad.
31. Si bien tes un nivel de regulación, trae asociados incrementos o ahorros en costos de transacción asociados a la regulación, por lo cual se puede monetizar su valor.
32. Si t es grande, el costo para el gobierno es mayor porque debe ser más eficiente y realizar el trámite más ágilmente; si t es pequeño, igual el gobierno tiene que incurrir en un costo por determinar el nivel de t.
33. Decreto 1608 de 1978 y ley 611 de 2000, art. 22.
34. En este caso se utiliza esta forma funcional porque cumple con las propiedades esperadas y no hay pérdida de generalidad. Se podrían utilizar otras formas funcionales con las propiedades esperadas.
35. toma valores en el intervalo [0,1], con 1 el mayor beneficio resultado de una regulación más flexible y ágil, y 0 el beneficio (nulo) asociado a un nivel de regulación base: regulación vigente (véase sección I).
36. Matemáticamente, se define como el multiplicador de Lagrange que es la tasa de variación del valor óptimo de la función objetivo respecto a los cambios de la variable. Económicamente, es el precio sombra, que representa el costo de oportunidad de producir o consumir un bien o servicio; en este caso, el costo de oportunidad asociado a la producción de fauna (Sydsaeter y Hammond, 1996).
37. Bajo información perfecta el gobierno sabe si el zoocriaderista comercializa animales lícitos o ilícitos. Considerando la aversión al riesgo del agente, es claro que el zoocriaderista no se va a arriesgar a comercializar especímenes ilícitos porque el gobierno sabría y le aplicaría una sanción, que podría llegar a la suspensión de la licencia y, por lo mismo, al cierre del negocio. Actuar lícitamente le proporciona al zoocriaderista la mayor utilidad. Dado que el zoocriaderista va a elegir la acción lícita, el gobierno ofrece un beneficio en flexibilización que es fijo, acorde con esta acción.
38. Se utilizó el programa matemático MAPLE 9 (versión 2004).
39. Se podrían utilizar otras formas funcionales con las propiedades esperadas. En este caso se utilizan las mencionadas, porque cumplen con las propiedades esperadas y no hay pérdida de generalidad.
40. De aquí en adelante para facilidad en el análisis, la probabilidad de obtener un estado de conservación dada la acción lícita del zoocriaderista se va a llamaryla probabilidad de obtener un estado de conservación dada la acción ilícita se va a llamar.
41. En los dos primeros escenarios hay información perfecta, por lo mismo el zoocriaderista va a seguir la acción lícita; en el tercer escenario hay información imperfecta, entonces puede actuar lícita o ilícitamente. Dado que los valores exactos de no se saben con certeza y, en el primer escenario, como se mencionó anteriormente, . Se asume el valor de del primer escenario como el costo por seguir la vía lícita. Además, información de entrevistas confidenciales sugiere que el costo de actuar ilícitamente sería alrededor de la mitad del costo de actuar lícitamente.
42.
.
43.
.
44.
.
45. Este beneficio puede pensarse por ejemplo como tiempo más rápido del trámite o extensión del periodo de validez de las licencias.
46. au como se mencionó anteriormente, según entrevistas confidenciales, puede aproximarse a la mitad de a1.
47. Lo anterior se podría asociar a situaciones en las que aunque se es ilícito, se hacen esfuerzos por generar menos impacto negativo sobre el ecosistema, por ejemplo, utilizando métodos de obtención de fauna menos traumáticos.
Referencias
1. BAPTISTE, L.; HERNÁNDEZ, S.; POLANCO, R. y QUICENO, M. "La fauna silvestre colombiana: una historia económica y social de un proceso de marginalización". En: Ulloa, A. (ed.), Rostros culturales de la fauna: Las relaciones entre los humanos y los animales en el contexto colombiano (pp. 295-340),Bogotá: Instituto Colombiano de Antropología e Historia. Fundación Natura, (2002). [ Links ]
2. BRIGGS, H. and ROLLINS, K. "Moral hazard, externalities, and compensation for crop damages from wildlife", Journal of Environmental Economics and Management, 31, (1996):368-86. [ Links ]
3. BROAD, S. "The nature and extent of the legal and illegal trade in wildlife". En: Oldfield, S. (ed.), Regulation and enforcement in the international trade in wildlife, London, UK: Earthscan London, (2003). [ Links ]
4. CAMPOS, C. y ULLOA, A. Fauna socializada. Tendencias en el manejo participativo de la fauna en América Latina, (2004). [ Links ]
5. CAMPOS, C.; ULLOA, A. y RUBIO, H. (compiladoras). Manejo de fauna con comunidades rurales, Fundación Natura, (1996). [ Links ]
6. CORPORACIÓN DE INVESTIGACIÓN AGROPECUARIA (Corpoica). Caracterización biofísica, socio-económica y tecnología de los sistemas de producción agropecuarios de la región de La Mojana, capítulos "sistemas de producción de pesca y caza, caracterización del uso de fauna y flora". Informe final técnico. Proyecto Sisac. DANE. Encuesta Nacional Agropecuaria, (1999). [ Links ]
7. FOLMER, H.; HANLEY, N., and MIBFELDT, F. "Game-theoretic modeling of environmental and resource problems: An introduction". En: Folmer, H. and Hanley, N. (eds.). Game theory and the environment (pp. 1-29), Cheltenham, UK: Edward Elgar Publishing Limited, (1998). [ Links ]
8. FREEMAN, M. The measurement of environmental and resources values, Washington: Resources for the Future, (1993). [ Links ]
9. FUNDACIÓN NATURA, INSTITUTO DE CIENCIAS NATURALES UNIVERSIDAD NACIONAL DE COLOMBIA, CITES. Memorias V Congreso Internacional Manejo de Fauna Silvestre en la Amazonia y Latinoamérica. Criterios de Sostenibilidad, (2001). [ Links ]
10. GIBBONS, R. Un primer curso de teoría de juegos, Barcelona: Antoni Bosch, (1992). [ Links ]
11. HARDIN, G. "The tragedy of the commons", economics of the environment (pp. 9-22), New York: W. W. Norton & Company, Inc. 2000, (1968). [ Links ]
12. HUENNEMEYER, A. and ROLLINS, K. Private resource management and public trust: Optimal resource conservation contracts under asymmetric information. Recuperado el 4 de enero de 2004, de http://weber.ucsd.edu/~carsonvs/papers/99.pdf, (1999). [ Links ]
13. INSTITUTO NACIONAL DE BIODIVERSIDAD (INBIO) y SISTEMA NACIONAL DE ÁREAS DE CONSERVACIÓN (SINAC). Esfuerzos que se realizan en Costa Rica en conservación 'ex situ' de especies silvestres: resumen presentado en el II Informe de País sobre la Implementación del Convenio sobre la Diversidad Biológica. Obando Acuña Vilma, Coordinadora Proyectos Especiales, San José, Costa Rica, (2002). [ Links ]
14. INSTITUTO DE INVESTIGACIONES BIOLÓGICAS ALEXANDER VON HUMBOLDT. Recuperado el 3 de marzo de 2004, de http://www.humboldt.org.co/, (2004). [ Links ]
15. INTERNATIONAL FUND FOR ANIMAL WELFARE. Recuperado el 8 de junio de 2007, de http://www.ifaw.org/ifaw/general/default.aspx?oid=560, (2007). [ Links ]
16. KREPS, D. A course in microeconomic theory, New York: Harvester Wheatsheaf, (1990). [ Links ]
17. MAS-COLLEL, A.; WHINSTON, M., and GREEN, J. Microeconomic theory, New York; Oxford, UK: Oxford University Press, (1995). [ Links ]
18. MINISTERIO DEL MEDIO AMBIENTE. Evolución y perspectivas de la zoocría en Colombia, Bogotá: Miguel A. Rodríguez Editor, (2000). [ Links ]
19. MOYLE, B. "Species conservation and the principal - agent problem", Ecological Economics. 26, (1998):313-20. [ Links ]
20. MOTTE, E.; THOMAS, L., and SALLES, J. M. "Design of incentive contracts to farmers for biodiversity conservation in buffer zones in developing countries within adverse selection", Journée Jeunes Chercheurs INRA, Paris, recuperado el 20 de diciembre de 2003, de http://www.lameta.univ-montp1.fr/online/publis.html, (2002). [ Links ]
21. OSTROM, E.; GARDNER, R., and WALKER, J. Rules, games and common - pool resources, EE. UU.: University of Michigan, University of Michigan Press, (1994). [ Links ]
22. PALACIOS, R.; BAKKER, J. y GUEVARA, V. Tráfico y aprovechamiento de iguna e hicotea en la zona Caribe de Colombia, Bogotá, (1999). [ Links ]
23. PANAYOTOU, T. "Conservation of biodiversity and economic development: The concept of transferable development rights", Environmental and Resource Economics, 4, (1994):91-110. [ Links ]
24. PEARCE, D. Economics of natural resources and the environment, Baltimore: Johns Hopkins, (1989). [ Links ]
25. PERCHARD, G. Biodiversity management: An example of interaction between external demand for provision of a global public good and institutionalisation of local rules. Presentado en: "The Commons in an Age of Globalisation", the Ninth Conference of the International Association for the Study of Common Property, Victoria Falls, Zimbabwe, June 17-21, 2002. Recuperado el 10 de enero de 2004, de http://dlc.dlib.indiana.edu/archive/00000898/, (1998). [ Links ]
26. PROEXPORT. Recuperado el 20 de junio de 2007, de http://www.proexport.com.co/intelexport/aplicacion/frames.asp?origenadmin=infopaisadmin, (2007). [ Links ]
27. TIETENBERG, T. Emissions trading. An exercise in reforming pollution policy. Resources for the future, Whashington, D. C., (1985). [ Links ]
28. UCROS, J. "La cría en cautiverio y el aprovechamiento de productos de la fauna silvestre en Colombia". Documento no publicado, (2003). [ Links ]
29. VARIAN, H. Análisis macroeconómico (3ª ed.), Barcelona: Antoni Bosch, (1992). [ Links ]
30. VILADRICH, M. "Las licencias negociables: un instrumento para la conservación de los recursos ambientales", Economía Agraria, 179, (1997):115-32. [ Links ]
Legislación consultada
Código Civil (3ª ed.), Santafé de Bogotá: Editorial Temis, 1999. [ Links ]
Decreto 1401 de 1997 del Ministerio del Medio Ambiente. [ Links ]
Decreto 1909 de 2000 del Ministerio del Medio Ambiente. [ Links ]
Decreto 1180 de 2003 del Ministerio del Medio Ambiente. [ Links ]
Decreto reglamentario 1608 de 1978 del Ministerio de Agricultura. [ Links ]
Decreto-ley 2811 de 1974. [ Links ]
Ley 17 de 1981. [ Links ]
Ley 99 de 1993. [ Links ]
Ley 611 de 2000. [ Links ]
Resolución 573 de 1997 del Ministerio del Medio Ambiente. [ Links ]
Resolución 1317 de 2000 del Ministerio del Medio Ambiente. [ Links ]
Resolución 1367 de 2000 del Ministerio del Medio Ambiente. [ Links ]













