Services on Demand
Journal
Article
Indicators
-
Cited by SciELO -
Access statistics
Related links
-
Cited by Google -
Similars in
SciELO -
Similars in Google
Share
Desarrollo y Sociedad
Print version ISSN 0120-3584
Desarro. soc. no.65 Bogotá Jan./June 2010
Calidad del empleo y segmentación laboral: un análisis para el mercado laboral colombiano 2001-2006*
The Quality of Employment and Labor Segmentation: An Analysis for the Colombian Labor Market 2001-2006
Christian Manuei Posso**
* Agradezco de manera especial los comentarios y sugerencias de José Ignacio Uribe y Carlos Ortiz. De igual manera a Carlos Medina, Gustavo García, Stefano Farné, Carlos Viafara y dos evaluadores anónimos, por sus comentarios a una versión preliminar de este documento. Las opiniones expresadas en este documento son personales y no reflejan los puntos de vista del Banco de la República ni de su junta directiva.
** Economista con una maestría en Economía Aplicada de la Universidad del Valle. Investigador del Banco de la República, Medellín. Correo electrónico: cpossosu@gmail.com.
Este artículo fue recibido el 18 de julio de 2008; modificado el 17 de marzo de 2010 y, finalmente, aceptado el 28 de mayo de 2010.
Resumen
Este documento aborda el fenómeno de la calidad del empleo desde dos perspectivas: a) la teoría de los mercados de trabajo segmentados y b) las mediciones empíricas propuestas por la Organización Internacional del Trabajo (OIT), junto con las de autores nacionales e internacionales. Para contrastar la hipótesis de mercados segmentados se utilizan dos métodos de estimación: el modelo switching regression y el modelo quantile regression. Los resultados muestran evidencia a favor de las principales proposiciones de la teoría de mercados de trabajo segmentados; en especial, se observa cómo las valoraciones de las características de los individuos cambian significativamente a través de la distribución de ingresos, particularmente la educación universitaria.
El enfoque empírico de la calidad del empleo incluye un cálculo del índice de calidad del empleo (ICE) para Colombia y un modelo de regresión con variable dependiente binaria que permite identificar los factores asociados a un empleo de calidad. Los resultados sugieren que la calidad del empleo tiene una estrecha relación con la educación universitaria, el tamaño de la firma, los empleos en el sector financiero y la localización en Medellín y Bogotá.
Palabras clave: segmentación laboral, calidad del empleo, switching model, regresión por percentiles.
Clasificación JEL: J42, J24, J31, C29, C39.
Abstract
This document addresses the phenomenon of quality of employment from two perspectives, 1) Labor Market Segmentation theory and 2) empirical measures proposed by ilo and national and international authors. To test the hypothesis of labor market segmentation, this document uses two methods of estimation: Switching Regression and Quantile Regression models. Results show evidence for the main propositions of the labor market segmentation theory; in particular, the results show that the values of an individual's characteristics change significantly across the income distribution. The most important influential factor is university education.
Empirical measures of the quality of employment include an estimation of Quality Employment Index (ICE) for Colombia and a regression model with a binary dependent variable to identify the main factors associated with the quality of employment. The results suggest that the quality of employment has a close relationship with university education, size of the firm, financial sector and location in Medellin and Bogota.
Key words: Labor segmentation, quality of employment, switching model regression, quantile regression.
JEL classification: J42, J24, J31, C29, C39.
Introducción
La calidad del empleo es un tema de interés general. Los ciudadanos manifiestan un interés creciente en que se promuevan políticas que mejoren la calidad del empleo en sus países, tanto por el fomento a la inversión en nuevas ideas productivas como a través de regulaciones que protejan los derechos de los trabajadores y el futuro de sus trabajos. Las políticas asociadas al salario no son suficientes, pues las sociedades modernas necesitan políticas integrales que tengan en cuenta los múltiples factores que afectan el mercado laboral, entre ellos la educación, la dinámica empresarial, el emprendimiento, la infraestructura y el comercio internacional. Aunque tal necesidad se ha reflejado en un crecimiento de la literatura asociada a la situación de la calidad del empleo, la fundamentación teórica del problema de dicha calidad hasta ahora se encuentra en proceso de construcción (Farné, 2003).
Sin embargo, la literatura económica ofrece teorías cercanas al fenómeno de la calidad del empleo, como es el caso de la teoría de los mercados de trabajo segmentados. Esta teoría plantea que el mercado laboral cuenta por lo menos con dos segmentos, los cuales se diferencian principalmente por la calidad de los puestos de trabajo que ofrecen. Así, los mercados laborales pueden tener segmentos de puestos de trabajo de alta calidad y de mala calidad. Las conclusiones principales de esta teoría son: a) que existen diferencias sustanciales en los mecanismos de determinación salarial entre los dos sectores, y b) que el segmento de empleos de mala calidad recompensa el capital humano a una tasa de rendimiento menor (Taubman y Wachter, 1991). Autores como Doeringer y Piore (1975), Reich, Gordon y Edwars (1973) y Dickens y Lang (1984, 1992) han estudiado estas hipótesis a profundidad.
Aunque el tema de la calidad del empleo no cuenta con una teoría explícita, diferentes organismos multilaterales como la OIT y autores latinoamericanos han buscado aproximaciones empíricas para tratar de hacer algunas mediciones de este fenómeno y observar algunas de las características que podrían determinarlo. Tal es el caso de los trabajos de Farné (2003) y Carrasco (2003) para Colombia, y Rodgers y Reinecke (1998) e Infante y Sunkel (2004), entre otros, para Latinoamérica.
Este documento analiza la calidad del empleo utilizando las perspectivas anteriores, la teoría de los mercados de trabajo segmentados y las aproximaciones empíricas al fenómeno de la calidad del empleo. Para ello, se realiza una corta revisión de estos enfoques y posteriormente se presentan algunas aplicaciones que tratan de responder las preguntas más importantes asociadas a cada enfoque. En particular, se busca evidencia a favor de la hipótesis de mercados de trabajo segmentados en Colombia y se intenta determinar cuáles son los factores asociados a empleos de calidad. La aproximación empírica incluye la estimación de switching regression models y quantile regression para generar evidencia a favor de las hipótesis de la teoría de mercados de trabajo segmentados. Para el análisis de calidad del empleo se utilizan modelos de elección múltiple.
La primera sección ofrece una breve revisión de la teoría de los mercados de trabajo segmentados y posteriormente presenta un análisis de la calidad del empleo desde una perspectiva empírica. La sección II expone los datos del ejercicio y metodologías. La sección III presenta los principales resultados, mientras que la sección IV concluye.
I. Calidad del empleo y segmentación en el mercado laboral
La fundamentación teórica del problema de la calidad del empleo se encuentra en construcción (Farné, 2003). No obstante, diferentes teorías recogen este problema como eje central de su análisis, pero éstas no han sido tenidas en cuenta a la hora de estudiar el fenómeno.
Autores como Doeringer y Piore (1975), Reich, Gordon y Edwars (1973) y Dickens y Lang (1984, 1992) se concentran en el problema de la segmentación de los puestos de trabajo de acuerdo con su calidad (calidades diferenciadas entre segmentos de empleo). La principal característica de estos segmentos es que su interrelación es mínima y las condiciones de trabajo son significativamente diferenciadas, lo cual se hace evidente en múltiples factores, pero especialmente en la valoración del capital humano.
Sin embargo, la teoría de los mercados laborales segmentados es mucho más amplia. Para Reich, Gordon y Edwars (1973) en el mercado laboral pueden existir cuatro procesos de segmentación: a) segmentación entre mercado primario (empleos de alta calidad) y secundario (empleos de baja calidad), b) segmentación dentro del sector primario entre profesionales y directivos y empleos rutinarios, c) segmentación por raza y d) segmentación por género. Los dos primeros tipos de segmentación se generan durante la transición de una economía competitiva a una economía oligopolística, proceso en el cual el mercado laboral deja de demandar fuerza de trabajo homogénea, principalmente artesanal, para pasar a demandar trabajo más calificado con reglas de asociación diferentes y ligadas a relaciones de control jerárquico. Por otro lado, la segmentación por raza o género podría estar asociada a un proceso profundo de discriminación en el mercado laboral (Doeringer y Piore, 1971, 1975; Piore, 1980, 1983).
En Doeringer y Piore (1971) la segmentación del mercado de trabajo se caracteriza por la existencia de al menos dos subsectores: el primario o moderno y el secundario o tradicional. El moderno contiene los mejores puestos de trabajo, los cuales se caracterizan por ser mejor pagados y estables, y en él los trabajadores cuentan con seguridad social y posibilidades de avance, además de condiciones laborales establecidas previamente y relaciones de empleos gobernados por un sistema de contratación explícito (Dickens y Lang, 1992; Doeringer y Piore, 1971).
Por el contrario, en los puestos del sector secundario o tradicional los trabajadores poseen bajas remuneraciones, alta movilidad entre puestos de trabajo y bajo acceso a la seguridad social. En general, los trabajadores no tienen incentivos para permanecer en el empleo; sencillamente van de un puesto mal pago a otro (Doeringer y Piore, 1971; Reich, Gordon y Edwars, 1973), lo que genera una retroalimentación en la cual los empleados terminan aclimatándose a las condiciones del puesto de trabajo y se convierten en malos trabajadores, aunque inicialmente no lo fueran (Taubman y Wachter, 1991). Así, la gran diferencia entre los segmentos estaría dada por lo que actualmente se denomina calidad en el empleo. La segmentación del mercado de trabajo tiene dos implicaciones que hacen necesario un análisis detallado. La primera es la movilidad y la segunda es el tipo de ajuste que presente el mercado laboral (Dickens y Lang, 1992).
El grado de movilidad que exista en el mercado laboral es fundamental para entender su funcionamiento. Cuando existe segmentación, la movilidad entre el sector moderno y el sector tradicional está limitada por condiciones sociales, institucionales y económicas; entonces, si no existe movilidad en el mercado laboral, este no puede ser representado por el modelo de competencia perfecta y, por tanto, la ley del único precio no necesariamente funciona. Al final, características como el capital humano tendrán diferentes valoraciones y esto se reflejará en los salarios.
La segunda implicación es el tipo de ajuste que existe en cada sector. En el secundario se da un ajuste por precios tipo neoclásico y es un submercado laboral donde se transan empleos precarios (Ortiz, Uribe y García, 2007) y donde las empresas suelen ser intensivas en mano de obra no calificada. En el primario, contrario al anterior, existe un ajuste por cantidades tipo keynesiano y dada la inflexibilidad del salario en este sector (Ortiz, Uribe y García, 2007), se podría plantear que hay un racionamiento de los buenos empleos.
Taubman y Wachter (1991) resaltan tres conclusiones básicas sobre el mercado de trabajo secundario y el primario. Primero, "existen diferencias sustanciales en los mecanismos de determinación salarial de los dos sectores"; segundo, "el sector secundario recompensa el capital humano a una tasa de rendimiento menor, en comparación con el sector primario"; tercero, "existe una retroalimentación negativa entre la experiencia laboral temprana en el mercado laboral secundario y la conducta posterior", es decir, las rachas de desempleo o empleo en este sector aumentan la probabilidad de desempleo o de empleos con salarios bajos en el futuro.
La hipótesis central es que existen segmentos en el mercado laboral, lo que se refleja en mecanismos de determinación salarial diferentes, en la estabilidad laboral (especialmente la rotación), en los mecanismos de ascenso, en las relaciones laborales entre empleado y empleador, en las recompensas al capital humano y en la probabilidad y duración del desempleo. Todo esto se manifiesta en un deterioro generalizado de la calidad del empleo, lo cual a su vez afecta el bienestar de una gran porción de la población ocupada.
En general, la segmentación del mercado laboral es una explicación cercana al fenómeno de la calidad del empleo, aunque sus aplicaciones empíricas se concentran principalmente en el ingreso laboral. En el análisis empírico de la segmentación se pueden resaltar los trabajos de Dickens y Lang (1984, 1992) y Rebitzer y Robinson (1991). Sin embargo, la división por segmentos en el trabajo empírico no suele ser una tarea fácil y tradicionalmente este tipo de estudios suelen aplicar metodologías como los switching models. De manera alternativa, se podría analizar la remuneración de los diferentes factores que determinan el salario a través de su distribución y ver si esta valoración cambia de forma significativa, por ejemplo, usando regresión por percentiles.
A. La calidad del empleo: una perspectiva empírica
De manera directa la calidad del empleo se puede evaluar desde una perspectiva netamente empírica. Por ejemplo, la OIT (2006) propone para el estudio de la calidad del empleo concentrarse en el análisis de estadísticas básicas y la creación de indicadores que permitan evaluar los puestos de trabajo desde una perspectiva cualitativa a través de variables fundamentales como los ingresos laborales, el acceso a seguridad social (salud y pensión), la certidumbre en el empleo (existencia de contratos) y la jornada de trabajo, principalmente.
Las características del sector secundario mencionadas en la sección anterior son compatibles con las mediciones propuestas por diferentes autores para un empleo de baja calidad o precario (Farné, 2003; Gitt-leman y Howell, 1995; Infante y Vega-Centeno, 1999; Rosenthal, 1989; Verdera, 1995). En general, un trabajador con un empleo precario se caracteriza por recibir menores ingresos laborales y por trabajar en empresas que incumplen las regulaciones institucionales y legales, lo que implica inestabilidad laboral, ausencia de prestaciones sociales y contrato, y condiciones de trabajo inseguras (Uribe y Ortiz, 2006). Los empleos de buena calidad también coinciden con las características del sector primario, lo que muestra que la medición de la calidad del empleo podría estar estrechamente relacionada con la presencia de segmentación en el mercado laboral (Dickens y Lang, 1992; Doeringer y Piore, 1971, 1975; Reich, Gordon y Edwars, 1973).
Los trabajos mejor remunerados son los que cuentan con una mejor categorización social y una mayor estabilidad del empleo y, en general, se relacionan con mejores condiciones de vida; por otro lado, los puestos de trabajo más inestables tienden a estar asociados a bajos ingresos, menor categorización social y, en general, peores condiciones laborales (Recio, 1997). Los empleos de buena calidad tienen atributos que se han generalizado principalmente en estudios empíricos (Farné, 2003), los cuales permiten acercarse a una definición más acertada de este concepto. Entre sus principales características, se encuentran: 1) altos y crecientes ingresos laborales, 2) estabilidad laboral y de ingresos, 3) horario de tiempo completo, 4) seguridad social, y 5) posibilidad de formación y ascenso.
Existen múltiples definiciones de calidad en el empleo, sin embargo, la idea básica es que un empleo "de buena calidad" es aquel que cuenta con una serie de características que permiten al empleado satisfacer sus necesidades y encontrar bienestar económico, social, psíquico y de salud (Farné, 2003). La calidad del empleo se refiere a un conjunto de características que determinan la capacidad del empleo de satisfacer ciertas necesidades comúnmente aceptadas (Van Bastelaer y Hussmann, 2000). Para Infante y Vega-Centeno (1999) la calidad del empleo está vinculada a aquellos factores que redunden en el bienestar de los trabajadores. Infante y Sunkel (2004) hacen énfasis en la importancia de crear empleos de calidad y en su relación con las instituciones laborales, las políticas laborales y el ciclo económico.
Para Farné (2003), al realizar un estudio adecuado de la calidad del empleo se deben tener en cuenta tres parámetros. Primero, se debe proporcionar una definición adecuada del fenómeno; segundo, se deben definir las variables determinantes; y tercero, se deben proponer indicadores para su medición. Este documento intenta contrastar estas dos visiones complementarias: la teoría de los mercados de trabajo segmentados, a través de un análisis de los ingresos laborales, y el análisis empírico de la calidad del empleo, con lo que se busca entender factores asociados a trabajos de buena y mala calidad.
B. Calidad del empleo: una revisión de estudios empíricos para América Latina y Colombia
En los últimos años la calidad del empleo ha tenido una alta relevancia para los países latinoamericanos, lo que se ha visto reflejado en una nueva y creciente literatura asociada a este tema. Por ejemplo, Carrasco (2003) muestra la calidad del empleo en Colombia desde una visión institucional, esto es, qué es un empleo de calidad según el marco institucional colombiano. El principal objetivo del trabajo de Carrasco fue identificar el referente o el empleo típico en el cual se deberían comparar los empleos y así definir si son o no de calidad. Para el autor, las condiciones que determinan un empleo de calidad están en el ordenamiento jurídico de nuestro país, por lo que se deben analizar los principios y derechos incluidos en la Constitución de 1991, además de los principios rectores del derecho al trabajo1 y los convenios internacionales adoptados en la OIT. La importancia del trabajo de Carrasco (2003) está en que pone el concepto de calidad del empleo en el contexto particular de la carta política colombiana. Sin embargo, su debilidad es que no incluye ningún tipo de estadísticas o metodologías que permitan cuantificar su propuesta, por lo que todo queda en una revisión de la normativa colombiana.
Complementando el trabajo de Carrasco, Farné (2003) plantea que a la hora de medir la calidad del empleo el indicador más común es la remuneración. Sin embargo, insiste en que un análisis adecuado de la calidad del empleo debe tener en cuenta múltiples dimensiones relacionadas con el bienestar, además de los beneficios salariales, como lo son la seguridad social, la seguridad en el empleo, el número de horas trabajadas a la semana, la estabilidad laboral, la asociación sindical, entre otras. Para alcanzar este objetivo, Farné calculó un índice de calidad del empleo (ICE) para Colombia, utilizando la metodología de Rodgers y Reinecke (1998) para los casos chileno y brasileño.
La metodología de cálculo del ICE se mostrará en el anexo 1. Farné (2003) utilizó cuatro variables: el ingreso, la modalidad de contratación, la afiliación a la seguridad social y el horario de trabajo. Para él un nivel aceptable del índice sería de sesenta puntos. El índice para el conjunto de las trece áreas metropolitanas arrojó un valor de 37,5% en 2001, lo que para Farné es un claro indicio de la precariedad del empleo colombiano. También se calculó el índice para los asalariados y para los trabajadores independientes. Para los primeros el índice fue de 44% y para los trabajadores independientes, 27,5%. Por último, comparó los resultados del índice entre Colombia y Chile, lo que mostró claramente que Chile se encuentra en una posición sustancialmente mejor que Colombia. Mientras que en Chile los puestos buenos y malos son minoritarios, y la concentración se genera en empleos con condiciones intermedias (Rodgers y Reinecke, 1998), en Colombia los buenos empleos son muy pocos y el deterioro se extiende a una gran cantidad de empleos, concluye Farné. Es necesario anotar que por construcción el ICE tiene un comportamiento discontinuo con concentraciones en valores específicos, por lo que su análisis podría ser más útil mediante categorías que como una variable continua.
Otro ejemplo es el trabajo de Infante y Sunkel (2004), quienes intentan medir la evolución de la calidad del empleo y sus efectos en la estructura ocupacional para el mercado laboral chileno. Los autores proponen la creación de segmentos de calidad de empleos. De acuerdo con este trabajo, para definir la calidad del empleo se considera la inserción laboral en los sectores formal e informal, la cual explica en gran medida las diferencias de productividad entre los ocupados. Otras variables que contribuyen a explicar las diferencias en la calidad del empleo son la remuneración al trabajo y la productividad, además de la protección de los trabajadores y la existencia de un contrato laboral. Los autores consideran que la evolución de la calidad depende de los cambios en la estructura ocupacional y también de las modificaciones que experimenta la composición del empleo según los niveles de calidad de los sectores formal e informal. Finalmente, tienen en cuenta que la calidad de los puestos de trabajo no se reparte por igual entre los trabajadores de los dos sectores.
Infante y Sunkel (2004) proponen una metodología en la cual dividen los empleos en cuatro segmentos de calidad. Estos segmentos se fundamentan en el ingreso laboral mensual, la afiliación a salud, el régimen contributivo y la tenencia de contrato (sin diferenciar entre los de término indefinido y los de término fijo). Los autores encontraron que la calidad del empleo es sensible al ciclo económico, pues en el período de crecimiento alto y sostenido en Chile, la proporción de empleos de buena calidad aumentó de un 29,6% en 1990 a un 32,7% en 1997, mientras que el porcentaje de ocupaciones de baja calidad se redujo de un 12,5% a un 8,5% en el mismo lapso. En el período de crisis el porcentaje de empleos de buena calidad cayó a un 29,1% en el año 2000 y las ocupaciones de baja calidad aumentaron su incidencia a 10,7% con respecto al año 1997. De acuerdo con la metodología de Infante y Sunkel (2004), para el año 2000 tres de cada diez empleos en Chile eran de buena calidad,, seis tenían un nivel de calidad media y uno era de baja calidad.
Algunos trabajos adicionales son los de Anker, Chernyshev, Egger, Mehran y Ritter (2003), bid (2004), Bonnet, Figueiredo y Standing (2003), Chacón (1999) y Kolev (2005).
II. Segmentación y calidad del empleo: datos y metodología
Como se argumentó en la sección anterior, la calidad del empleo y las teorías de la segmentación guardan una estrecha relación. Las teorías de los mercados segmentados fueron importantes en la década de los setenta, como una explicación alternativa a la teoría del capital humano (Dickens y Lang, 1992). Sin embargo, por esa época fueron criticadas por su incapacidad de probar la existencia de dos o más segmentos en el mercado laboral. A finales de los ochenta y en la década de los noventa retomaron su importancia como categoría analítica, gracias a su riqueza teórica y al desarrollo de técnicas que permitieron probar algunas de sus hipótesis, especialmente a través de los trabajos seminales de Dickens y Lang (1984, 1992) y Rebitzer y Robinson (1991). Posteriormente se han desarrollado artículos que contrastan la hipótesis de segmentación en diferentes mercados laborales, utilizando las técnicas de estimación switching con régimen desconocido; tal es el caso de Huguet (1999), Leontaridi (1998), Pailhé (2003) y Baffoe-Bonnie (2003), entre otros.
Una alternativa a los modelos switching que permite observar la heterogeneidad de los premios al interior del mercado laboral es la regresión por percentiles. Si estos se desvían significativamente del premio promedio, implica que la valoración de ciertas características es heterogénea, lo cual, en algún sentido, abre espacio para teorías como la segmentación.
Finalmente, se podrían encontrar los factores asociados a un empleo de calidad a través de aproximaciones netamente empíricas, como las propuestas por la OIT o la literatura latinoamericana, incluida la colombiana.
A. Datos
La principal fuente de información son las encuestas continuas de hogares (ECH) del Departamento Administrativo Nacional de Estadística (DANE)2, desde 2001 hasta 2006. La aplicación empírica en este documento tiene dos grandes secciones. La primera trata de aproximarse a la calidad del empleo a través de los ingresos laborales y utilizando estimaciones tipo switching y quantile regression. La población objetivo seleccionada para este primer ejercicio consistió en los hombres ocupados mayores de dieciocho años que trabajan por lo menos veinte horas a la semana en las trece principales áreas metropolitanas. Se excluyeron de la muestra los trabajadores familiares sin remuneración y la categoría ocupacional "otros". La medida de ingreso usada en este artículo es el ingreso laboral por hora de cada individuo, el cual fue deflactado usando el índice de precios al consumidor (IPC) con base en 2006. La matriz de características utilizada en los diferentes análisis incluye la experiencia potencial, la educación, el tamaño de las firmas3, la rama de actividad, el área metropolitana, entre otras.
Para el cálculo de la calidad del empleo se utilizaron dimensiones más amplias y se permitió un conjunto mayor de observaciones, pues no se incluyeron las restricciones de horas, ingresos y posición ocupacional. La medida de calidad del empleo aquí utilizada abarca el conjunto de individuos que determinan la tasa de ocupación en Colombia4.
B. Comentarios metodológicos
El ejercicio metodológico utiliza tres técnicas. La primera es una estimación tipo switching con régimen desconocido, que sigue las aproximaciones de Huguet (1999), Dickens y Lang (1992) y Rebitzer y Robinson (1991). Este primer ejercicio permite ver si existen al menos dos segmentos caracterizados principalmente por las valoraciones diferenciadas de las características incluidas en la ecuación de ingresos; además, mediante la ecuación switching se observarán qué características son las que principalmente se podrían asociar al fenómeno de segmentación.
El segundo ejercicio es la estimación de ecuaciones de ingresos utilizando la regresión por percentiles (QR), técnica desarrollada por Koenker y Basset (1978) y de amplio uso en la literatura actual. Este ejercicio permitirá observar cómo el vector de coeficientes asociados a las características cambia a través de la distribución de ingresos. Los ejercicios anteriores nos permitirán tener una medida indirecta (a través de los salarios) de los factores asociados a empleos de buena y mala calidad.
Finalmente, se estimará un modelo logit multinomial para la calidad del empleo. Con este modelo se intenta capturar algunos de los factores que más se asocian con empleos de alta y baja calidad. Para la aplicación del logit multinomial se construyen segmentos de calidad del empleo aprovechando las discontinuidades que por construcción tiene el ICE.
Se completa la información del presente artículo con una breve revisión de estas metodologías. En cada uno de los casos se incluyen referencias donde se puede ampliar esta revisión.
1. Estimación switching con régimen desconocido
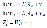
El método de estimación switching con régimen no conocido tiene la siguiente estructura5:

donde ln wiA y ln wiB son las remuneraciones asociadas a los niveles de ingresos alto y bajo, y Xi y Wi son vectores de variables independientes como la educación y la experiencia. Particularmente, el vector Wi debe incluir variables que afectan la probabilidad de que un individuo se ubique en el segmento de ingresos bajos o altos. Z*i es una variable latente no observable, la cual es definida a través de ln wiA y ln wiB con la siguiente relación:

El valor de Z*i depende básicamente de las diferencias en utilidades entre los segmentos superior e inferior. Finalmente, viA, viB y vi son los términos de error, los cuales se suponen que siguen una distribución normal6. Lo relevante del método es que la clasificación de individuos de acuerdo con el segmento se hace endógenamente y no se hacen cortes o escogencia a priori entre los grupos. Un análisis detallado se puede encontrar en Maddala (1983).
2. Regresión por percentiles
La regresión por percentiles (quantile regression o QR) posee varias características que la hacen una técnica más atractiva que la tradicional estimación por OLS. Primero, es un método de estimación con menos limitaciones que los OLS cuando se trata de caracterizar la distribución condicional de una variable como los ingresos laborales (Buchinsky, 1994, p. 453). Segundo, el análisis por percentiles permite tener un panorama más amplio de lo que sucede en la distribución de salarios (Gosling, Machin y Costas, 2000). Tercero, la idea general de la QR es capturar el efecto de las variables explicativas sobre toda la distribución de la variable dependiente; en otras palabras, esta técnica no realiza truncamientos de la variable dependiente y es una estimación condicional para cada percentil (Koenker y Hallock, 2001).
A su vez, Cameron y Trivedi (2005) muestran que la regresión por percentiles puede ser un método de estimación superior al OLS bajo la existencia de heterocedasticidad7, característica también resaltada por Melly (2005) y Autor, Katz y Kearney (2005). Cameron y Trivedi (2005) muestran que cuando los coeficientes estimados varían de acuerdo con los cambios en la distribución de ingresos, es decir, a través de los diferentes percentiles, es porque la distribución de características no tiene una asociación homogénea.
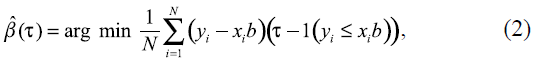
Para desarrollar el método supongamos que se tiene el logaritmo del ingreso laboral por hora (yi) y un vector xi de regresores para i individuos de una muestra. Si asumimos que:

donde F-1y|x(τ | xi) es el τ - ésimo percentil de la distribución condicional de y en x., entonces β(τ) puede ser estimado a través del siguiente algoritmo (Koenker y Basset, 1978):

donde 1(.) es la función indicadora y el objetivo es minimizar la ponderación de la suma de los errores absolutos8.
(τ) se estima de forma separada para cada percentil. En este ejercicio se estimaron 99 percentiles y se obtuvo un vector
(τ) para todos los diferentes coeficientes generados a través de la regresión por percentiles, de modo que podamos modelar el efecto de xi sobre toda la distribución de y. La ecuación de ingresos estimada tiene la siguiente forma:

3. Logit multinomial
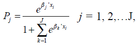
Se utiliza un modelo multinomial para analizar qué factores afectan en mayor medida la calidad del empleo. El modelo logit multinomial supone una variable categórica que tiene múltiples opciones. La calidad del empleo se clasifica en tres segmentos: empleos de baja calidad (yi = 0), empleos de calidad media (yi = 1) y empleos de buena calidad (yi = 2). El modelo tiene la siguiente estructura9:

donde xi es una matriz de variables condicionales. Se utiliza la normalización de β0 = 0. Los efectos marginales para este modelo están determinados por:

En el caso de variables cualitativas, los efectos marginales se estiman restando la probabilidad cuando el evento es 1 menos la probabilidad que se genera cuando el evento es 0:

III. Segmentación laboral y calidad del empleo en Colombia
La estrategia empírica busca encontrar algunos de los factores relacionados con un empleo de calidad. La aproximación tiene dos componentes. El primero utiliza como medida de calidad del empleo el ingreso laboral. El trasfondo teórico de esta aproximación es la teoría de los mercados de trabajo segmentados; a su vez, la estrategia empírica incluye dos ejercicios: 1) estimación de una ecuación de ingresos con cambio de régimen endógeno (switching model with unknow regime) y 2) regresión por percentiles (quantile regression). Lo interesante de estas metodologías es que sin asumir segmentación a priori se puede observar cómo los factores asociados al ingreso tienen efectos diferenciados a través de la distribución de ingresos. En ausencia de segmentación las diferencias entre una regresión de mínimos cuadrados ordinarios (OLS ) y estos métodos deberían ser insignificantes.
El segundo componente buscar analizar la calidad del empleo desde un enfoque netamente empírico, como los enfoques propuestos en la OIT y la literatura colombiana. Para este caso en particular se usa el ICE. Dada la discontinuidad existente en este índice, se opta por un modelo logit multinomial para observar los factores relacionados con un empleo de calidad.
A. Calidad del empleo en Colombia: una mirada desde el ingreso laboral
La teoría de los mercados de trabajo segmentados argumenta que existen segmentos en el mercado laboral en la medida que los mecanismos de determinación del ingreso se modifiquen entre segmentos, en especial cuando de la educación se trata. El ejercicio empírico desarrollado en este documento no asume segmentación a priori y la estrategia empírica busca mostrar que algunos de los factores asociados al ingreso tienen comportamientos muy diferentes a través de la distribución del ingreso.
El interés de este ejercicio está en algunas variables que covarían con el ingreso, como lo son la educación, el tamaño de la empresa donde el individuo labora, la experiencia, el tipo de contratación y la localización geográfica. A continuación se presentan algunas estadísticas descriptivas que permiten crear un imaginario de la relación del salario con estas variables.
El anexo 2 muestra algunas estadísticas generales de la muestra utilizada en los ejercicios. Para el período 2001-2006 se nota un leve incremento de la población con universidad completa e incompleta y a la vez un descenso en la participación de los individuos con educación primaria o menos. Las variables de contrato y tamaño de la firma son relativamente estables para el período de análisis. Finalmente, el área metropolitana de Medellín presenta un incremento importante en la participación en el total de la muestra.
El gráfico 1 muestra la distribución del ingreso condicionada a cuatro diferentes niveles de educación (primaria o ninguno, secundaria, universidad incompleta y universidad completa) para el período 2001-2006. En este gráfico se ve claramente cómo los individuos con educación secundaria completa presentan una mayor acumulación a la derecha de la distribución de salarios. También es claro que la intersección entre la distribución de los más educados y los individuos con niveles inferiores como secundaria o primaria es pequeña. Además, es notable la alta curtosis o concentración central que presentan las distribuciones de los menos educados, en especial la de los individuos con secundaria. Este fenómeno probablemente esté asociado a la concentración de estos individuos alrededor del salario mínimo, en especial los formales, como muestran otros estudios (Posso, 2010). En general, la diferencia en favor de los más educados es notable.

Por su parte, el gráfico 2 muestra la distribución de salarios condicionada a la experiencia laboral, específicamente el tiempo que el individuo lleva trabajando en la empresa o negocio en el momento de la encuesta (tenure). Para este ejercicio se construyeron cuartiles de experiencia, los cuales condicionaron a su vez la distribución del ingreso. A diferencia de la educación, las diferencias no son tan notorias. Aunque los más experimentados tienen una poco más de masa a la derecha, no parece tener un sesgo mucho más fuerte comparado con los otros casos. Sin embargo, es notable la alta curtosis de la distribución de los individuos menos experimentados (cuartiles 1 y 2). Este comportamiento debería estar asociado al comportamiento del salario mínimo.

Cuando los ingresos se condicionan al tamaño de la firma, nuevamente las diferencias salariales no son tan evidentes entre grupos (véase el gráfico 3). Es notable cómo la curtosis es más importante en la distribución de individuos que trabajan en empresas más grandes. La distribución de ingresos laborales de individuos en empresas unipersonales tiene un sesgo relativamente superior hacia menores ingresos, mientras que la distribución de empleados en empresas de más de once trabajadores tiene un leve sesgo hacia mayores salarios.

El cuadro 1 muestra que el ingreso medio de los individuos que poseen contratos es superior, en especial cuando el contrato es a término indefinido. Un test de medias entre estos salarios reflejaría diferencias estadísticamente significativas entre los ingresos promedio de estos grupos.

Finalmente, el cuadro 2 revela que el ingreso promedio de Bogotá para el año 2006 es estadísticamente superior al de todas las otras regiones. Un segundo grupo estaría caracterizado por Medellín, Bucaramanga y Cali. Es destacable el bajo nivel salarial de Barranquilla, dada su importancia dentro de la economía del país. Finalmente, en la cola se encuentran Cúcuta y Montería con niveles salariales significativamente inferiores a los de las otras áreas metropolitanas.

La aproximación metodológica de este ejercicio propone analizar conjuntamente estos factores a través de tres técnicas: 1) OLS , 2) regresiones switching con régimen desconocido y 3) regresiones por percentiles. El primer método es el punto de referencia. Los otros dos permiten probar la hipótesis de si los factores asociados al ingreso modifican su correlación entre segmentos a lo largo de la distribución. En este ejercicio no se asumen segmentos a priori. Las regresiones switching y QR intentan mostrar que en el mercado laboral colombiano existen mecanismos de determinación salarial diferentes a través de la distribución de ingresos.
El análisis de segmentación ha sido ampliamente usado en la literatura. Una primera técnica para verificar la existencia de mercados de trabajo segmentados fue la propuesta por Dickens y Lang (1984), la cual fue replicada por Dickens y Lang (1992) y Rebitzer y Robinson (1991), entre otros, y consiste en estimar un modelo de regresión de switching con régimen desconocido para la ecuación de ingresos. La idea básica es encontrar dos segmentos en el mercado laboral en donde los mecanismos de determinación del ingreso sean diferentes. Otros ejercicios menos rigurosos dividen la muestra en dos sectores elegidos a priori y estiman ecuaciones de ingresos; si existen diferencias en los coeficientes, entonces existe segmentación en el mercado laboral. En este último caso se incurre en el error de la selección de la muestra planteado por Heckman (1979).
El cuadro 3 muestra los resultados de los tres tipos de regresiones10 propuestos. La regresión OLS muestra que las variables con mayor relación con el ingreso son la educación (en especial universidad completa), la tenencia de contrato y las diferencias entre ciudades.
El modelo switching a su vez muestra que cuando se segmenta endógenamente la distribución de salarios, las diferencias más notables entre los grupos se encuentran en los efectos que tiene la educación (en especial universidad, donde la diferencia es del doble), la tenencia de contrato indefinido y de manera notable las diferencias entre áreas metropolitanas. En general, los resultados del modelo switching están asociados a un patrón de segmentación en los ingresos laborales del mercado laboral.
Por último, cuando se usa QR se observan diferencias significativas en los efectos de las variables de interés sobre el ingreso a lo largo de la distribución. Nuevamente, es notable el efecto de la educación, con especial énfasis en la universidad, tanto completa como incompleta. El coeficiente de la educación universitaria completa se duplica cuando se pasa del percentil 10 al 90, lo que muestra lo heterogéneo que puede ser el efecto de la educación sobre la distribución de ingresos. El gráfico 411 presenta el efecto parcial de las diferentes variables sobre la distribución condicionada de ingresos laborales (conditional quantile partial effect, CQPE, Wooldridge, 2002). Como se puede apreciar, los coeficientes de universidad completa e incompleta cambian significativamente a través de la distribución condicionada.
Además de la educación, se resaltan las grandes diferencias asociadas al tipo de contratación (con efectos positivos importantes en la parte inferior de la distribución), junto con el tamaño de la firma, en donde el mayor tamaño tiene efectos sobre toda la distribución pero especialmente en la parte baja. En general, el tener contrato y trabajar en una firma "grande" es un factor relevante para aquellos empleos de salarios relativamente bajos (inferiores al percentil 50).
Adicionalmente, el anexo 3 presenta los valores máximo, mínimo y el rango de los coeficientes estimados en las 99 regresiones. Es evidente que los coeficientes con mayor variación son los asociados a universidad completa e incompleta, seguidos de los efectos de la tenencia de contrato. Es necesario resaltar la gran volatilidad de los coeficientes asociados a las áreas metropolitanas de Cartagena, Cúcuta, Barranquilla, Pereira, Villavicencio y Montería.
Los resultados anteriores no pueden ser interpretados como un test de segmentación del mercado laboral12 en sentido estricto; no obstante, son evidencia empírica a favor de la existencia de algún tipo de segmentación en el mercado laboral colombiano que no puede ser ignorada. En especial, es notable cómo cambia el premio de la educación superior a través de la distribución condicionada de ingresos, tanto en el modelo switching como en la regresión por percentiles.
Los resultados anteriores no son exclusivos del mercado laboral colombiano. Para el caso de Estados Unidos existe evidencia de la presencia de por lo menos dos segmentos; en el primario el premio a la educación es más alto, se favorecen los trabajadores urbanos, blancos y que alguna vez se hayan casado (Dickens y Lang, 1984, 1992) y, de acuerdo con lo expresado por Rebitzer y Robinson (1991), existe un gran premio en el ingreso asociado al tamaño de la planta. Para el caso colombiano, Ortiz, Uribe y García (2007) incluyen el efecto del tamaño de la planta, suponiendo que este refleja el efecto de las economías a escala, además de que es más probable que en las empresas grandes se formen mercados internos de trabajo que generen mecanismos de determinación salarial diferentes. Un argumento similar es presentado por Florez (2002), además de incluir la regulación del mercado laboral y la dinámica de la economía. Evidencia adicional se puede encontrar en Heckman y Sedlacek (1985) y Heckman y Hotz (1988), al utilizar métodos que corrigen por selección de muestra.
Los resultados anteriores muestran que el factor que más cambia a través de la distribución de ingresos es el asociado a la educación superior, lo que hace necesario preguntarse por cuáles factores podrían estar generando este resultado. Una primera hipótesis es la calidad de la educación (Forero y Ramírez, 2008; Martins y Pereira, 2003; Posso, 2008). Si esta hipótesis es válida, implicaría que el mercado laboral no solo valora el grado y el título obtenido, sino también la institución donde el individuo decidió educarse. Esta hipótesis es estudiada por Forero y Ramírez (2008). En este sentido, la educación universitaria es un factor que genera segmentación en el mercado laboral, pues si la oferta es heterogénea en cuanto a su calidad, entonces se generan profesionales "limones" y profesionales "duraznos" y los empresarios buscarán señales que les permitan distinguir entre ellos, ya sean explícitas, como las acreditaciones institucionales y de programas del cna, o implícitas, como el prestigio en investigación y desarrollo, la trayectoria, los resultados del ecaes , etcétera.
En consecuencia, individuos con niveles similares de educación tendrán retornos significativamente distintos. Como plantean Mejía y St-Pierre (2007), los retornos a la educación son explicados en gran medida por el grado de desigualdad en la distribución de dotaciones que complementan el proceso escolar. Una de esas dotaciones es la calidad de la educación, la cual tiene una distribución más heterogénea conforme crece la cobertura en educación universitaria.
La alta variabilidad del premio de la educación no solo responde a un fenómeno de calidad de la educación. Otros factores pueden estar teniendo un rol relevante. Una hipótesis alternativa es el fenómeno de la "sobreeducación", entendida como un desajuste por exceso entre el nivel educativo alcanzado y el exigido por el puesto de trabajo en el que se desempeña el individuo (Castillo, 2007).
El crecimiento sustancial de ocupados con niveles de educación superior en los últimos años posiblemente ha llevado a la sobreeducación, como resultado de un proceso de ajuste en el mercado laboral. Al no existir suficientes puestos de trabajo calificados en la economía, los individuos tienden a ubicarse en puestos que requieran menor calificación que la que poseen, con el único objetivo de ingresar al mercado laboral y obtener experiencia, pero luego se mueven a puestos de trabajo acordes con su nivel de calificación. En este sentido, este es un fenómeno transitorio (Castillo, 2007) y de ajuste, producto de un desajuste importante entre la oferta en educación superior y el número de empleos calificados en la economía. Si existe sobreeducación, caerá el retorno de la educación de los sobreeducados.
Así, si medimos la calidad del empleo por el ingreso laboral de los individuos, podemos ver que la educación desempeña un papel preponderante con una alta heterogeneidad al interior de la distribución, donde a mayores niveles de ingresos, más importante aún es la educación.
Esta alta heterogeneidad posiblemente esté reflejando un problema de calidad de la educación. Por tanto, acceder a más educación de alta calidad mejora la calidad del empleo.
B. Calidad del empleo en Colombia: una aproximación empírica
La sección anterior analizó la calidad del empleo tomando como medida de calidad el ingreso laboral. Una mirada más amplia de este fenómeno debería incluir factores adicionales que tienen impacto sobre el bienestar de los trabajadores colombianos. Esta sección utiliza una medida de calidad propuesta para la literatura colombiana. Con el objetivo de encontrar un indicador global de calidad del empleo, se calcula el ICE (véase el cuadro del anexo 1), índice construido previamente por Farné (2003) para Colombia13.
Para Farné (2003) y Rodgers y Reinecke (1998), un valor promedio aceptable para el índice es de 60 puntos. En el año 2006 el índice para las trece principales áreas metropolitanas era de 44 puntos14. El cuadro 4 muestra algunas estadísticas descriptivas del ICE. Según este índice la calidad del empleo es significativamente superior para los individuos con educación universitaria completa; específicamente, el ICE es el doble con respecto a los individuos con secundaria y el triple con respecto a quienes solo cuentan con educación primaria o menos. Existen grandes diferencias asociadas al tamaño de planta; en particular, las empresas grandes ofrecen mejores empleos. Las ramas que ofrecen mejores empleos para el período de análisis son la de establecimientos financieros y la de servicios de electricidad, gas y agua. Las ciudades que mejores empleos ofrecen en promedio son Medellín y Bogotá, y las peores, Cúcuta, Montería e Ibagué.

Así, los individuos con universidad completa, en empresas de más de once trabajadores, que trabajen en los sectores de establecimientos financieros o de servicios públicos tendrán empleos que cumplen con el promedio aceptable propuesto por Farné (2003) y Rodgers y Reinecke (1998).
El ICE propuesto por Rodgers y Reinecke (1998) y adaptado para Colombia por Farné (2003) por construcción posee algunos cortes abruptos que pueden ser aprovechados a través del análisis de regresión de variable binaria o múltiple. Con el objetivo de complementar el análisis descriptivo se estimó un modelo logit multinomial para la calidad del empleo. La idea de este ejercicio es tratar de capturar las relaciones estadísticas más fuertes entre la calidad del empleo y algunas variables claves en este análisis.
La variable dependiente categórica es una división del ICE. Teniendo en cuenta los planteamientos de Farné (2003) y Rodgers y Reinecke (1998), la primera categoría sería la de aquellos individuos que tengan un índice inferior a 60 puntos (empleo de baja calidad). El segundo grupo estaría conformado por quienes tengan un índice de entre 60 y 80 puntos (empleo de calidad media). El tercer grupo sería de aquellos con un ICE superior a 80 (empleo de calidad alta), en cuyo caso estaríamos hablando de individuos que, por ejemplo, tienen contrato de trabaj o, afiliación a salud contributiva y pensión y que ganan más de tres salarios mínimos, lo cual sería un empleo "de calidad" (en realidad es un empleo de calidad aceptable, según lo definido normativamente en Colombia, Carrasco, 2003)15.
El cuadro 5 presenta los efectos marginales de la estimación del modelo logit multinomial. Como covariables se incluyeron el tenure, la educación, el tamaño de la firma donde trabaja el individuo, efectos fijos de rama de actividad (categoría base agricultura) y áreas metropolitanas (categoría base Bogotá).

Los empleos de baja calidad están asociados a características como tener una baja educación, trabajar en empresas pequeñas (en especial unipersonales), en empleos del sector de la construcción, la agricultura o el comercio y localizados en las áreas metropolitanas de Cúcuta, Montería e Ibagué. Por el contrario, los empleos de calidad alta poseen una correlación significativa con la universidad completa, en firmas de más de once empleados, en las ramas de actividad de establecimientos financieros, localizados en las ciudades de Medellín, Bogotá y Cali.
El cuadro 6 muestra los relative risk ratios (RRR). Nuevamente es claro que los factores claves son la educación universitaria completa e incompleta, los empleos de empresas con once o más trabajadores, en establecimientos financieros. Al igual que con el modelo switching y la regresión por percentiles, los RRR muestran que el impacto más importante lo tiene la educación superior completa. Así, incrementos sustanciales de la proporción de individuos con esta característica incrementarán la proporción de empleos de calidad (los demás factores no varían). Para evitar el posible exceso de oferta, este tipo de medidas se deberían acompañar con políticas de estímulos a la inversión y el empleo formal. El ejercicio también muestra que, ceterisparibus los demás factores, Medellín ofrece mejores empleos que Bogotá.

Los ejercicios anteriores, al igual que una amplia variedad de estudios en Colombia, muestran que, en general, el mercado laboral premia significativamente a los individuos más educados, tanto con mejores ingresos como con mejores empleos. No obstante, la regresión por percentiles y el modelo switching mostraron que la valoración de la educación tiene diferentes grados a través de la distribución de ingresos salariales. Así, el mercado laboral colombiano parece tener elementos similares a los que Taubman y Wachter (1991) concluyen que debe tener una economía segmentada, pues existen diferencias sustanciales al interior del mercado entre los mecanismos que determinan los ingresos.
El análisis de la calidad del empleo muestra que, en general, acceder a mayores niveles de educación asegura el acceso a mejores empleos, medidos en ingresos, seguridad social, tipo de contratación, etcétera. De igual forma, es mucho más probable acceder a empleos de alta calidad (o por lo menos no tener un empleo de baja calidad) si el individuo se emplea en firmas de mayor tamaño.
IV. Conclusiones
Este documento analiza la calidad del empleo desde dos perspectivas: la teoría de los mercados de trabajo segmentados y las aproximaciones empíricas propuestas por la OIT y diferentes autores latinoamericanos. En cada caso se utilizan aproximaciones empíricas que permitan generan evidencia de las hipótesis o resultados esperados en cada una de ellas.
Para contrastar las proposiciones fundamentales de la teoría de los mercados de trabajo segmentados se utilizan regresiones de ingresos: las técnicas del modelo switching y regresión por percentiles. Los resultados generan evidencia a favor de la hipótesis de los mercados de trabajo segmentados; en particular muestran la alta heterogeneidad que tiene la educación universitaria completa, el tipo de contratación y la localización a través de la distribución condicionada de ingresos. El efecto de la educación puede estar asociado a un fenómeno de segmentación vinculado a la distribución heterogénea de la calidad de la educación superior en Colombia.
Posteriormente, a través de un modelo multinomial para la calidad del empleo, se observan los factores asociados a un empleo de calidad. De nuevo, la educación superior es el factor clave, junto con el tamaño de la firma. Son notables las grandes diferencias entre ciudades y se destacan Medellín, Bogotá y Cali como centros de empleos de mejor calidad, en promedio, mientras que ciudades como Cúcuta, Montería e Ibagué ofrecen los peores promedios.
La alta heterogeneidad que tienen las diferentes características de los individuos sobre los salarios y la calidad del empleo permiten inferir que las políticas laborales o aquellas que afectan indirectamente el mercado laboral no necesariamente tienen efectos homogéneos. Este tipo de fenómenos deberían estudiarse con mayor profundidad, de tal forma que los hacedores de política tengan herramientas que permitan evaluar los efectos diferenciados de sus acciones.
NOTAS AL PIE
1 Carrasco (2003). Artículo 53: 1) Igualdad de oportunidades para los trabajadores, 2) Remuneración mínima vital, acorde con la cantidad y calidad de trabajo, 3) Estabilidad laboral, 4) Irrenunciabilidad a los beneficios mínimos establecidos en las normas laborales, 5) Capacidad de conciliar sobre los derechos inciertos y discutibles, 6) Garantía de la seguridad social, la capacitación y el adiestramiento y el descanso, 7) Protección especial a la mujer, la maternidad y el trabajador menor de edad.
2 Segundos trimestres de la encuesta.
3 Se incluye una aproximación a través de la variable "número de personas que trabajan con usted en la empresa". Esta aproximación ha sido utilizada en la literatura internacional por Rebitzer y Robinson (1991) y en la literatura colombiana por Ortiz, Uribe y García (2007).
4 En este ejercicio se incluyeron únicamente los hombres.
5 Para una extensión de la información, véanse Maddala (1983), Dickens y Lang (1992) y Rebitzer y Robinson (1991).
6 La estimación de este tipo de modelos se hace a través de funciones de máxima verosimilitud. Todas las estimaciones se hicieron con errores estándar robustos, utilizando la propuesta de Huber-White.
7 Trabajos recientes como los de Melly (2005), Autor, Katz y Kearney (2005) y Lemieux (2006) manifiestan la importancia de la heterocedasticidad y la no independencia de los regresores en el análisis de ecuaciones de salarios.
8 La especificación original de Koenker y Basset (1978) plantea la estimación de
(τ) = arg min
de tal forma que un τ = 0,5 sería la regresión mediana o τ = 0,75 sería la regresión del percentil 70 (P70).
9 Véanse Wooldridge (2002), Greene (2003) y Cameron y Trivedi (2005).
10 La muestra de este ejercicio se restringe a los hombres con ingresos laborales positivos que trabajen por lo menos medio tiempo en las trece principales áreas metropolitanas. El ejercicio se hace para los segundos trimestres de la ECH en el período 2001-2006. Este documento presenta las regresiones para 2006 y las regresiones para los otros períodos están disponibles por solicitud.
11 Para analizar mejor el gráfico 4, en el cuadro 3 del anexo 3 se muestran el máximo, el mínimo y el rango de los coeficientes estimados a través de los 99 percentiles. Los gráficos y cuadros para los años 2001-2005 están disponibles bajo petición.
12 Ante la ausencia de instrumentos de calidad y con consenso para el mercado laboral colombiano, este documento no corrige los posibles sesgos asociados a variables omitidas relevantes. Por tal motivo, los efectos encontrados no son estrictamente efectos causales y pueden ser interpretados como correlaciones condicionadas.
13 Este índice se calcula en otros países como Chile. La metodología del índice se puede ver en Farné (2003). En el anexo 1 se presenta un resumen de la metodología para el cálculo del índice.
14 Este cálculo solo incluye a los hombres.
15 Aunque pueden existir otras medidas de calidad del empleo, se escogió el ICE ya que es una medida utilizada en varios países latinoamericanos, además de ser aceptado por entidades como la OIT. Sin embargo, se debe avanzar un poco más en la literatura sobre los ICE, no solo en cuanto a mediciones objetivas sino también subjetivas, que recojan la percepción de los trabajadores y su grado de felicidad con el empleo que tienen.
Referencias
1. ANKER, R.; CHERNYSHEV, I.; EGGER P.; MEHRAN, F.; y RITTER, R. (2003). "La medición del trabajo decente con indicadores estadísticos", Revista Internacional del Trabajo, 122(2). [ Links ]
2. AUTOR, D.; KATZ, L., and KEARNEY, M. (2005). "Rising wage inequality: The role of composition and prices" (Working Paper 11628). nber. [ Links ]
3. BAFFOE-BONNIE, J. (2003). "Distributional assumptions and a test of the dual labor market hypothesis", Empirical Economics, 28(3):461-478. [ Links ]
4. BANCO INTERAMERICANO DE DESARROLLO (bid). (2004). Good jobs wanted. Labor markets in Latin America, economic and social progress in Latin America, 2003. Inter-American Development Bank. [ Links ]
5. BONNET, FIGUEIREDO y STANDING (2003). "Una familia de índices de trabajo decente", Revista Internacional del Trabajo, 122(2). [ Links ]
6. BUCHINSKY, M. (1994). "Changes in the US wage structure 1963-1987: Application of quantiles regression", Econometrica, 62:4G5-458. [ Links ]
7. CAMERON, C., and TRIVEDI, P. (2GG5). Microeconometrics: Methods and applications. Cambridge. [ Links ]
8. CARRASCO, E. (2003). "La calidad del empleo en el marco de la Constitución colombiana" (Cuadernos de Trabajo 3). Observatorio del Trabajo y la Seguridad Social, Universidad Externado de Colombia. [ Links ]
9. CASTILLO, M. (2GG7). "Desajuste educativo por regiones en Colombia: ¿Competencia por salarios o por puestos de trabajo?" (Documento de Trabajo 1G5). Universidad del Valle. [ Links ]
10. CHACÓN, B. (1999). "Calidad del empleo y pobreza en Chile, 1990-1996", en R. Infante (Ed.), La calidad del empleo. La experiencia de los países latinoamericanos y de los Estados Unidos. Santiago, OIT. [ Links ]
11. DICKENS, W., and LANG, K. (1984). "A test of dual labor market theory" (Working Paper 1314). nber. [ Links ]
12. DICKENS, W., and LANG, K. (1992). "Labor market segmentation theory: Reconsidering the evidence" (Working Paper 4G87). nber. [ Links ]
13. DOERINGER, P., and PIORE, M. (1971). Internal labour markets and manpower analysis. Lexington, Mass., Lexington Books. [ Links ]
14. DOERINGER, P., and PIORE, M. (1975). "Unemployment and the dual labor markets", The Public Interest, 38:67-79. [ Links ]
15. FARNE, E. (2003). Estudio sobre la calidad del empleo en Colombia. Oficina Regional para América Latina y el Caribe, Perú, OIT. [ Links ]
16. FLÓREZ, C. (2002). "The function of the urban informal sector in employment: Evidence from Colombia 1984-2000", Documento cede, 4. [ Links ]
17. FORERO, N. y RAMÍREZ, M. (2008). "Determinantes de los ingresos laborales de los graduados universitarios durante el período 2001-2004", (Serie de Documentos de Trabajo # 31). Universidad del Rosario. [ Links ]
18. GITTLEMAN, M., and HOWELL, D. (1995). "Changes in the structure and quality of jobs in the United States: Effects by race and gender, 1973-1990", Industrial and Labor Relations Review, 48(3), April. [ Links ]
19. GOSLING, A.; MACHIN, S., and COSTAS, M. (2000). "The changing of male wages in the U.K.", The Review of Economics Studies, 67(4):635-666. [ Links ]
20. GREENE, W. (2003). Econometric analysis (5th ed). New Jersey, Prentice Hall. [ Links ]
21. HECKMAN, J. J. (1979). "Sample selection bias as a specification error", Econometrica, 47(1):153-161. [ Links ]
22. HECKMAN, J. J., and HOTZ, J. (1988). "An investigation of the labor market earnings of Panamanian males: Evaluating the sources of inequality", Journal of Human Resources, 21:507-542, fall. [ Links ]
23. HECKMAN, J. J., and SEDLACEK, G. (1985). "Heterogeneity, aggregation and market wage functions: An empirical model of self selection in the labor market", Journal of Political Economy, 93(6):1077-l 125. [ Links ]
24. HUGUET, A. (1999). "Testing Spanish labour market segmentation: An unknown-regime approach", Applied Economics, 31(3): 293-305, March. [ Links ]
25. INFANTE, R. y SUNKEL, G. (2004). Chile: trabajo decente y calidad de vida familiar, 1990-2000. Santiago, OIT. [ Links ]
26. INFANTE, R. y VEGA-CENTENO, M. (1999). "La calidad del empleo: Lecciones y tareas", en R. Infante (Ed.), La calidad del empleo. La experiencia de los países latinoamericanos y de los Estados Unidos. Santiago, OIT. [ Links ]
27. KOENKER, R., and BASSET, G. (1978). "Regression quan-tiles", Econometrica, 1(46):33-50. [ Links ]
28. KOENKER, R., and BASSET, G. (1982). "Robust tests for heterocedasticity based on regression quantiles", Econometrica, 50:43-62. [ Links ]
29. KOENKER, R., and HALLOCK, F. (2001). "Quantile regression", Journal of Economic Perspectives, 15:143-156. [ Links ]
30. KOLEV, A. (2005). "Desempleo, calidad del empleo. Estudio sobre Bulgaria", Revista Internacional del Trabajo, 124(1). [ Links ]
31. LEONTARIDI, M. (1998). "Segmented labour markets: Theory and evidence", Journal of Economic Surveys, 12(1):63-101. [ Links ]
32. LEMIEUX; T. (2006). "Postsecondary Education and Increasing Wage Inequality", American Economic Review, 96(2): 195-199. [ Links ]
33. MADDALA, G. (1983). Limited-dependent and qualitative variables in econometric. Cambridge University Press. [ Links ]
34. MARTINS, P., and PEREIRA, P. (2003). "Does education reduce wage inequality? Quantile regression evidence from 16 countries", Journal of Labor Economics, 11:355-371. [ Links ]
35. MEJÍA, D., and ST-PIERRE, M. (2007). "Unequal opportunities and human capital formation", Journal of Development Economics, doi:10.1016/jjdeveco.2007.04.001. [ Links ]
36. MELLY, B. (2005). "Decomposition of differences in distribution using quantile regression", Journal of Labour Economics, 12:577-590, consultado junio de 2007 en: http://www.alexandria.unisg.ch/publications/BlaiseJMelly/14991. [ Links ]
37. Organización Internacional del Trabajo, OIT. (2006). La información referenciada se encuentra en: http://www.oit.org.pe/portal/noticias.php?docCodigo=463. [ Links ]
38. ORTIZ, C.; URIBE, J. y GARCÍA, G. (2007). "Segmentación de escala y segmentación regional en el mercado laboral urbano de Colombia", en Zorro (Comp.), El desarrollo: perspectivas y dimensiones. Aportes interdisciplinarios. Bogotá, Cider, Universidad de los Andes. [ Links ]
39. PAILHÉ, A. (2003). "Labour market segmentation in Central Europe during the first years of transition", Labour, 17(1):127-152. [ Links ]
40. PIORE, M. (1980). "The technological foundations of dualism and discontinuity", in S. Berger and M. Piore, Dualism and discontinuity in industrial societies (pp. 55-81, chap. 3). Cambridge University Press. [ Links ]
41. PIORE, M. (1983). "Notas para una teoría de la estratificación del mercado de trabajo", en L. Toharia (Comp.), El mercado de trabajo: teorías y aplicaciones (pp. 193-222). Alianza Universidad Textos. [ Links ]
42. POSSO, C. (2008). "Desigualdad salarial en Colombia 19842005: cambios en la composición del mercado laboral y retornos a la educación post-secundaria", Borradores de Economía 529, Banco de la República de Colombia. [ Links ]
43. POSSO, C. (2010). "Incrementos del salario mínimo legal: un análisis de los costos y beneficios sobre los hogares colombianos en el año 2006", Borradores de Economía 595, Banco de la República de Colombia. [ Links ]
44. REBITZER, J., and ROBINSON, M. (1991). "Employer size and dual labor market" (Working Paper 3587). nber. [ Links ]
45. RECIO, A. (1997). Manual de economía laboral: trabajo, personas, mercados. Madrid, Icaria Editorial. [ Links ]
46. REICH, M.; GORDON, D., and EDWARS, R. (1973). "A theory of labor market segmentation", The American Economic Review, 63(2):359-365, May. [ Links ]
47. RODGERS, G. y REINECKE, G. (1998). "La calidad del empleo: perspectivas y ejemplos de Chile y Brasil", en Reestructuración, integración y mercado laboral. Crecimiento y calidad del empleo en economías abiertas. OIT. [ Links ]
48. ROSENTHAL, N. H. (1989). "More than wages at issue in job quality debate", Monthly Labor Review, December. [ Links ]
49. TAUBMAN, P. y WACHTER, M. (1991). "Mercados de trabajo segmentados", en O. Ashenfelter y R. Layard (Comps.), Manual de economía del trabajo II (pp. 173-184). Madrid, Ministerio de Trabajo y Seguridad Social. [ Links ]
50. URIBE, J. y ORTIZ, C. (2006). Informalidad laboral en Colombia 1988-2000: evolución, teorías y modelos. Cali, Universidad del Valle. [ Links ]
51. VAN BASTELAER, A., and HUSSMANN, R. (2000). "Measurement of the quality of employment: Introduction and overview", paper presented at the Joint ece-Eurostat-Ilo Seminar on Measurement of the Quality of Employment, Geneva, May. [ Links ]
52. VERDERA. F. (1995). "Propuestas de redefinición de la medición del subempleo y el desempleo y de nuevos indicadores sobre la situación ocupacional en Lima" (Documento de Trabajo 22, septiembre). OIT, Lima. [ Links ]
53. WOOLDRIDGE, F. (2002). Econometric analysis of cross section and panel data. mit. [ Links ]
Anexos
Anexo 1. Índice de calidad del empleo.
El cálculo del Índice de Calidad del Empleo (ICE), estimado por Farné para Colombia en el año 2001, se basa en la construcción de cuatro variables.
- Ingreso laboral mensual. Incluye la remuneración monetaria y en especie en el primer empleo desempeñado por los individuos. Se definen tres rangos: menos de 1,5 veces el salario mínimo, entre 1,5 y 3 salarios mínimos y más de 3 veces el salario mínimo. La escogencia de estos segmentos se fundamenta en la posibilidad de comparación con otros países que han aplicado la misma metodología.
- La modalidad contractual. Incluye tres alternativas: contrato laboral escrito a término indefinido, contrato laboral escrito a término fijo y ausencia de contrato escrito.
- La seguridad social. Que el trabajador esté afiliado a los sistemas de pensión y salud, a uno solo de ellos, o a ninguno.
- Horario de trabajo. Se establecieron dos opciones: un horario de trabajo habitual de hasta 48 horas semanales, o más de 48 horas de trabajo a la semana.
El índice distingue si el trabajador es asalariado o independiente. Son considerados asalariados los trabajadores del Gobierno, los privados y los empleados domésticos; y son considerados trabajadores independientes los cuenta propia y los patrones. Las ponderaciones finales se muestran en el cuadro A1.

Anexo 2. Estadísticas descriptivas generales.

Anexo 3. Máximo, mínimo y rango regresión de los 99 percentiles.













